Luminescent Mesoporous Silica Nanohybrid Based on Drug Derivative Terbium Complex
Abstract
1. Introduction
2. Materials and Methods
2.1. Materials
2.2. Synthesis
2.3. Instrumentation
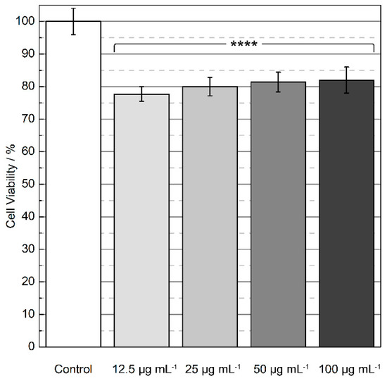
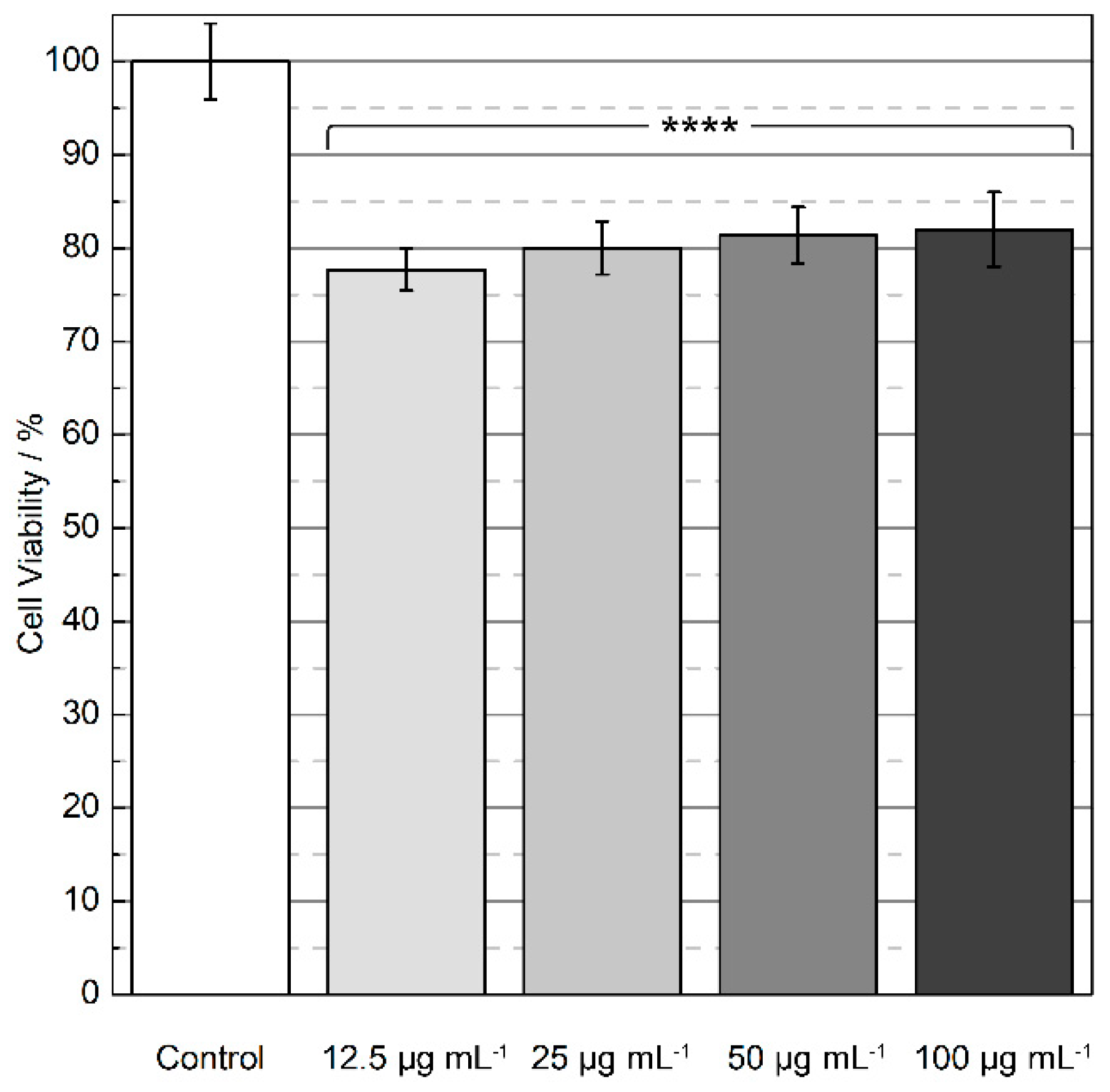
3. Results
4. Conclusions
Author Contributions
Funding
Acknowledgments
Conflicts of Interest
References
- Carlos, L.D.; Ferreira, R.A.S.S.; De Zea Bermudez, V.; Bermudez, V.d.Z.; Ribeiro, S.J.L. Lanthanide-Containing Light-Emitting Organic-Inorganic Hybrids: A Bet on the Future. Adv. Mater. 2009, 21, 509–534. [Google Scholar] [CrossRef] [PubMed]
- Sousa Filho, P.C.; Gacoin, T.; Boilot, J.P.; Walton, R.I.; Serra, O.A. Synthesis and luminescent properties of REVO4-REPO4 (RE = Y, Eu, Gd, Er, Tm, or Yb) heteronanostructures: A promising class of phosphors for excitation from NIR to VUV. J. Phys. Chem. C 2015, 119, 24062–24074. [Google Scholar] [CrossRef]
- Andreiadis, E.S.; Gauthier, N.; Imbert, D.; Demadrille, R.; Pécaut, J.; Mazzanti, M. Lanthanide Complexes Based on β-Diketonates and a Tetradentate Chromophore Highly Luminescent as Powders and in Polymers. Inorg. Chem. 2013, 52, 14382–14390. [Google Scholar] [CrossRef] [PubMed]
- Fedorenko, S.V.; Mustafina, A.R.; Mukhametshina, A.R.; Jilkin, M.E.; Mukhametzyanov, T.A.; Solovieva, A.O.; Pozmogova, T.N.; Shestopalova, L.V.; Shestopalov, M.A.; Kholin, K.V.; et al. Cellular imaging by green luminescence of Tb(III)-doped aminomodified silica nanoparticles. Mater. Sci. Eng. C 2017, 76, 551–558. [Google Scholar] [CrossRef] [PubMed]
- Moore, E.G.; Samuel, A.P.S.; Raymond, K.N.; Moore, E.G.; Samuel, A.P.S.; Raymond, K.N. From Antenna to Assay: Lessons Learned in Lanthanide Luminescence. Acc. Chem. Res. 2009, 42, 542–552. [Google Scholar] [CrossRef] [PubMed]
- Huang, K.; Idris, N.M.; Zhang, Y. Engineering of Lanthanide-Doped Upconversion Nanoparticles for Optical Encoding. Small 2016, 12, 836–852. [Google Scholar] [CrossRef] [PubMed]
- Shao, G.; Han, R.; Ma, Y.; Tang, M.; Xue, F.; Sha, Y.; Wang, Y. Bionanoprobes with Excellent Two-Photon-Sensitized Eu3+ Luminescence Properties for Live Cell Imaging. Chem. A Eur. J. 2010, 16, 8647–8651. [Google Scholar] [CrossRef]
- Pinho, S.L.C.; Faneca, H.; Geraldes, C.F.G.C.; Delville, M.-H.; Carlos, L.D.; Rocha, J. Lanthanide-DTPA grafted silica nanoparticles as bimodal-imaging contrast agents. Biomaterials 2012, 33, 925–935. [Google Scholar]
- Wang, Z.; Ananias, D.; Carné-Sánchez, A.; Brites, C.D.S.; Imaz, I.; Maspoch, D.; Rocha, J.; Carlos, L.D. Lanthanide-Organic Framework Nanothermometers Prepared by Spray-Drying. Adv. Funct. Mater. 2015, 25, 2824–2830. [Google Scholar] [CrossRef]
- Bettencourt-Dias, A. Lanthanide-based emitting materials in light-emitting diodes. Dalton Trans. 2007, 22, 2229–2241. [Google Scholar] [CrossRef]
- Kuriki, K.; Koike, Y.; Okamoto, Y. Plastic Optical Fiber Lasers and Amplifiers Containing Lanthanide Complexes. Chem. Rev. 2002, 102, 2347–2356. [Google Scholar] [CrossRef]
- Bünzli, J.-C.G. Benefiting from the Unique Properties of Lanthanide Ions. Acc. Chem. Res. 2006, 39, 53–61. [Google Scholar] [CrossRef]
- Binnemans, K. Interpretation of europium(III) spectra. Coord. Chem. Rev. 2015, 295, 1–45. [Google Scholar] [CrossRef]
- Picot, A.; D’Aléo, A.; Baldeck, P.L.; Grichine, A.; Duperray, A.; Andraud, C.; Maury, O. Long-lived two-photon excited luminescence of water-soluble europium complex: Applications in biological imaging using two-photon scanning microscopy. J. Am. Chem. Soc. 2008, 130, 1532–1533. [Google Scholar] [CrossRef]
- Law, G.L.; Wong, K.L.; Man, C.W.Y.; Wong, W.T.; Tsao, S.W.; Lam, M.H.W.; Lam, P.K.S. Emissive terbium probe for multiphoton in vitro cell imaging. J. Am. Chem. Soc. 2008, 130, 3714–3715. [Google Scholar] [CrossRef]
- Adumeau, P.; Gaillard, C.; Boyer, D.; Canet, J.-L.; Gautier, A.; Mahiou, R. Two-Photon Absorption Properties of Eu3+-DPA-Triazolyl Complexes and the Derived Silica Nanoparticles Embedding These Complexes. Eur. J. Inorg. Chem. 2015, 2015, 1233–1242. [Google Scholar] [CrossRef]
- Placide, V.; Bui, A.T.; Grichine, A.; Duperray, A.; Pitrat, D.; Andraud, C.; Maury, O. Two-photon multiplexing bio-imaging using a combination of Eu- and Tb-bioprobes. Dalton Trans. 2015, 44, 4918–4924. [Google Scholar] [CrossRef]
- Zhang, Q.; Tian, X.; Zhou, H.; Wu, J.; Tian, Y. Lighting the Way to See Inside Two-Photon Absorption Materials: Structure–Property Relationship and Biological Imaging. Materials (Basel) 2017, 10, 223. [Google Scholar] [CrossRef]
- Werts, M.H.V.; Nerambourg, N.; Pélégry, D.; Grand, Y.L.; Blanchard-Desce, M. Action cross sections of two-photon excited luminescence of some Eu(iii) and Tb(iii) complexes. Photochem. Photobiol. Sci. 2005, 4, 531–538. [Google Scholar] [CrossRef]
- Fu, L.-M.; Wen, X.-F.; Ai, X.-C.; Sun, Y.; Wu, Y.-S.; Zhang, J.-P.; Wang, Y. Efficient Two-Photon-Sensitized Luminescence of a Europium(III) Complex. Angew. Chem. Int. Ed. 2005, 44, 747–750. [Google Scholar] [CrossRef]
- Jurima-Romet, M.; Crawford, K.; Huang, H.S. Comparative cytotoxicity of non-steroidal anti-inflammatory drugs in primary cultures of rat hepatocytes. Toxicol. In Vitro 1994, 8, 55–66. [Google Scholar] [CrossRef]
- Gálico, D.A.; Lahoud, M.G.; Davolos, M.R.; Frem, R.C.G.; Fraga-Silva, T.F.C.; Venturini, J.; Arruda, M.S.P.; Bannach, G. Spectroscopic, luminescence and in vitro biological studies of solid ketoprofen of heavier trivalent lanthanides and yttrium(III). J. Inorg. Biochem. 2014, 140, 160–166. [Google Scholar] [CrossRef] [PubMed]
- Gálico, D.A.; Holanda, B.B.C.; Guerra, R.B.; Legendre, A.O.; Rinaldo, D.; Treu-Filho, O.; Bannach, G. Thermal and spectroscopic studies on solid ibuprofen complexes of lighter trivalent lanthanides. Thermochim. Acta 2014, 575, 226–232. [Google Scholar] [CrossRef]
- De Oliveira, T.C.; Santos, H.P.; Lahoud, M.G.; Franco, D.F.; Freire, R.O.; Dutra, J.D.L.; Cuin, A.; de Lima, J.F.; Marques, L.F. Elucidating the energy transfer process in mononuclear and binuclear lanthanide complexes of the anti-inflammatory drug ibuprofen: From synthesis to high luminescence emission. J. Lumin. 2017, 181, 196–210. [Google Scholar] [CrossRef]
- Zhang, H.J.; Fu, L.S.; Wang, S.B.; Meng, Q.G.; Yang, K.Y.; Ni, J.Z. Luminescence characteristics of europium and terbium complexes with 1,10-phenanthroline in-situ synthesized in a silica matrix by a two-step sol–gel process. Mater. Lett. 1999, 38, 260–264. [Google Scholar] [CrossRef]
- Aiello, D.; Malfatti, L.; Kidchob, T.; Aiello, R.; Testa, F.; Aiello, I.; Ghedini, M.; La Deda, M.; Martino, T.; Casula, M.; et al. Blue-emitting mesoporous films prepared via incorporation of luminescent Schiff base zinc(II) complex. J. Sol-Gel Sci. Technol. 2008, 47, 283–289. [Google Scholar] [CrossRef]
- Malba, C.; Sudhakaran, U.P.; Borsacchi, S.; Geppi, M.; Enrichi, F.; Natile, M.M.; Armelao, L.; Finotto, T.; Marin, R.; Riello, P.; et al. Structural and photophysical properties of rare-earth complexes encapsulated into surface modified mesoporous silica nanoparticles. Dalton Trans. 2014, 43, 16183–16196. [Google Scholar] [CrossRef]
- Bian, L.; Xi, H.; Qian, X.; Yin, J.; Zhu, Z.; Lu, Q. Synthesis and luminescence property of rare earth complex nanoparticles dispersed within pores of modified mesoporous silica. Mater. Res. Bull. 2002, 37, 2293–2301. [Google Scholar] [CrossRef]
- Cousinié, S.; Gressier, M.; Reber, C.; Dexpert-Ghys, J.; Menu, M.-J. Europium(III) Complexes Containing Organosilyldipyridine Ligands Grafted on Silica Nanoparticles. Langmuir 2008, 24, 6208–6214. [Google Scholar] [CrossRef]
- Slowing, I.I.; Vivero-Escoto, J.L.; Wu, C.-W.; Lin, V.S.-Y. Mesoporous silica nanoparticles as controlled release drug delivery and gene transfection carriers. Adv. Drug Deliv. Rev. 2008, 60, 1278–1288. [Google Scholar] [CrossRef]
- Wang, Y.; Zhao, Q.; Ning, H.; Bai, L.; Li, J.; Liu, J.; Che, E.; Hu, L.; Zhang, Q.; Jiang, T.; et al. Mesoporous silica nanoparticles in drug delivery and biomedical applications. Nanomed. Nanotechnol. Biol. Med. 2015, 11, 313–327. [Google Scholar] [CrossRef] [PubMed]
- Stein, A.; Melde, B.J.; Schroden, R.C. Hybrid Inorganic-Organic Mesoporous Silicates—Nanoscopic Reactors Coming of Age. Adv. Mater. 2000, 12, 1403–1419. [Google Scholar] [CrossRef]
- Chen, H.; Zhen, Z.; Tang, W.; Todd, T.; Chuang, Y.-J.; Wang, L.; Pan, Z.; Xie, J. Label-Free Luminescent Mesoporous Silica Nanoparticles for Imaging and Drug Delivery. Theranostics 2013, 3, 650–657. [Google Scholar] [CrossRef] [PubMed]
- Kalluru, P.; Vankayala, R.; Chiang, C.S.; Hwang, K.C. Unprecedented “All-in-One” Lanthanide-Doped Mesoporous Silica Frameworks for Fluorescence/MR Imaging and Combination of NIR Light Triggered Chemo-Photodynamic Therapy of Tumors. Adv. Funct. Mater. 2016, 26, 7908–7920. [Google Scholar] [CrossRef]
- Nandiyanto, A.B.D.; Kim, S.-G.; Iskandar, F.; Okuyama, K. Synthesis of spherical mesoporous silica nanoparticles with nanometer-size controllable pores and outer diameters. Microporous Mesoporous Mater. 2009, 120, 447–453. [Google Scholar] [CrossRef]
- Sábio, R.M.; Gressier, M.; Caiut, J.M.A.; Menu, M.-J.; Ribeiro, S.J.L. Luminescent multifunctional hybrids obtained by grafting of ruthenium complexes on mesoporous silica. Mater. Lett. 2016, 174, 1–5. [Google Scholar] [CrossRef]
- Cousinié, S.; Mauline, L.; Gressier, M.; Kandibanda, S.R.; Datas, L.; Reber, C.; Menu, M.-J. Bulk or surface grafted silylated Ru(II) complexes on silica as luminescent nanomaterials. New J. Chem. 2012, 36, 1355–1367. [Google Scholar] [CrossRef]
- Sing, K.S.W. Reporting physisorption data for gas/solid systems with special reference to the determination of surface area and porosity (Recommendations 1984). Pure Appl. Chem. 1985, 57, 2201–2218. [Google Scholar] [CrossRef]
- Al-Oweini, R.; El-Rassy, H. Synthesis and characterization by FTIR spectroscopy of silica aerogels prepared using several Si(OR)4 and R’’Si(OR’)3 precursors. J. Mol. Struct. 2009, 919, 140–145. [Google Scholar] [CrossRef]
- Rocha, L.A.; Caiut, J.M.A.; Messaddeq, Y.; Ribeiro, S.J.L.; Martines, M.A.U.; do C Freiria, J.; Dexpert-Ghys, J.; Verelst, M. Non-leachable highly luminescent ordered mesoporous SiO2 spherical particles. Nanotechnology 2010, 21, 155603. [Google Scholar] [CrossRef]
- Gálico, D.A.; Guerra, R.B.; Perpétuo, G.L.; Santos, L.S.; Schnitzler, E.; Bannach, G. Thermal Studies on Solid Ketoprofen of Heavier Trivalent Lanthanides and Yttrium (III). Braz. J. Therm. Anal. 2012, 1, 42–47. [Google Scholar]
- Duarte, A.P.; Gressier, M.; Menu, M.J.; Dexpert-Ghys, J.; Caiut, J.M.A.; Ribeiro, S.J.L. Structural and luminescence properties of silica-based hybrids containing new silylated-diketonato europium(III) complex. J. Phys. Chem. C 2012, 116, 505–515. [Google Scholar] [CrossRef]
- Zhao, H.; Su, W.; Luo, Y.; Ji, Y.; Li, Z.; Jiu, H.; Liang, H.; Chen, B.; Zhang, Q. Rectification of excitation with bathochromic shift induced by intense absorption of organic ligands during emission measurement of Eu(III) complex. Spectrochim. Acta Part A Mol. Biomol. Spectrosc. 2006, 65, 846–851. [Google Scholar] [CrossRef] [PubMed]
- Duarte, A.P.; Mauline, L.; Gressier, M.; Dexpert-Ghys, J.; Roques, C.; Caiut, J.M.A.; Deffune, E.; Maia, D.C.G.; Carlos, I.Z.; Ferreira, A.A.P.; et al. Organosilylated complex [Eu(TTA)3(Bpy-Si)]: A bifunctional moiety for the engeneering of luminescent silica-based nanoparticles for bioimaging. Langmuir 2013, 29, 5878–5888. [Google Scholar] [CrossRef] [PubMed]
- Shang, H.-B.; Chen, F.; Wu, J.; Qi, C.; Lu, B.-Q.; Chen, X.; Zhu, Y.-J. Multifunctional biodegradable terbium-doped calcium phosphate nanoparticles: Facile preparation, pH-sensitive drug release and in vitro bioimaging. RSC Adv. 2014, 4, 53122–53129. [Google Scholar] [CrossRef]
- Liu, Y.; Sun, L.; Liu, J.; Peng, Y.-X.; Ge, X.; Shi, L.; Huang, W. Multicolor (Vis-NIR) mesoporous silica nanospheres linked with lanthanide complexes using 2-(5-bromothiophen)imidazo[4,5-f][1,10]phenanthroline for in vitro bioimaging. Dalton Trans. 2015, 44, 237–246. [Google Scholar] [CrossRef]
- Zhou, Z.; Wang, Q.; Zhang, C.C.; Gao, J. Molecular imaging of biothiols and: In vitro diagnostics based on an organic chromophore bearing a terbium hybrid probe. Dalton Trans. 2016, 45, 7435–7442. [Google Scholar] [CrossRef]
- Ge, X.; Sun, L.; Dang, S.; Liu, J.; Xu, Y.; Wei, Z.; Shi, L.; Zhang, H. Mesoporous upconversion nanoparticles modified with a Tb(III) complex to display both green upconversion and downconversion luminescence for in vitro bioimaging and sensing of temperature. Microchim. Acta 2015, 182, 1653–1660. [Google Scholar] [CrossRef]







© 2019 by the authors. Licensee MDPI, Basel, Switzerland. This article is an open access article distributed under the terms and conditions of the Creative Commons Attribution (CC BY) license (http://creativecommons.org/licenses/by/4.0/).
Share and Cite
Maturi, F.E.; Sábio, R.M.; Silva, R.R.; Lahoud, M.G.; Meneguin, A.B.; Valente, G.T.; Caface, R.A.; Leite, I.S.; Inada, N.M.; Ribeiro, S.J.L. Luminescent Mesoporous Silica Nanohybrid Based on Drug Derivative Terbium Complex. Materials 2019, 12, 933. https://doi.org/10.3390/ma12060933
Maturi FE, Sábio RM, Silva RR, Lahoud MG, Meneguin AB, Valente GT, Caface RA, Leite IS, Inada NM, Ribeiro SJL. Luminescent Mesoporous Silica Nanohybrid Based on Drug Derivative Terbium Complex. Materials. 2019; 12(6):933. https://doi.org/10.3390/ma12060933
Chicago/Turabian StyleMaturi, Fernando E., Rafael M. Sábio, Robson R. Silva, Marcelo G. Lahoud, Andréia B. Meneguin, Gustavo T. Valente, Raphael A. Caface, Ilaiáli S. Leite, Natalia M. Inada, and Sidney J. L. Ribeiro. 2019. "Luminescent Mesoporous Silica Nanohybrid Based on Drug Derivative Terbium Complex" Materials 12, no. 6: 933. https://doi.org/10.3390/ma12060933
APA StyleMaturi, F. E., Sábio, R. M., Silva, R. R., Lahoud, M. G., Meneguin, A. B., Valente, G. T., Caface, R. A., Leite, I. S., Inada, N. M., & Ribeiro, S. J. L. (2019). Luminescent Mesoporous Silica Nanohybrid Based on Drug Derivative Terbium Complex. Materials, 12(6), 933. https://doi.org/10.3390/ma12060933

