Nd-Fe-B Magnets: The Gradient Change of Microstructures and the Diffusion Principle after Grain Boundary Diffusion Process
Abstract
:1. Introduction
2. Materials and Methods
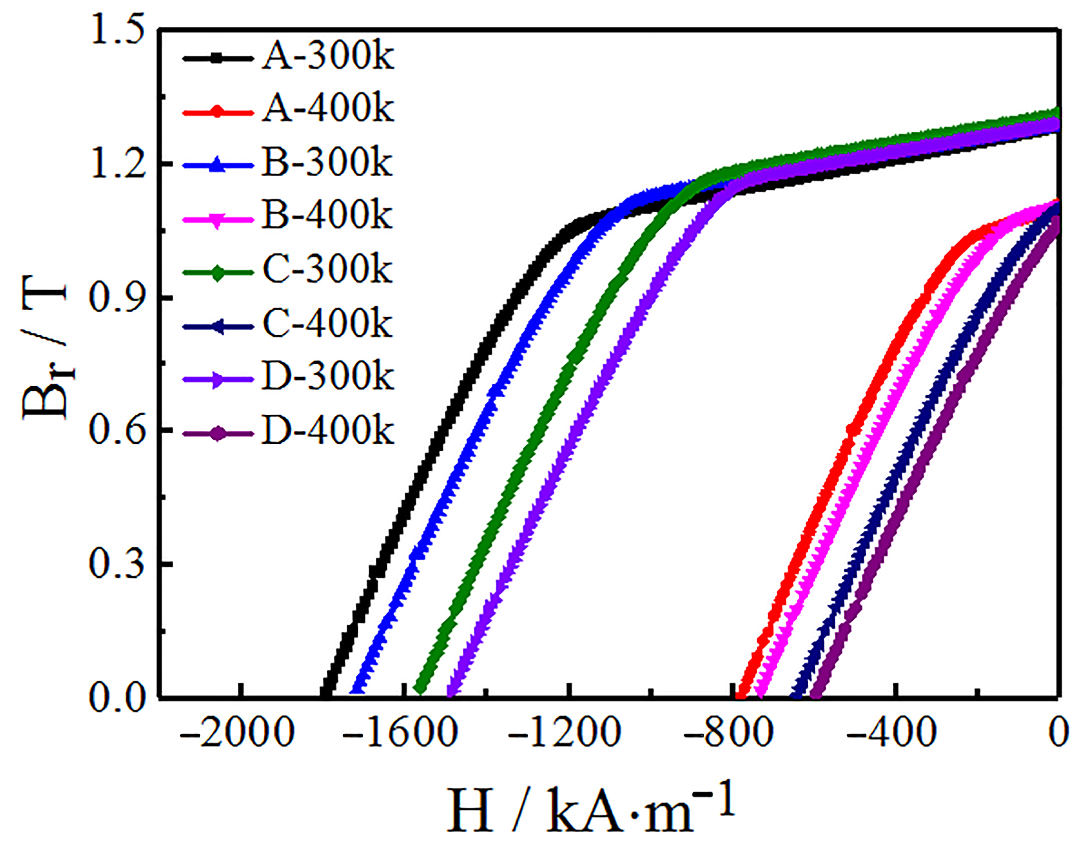
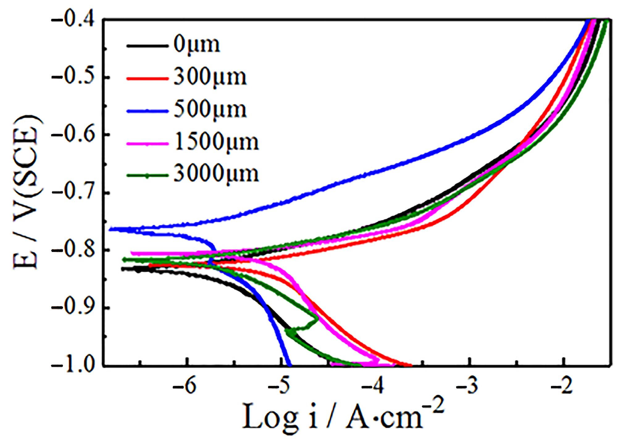
3. Results and Discussion
4. Conclusions
Author Contributions
Funding
Acknowledgments
Conflicts of Interest
References
- Sagawa, M.; Fujimura, S.; Togawa, N.; Yamamoto, H.; Matsuura, Y. New material for permanent magnets on a base of Nd and Fe (invited). J. Appl. Phys. 1984, 55, 2083–2087. [Google Scholar] [CrossRef]
- Loewe, K.; Benke, D.; Kübel, C.; Lienig, T.; Skokov, K.; Gutfleisch, O.; Skokov, K. Grain boundary diffusion of different rare earth elements in Nd-Fe-B sintered magnets by experiment and FEM simulation. Acta Mater. 2017, 124, 421–429. [Google Scholar] [CrossRef]
- Sepehri-Amin, H.; Ohkubo, T.; Shima, T.; Hono, K. Grain boundary and interface chemistry of an Nd–Fe–B-based sintered magnet. Acta Mater. 2012, 60, 819–830. [Google Scholar] [CrossRef]
- Li, Y.; Zhu, M.; Li, A.; Feng, H.; Huang, S.; Li, W.; Du, A.; Qi, Y. Relationship between controllable preparation and microstructure of NdFeB sintered magnets. J. Rare Earths 2014, 32, 628–632. [Google Scholar] [CrossRef]
- Soderžnik, M.; Korent, M.; Soderžnik, K.Ž.; Katter, M.; Üstüner, K.; Kobe, S. High-coercivity Nd-Fe-B magnets obtained with the electrophoretic deposition of submicron TbF3 followed by the grain-boundary diffusion process. Acta Mater. 2016, 115, 278–284. [Google Scholar]
- Kobayashi, K.; Urushibata, K.; Matsushita, T.; Sakamoto, S.; Suzuki, S. Magnetic properties and domain structures in Nd–Fe–B sintered magnets with Tb additive reacted and diffused from the sample surface. J. Alloy. Compd. 2014, 615, 569–575. [Google Scholar] [CrossRef]
- Li, W.; Zhou, Q.; Zhao, L.; Wang, Q.; Zhong, X.; Liu, Z. Micromagnetic simulation of anisotropic grain boundary diffusion for sintered Nd-Fe-B magnets. J. Magn. Magn. Mater. 2018, 451, 704–709. [Google Scholar] [CrossRef]
- Li, J.; Liu, L.; Sepehri-Amin, H.; Tang, X.; Ohkubo, T.; Sakuma, N.; Shoji, T.; Kato, A.; Schrefl, T.; Hono, K. Coercivity and its thermal stability of Nd Fe B hot-deformed magnets enhanced by the eutectic grain boundary diffusion process. Acta Mater. 2018, 161, 171–181. [Google Scholar] [CrossRef]
- Soderžnik, M.; Rožman, K.Ž. The grain-boundary diffusion process in Nd–Fe–B sintered magnets based on the electrophoretic deposition of DyF3. Intermetallics 2012, 23, 158–162. [Google Scholar]
- Chen, W.; Huang, Y.; Luo, J.; Hou, Y.; Ge, X.; Guan, Y.; Liu, Z.; Zhong, Z.; Wang, G. Microstructure and improved properties of sintered Nd-Fe-B magnets by grain boundary diffusion of non-rare earth. J. Magn. Magn. Mater. 2019, 476, 134–141. [Google Scholar] [CrossRef]
- Sueptitz, R.; Sawatzki, S. Effect of DyF3 on the corrosion behavior of hot-pressed Nd-Fe-B permanent magnets. Mater. Corros. 2015, 66, 152–157. [Google Scholar] [CrossRef]
- Komuro, M.; Satsu, Y.; Suzuki, H. Increase of Coercivity and Composition Distribution in Fluoride-Diffused NdFeB Sintered Magnets Treated by Fluoride Solutions. IEEE Trans. Magn. 2010, 46, 3831–3833. [Google Scholar] [CrossRef]
- Zhou, L.; Li, J.; Cheng, X.; Liu, T.; Yu, X.; Li, B. Dy gradient and coercivity in grain boundary diffusion processed Nd-Fe-B magnet. J. Rare Earths 2017, 35, 559–566. [Google Scholar] [CrossRef]
- Wu, D.; Liu, W.; Yue, M.; Wu, Q.; Zhang, D.-T.; Lu, Q.-M.; Li, X.-L.; Chen, J.-W. Coercivity enhancement mechanism of Tb-diffusion Nd–Fe–B sintered magnets studied by magneto-optical Kerr optical microscope. Rare Metals 2019, 1–5. [Google Scholar] [CrossRef]
- Samardžija, Z.; McGuiness, P.; Soderžnik, M.; Kobe, S.; Sagawa, M. Microstructural and compositional characterization of terbium-doped Nd–Fe–B sintered magnets. Mater. Charact. 2012, 67, 27–33. [Google Scholar] [CrossRef]
- Zhou, S.Z.; Dong, Q.F. Supermagnets: Rare-Earth and Iron System Permanent Magnet; Metallurgical Industry Press: Beijing, China, 2004; pp. 71–72. (In Chinese) [Google Scholar]
- Liu, Q.; Tang, X.; Chen, R.; Wang, Z.; Ju, J.; Yin, W.; Yan, A.; Xu, H. Effect of Tb-Fe diffusion on magnetic properties and thermal stability of hot-deformed magnets. J. Alloy. Compd. 2018, 773, 1108–1113. [Google Scholar] [CrossRef]
- Li, J.; Guo, C.; Zhou, T.; Qi, Z.; Yu, X.; Yang, B.; Zhu, M. Effects of diffusing DyZn film on magnetic properties and thermal stability of sintered NdFeB magnets. J. Magn. Magn. Mater. 2018, 454, 215–220. [Google Scholar] [CrossRef]
- Li, C.; Sun, A.; Tian, Z.; Zhang, X.; Ma, B. Efficient reuse of the waste sintered NdFeB magnet with Dy2O3 addition. J. Magn. Magn. Mater. 2018, 462, 41–45. [Google Scholar] [CrossRef]
- Yang, M.; Wang, H.; Hu, Y.; Yang, L.; MacLennan, A.; Yang, B. Increased coercivity for Nd-Fe-B melt spun ribbons with 20 at % Ce addition: The role of compositional fluctuation and Ce valence state. J. Alloy. Compd. 2017, 710, 519–527. [Google Scholar] [CrossRef]
- Lee, S.; Kwon, J.; Cha, H.-R.; Kim, K.M.; Kwon, H.-W.; Lee, J.; Lee, D. Enhancement of coercivity in sintered Nd-Fe-B magnets by grain-boundary diffusion of electrodeposited Cu-Nd Alloys. Met. Mater. Int. 2016, 22, 340–344. [Google Scholar] [CrossRef]
- Hu, G.X.; Cai, X. Fundamentals of Materials Science; Shanghai Jiao Tong University Press: Shanghai, china, 2000; pp. 136–137. (In Chinese) [Google Scholar]
- Ma, T.; Yan, M.; Wu, K.; Wu, B.; Liu, X.; Wang, X.; Qian, Z.; Wu, C.; Xia, W. Grain boundary restructuring of multi-main-phase Nd-Ce-Fe-B sintered magnets with Nd hydrides. Acta Mater. 2018, 142, 18–28. [Google Scholar] [CrossRef]
- Sasaki, T.; Ohkubo, T.; Takada, Y.; Sato, T.; Kato, A.; Kaneko, Y.; Hono, K. Formation of non-ferromagnetic grain boundary phase in a Ga-doped Nd-rich Nd–Fe–B sintered magnet. Scr. Mater. 2016, 113, 218–221. [Google Scholar] [CrossRef]
- Di, J.; Guo, S.; Chen, L.; Yi, P.; Ding, G.; Chen, K.; Li, M.; Lee, D.; Yan, A. Improved corrosion resistance and thermal stability of sintered Nd-Fe-B magnets with holmium substitution. J. Rare Earths 2018, 36, 826–831. [Google Scholar] [CrossRef]
- Xu, L.; Jiang, C.; Zhou, C.; Xu, H. Magnetostriction and corrosion resistance of Tb0.3Dy0.7(Fe1−xSix)1.95 alloys. J. Alloy. Compd. 2008, 455, 203–206. [Google Scholar] [CrossRef]








| Materials | Br/T | Hcj/KA·m−1 | (BH)max/kJ·m−3 |
|---|---|---|---|
| Original magnets | 1.407 | 1180.17 | 351.48 |
| GBDP magnets | 1.395 | 1685.13 | 347.98 |
| Temperature Coefficients | A | B | C | D |
|---|---|---|---|---|
| αBr/% K−1 | 0.12147 | 0.13030 | 0.14169 | 0.16183 |
| βHcj/% K−1 | 0.55635 | 0.57208 | 0.59032 | 0.59818 |
© 2019 by the authors. Licensee MDPI, Basel, Switzerland. This article is an open access article distributed under the terms and conditions of the Creative Commons Attribution (CC BY) license (http://creativecommons.org/licenses/by/4.0/).
Share and Cite
Lu, Y.; Zhong, S.; Yang, M.; Wang, C.; Yang, L.; Li, L.; Yang, B. Nd-Fe-B Magnets: The Gradient Change of Microstructures and the Diffusion Principle after Grain Boundary Diffusion Process. Materials 2019, 12, 3881. https://doi.org/10.3390/ma12233881
Lu Y, Zhong S, Yang M, Wang C, Yang L, Li L, Yang B. Nd-Fe-B Magnets: The Gradient Change of Microstructures and the Diffusion Principle after Grain Boundary Diffusion Process. Materials. 2019; 12(23):3881. https://doi.org/10.3390/ma12233881
Chicago/Turabian StyleLu, Yaojun, Shuwei Zhong, Munan Yang, Chunming Wang, Liuyimei Yang, Longgui Li, and Bin Yang. 2019. "Nd-Fe-B Magnets: The Gradient Change of Microstructures and the Diffusion Principle after Grain Boundary Diffusion Process" Materials 12, no. 23: 3881. https://doi.org/10.3390/ma12233881
APA StyleLu, Y., Zhong, S., Yang, M., Wang, C., Yang, L., Li, L., & Yang, B. (2019). Nd-Fe-B Magnets: The Gradient Change of Microstructures and the Diffusion Principle after Grain Boundary Diffusion Process. Materials, 12(23), 3881. https://doi.org/10.3390/ma12233881

