The Effect of Inner Friction on Concrete Fracture Behavior under Biaxial Compression: A 3D Mesostructure Study
Abstract
1. Introduction
2. Numerical Model
2.1. 3D Mesostructure Based on the Voronoi Tessellation
2.2. FE Discretization and Insertion of Cohesive Elements
2.3. Constitutive Model Applied in Cohesive Elements
2.4. Extraction of Energies
3. Numerical Samples and Results
3.1. Basic Simulation Information
3.1.1. FE Input Data
3.1.2. Mesh Convergence Analysis
3.1.3. Quasi-Static Condition Examination
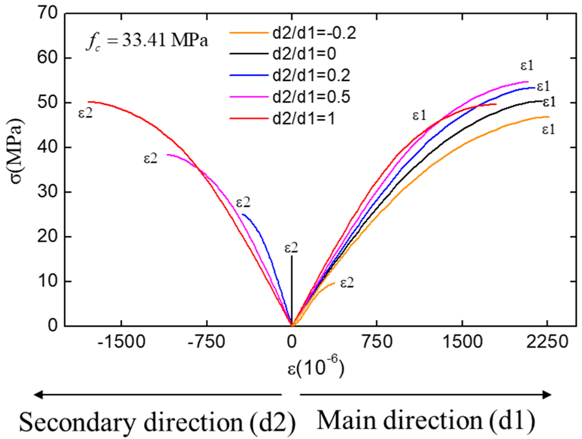
3.2. Typical Fracture Behavior of Concrete Specimens under Biaxial Compression
3.2.1. Fracture Behavior
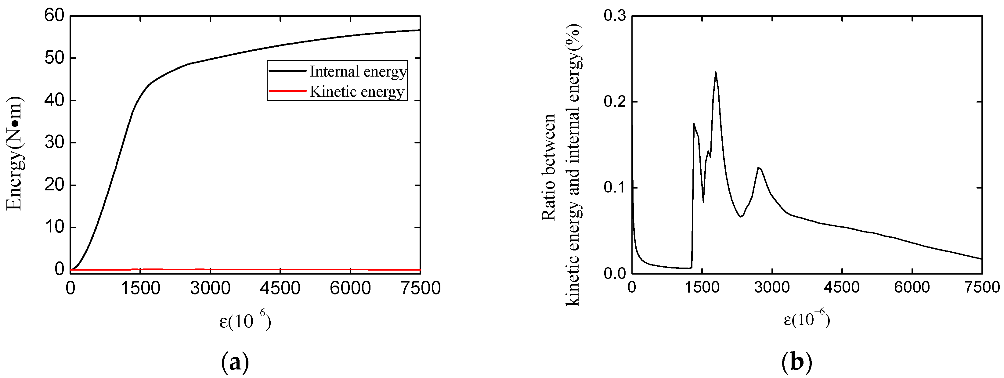
3.2.2. Energy Analysis
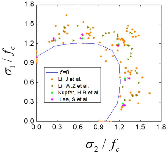
3.3. Effect of Inner Friction Coefficient
4. Conclusions
Author Contributions
Funding
Acknowledgments
Conflicts of Interest
References
- Kupfer, H.B.; Gerstle, K.H. Behavior of Concrete Under Biaxial Stresses. J. Eng. Mech. Div. 1973, 99, 853–866. [Google Scholar]
- Tasuji, M.E.; Nilson, A.H.; Slate, F.O. Biaxial strees–strain relationships for concrete. Mag. Concr. Res. 1979, 31, 217–224. [Google Scholar] [CrossRef]
- Li, W.Z.; Guo, Z.H. Experimental Research for Strength and Deformation of Concrete Under Biaxial Tension-Compression Loading. J. Hydraul. Eng. 1991, 8, 51–56. [Google Scholar]
- Hussein, A.A. Behaviour of High-Strength Concrete Under Biaxial Loading Conditions. Ph.D. Thesis, Memorial University of Newfoundland, St. John, NL, Canada, 1998. [Google Scholar]
- Lee, S.K.; Song, Y.C.; Han, S.H. Biaxial behavior of plain concrete of nuclear containment building. Nucl. Eng. Des. 2004, 227, 143–153. [Google Scholar] [CrossRef]
- Ren, X.; Yang, W.; Zhou, Y.; Li, J. Behavior of High-Performance Concrete Under Uniaxial and Biaxial Loading. ACI Mater. J. 2008, 105, 548. [Google Scholar]
- Deng, Z.; Sheng, J.; Wang, Y. Strength and Constitutive Model of Recycled Concrete under Biaxial Compression. KSCE J. Civ. Eng. 2019, 23, 699–710. [Google Scholar] [CrossRef]
- Li, J.; Ren, X. Stochastic damage model for concrete based on energy equivalent strain. Int. J. Solids Struct. 2009, 46, 2407–2419. [Google Scholar] [CrossRef]
- Karavelić, E.; Nikolić, M.; Ibrahimbegovic, A.; Kurtović, A. Concrete Meso-Scale Model with Full Set of 3D Failure Modes with Random Distribution of Aggregate and Cement Phase. Part I: Formulation and Numerical Implementation. Comput. Methods Appl. Mech. Eng. 2017, 344, 1051–1072. [Google Scholar] [CrossRef]
- Lu, D.; Zhou, X.; Du, X.; Wang, G. A 3D fractional elastoplastic constitutive model for concrete material. Int. J. Solids Struct. 2019, 165, 160–175. [Google Scholar] [CrossRef]
- Wang, Z.; Kwan, A.; Chan, H. Mesoscopic study of concrete I: Generation of random aggregate structure and finite element mesh. Comput. Struct. 1999, 70, 533–544. [Google Scholar] [CrossRef]
- Häfner, S.; Eckardt, S.; Luther, T.; Könke, C. Mesoscale modeling of concrete: Geometry and numerics. Comput. Struct. 2006, 84, 450–461. [Google Scholar] [CrossRef]
- Wriggers, P.; Moftah, S. Mesoscale models for concrete: Homogenisation and damage behaviour. Finite Elem. Anal. Des. 2006, 42, 623–636. [Google Scholar] [CrossRef]
- Zhang, J.; Wang, Z.; Yang, H.; Wang, Z.; Shu, X. 3D meso-scale modeling of reinforcement concrete with high volume fraction of randomly distributed aggregates. Constr. Build. Mater. 2018, 164, 350–361. [Google Scholar] [CrossRef]
- Yang, Z.; Ren, W.; Sharma, R.; McDonald, S.; Mostafavi, M.; Vertyagina, Y.; Marrow, T. In-situ X-ray computed tomography characterisation of 3D fracture evolution and image-based numerical homogenisation of concrete. Cem. Concr. Compos. 2017, 75, 74–83. [Google Scholar] [CrossRef]
- Zhu, L.; Dang, F.; Xue, Y.; Ding, W.; Zhang, L. Analysis of micro-structural damage evolution of concrete through coupled X-ray computed tomography and gray-level co-occurrence matrices method. Constr. Build. Mater. 2019, 224, 534–550. [Google Scholar] [CrossRef]
- Sun, H.; Gao, Y.; Zheng, X.; Chen, Y.; Jiang, Z.; Zhang, Z. Meso-Scale Simulation of Concrete Uniaxial Behavior Based on Numerical Modeling of CT Images. Materials 2019, 12, 3403. [Google Scholar] [CrossRef]
- Shen, L.; Ren, Q.; Xia, N.; Sun, L.; Xia, X. Mesoscopic numerical simulation of effective thermal conductivity of tensile cracked concrete. Constr. Build. Mater. 2015, 95, 467–475. [Google Scholar] [CrossRef]
- Jin, L.; Yu, W.; Du, X.; Zhang, S.; Li, D.; Xiuli, D. Meso-scale modelling of the size effect on dynamic compressive failure of concrete under different strain rates. Int. J. Impact Eng. 2019, 125, 1–12. [Google Scholar] [CrossRef]
- Van Mier, J.G.; Van Vliet, M.R.; Wang, T.K. Fracture mechanisms in particle composites: Statistical aspects in lattice type analysis. Mech. Mater. 2002, 34, 705–724. [Google Scholar] [CrossRef]
- Lilliu, G.; Van Mier, J. 3D lattice type fracture model for concrete. Eng. Fract. Mech. 2003, 70, 927–941. [Google Scholar] [CrossRef]
- Man, H.K.; Van Mier, J. Damage distribution and size effect in numerical concrete from lattice analyses. Cem. Concr. Compos. 2011, 33, 867–880. [Google Scholar] [CrossRef]
- Jin, L.; Du, X.; Ma, G. Macroscopic effective moduli and tensile strength of saturated concrete. Cem. Concr. Res. 2012, 42, 1590–1600. [Google Scholar] [CrossRef]
- Du, X.; Jin, L.; Ma, G. Meso-Element Equivalent Method for the Simulation of Macro Mechanical Properties of Concrete. Int. J. Damage Mech. 2013, 22, 617–642. [Google Scholar] [CrossRef]
- Montero-Chacón, F.; Marín-Montín, J.; Medina, F. Mesomechanical characterization of porosity in cementitious composites by means of a voxel-based finite element model. Comput. Mater. Sci. 2014, 90, 157–170. [Google Scholar] [CrossRef]
- Duarte, A.P.C.; Silva, B.A.; Silvestre, N.; De Brito, J.; Julio, E. Mechanical characterization of rubberized concrete using an image-processing/XFEM coupled procedure. Compos. Part B Eng. 2015, 78, 214–226. [Google Scholar] [CrossRef]
- Javanmardi, M.; Maheri, M.R. Extended finite element method and anisotropic damage plasticity for modelling crack propagation in concrete. Finite Elem. Anal. Des. 2019, 165, 1–20. [Google Scholar] [CrossRef]
- Ooi, E.T.; Song, C.; Tin-Loi, F.; Yang, Z. Automatic modelling of cohesive crack propagation in concrete using polygon scaled boundary finite elements. Eng. Fract. Mech. 2012, 93, 13–33. [Google Scholar] [CrossRef]
- Huang, Y.J.; Yang, Z.J.; Liu, G.H.; Chen, X.W. An efficient FE–SBFE coupled method for mesoscale cohesive fracture modelling of concrete. Comput. Mech. 2016, 58, 635–655. [Google Scholar] [CrossRef]
- Yao, F.; Yang, Z.J.; Hu, Y.J. An SBFEM-Based Model for Hydraulic Fracturing in Quasi-Brittle Materials. Acta Mech. Solida Sin. 2018, 31, 416–432. [Google Scholar] [CrossRef]
- Nitka, M.; Tejchman, J. Modelling of concrete behaviour in uniaxial compression and tension with DEM. Granul. Matter 2015, 17, 145–164. [Google Scholar] [CrossRef]
- Sinaie, S.; Ngo, T.D.; Nguyen, V.P. A discrete element model of concrete for cyclic loading. Comput. Struct. 2018, 196, 173–185. [Google Scholar] [CrossRef]
- Nguyen, T.T.; Bui, H.H.; Ngo, T.D.; Nguyen, G.D.; Kreher, M.U.; Darve, F. A micromechanical investigation for the effects of pore size and its distribution on geopolymer foam concrete under uniaxial compression. Eng. Fract. Mech. 2019, 209, 228–244. [Google Scholar] [CrossRef]
- Bolander, J.E., Jr.; Berton, S. Simulation of shrinkage induced cracking in cement composite overlays. Cem. Concr. Compos. 2004, 26, 861–871. [Google Scholar] [CrossRef]
- Fu, L.; Nakamura, H.; Yamamoto, Y.; Miura, T. Investigation of Influence of Section Pre-crack on Shear Strength and Shear Resistance Mechanism of RC Beams by Experiment and 3-D RBSM Analysis. J. Adv. Concr. Technol. 2017, 15, 700–712. [Google Scholar] [CrossRef]
- Camacho, G.; Ortiz, M. Computational modelling of impact damage in brittle materials. Int. J. Solids Struct. 1996, 33, 2899–2938. [Google Scholar] [CrossRef]
- Caballero, A.; Carol, I.; Lopez, C.M. A meso-level approach to the 3D numerical analysis of cracking and fracture of concrete materials. Fatigue Fract. Eng. Mater. Struct. 2006, 29, 979–991. [Google Scholar] [CrossRef]
- Caballero, A.; López, C.; Carol, I. 3D meso-structural analysis of concrete specimens under uniaxial tension. Comput. Methods Appl. Mech. Eng. 2006, 195, 7182–7195. [Google Scholar] [CrossRef]
- López, C.M.; Carol, I.; Aguado, A. Meso-Structural Study of Concrete Fracture Using Interface Elements. I: Numerical Model and Tensile Behavior. Mater. Struct. 2008, 41, 583–599. [Google Scholar] [CrossRef]
- Su, X.; Yang, Z.; Liu, G. Monte Carlo simulation of complex cohesive fracture in random heterogeneous quasi-brittle materials: A 3D study. Int. J. Solids Struct. 2010, 47, 2336–2345. [Google Scholar] [CrossRef]
- Wang, X.; Yang, Z.; Yates, J.; Jivkov, A.; Zhang, C.; Yang, J.; Jivkov, A. Monte Carlo simulations of mesoscale fracture modelling of concrete with random aggregates and pores. Constr. Build. Mater. 2015, 75, 35–45. [Google Scholar] [CrossRef]
- Wang, X.; Zhang, M.; Jivkov, A.P. Computational technology for analysis of 3D meso-structure effects on damage and failure of concrete. Int. J. Solids Struct. 2016, 80, 310–333. [Google Scholar] [CrossRef]
- Huang, Y.; Hu, S. A Cohesive Model for Concrete Mesostructure Considering Friction Effect Between Cracks. Comput. Concr. 2019, 24, 51–61. [Google Scholar]
- Huang, Y.Q.; Hu, S.W.; Gu, Z.; Sun, Y.Y. Fracture Behavior and Energy Analysis of 3D Concrete Mesostructure under Uniaxial Compression. Materials 2019, 12, 1929. [Google Scholar] [CrossRef] [PubMed]
- Tanemura, M.; Ogawa, T.; Ogita, N. A new algorithm for three-dimensional voronoi tessellation. J. Comput. Phys. 1983, 51, 191–207. [Google Scholar] [CrossRef]
- Momma, K.; Izumi, F. VESTA 3for three-dimensional visualization of crystal, volumetric and morphology data. J. Appl. Crystallogr. 2011, 44, 1272–1276. [Google Scholar] [CrossRef]
- Nguyen, V.P. An open source program to generate zero-thickness cohesive interface elements. Adv. Eng. Softw. 2014, 74, 27–39. [Google Scholar] [CrossRef]
- Rodrigues, E.A.; Manzoli, O.L.; Bitencourt, L.A.G., Jr.; Bittencourt, T.N. 2D mesoscale model for concrete based on the use of interface element with a high aspect ratio. Int. J. Solids Struct. 2016, 94, 112–124. [Google Scholar] [CrossRef]
- Camanho, P.P.; Dávila, C.G. Mixed-Mode Decohesion Finite Elements for the Simulation of Delamination in Composite Materials; NASA Langley Research Center: Hampton, VA, USA, 2002.
- Park, K.; Paulino, G.H.; Roesler, J.R. A unified potential-based cohesive model of mixed-mode fracture. J. Mech. Phys. Solids 2009, 57, 891–908. [Google Scholar] [CrossRef]
- Manzoli, O.L.; Maedo, M.A.; Bitencourt, L.A.; Rodrigues, E.A. On the use of finite elements with a high aspect ratio for modeling cracks in quasi-brittle materials. Eng. Fract. Mech. 2016, 153, 151–170. [Google Scholar] [CrossRef]
- Abaqus, I. Abaqus Documentation. Version 2014, 6, 1–5. [Google Scholar]
- Van Vliet, M.A.R.; Van Mier, J.G.M. Experimental investigation of concrete fracture under uniaxial compression. Mech. Cohesive Frict. Mater. 1996, 1, 115–127. [Google Scholar] [CrossRef]



















| Grain Size (mm) | Unit Content (kg/m3) | Volume Content (%) |
|---|---|---|
| 4–8 | 540 | 19.29 |
| 2–4 | 363 | 12.91 |
| 1–2 | 272 | 9.71 |
| 0.5–1 | 272 | 9.71 |
| 0.25–0.5 | 234 | 8.35 |
| Group | Ratio of Displacements of Two Direction d2/d1 |
|---|---|
| Uniaxial | — |
| Biaxial-1 | −0.2 |
| Biaxial-2 | 0 |
| Biaxial-3 | 0.2 |
| Biaxial-4 | 0.5 |
| Biaxial-5 | 1 |
| Element Type | , | v | f | ||||
|---|---|---|---|---|---|---|---|
| SOL_MOR | 25 | 0.2 | — | — | — | — | — |
| SOL_AGG | 70 | 0.2 | — | — | — | — | — |
| CE_MOR | 106 | — | 3 | 10.5 | 40 | 400 | 0.45 |
| CE_ITZ | 106 | — | 1.5 | 5.25 | 20 | 200 | 0.45 |
| Experiment Group | Energy Type | Energy Value (N∙m) | Energy Proportion (%) |
|---|---|---|---|
| Uniaxial | 0.96 | 16.90 | |
| 3.10 | 54.58 | ||
| 1.62 | 28.52 | ||
| Biaxial-1 | 0.72 | 11.69 | |
| 3.15 | 51.41 | ||
| 2.29 | 37.18 | ||
| Biaxial-2 | 0.66 | 10.63 | |
| 3.10 | 49.92 | ||
| 2.45 | 39.45 | ||
| Biaxial-3 | 0.66 | 10.03 | |
| 3.21 | 48.78 | ||
| 2.71 | 41.19 | ||
| Biaxial-4 | 0.77 | 9.41 | |
| 3.92 | 47.92 | ||
| 3.49 | 42.67 | ||
| Biaxial-5 | 0.91 | 8.65 | |
| 4.96 | 47.15 | ||
| 4.65 | 44.20 |
© 2019 by the authors. Licensee MDPI, Basel, Switzerland. This article is an open access article distributed under the terms and conditions of the Creative Commons Attribution (CC BY) license (http://creativecommons.org/licenses/by/4.0/).
Share and Cite
Huang, Y.-Q.; Hu, S.-W.; Sun, Y.-Y. The Effect of Inner Friction on Concrete Fracture Behavior under Biaxial Compression: A 3D Mesostructure Study. Materials 2019, 12, 3880. https://doi.org/10.3390/ma12233880
Huang Y-Q, Hu S-W, Sun Y-Y. The Effect of Inner Friction on Concrete Fracture Behavior under Biaxial Compression: A 3D Mesostructure Study. Materials. 2019; 12(23):3880. https://doi.org/10.3390/ma12233880
Chicago/Turabian StyleHuang, Yi-Qun, Shao-Wei Hu, and Yue-Yang Sun. 2019. "The Effect of Inner Friction on Concrete Fracture Behavior under Biaxial Compression: A 3D Mesostructure Study" Materials 12, no. 23: 3880. https://doi.org/10.3390/ma12233880
APA StyleHuang, Y.-Q., Hu, S.-W., & Sun, Y.-Y. (2019). The Effect of Inner Friction on Concrete Fracture Behavior under Biaxial Compression: A 3D Mesostructure Study. Materials, 12(23), 3880. https://doi.org/10.3390/ma12233880

