Unified Theory for Flexural Strengthening of Masonry with Composites
Abstract
1. Introduction
2. Stress–Strain Behavior of Materials
2.1. Behaviour of Masonry
2.2. Behavior of Strengthening System
2.2.1. Linear Behavior
- is the ultimate stress of the fiber (it can be related also to debonding stress of composite);
- is the corresponding ultimate strain of the composite.
2.2.2. Bilinear Behavior
- Em is the modulus of elasticity of the mortar matrix;
- tm is the thickness of the matrix layer;
- tf is the equivalent thickness of the composite fiber.
- is the first cracking strain in tension of the matrix ();
- is the stress corresponding to ;
- ftm is the tensile strength of the mortar matrix.
2.2.3. Trilinear Behavior
3. Structural Evaluation
3.1. Basic Assumptions
- Conservation of plain sections (classical assumption in the technical calculation of the cross sections, also known as the Bernoulli-Navier assumption);
- Validity of the Bernoulli principle—the shear deformability is neglected;
- The stress–strain relationship of the materials are known a priori;
- The stresses are dependent on the strain of the element alone, so that the effects of viscosity and shrinkage over time are neglected;
- It is assumed that the application of the load and the consequent deformation take place in a monotonous way, therefore not explicitly considering the behavior under cyclic loads;
- It assumes the perfect bond between masonry and reinforcement (without slip);
- The ultimate condition of the cross section is reached, either by crushing of the compressed masonry, or tensile failure of the composite system. With reference to the latter, it is assumed that the failure may occur due to the traction of the fiber or abrupt debonding of the composite;
- Composites are effective only in traction and never in compression (assumption due to composite slenderness).
3.2. P-M Domains
3.3. Normalization of Results
- B and H are respectively the base and height of the cross section;
- fc is the compressive strength of the masonry;
- P is the axial load;
- M is the bending moment.
- εm is the strain of the mortar matrix;
- εf is the strain of the composite system (and of fibers) neglecting the thickness of the matrix.
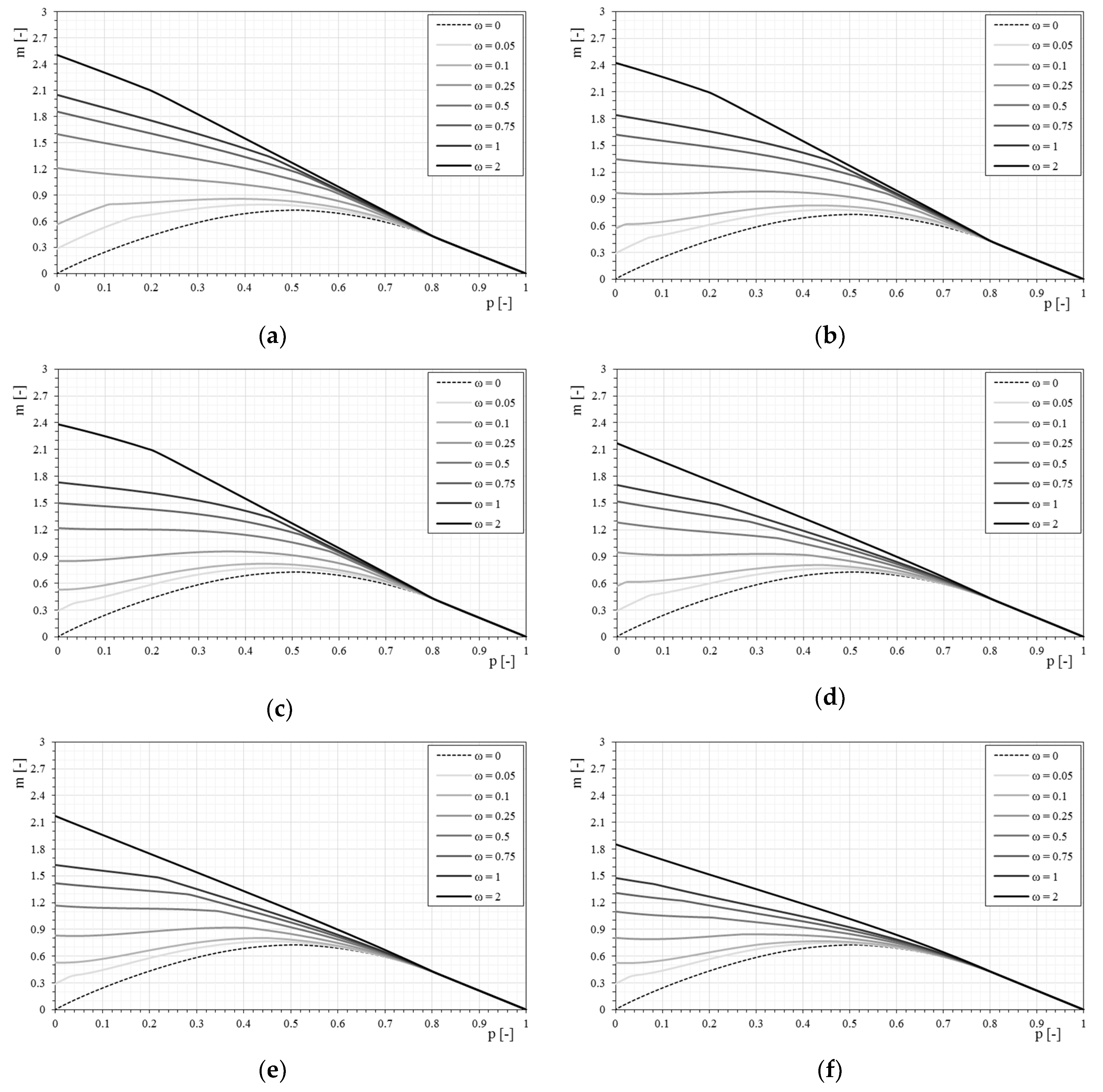
4. Sensitivity Analysis
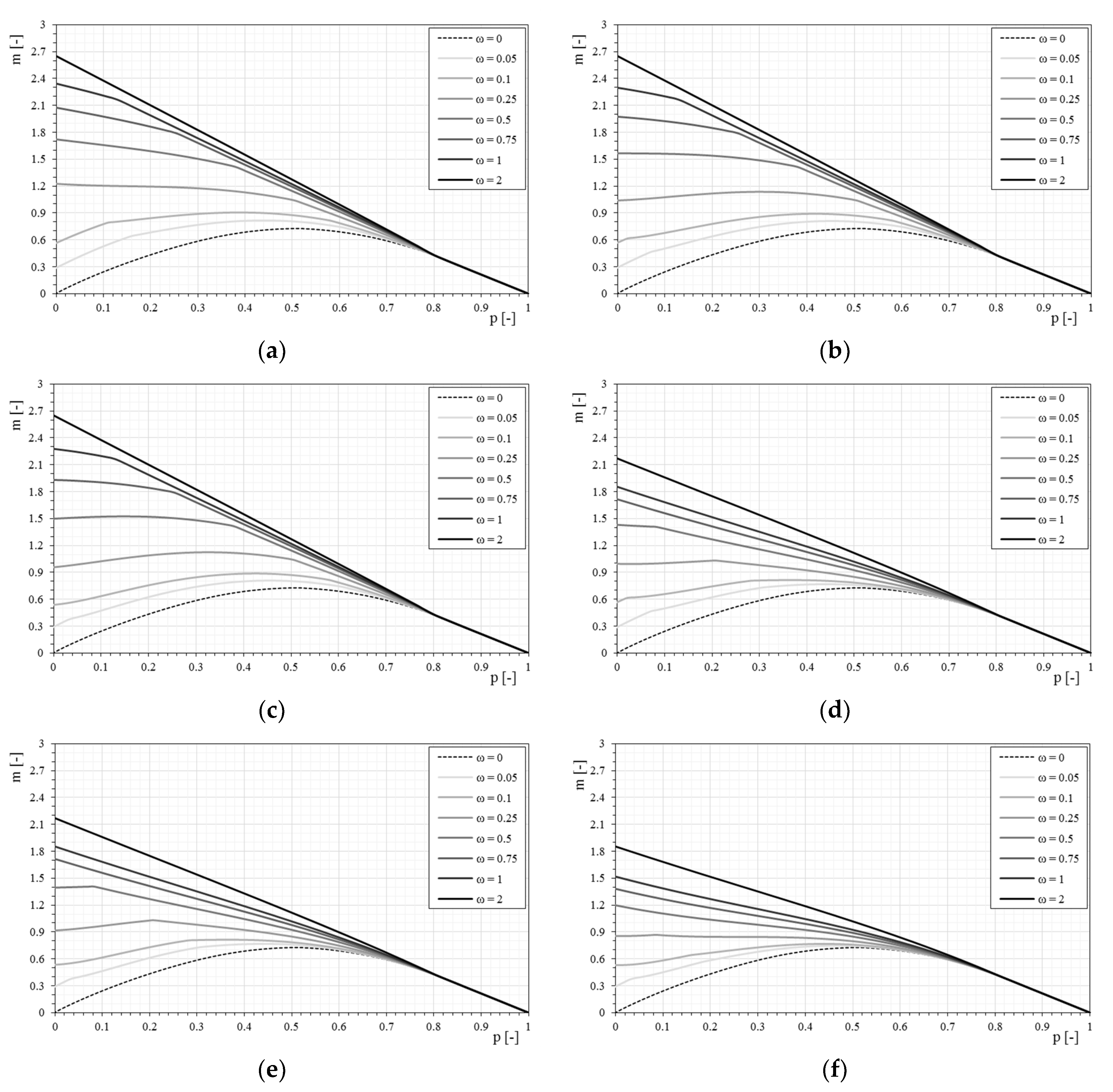
4.1. Linear Behavior
4.2. Bilinear Behavior
4.3. Trilinear Behavior
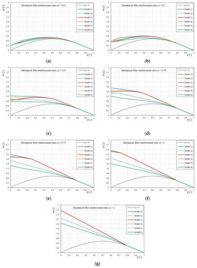
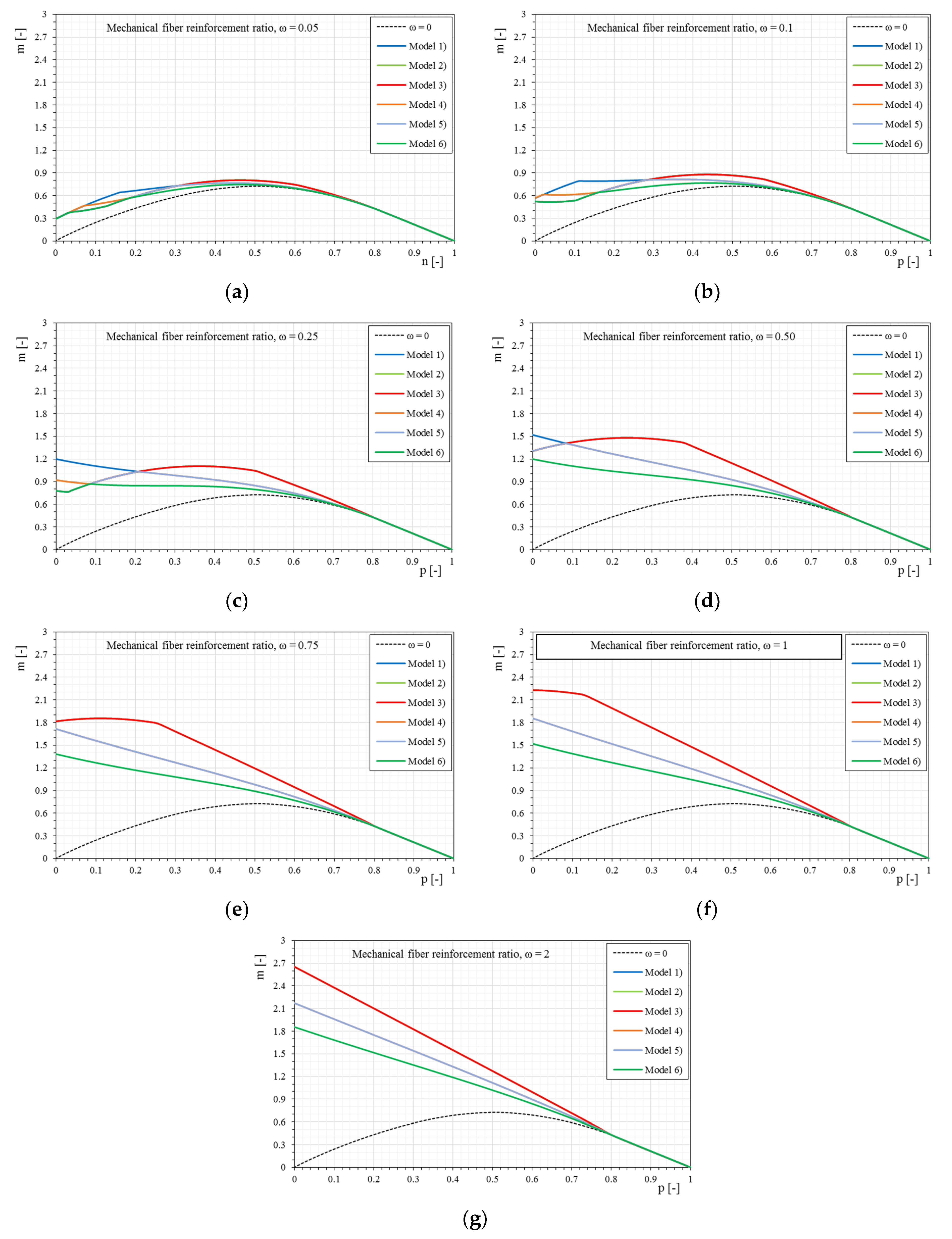
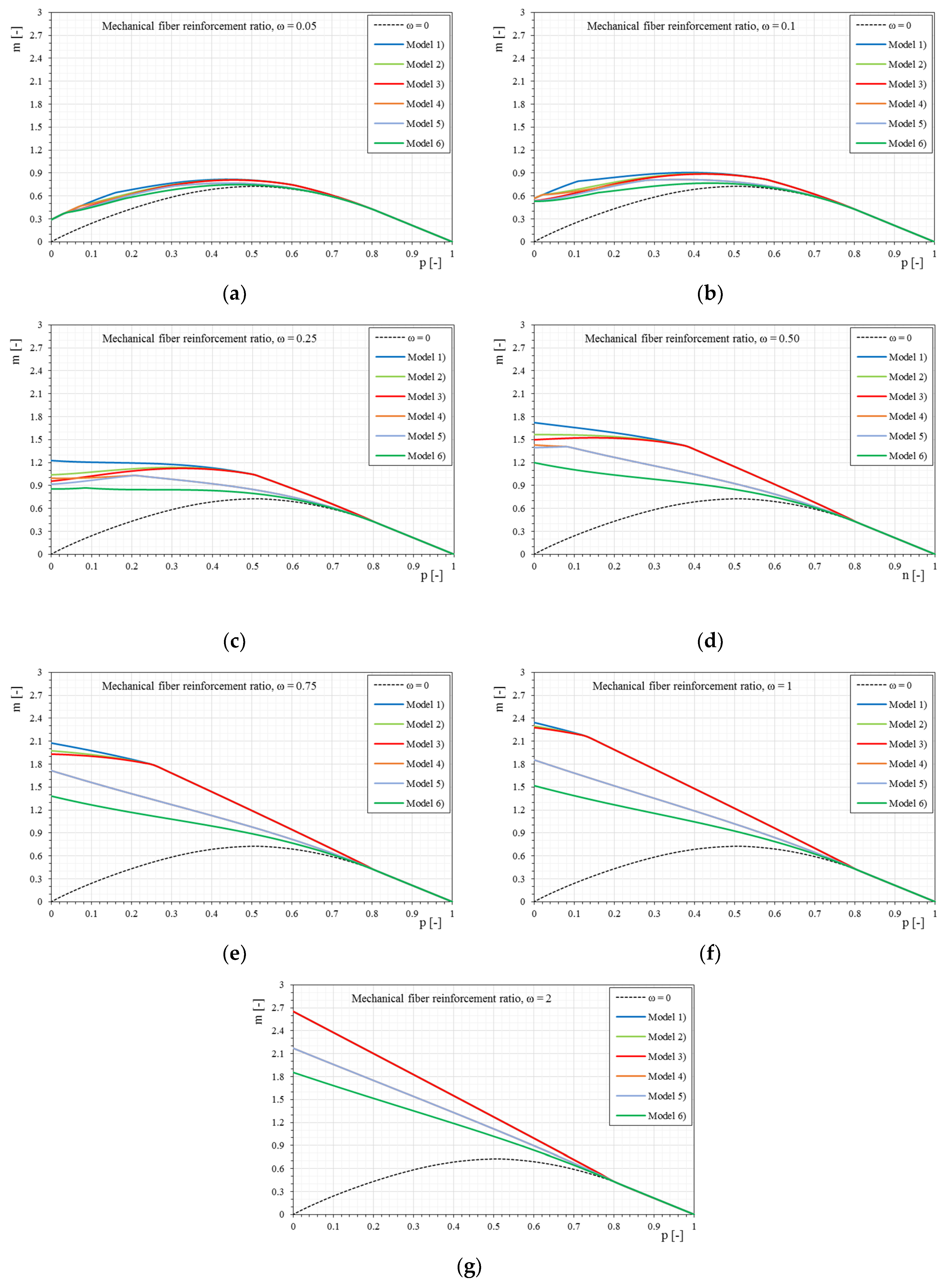
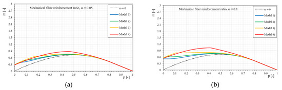
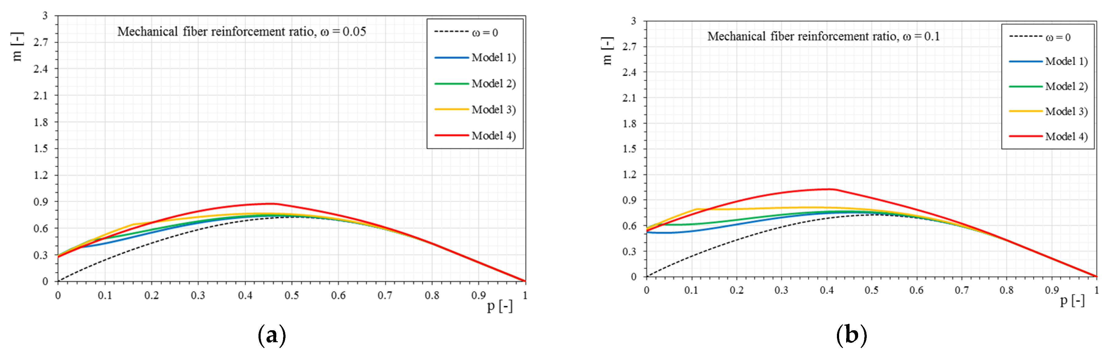
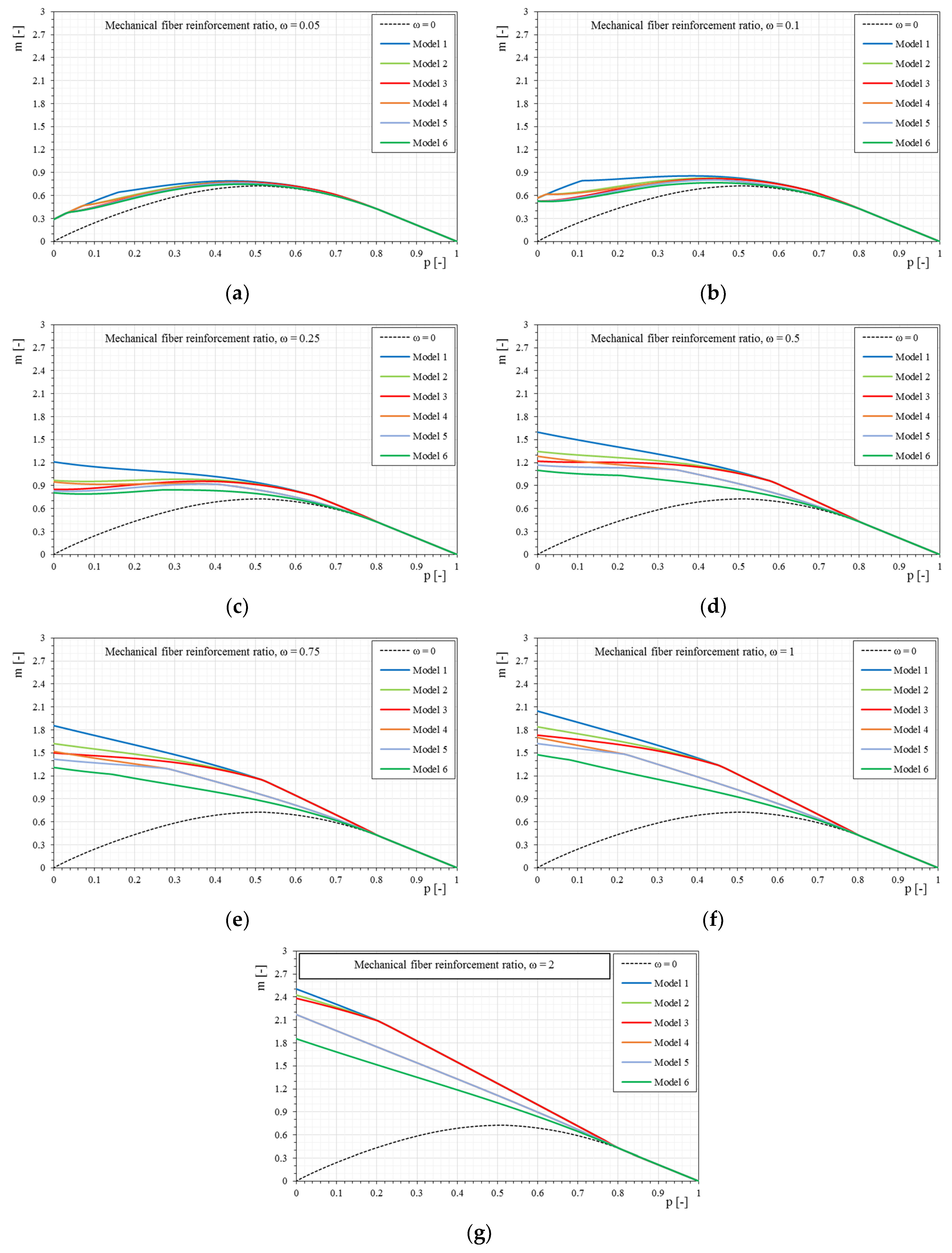
4.4. Different Stress–Strain Constitutive Relationships
5. Conclusions
Author Contributions
Funding
Acknowledgments
Conflicts of Interest
Abbreviations
| normalized uncracked modulus of elasticity of the composite homogenized on the dry fiber | |
| normalized post-cracking modulus of the composite homogenized to the dry fiber | |
| normalized modulus of elasticity of the dry fiber | |
| normalized first cracking strength of the mortar matrix | |
| stress of the composite normalized to the dry fiber | |
| cross section of dry fiber | |
| cross section of matrix | |
| uncracked modulus of elasticity of the composite homogenized to the dry fiber | |
| post- uncracked modulus of elasticity of the composite homogenized to the dry fiber | |
| strain corresponding to the stress at the end of constant stress-strain curve | |
| strain corresponding to the stress | |
| strain of the matrix (and masonry due to perfect bond assumption) | |
| ultimate strain of the composite | |
| ultimate stress of the fiber obtained from the bond tests | |
| B | base of the cross section |
| bf | lever arm of FRCM resultant (i.e. H/2) normalized to H/6, hence it is equal to 3 |
| bm | lever arm of masonry resultant normalized to H/6 |
| Ec | modulus of elasticity of the masonry |
| Ef | modulus of elasticity of the dry fiber |
| Em | modulus of elasticity of the mortar matrix |
| fc | compressive strength of masonry |
| ff | tensile strength of the dry fiber |
| ft | tensile strength of masonry |
| ftm | tensile strength of mortar matrix |
| H | height of the cross section |
| m | normalized bending moment M |
| p | normalized axial load P |
| tf | equivalent thickness of the composite fiber |
| tm | thickness of the mortar layer |
| x | depth of the neutral axis |
| ε | generic strain of masonry or composite |
| εk | conventional yielding strain of masonry in compression |
| εt | conventional ultimate strain of masonry in tension |
| εu | conventional ultimate strain of masonry in compression |
| λ | dimensionless factor that correlates the real distance of centroid of nonlinear stress distribution with the neutral axis depth |
| ξ | neutral axis normalized with respect to cross section height |
| ρm | ratio of the fiber over matrix cross sections |
| σcr | homogenized first cracking in tension of the mortar matrix |
| σm | stress of the mortar matrix |
| ψ | dimensionless factor that correlates the real nonlinear stress distribution with the stress block resultant |
| ω | mechanical fiber reinforcement ratio |
References
- Shrestha, H.; Pradhan, S.; Guragain, R. Experiences on Retrofitting of Low Strength Masonry Buildings by Different Retrofitting Techniques in Nepal. In Proceedings of the 15th World Conference on Earthquake Engineering, Lisbon, Portugal, 24–28 September 2012. [Google Scholar]
- Parisi, F.; Lignola, G.P.; Augenti, N.; Prota, A.; Manfredi, G. Rocking response assessment of in-plane laterally-loaded masonry walls with openings. Eng. Struct. 2013, 56, 1234–1248. [Google Scholar] [CrossRef]
- Dizhur, D.; Ingham, J.; Moon, L.; Griffith, M.; Schultz, A.; Senaldi, I.; Magenes, G.; Dickie, J.; Lissel, S.; Centeno, J.; et al. Performance of masonry buildings and churches in the 22 February 2011 Christchurch earthquake. Bull. N. Zeal. Soc. Earthq. Eng. 2011, 44, 279–296. [Google Scholar]
- Betti, M.; Vignoli, A. Modelling and analysis of a Romanesque church under earthquake loading: Assessment of seismic resistance. Eng. Struct. 2008, 30, 352–367. [Google Scholar] [CrossRef]
- Bilotta, A.; Ceroni, F.; Nigro, E.; Pecce, M. Experimental tests on FRCM strengthening systems for tuff masonry elements. Constr. Build. Mater. 2017, 138, 114–133. [Google Scholar] [CrossRef]
- D’Ambra, C.; Lignola, G.P.; Prota, A.; Sacco, E.; Fabbrocino, F. Experimental performance of FRCM retrofit on out-of-plane behaviour of clay brick walls. Compos. Part B Eng. 2018, 148, 198–206. [Google Scholar] [CrossRef]
- Kwiecień, A.; de Felice, G.; Oliveira, D.V.; Zając, B.; Bellini, A.; De Santis, S.; Ghiassi, B.; Lignola, G.P.; Lourenço, P.B.; Mazzotti, C.; et al. Repair of composite-to-masonry bond using flexible matrix. Mater. Struct. 2016, 49, 2563–2580. [Google Scholar] [CrossRef]
- Foraboschi, P. Church of San Giuliano di Puglia: Seismic repair and upgrading. Eng. Fail. Anal. 2013, 33, 281–314. [Google Scholar] [CrossRef]
- Ramaglia, G.; Lignola, G.P.; Fabbrocino, F.; Prota, A. Numerical Modelling of Masonry Barrel Vaults Reinforced with Textile Reinforced Mortars. Key Eng. Mater. 2017, 747, 11–19. [Google Scholar] [CrossRef]
- Xu, C.; Xiangli, C.; Bin, L. Modeling of influence of heterogeneity on mechanical performance of unreinforced masonry shear walls. Constr. Build. Mater. 2012, 26, 90–95. [Google Scholar] [CrossRef]
- Ramaglia, G.; Lignola, G.P.; Fabbrocino, F.; Prota, A. Numerical investigation of masonry strengthened with composites. Polymers 2018, 10, 334. [Google Scholar] [CrossRef]
- Belliazzi, S.; Lignola, G.P.; Prota, A. Textile Reinforced Mortars systems: a sustainable way to retrofit structural masonry walls under tsunami loads. Int. J. Mason. Res. Innov. 2018, 3, 200–222. [Google Scholar] [CrossRef]
- Giamundo, V.; Lignola, G.P.; Maddaloni, G.; da Porto, F.; Prota, A.; Manfredi, G. Shaking table tests on a full-scale unreinforced and IMG-retrofitted clay brick masonry barrel vault. Springer Bull. Earthq. Eng. 2016, 14, 1663–1693. [Google Scholar] [CrossRef]
- Ramaglia, G.; Lignola, G.P.; Fabbrocino, F.; Prota, A. Simplified model for collapse analysis of masonry barrel vaults. Brick and Block Masonry: Trends, Innovations and Challenges. In Proceedings of the 16th International Brick and Block Masonry Conference, Padova, Italy, 26–30 June 2016. [Google Scholar]
- CEN Eurocode 6—Design of Masonry Structures. Part 1-1: General Rules for Reinforced and Unreinforced Masonry Structures; British Standards Institution: London, UK, 2005.
- IBC2018 Italian Building Code: Ministerial Decree 17 Geunary 2018, Aggiornamento Delle Norme Tecniche delle Costruzioni; Ministry of Infrastructure and Transport: Rome, Italy, 2018.
- D’Ambrisi, A.; Focacci, F.; Luciano, R.; Alecci, V.; De Stefano, M. Carbon-FRCM materials for structural upgrade of masonry arch road bridges. Compos. Part B Eng. 2015. [Google Scholar] [CrossRef]
- Arboleda, D. Fabric Reinforced Cementitious Matrix (FRCM) Composites for Infrastructure Strengthening and Rehabilitation: Characterization Methods. Ph.D. Thesis, University of Miami, Coral Gables, FL, USA, 2014. [Google Scholar]
- Fabbrocino, F.; Ramaglia, G.; Lignola, G.P.; Prota, A. Ductility-based incremental analysis of curved masonry structures. Eng. Fail. Anal. 2019, 97, 653–675. [Google Scholar] [CrossRef]
- Parisi, F.; Augenti, N. Earthquake damages to cultural heritage constructions and simplified assessment of artworks. Eng. Fail. Anal. 2013, 34, 735–760. [Google Scholar] [CrossRef]
- Lourenço, P.B. Experimental and Numerical Issues in the Modelling of the Mechanical Behaviour of Masonry; CIMNE: Barcelona, Spain, 1998. [Google Scholar]
- Costigan, A.; Pavía, S.; Kinnane, O. An experimental evaluation of prediction models for the mechanical behavior of unreinforced, lime-mortar masonry under compression. J. Build. Eng. 2015, 4, 283–294. [Google Scholar] [CrossRef]
- Magenes, G.; Calvi, G.M. In-plane seismic response of brick masonry walls. Earthq. Eng. Struct. Dyn. 1997, 26, 1091–1112. [Google Scholar] [CrossRef]
- Zucchini, A.; Lourenço, P.B. A coupled homogenisation-damage model for masonry cracking. Comput. Struct. 2004, 82, 917–929. [Google Scholar] [CrossRef]
- Portioli, F.; Cascini, L.; Casapulla, C.; D’Aniello, M. Limit analysis of masonry walls by rigid block modelling with cracking units and cohesive joints using linear programming. Eng. Struct. 2013, 57, 232–247. [Google Scholar] [CrossRef]
- Miccoli, L.; Garofano, A.; Fontana, P.; Müller, U. Experimental testing and finite element modelling of earth block masonry. Eng. Struct. 2015, 104, 80–94. [Google Scholar] [CrossRef]
- Lourenço, P.B.; Rots, J.G.; Blaauwendraad, J. Continuum Model for Masonry: Parameter Estimation and Validation. J. Struct. Eng. 1998, 124. [Google Scholar] [CrossRef]
- De Felice, G.; Aiello, M.A.; Caggegi, C.; Ceroni, F.; De Santis, S.; Garbin, E.; Gattesco, N.; Hojdys, Ł.; Krajewski, P.; Kwiecień, A.; Leone, M.; et al. Recommendation of RILEM Technical Committee 250-CSM: Test method for Textile Reinforced Mortar to substrate bond characterization, spring. Mater. Struct. 2018, 51. [Google Scholar] [CrossRef]
- Carozzi, F.G.; Bellini, A.; D’Antino, T.; de Felice, G.; Focacci, F.; Hojdys, Ł.; Laghi, L.; Lanoye, E.; Micelli, F.; Panizza, M.; et al. Experimental investigation of tensile and bond properties of Carbon-FRCM composites for strengthening masonry elements. Compos. Part B 2017, 128, 100–119. [Google Scholar] [CrossRef]
- Lignola, G.P.; Caggegi, C.; Ceroni, F.; de Santis, S.; Krajewski, P.; Lourenço, P.B.; Morganti, M.; Papanicolaou, C.; Pellegrino, C.; Prota, A.; et al. Performance assessment of basalt FRCM for retrofit applications on masonry. Compos. Part B 2017, 128, 1–18. [Google Scholar] [CrossRef]
- De Santis, S.; Ceroni, F.; de Felice, G.; Fagone, M.; Ghiassi, B.; Kwiecień, A.; Lignola, G.P.; Morganti, M.; Santandrea, M.; Valluzzi, M.R.; et al. Round Robin Test on tensile and bond behavior of Steel Reinforced Grout systems. Compos. Part B 2017, 127, 100–120. [Google Scholar] [CrossRef]
- Leone, M.; Aiello, M.A.; Balsamo, A.; Carozzi, F.G.; Ceroni, F.; Corradi, M.; Gams, M.; Garbin, E.; Gattesco, N.; Krajewski, P.; et al. Glass fabric reinforced cementitious matrix: Tensile properties and bond performance on masonry substrate. Compos. Part B 2017, 127, 196–214. [Google Scholar] [CrossRef]
- Donnini, J.; Corinaldesi, V. Mechanical characterization of different FRCM systems for structural reinforcement. Constr. Build. Mater. 2017, 145, 565–575. [Google Scholar] [CrossRef]
- Ismail, N.; El-Maaddawy, T.; Khattak, N. Quasi-static in-plane testing of FRCM strengthened non-ductile reinforced concrete frames with masonry infills. Constr. Build. Mater. 2018, 186, 1286–1298. [Google Scholar] [CrossRef]
- D’Antino, T.; Papanicolaou, C. Mechanical characterization of textile reinforced inorganic-matrix composites. Compos. Part. B. Eng. 2017, 127, 78–91. [Google Scholar] [CrossRef]
- Alecci, V.; De Stefano, M.; Focacci, F.; Luciano, R.; Rovero, L.; Stipo, G. Strengthening Masonry Arches with Lime-Based Mortar Composite. Buildings 2017, 7, 49. [Google Scholar] [CrossRef]
- Bilotta, A.; Ceroni, F.; Lignola, G.P.; Prota, A. Use of DIC technique for investigating the behaviour of FRCM materials for strengthening masonry elements. Compos. Part B Eng. 2017, 129, 251–270. [Google Scholar] [CrossRef]
- Lignola, G.P.; Bilotta, A.; Ceroni, F. Assessment of the effect of FRCM materials on the behaviour of masonry walls by means of FE models. Eng. Strct. 2019, 184, 145–157. [Google Scholar] [CrossRef]
- Maddaloni, G.; Di Ludovico, M.; Balsamo, A.; Maddaloni, G.; Prota, A. Dynamic assessment of innovative retrofit techniques for masonry buildings. Compos. Part B Eng. 2018, 147, 147–161. [Google Scholar] [CrossRef]
- Pantò, B.; Malena, M.; De Felice, G. Numerical assessment of the out-of-plane response of masonry panels reinforced by means of FRCM systems. In Proceedings of the 6th International Conference on Computational Methods in Structural Dynamics and Earthquake Engineering, Rhodes Island, Greece, 15–17 June 2017. [Google Scholar] [CrossRef]
- Minafò, G.; La Mendola, L. Experimental investigation on the effect of mortar grade on the compressive behaviour of FRCM confined masonry columns. Compos. Part B Eng. 2018, 146, 1–12. [Google Scholar] [CrossRef]
- Ferretti, F.; Incerti, A.; Ferracuti, B.; Mazzotti, C. FRCM strengthened masonry panels: The role of mechanical anchorages and symmetric layouts. Key Eng. Mater. 2017, 747, 334–341. [Google Scholar] [CrossRef]
- Carozzi, F.G.; Poggi, C. Mechanical properties and debonding strength of Fabric Reinforced Cementitious Matrix (FRCM) systems for masonry strengthening. Compos. Part B Eng. 2015, 70, 215–230. [Google Scholar] [CrossRef]
- CNR-DT 200 R1/2013, Istruzioni per la Progettazione, l’Esecuzione ed il Controllo di Interventi di Consolidamento Statico mediante l’utilizzo di Compositi Fibrorinforzati; Commissione di Studio per la Predisposizione e l’Analisi di Norme Tecniche Relative alle Costruzioni (CNR): Rome, Italy, 2013.
- ACI 440.2R-17, Guide for the Design and Construction of Externally Bonded FRP Systems for Strengthening Concrete Structures; American Concrete Institute: Farmington Hills, MI, USA, 2017.
- CNR-DT 215/2018, Istruzioni per la Progettazione, l’Esecuzione ed il Controllo di Interventi di Consolidamento Statico Mediante l’utilizzo di Compositi Fibrorinforzati a Matrice Inorganica; Commissione di Studio per la Predisposizione e l’Analisi di Norme Tecniche relative alle costruzioni (CNR): Rome, Italy, 2018.
- ACI 549.4R-13, Guide to Design and Construction of Externally Bonded Fabric-Reinforced Cementitious Matrix (FRCM) Systems for Repair and Strengthening Concrete and Masonry Structures; ACI Committee 549; American Concrete Institute: Farmington Hills, MI, USA, 2013.
- Roscini, F.; De Santis, S.; de Felice, G. Experimental investigation on the mechanical behaviour of mortar-based strengthening systems. In Structural Analysis of Historical Constructions—Anamnesis, Diagnosis, Therapy, Controls; Taylor & Francis Group: London, UK, 2016; ISBN 978-1-138-02951-4. [Google Scholar]
- Sgriccia, N.; Hawley, M.C.; Misra, M. Characterization of natural fiber surfaces and natural fiber composites. Compos. Part A Appl. Sci. Manuf. 2008, 39, 1632–1637. [Google Scholar] [CrossRef]
- Ramaglia, G.; Lignola, G.P.; Fabbrocino, F.; Prota, A. Impact of natural fibers on the ultimate behaviour of masonry elements. In Proceedings of the 23rd Conference of the Italian Association of Theoretical and Applied Mechanics, Salerno, Italy, 4–7 Settembre 2017. [Google Scholar]
- Lignola, G.P.; Giamundo, V.; Prota, A.; Cosenza, E. A unified theory for RC cross sections up to ultimate load, including hardening or softening of concrete. In Proceedings of the 4th Fib Congress 2014, Mumbai, India, 10–14 February 2014; pp. 134–193. [Google Scholar]




















| Parameter | Minimum | Maximum |
|---|---|---|
| Masonry strength, fc | 1 MPa | 10 MPa |
| Modulus of elasticity of the masonry, Ec | 1 GPa | 5 GPa |
| Dry fiber thickness, tf | 0.1 mm | 1 mm |
| Dry fiber strength, ff | 500 MPa | 3000 MPa |
| Modulus of elasticity of the fry fiber, Ef | 50 GPa | 250 GPa |
| Mortar matrix thickness, tm | 5 mm | 20 mm |
| 0.5 MPa | 20 MPa | |
| Modulus of elasticity of the mortar matrix, Em | 5 GPa | 22 GPa |
© 2019 by the authors. Licensee MDPI, Basel, Switzerland. This article is an open access article distributed under the terms and conditions of the Creative Commons Attribution (CC BY) license (http://creativecommons.org/licenses/by/4.0/).
Share and Cite
Ramaglia, G.; Fabbrocino, F.; Lignola, G.P.; Prota, A. Unified Theory for Flexural Strengthening of Masonry with Composites. Materials 2019, 12, 680. https://doi.org/10.3390/ma12040680
Ramaglia G, Fabbrocino F, Lignola GP, Prota A. Unified Theory for Flexural Strengthening of Masonry with Composites. Materials. 2019; 12(4):680. https://doi.org/10.3390/ma12040680
Chicago/Turabian StyleRamaglia, Giancarlo, Francesco Fabbrocino, Gian Piero Lignola, and Andrea Prota. 2019. "Unified Theory for Flexural Strengthening of Masonry with Composites" Materials 12, no. 4: 680. https://doi.org/10.3390/ma12040680
APA StyleRamaglia, G., Fabbrocino, F., Lignola, G. P., & Prota, A. (2019). Unified Theory for Flexural Strengthening of Masonry with Composites. Materials, 12(4), 680. https://doi.org/10.3390/ma12040680

