Synthesis and Catalytic Properties of Modified Electrodes by Pulsed Electrodeposition of Pt/PANI Nanocomposite
Abstract
1. Introduction
2. Experimental
2.1. Chemicals
2.2. Electrode Pre-Treatment
2.3. Electrode Modification
2.4. Electrochemical Characterization
2.5. Characterization of Morphology and Amount of the Deposited Platinum Nanoparticles
3. Results and Discussion
3.1. Synthesis of Polyaniline by Cyclic Voltammetry and Platinum Nanoparticles by Potentiostatic Pulsed Electrodeposition Method
3.2. Optimization of the Pulsed Electrodeposition Parameters
3.2.1. Effect of the Pulse Potential (Eon)
3.2.2. Effect of the Upper Potential (Eoff)
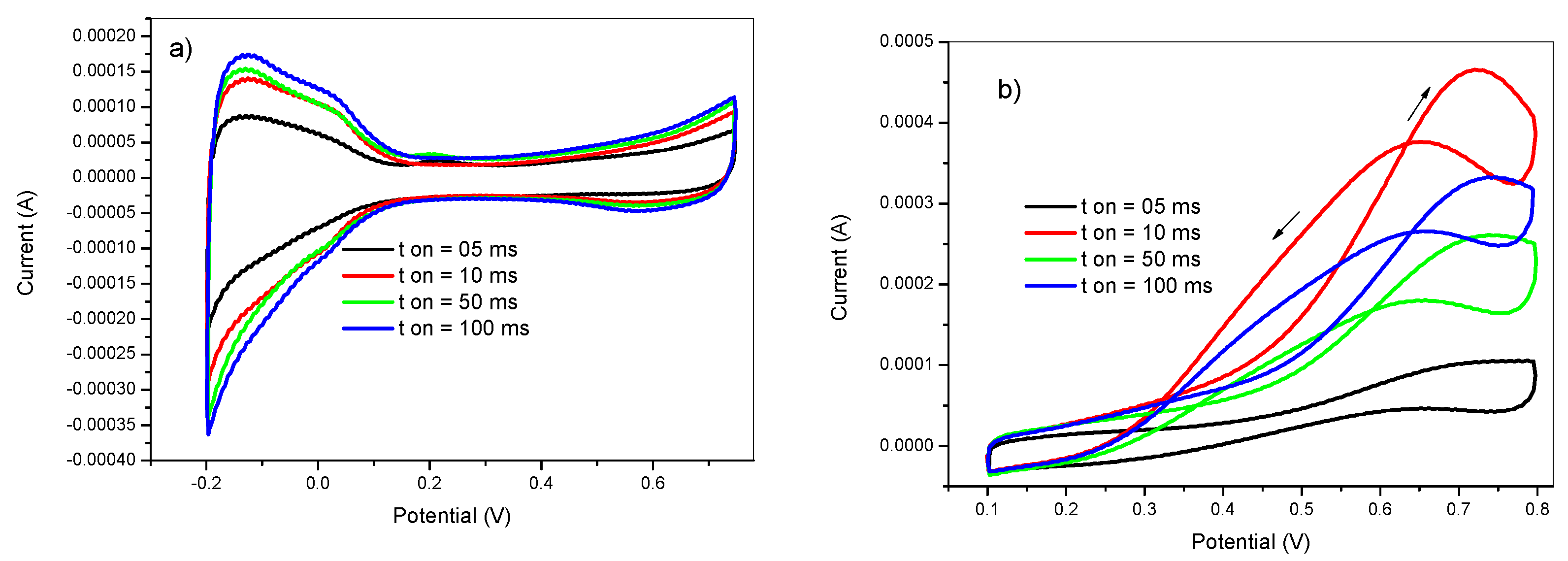
3.2.3. Effect of the Pulse Width (ton)
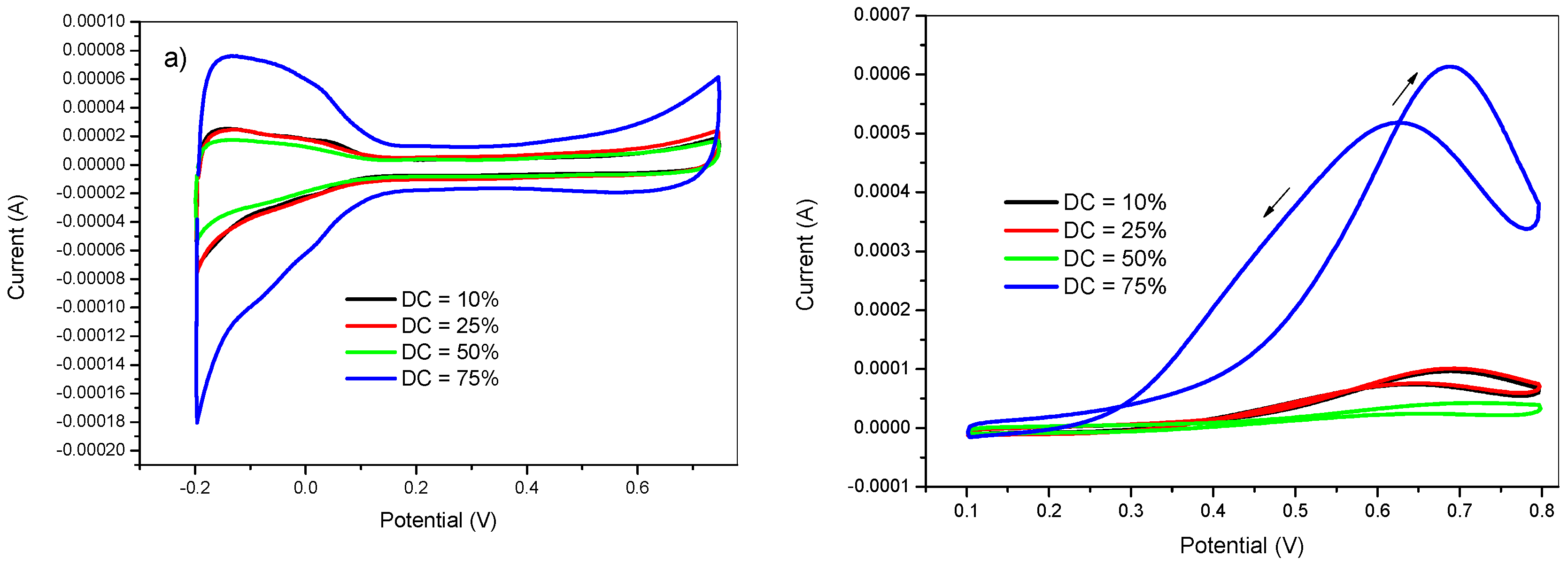
3.2.4. Effect of the DC%
3.2.5. Effect of the K2PtCl6 Concentration
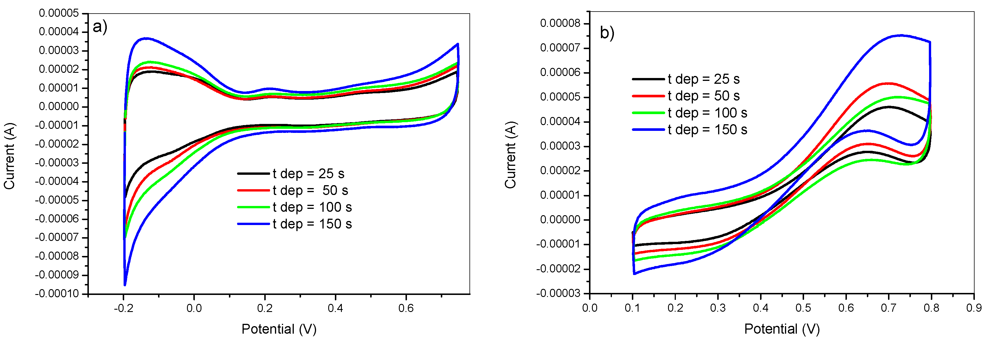
3.2.6. Effect of the Deposition Time
3.2.7. Platinum Nanoparticles Deposited at Optimized Conditions
3.3. Synthesis of Polyaniline by Cyclic Voltammetry Method and by Potentiostatic Pulsed Polymerization Method: Effect in the Platinum Nanoparticles Deposition
4. Conclusions
Supplementary Materials
Author Contributions
Funding
Acknowledgments
Conflicts of Interest
References
- Zhao, T.S.; Xu, C.; Chen, R.; Yang, W.W. Mass transport phenomena in direct methanol fuel cells. Prog. Energy Combust. Sci. 2009, 35, 275–292. [Google Scholar] [CrossRef]
- Peighambardoust, S.J.; Rowshanzamir, S.; Amjadi, M. Review of the proton exchange membranes for fuel cell applications. Int. J. Hydrogen Energy 2010, 35, 9349–9384. [Google Scholar] [CrossRef]
- Debe, M.K. Electrocatalyst approaches and challenges for automotive fuel cells. Nature 2012, 486, 43–51. [Google Scholar] [CrossRef] [PubMed]
- Tiwari, J.N.; Tiwari, R.N.; Singh, G.; Kim, K.S. Recent progress in the development of anode and cathode catalysts for direct methanol fuel cells. Nano Energy 2013, 2, 553–578. [Google Scholar] [CrossRef]
- Braunchweig, B.; Hibbitts, D.; Neurock, M.; Wieckowski, A. Electrocatalysis: A direct alcohol fuel cell and surface science perspective. Catal. Today 2013, 202, 197–209. [Google Scholar] [CrossRef]
- Xu, Y.; Zhang, B. Recent advances in porous Pt-based nanostructures: synthesis and electrochemical applications. Chem. Soc. Rev. 2014, 43, 2439. [Google Scholar] [CrossRef] [PubMed]
- Sheng, W.; Zhuang, Z.; Gao, M.; Zheng, J.; Chen, J.G.; Yan, Y. Correlating hydrogen oxidation and evolution activity on platinum at different pH with measured hydrogen binding energy. Nat. Commun. 2015, 6, 5848. [Google Scholar] [CrossRef] [PubMed]
- Merte, L.R.; Behafarid, F.; Miller, D.J.; Friebel, D.; Cho, S.; Mbuga, F.; Sokaras, D.; Alonso-Mori, R.; Weng, T.-C.; Nordlund, D.; et al. Electrochemical Oxidation of Size-Selected Pt Nanoparticles Studied Using in Situ High-Energy-Resolution X-ray Absorption Spectroscopy. ACS Catal. 2012, 2, 2371–2376. [Google Scholar] [CrossRef]
- Shao, M.; Odell, J.; Humbert, M.; Yu, T.; Xia, Y. Electrocatalysis on Shape-Controlled Palladium Nanocrystals: Oxygen Reduction Reaction and Formic Acid Oxidation. J. Phys. Chem. C 2013, 117, 4172–4180. [Google Scholar] [CrossRef]
- Shao, M.; Peles, A.; Shoemaker, K. Electrocatalysis on platinum nanoparticles: particle size effect on oxygen reduction reaction activity. Nano Lett. 2011, 11, 3714–3719. [Google Scholar] [CrossRef] [PubMed]
- Solla-Gullón, J.; Vidal-Iglesias, F.J.; Feliu, J.M. Shape dependent electrocatalysis. Annu. Rep. Sect. “C” (Phys. Chem.) 2011, 107, 263. [Google Scholar] [CrossRef]
- Koper, M.T.M. Structure sensitivity and nanoscale effects in electrocatalysis. Nanoscale 2011, 3, 2054–2073. [Google Scholar] [CrossRef] [PubMed]
- Neouze, M.-A. Nanoparticle assemblies: main synthesis pathways and brief overview on some important applications. J. Mater. Sci. 2013, 48, 7321–7349. [Google Scholar] [CrossRef]
- Kango, S.; Kalia, S.; Celli, A.; Njuguna, J.; Habibi, Y.; Kumar, R. Surface modification of inorganic nanoparticles for development of organic–inorganic nanocomposites—A review. Prog. Polym. Sci. 2013, 38, 1232–1261. [Google Scholar] [CrossRef]
- Cox, J.T.; Zhang, B. Nanoelectrodes: Recent advances and new directions. Annu. Rev. Anal. Chem. (Palo Alto. Calif). 2012, 5, 253–272. [Google Scholar] [CrossRef] [PubMed]
- Zaera, F. Nanostructured materials for applications in heterogeneous catalysis. Chem. Soc. Rev. 2013, 42, 2746–2762. [Google Scholar] [CrossRef] [PubMed]
- Wu, B.; Zheng, N. Surface and interface control of noble metal nanocrystals for catalytic and electrocatalytic applications. Nano Today 2013, 8, 168–197. [Google Scholar] [CrossRef]
- Lu, X.; Zhang, W.; Wang, C.; Wen, T.-C.; Wei, Y. One-dimensional conducting polymer nanocomposites: Synthesis, properties and applications. Prog. Polym. Sci. 2011, 36, 671–712. [Google Scholar] [CrossRef]
- Sarkar, S.; Guibal, E.; Quignard, F.; SenGupta, A.K. Polymer-supported metals and metal oxide nanoparticles: synthesis, characterization, and applications. J. Nanoparticle Res. 2012, 14, 715. [Google Scholar] [CrossRef]
- Ferreira, V.C.; Melato, A.I.; Silva, A.F.; Abrantes, L.M. Attachment of noble metal nanoparticles to conducting polymers containing sulphur – preparation conditions for enhanced electrocatalytic activity. Electrochim. Acta 2011, 56, 3567–3574. [Google Scholar] [CrossRef]
- Reddy, K.R.; Sin, B.C.; Ryu, K.S.; Kim, J.-C.; Chung, H.; Lee, Y. Conducting polymer functionalized multi-walled carbon nanotubes with noble metal nanoparticles: Synthesis, morphological characteristics and electrical properties. Synth. Met. 2009, 159, 595–603. [Google Scholar] [CrossRef]
- Jiang, H.-F.; Liu, X.-X. One-dimensional growth and electrochemical properties of polyaniline deposited by a pulse potentiostatic method. Electrochim. Acta 2010, 55, 7175–7181. [Google Scholar] [CrossRef]
- Domínguez-Domínguez, S.; Arias-Pardilla, J.; Berenguer-Murcia, Á.; Morallón, E.; Cazorla-Amorós, D. Electrochemical deposition of platinum nanoparticles on different carbon supports and conducting polymers. J. Appl. Electrochem. 2008, 38, 259–268. [Google Scholar] [CrossRef]
- López-Palacios, J.; Muñoz, E.; Heras, M.A.; Colina, Á.; Ruiz, V. Study of polyaniline films degradation by thin-layer bidimensional spectroelectrochemistry. Electrochim. Acta 2006, 52, 234–239. [Google Scholar] [CrossRef]
- Weng, S.; Lin, Z.; Chen, L.; Zhou, J. Electrochemical synthesis and optical properties of helical polyaniline nanofibers. Electrochim. Acta 2010, 55, 2727–2733. [Google Scholar] [CrossRef]
- Luo, K.; Shi, N.; Sun, C. Thermal transition of electrochemically synthesized polyaniline. Polym. Degrad. Stab. 2006, 91, 2660–2664. [Google Scholar] [CrossRef]
- Li, M.C.; Ma, C.A.; Liu, B.Y.; Jin, Z.M. A novel electrolyte 1-ethylimidazolium trifluoroacetate used for electropolymerization of aniline. Electrochem. Commun. 2005, 7, 209–212. [Google Scholar] [CrossRef]
- Baba, A.; Tian, S.; Stefani, F.; Xia, C.; Wang, Z.; Advincula, R.C.; Johannsmann, D.; Knoll, W. Electropolymerization and doping/dedoping properties of polyaniline thin films as studied by electrochemical-surface plasmon spectroscopy and by the quartz crystal microbalance. J. Electroanal. Chem. 2004, 562, 95–103. [Google Scholar] [CrossRef]
- Milczarek, G. Electrochemical modification of poly-aniline films in the presence of guaiacol–sulfonic acid. Electrochem. Commun. 2007, 9, 123–127. [Google Scholar] [CrossRef]
- Dalmolin, C.; Canobre, S.C.; Biaggio, S.R.; Rocha-Filho, R.C.; Bocchi, N. Electropolymerization of polyaniline on high surface area carbon substrates. J. Electroanal. Chem. 2005, 578, 9–15. [Google Scholar] [CrossRef]
- Zhou, H.H.; Wen, J.B.; Ning, X.H.; Fu, C.P.; Chen, J.H.; Kuang, Y.F. Comparison of the growth process and electrochemical properties of polyaniline films prepared by pulse potentiostatic and potentiostatic method on titanium electrode. J. Appl. Polym. Sci. 2007, 104, 458–463. [Google Scholar] [CrossRef]
- Karami, H.; Asadi, M.G.; Mansoori, M. Pulse electropolymerization and the characterization of polyaniline nanofibers. Electrochim. Acta 2012, 61, 154–164. [Google Scholar] [CrossRef]
- Zhou, H.H.; Jiao, S.Q.; Chen, J.H.; Wei, W.Z.; Kuang, Y.F. Effects of conductive polyaniline (PANI) preparation and platinum electrodeposition on electroactivity of methanol oxidation. J. Appl. Electrochem. 2004, 34, 455–459. [Google Scholar] [CrossRef]
- Zhou, H.; Jiao, S.; Chen, J.; Wei, W.; Kuang, Y. Relationship between preparation conditions, morphology and electrochemical properties of polyaniline prepared by pulse galvanostatic method (PGM). Thin Solid Films 2004, 450, 233–239. [Google Scholar] [CrossRef]
- Welch, C.M.; Compton, R.G. The use of nanoparticles in electroanalysis: a review. Anal. Bioanal. Chem. 2006, 384, 601–619. [Google Scholar] [CrossRef] [PubMed]
- Guo, S.; Wang, E. Synthesis and electrochemical applications of gold nanoparticles. Anal. Chim. Acta 2007, 598, 181–192. [Google Scholar] [CrossRef] [PubMed]
- Coutanceau, C.; Brimaud, S.; Lamy, C.; Léger, J.-M.; Dubau, L.; Rousseau, S.; Vigier, F. Review of different methods for developing nanoelectrocatalysts for the oxidation of organic compounds. Electrochim. Acta 2008, 53, 6865–6880. [Google Scholar] [CrossRef]
- Coutanceau, C.; Urchaga, P.; Brimaud, S.; Baranton, S. Colloidal Syntheses of Shape- and Size-Controlled Pt Nanoparticles for Electrocatalysis. Electrocatalysis 2012, 3, 75–87. [Google Scholar] [CrossRef]
- Ji, H.; Li, M.; Wang, Y.; Gao, F. Electrodeposition of graphene-supported PdPt nanoparticles with enhanced electrocatalytic activity. Electrochem. Commun. 2012, 24, 17–20. [Google Scholar] [CrossRef]
- Zhong, C.; Hu, W.; Cheng, Y. Recent advances in electrocatalysts for electro-oxidation of ammonia. J. Mater. Chem. A 2013. [Google Scholar] [CrossRef]
- Liu, Z.-L.; Huang, R.; Deng, Y.-J.; Chen, D.-H.; Huang, L.; Cai, Y.-R.; Wang, Q.; Chen, S.-P.; Sun, S.-G. Catalyst of Pt nanoparticles loaded on multi-walled carbon nanotubes with high activity prepared by electrodeposition without supporting electrolyte. Electrochim. Acta 2013, 112, 919–926. [Google Scholar] [CrossRef]
- Brülle, T.; Stimming, U. Platinum nanostructured HOPG – Preparation, characterization and reactivity. J. Electroanal. Chem. 2009, 636, 10–17. [Google Scholar] [CrossRef]
- Miyake, M.; Ueda, T.; Hirato, T. Potentiostatic Electrodeposition of Pt Nanoparticles on Carbon Black. J. Electrochem. Soc. 2011, 158, D590. [Google Scholar] [CrossRef]
- Raoof, J.B.; Ojani, R.; Hosseini, S.R. Electrochemical synthesis of a novel platinum nanostructure on a glassy carbon electrode, and its application to the electrooxidation of methanol. Microchim. Acta 2013, 180, 879–886. [Google Scholar] [CrossRef]
- Paoletti, C.; Cemmi, A.; Giorgi, L.; Giorgi, R.; Pilloni, L.; Serra, E.; Pasquali, M. Electro-deposition on carbon black and carbon nanotubes of Pt nanostructured catalysts for methanol oxidation. J. Power Sources 2008, 183, 84–91. [Google Scholar] [CrossRef]
- Gopi, D.; Indira, J.; Kavitha, L. A comparative study on the direct and pulsed current electrodeposition of hydroxyapatite coatings on surgical grade stainless steel. Surf. Coatings Technol. 2012, 206, 2859–2869. [Google Scholar] [CrossRef]
- Sanaty-Zadeh, A.; Raeissi, K.; Saidi, A. Properties of nanocrystalline iron–nickel alloys fabricated by galvano-static electrodeposition. J. Alloys Compd. 2009, 485, 402–407. [Google Scholar] [CrossRef]
- Liu, J.; Zhong, C.; Du, X.; Wu, Y.; Xu, P.; Liu, J.; Hu, W. Pulsed electrodeposition of Pt particles on indium tin oxide substrates and their electrocatalytic properties for methanol oxidation. Electrochim. Acta 2013, 100, 164–170. [Google Scholar] [CrossRef]
- Fouda-onana, F.; Guillet, N.; Almayouf, A.M. Modi fi ed pulse electrodeposition of Pt nanocatalyst as high-performance electrode for PEMFC. J. Power Sources 2014, 271, 401–405. [Google Scholar] [CrossRef]
- Burk, J.J.; Buratto, S.K. Electrodeposition of Pt Nanoparticle Catalysts from H 2 Pt(OH) 6 and Their Application in PEM Fuel Cells. J. Phys. Chem. C 2013, 117, 18957–18966. [Google Scholar] [CrossRef]
- Ding, K.; Jia, H.; Wei, S.; Guo, Z. Electrocatalysis of Sandwich-Structured Pd/Polypyrrole/Pd Composites toward Formic Acid Oxidation. Ind. Eng. Chem. Res. 2011, 50, 7077–7082. [Google Scholar] [CrossRef]
- Cui, H.-F.; Ye, J.-S.; Zhang, W.-D.; Wang, J.; Sheu, F.-S. Electrocatalytic reduction of oxygen by a platinum nanoparticle/carbon nanotube composite electrode. J. Electroanal. Chem. 2005, 577, 295–302. [Google Scholar] [CrossRef]
- Tian, N.; Zhou, Z.-Y.; Sun, S.-G.; Ding, Y.; Wang, Z.L. Synthesis of tetrahexahedral platinum nanocrystals with high-index facets and high electro-oxidation activity. Science 2007, 316, 732–735. [Google Scholar] [CrossRef] [PubMed]
- Sevilla, M.; Sanchís, C.; Valdés-Solís, T.; Morallón, E.; Fuertes, A.B. Highly dispersed platinum nanoparticles on carbon nanocoils and their electrocatalytic performance for fuel cell reactions. Electrochim. Acta 2009, 54, 2234–2238. [Google Scholar] [CrossRef]
- Sevilla, M.; Martinez-de Lecea, C.S.; Valdés-Solís, T.; Morallón, E.; Fuertes, A.B. Solid-phase synthesis of graphitic carbon nanostructures from iron and cobalt gluconates and their utilization as electrocatalyst supports. Phys. Chem. Chem. Phys 2008, 10, 1433–1442. [Google Scholar] [CrossRef] [PubMed]
- Sevilla, M.; Sanchís, C.; Valdés-Solís, T.; Morallón, E.; Fuertes, A.B. Direct synthesis of graphitic carbon nanostructures from saccharides and their use as electrocatalytic supports. Carbon 2008, 46, 931–939. [Google Scholar] [CrossRef]
- Zhang, G.; Tan, L.; Cheng, H.; Li, F.; Liu, X.; Lu, J. Different interesting enhanced influence from polyaniline and poly (o-toluidine) on electrocatalytic activities of Pt on them toward electrooxidation of methanol. Int. J. Hydrogen Energy. 2018, 16, 16049–16060. [Google Scholar] [CrossRef]
- Ayán-Varelaa, M.; Ruiz-Rosas, R.; Villar-Rodil, S.; Paredesa, J.I.; Cazorla-Amorós, E.; Morallón, A.; Martínez-Alonso, J.M.D.T. Efficient Pt electrocatalysts supported onto flavin mononucleotide–exfoliated pristine graphene for the methanol oxidation reaction. Electrochim. Acta 2017, 231, 386–395. [Google Scholar] [CrossRef]













| Electrode | Pt Weight (mg) | Ip (mA) | Catalytic Activity (A/g) |
|---|---|---|---|
| GC/PANI (CV)/PtNPs (100 s) | 0.040 | 1.6 | 39 |
| GC/PANI (CV)/PtNPs (150 s) | 0.066 | 2.9 | 45 |
| GC/PANI (CV)/PtNPs (200 s) | 0.114 | 5.5 | 48 |
| GC/PANI (PPP)/PtNPs (300 s) | 0.095 | 6.0 | 63 |
© 2019 by the authors. Licensee MDPI, Basel, Switzerland. This article is an open access article distributed under the terms and conditions of the Creative Commons Attribution (CC BY) license (http://creativecommons.org/licenses/by/4.0/).
Share and Cite
Ourari, A.; Zerdoumi, R.; Ruiz-Rosas, R.; Morallon, E. Synthesis and Catalytic Properties of Modified Electrodes by Pulsed Electrodeposition of Pt/PANI Nanocomposite. Materials 2019, 12, 723. https://doi.org/10.3390/ma12050723
Ourari A, Zerdoumi R, Ruiz-Rosas R, Morallon E. Synthesis and Catalytic Properties of Modified Electrodes by Pulsed Electrodeposition of Pt/PANI Nanocomposite. Materials. 2019; 12(5):723. https://doi.org/10.3390/ma12050723
Chicago/Turabian StyleOurari, Ali, Ridha Zerdoumi, Ramiro Ruiz-Rosas, and Emilia Morallon. 2019. "Synthesis and Catalytic Properties of Modified Electrodes by Pulsed Electrodeposition of Pt/PANI Nanocomposite" Materials 12, no. 5: 723. https://doi.org/10.3390/ma12050723
APA StyleOurari, A., Zerdoumi, R., Ruiz-Rosas, R., & Morallon, E. (2019). Synthesis and Catalytic Properties of Modified Electrodes by Pulsed Electrodeposition of Pt/PANI Nanocomposite. Materials, 12(5), 723. https://doi.org/10.3390/ma12050723

