A Study of the Synergistic Interaction of Konjac Glucomannan/Curdlan Blend Systems under Alkaline Conditions
Abstract
1. Introduction
2. Materials and Methods
2.1. Materials
2.2. Preparation of KGM/CUD Blend Sols
2.3. Rheological Properties of the KGM/CUD Blend Sols
2.4. Texture Properties of the KGM/CUD Blend Gels
2.5. Determination of the Water Holding Capacity of KGM/CUD Blend Gels
2.6. Differential Scanning Calorimetry (DSC) Analysis of KGM/CUD Blend Systems
2.7. Statistical Analysis
3. Results and Discussion
3.1. Apparent Viscosity of KGM/CUD Blend Systems
3.2. Viscoelasticity of the KGM/CUD Blend Systems during the Dynamic Frequency Sweep
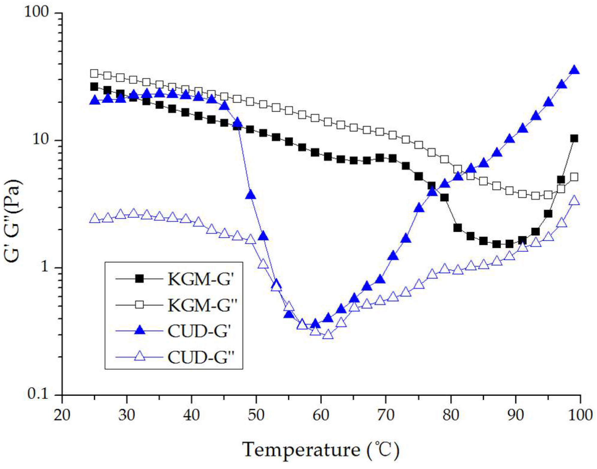
3.3. Viscoelasticity of KGM/CUD Blend Systems during the Heating Process
3.4. Viscoelasticity of KGM/CUD Blend Systems during the Cooling Process
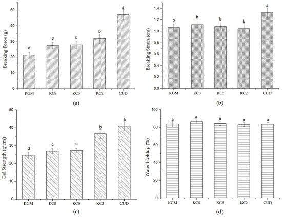
3.5. Texture Properties and Water Holding Capacity of KGM/CUD Blend Systems
3.6. DSC Analysis of KGM/CUD Blend Systems
4. Conclusions
Author Contributions
Funding
Acknowledgments
Conflicts of Interest
References
- Lei, Y.; Wu, H.; Jiao, C.; Jiang, Y.; Liu, R.; Xiao, D.; Lu, J.; Zhang, Z.; Shen, G.; Li, S. Investigation of the structural and physical properties, antioxidant and antimicrobial activity of pectin-konjac glucomannan composite edible films incorporated with tea polyphenol. Food Hydrocoll. 2019, 94, 128–135. [Google Scholar] [CrossRef]
- Lin, K.W.; Huang, H.Y. Konjac/Gellan Gum Mixed Gels Improve the Quality of Reduced-Fat Frankfurters. Meat Sci. 2003, 65, 749–755. [Google Scholar] [CrossRef]
- Atashkar, M.; Hojjatoleslamy, M.; Boroujeni, L.S. The influence of fat substitution with κ-carrageenan, konjac, and tragacanth on the textural properties of low-fat sausage. Food Sci. Nutr. 2018, 6, 1015–1022. [Google Scholar] [CrossRef] [PubMed]
- Yang, J.; Chen, J.; Pan, D.; Wan, Y.; Wang, Z. pH-sensitive interpenetrating network hydrogels based on chitosan derivatives and alginate for oral drug delivery. Carbohydr. Polym. 2013, 92, 719–725. [Google Scholar] [CrossRef] [PubMed]
- Fan, L.; Yi, J.; Tong, J.; Zhou, X.; Ge, H.; Zou, S.; Wen, H.; Nie, M. Preparation and characterization of oxidized konjac glucomannan/carboxymethyl chitosan/graphene oxide hydrogel. Int. J. Biol. Macromol. 2016, 91, 358–367. [Google Scholar] [CrossRef]
- Wang, L.; Du, Y.; Yuan, Y.; Mu, R.J.; Gong, J.N.; Ni, Y.S.; Pang, J.; Wu, C.H. Mussel-inspired fabrication of konjac glub comannan/microcrystalline cellulose intelligent hydrogel with pH-responsive sustained release behavior. Int. J. Biol. Macromol. 2018, 113, 285–293. [Google Scholar] [CrossRef]
- Dahiya, S.; Rani, R.; Dhingra, D.; Dilbaghi, N.; Kumar, S. Chitosan-Gellan Gum Bipolymeric Nanohydrogels—A Potential Nanocarrier for the Delivery of Epigallocatechin Gallate. BioNanoScience 2017, 7, 508–520. [Google Scholar] [CrossRef]
- Preibisch, I.; Niemeyer, P.; Yusufoglu, Y.; Gurikov, P.; Milow, B.; Smirnova, I. Polysaccharide-Based Aerogel Bead Production via Jet Cutting Method. Materials 2018, 11, 1287. [Google Scholar] [CrossRef]
- Dehghan, H.; Tabarsa, A.; Latifi, N.; Bagheri, Y. Use of xanthan and guar gums in soil strengthening. Clean Technol. Environ. Policy 2019, 21, 155–165. [Google Scholar] [CrossRef]
- Hahm, T.S.; Kuei, C.Y. Effect of Curdlan and Xanthan on the Texture and Moisture Retention of Cooked Rice. J. Food Process. Preserv. 2015, 39, 3198–3206. [Google Scholar] [CrossRef]
- Torti, M.J.; Sims, C.A.; Adams, C.M.; Sarnoski, P.J. Polysaccharides as Alternative Moisture Retention Agents for Shrimp. J. Food Sci. 2016, 81, S728–S735. [Google Scholar] [CrossRef] [PubMed]
- Koivisto, J.T.; Gering, C.; Karvinen, J.; Cherian, R.M.; Belay, B.; Hyttinen, J.; Aalto-Setälä, K.; Kellomäki, M.; Parraga, J. Mechanically Biomimetic Gelatin–Gellan Gum Hydrogels for 3D Culture of Beating Human Cardiomyocytes. ACS Appl. Mater. Interfaces 2019, 11, 20589–20602. [Google Scholar] [CrossRef] [PubMed]
- Liu, L.; Wen, H.; Rao, Z.; Zhu, C.; Liu, M.; Min, L.; Fan, L.H.; Tao, S.X. Preparation and characterization of chitosan–collagen peptide/oxidized konjac glucomannan hydrogel. Int. J. Biol. Macromol. 2018, 108, 376–382. [Google Scholar] [CrossRef] [PubMed]
- Siracusa, V.; Romani, S.; Gigli, M.; Mannozzi, C.; Cecchini, J.P.; Tylewicz, U.; Lotti, N. Characterization of Active Edible Films based on Citral Essential Oil, Alginate and Pectin. Materials 2018, 11, 1980. [Google Scholar] [CrossRef]
- Jantrawut, P.; Bunrueangtha, J.; Suerthong, J.; Kantrong, N. Fabrication and Characterization of Low Methoxyl Pectin/Gelatin/Carboxymethyl Cellulose Absorbent Hydrogel Film for Wound Dressing Applications. Materials 2019, 12, 1628. [Google Scholar] [CrossRef]
- Chua, M.; Baldwin, T.C.; Hocking, T.J.; Chan, K. Traditional uses and potential health benefits of Amorphophallus konjac K. Koch ex N.E.Br. J. Ethnopharmacol. 2010, 128, 268–278. [Google Scholar] [CrossRef]
- Zalewski, B.M.; Chmielewska, A.; Szajewska, H. The effect of glucomannan on body weight in overweight or obese children and adults: A systematic review of randomized controlled trials. Nutrition 2015, 31, 437–442. [Google Scholar] [CrossRef]
- Lafarge, C.; Cayot, N. Potential Use of Mixed Gels from Konjac Glucomannan and Native Starch for Encapsulation and Delivery of Aroma Compounds: A Review. Starch/Staerke 2018, 70. [Google Scholar] [CrossRef]
- Guerreiro, F.; Pontes, J.F.; Rosa da Costa, A.M.; Grenha, A. Spray-drying of konjac glucomannan to produce microparticles for an application as antitubercular drug carriers. Powder Technol. 2019, 342, 246–252. [Google Scholar] [CrossRef]
- Lei, J.; Zhou, L.; Tang, Y.; Luo, Y.; Duan, T.; Zhu, W. High-Strength Konjac Glucomannan/Silver Nanowires Composite Films with Antibacterial Properties. Materials 2017, 10, 524. [Google Scholar] [CrossRef]
- Pang, J.; Wu, C.H.; Wen, C.R.; Yin, N.; Yao, M.N. Research Advances in Konjac Glucomannan Gel and Its Problem. J. Chin. Inst. Food Sci. Technol. 2011, 11, 181–187. [Google Scholar] [CrossRef]
- Wen, C.H. Study on the Compound Properties and Application of Konjac Glucomannan/Modified Starch. Master’s Thesis, Fujian Agriculture and Forestry University, Fuzhou, China, April 2010. [Google Scholar] [CrossRef]
- Zhang, T.; Xue, Y.; Li, Z.; Wang, Y.; Xue, C. Effects of deacetylation of konjac glucomannan on Alaska Pollock surimi gels subjected to high-temperature (120 °C) treatment. Food Hydrocoll. 2015, 43, 125–131. [Google Scholar] [CrossRef]
- Brenner, T.; Tuvikene, R.; Fang, Y.; Matsukawa, S.; Nishinari, K. Rheology of highly elastic iota-carrageenan/kappa-carrageenan/xanthan/konjac glucomannan gels. Food Hydrocoll. 2015, 44, 136–144. [Google Scholar] [CrossRef]
- Abbaszadeh, A.; Macnaughtan, W.; Sworn, G.; Foster, T. New insights into xanthan synergistic interactions with konjac glucomannan: A novel interaction mechanism proposal. Carbohydr. Polym. 2016, 144, 168–177. [Google Scholar] [CrossRef] [PubMed]
- Laroche, C.; Michaud, P. New Developments and Prospective Applications for β (1,3) Glucans. Recent Patents Biotechnol. 2007, 1, 59–73. [Google Scholar] [CrossRef]
- Jin, Y.; Zhang, H.; Yin, Y.; Nishinari, K. Conformation of curdlan as observed by tapping mode atomic force microscopy. Colloid Polym. Sci. 2006, 284, 1371–1377. [Google Scholar] [CrossRef]
- Moon, C.-J.; Lee, J.-H. Use of curdlan and activated carbon composed adsorbents for heavy metal removal. Process. Biochem. 2005, 40, 1279–1283. [Google Scholar] [CrossRef]
- Saudagar, P.S.; Singhal, R.S. Curdlan as a support matrix for immobilization of enzyme. Carbohydr. Polym. 2004, 56, 483–488. [Google Scholar] [CrossRef]
- Van Eijk, M.; Voorn-Brouwer, T.; Scheij, S.S.; Verhoeven, A.J.; Boot, R.G.; Aerts, J.M. Curdlan-mediated regulation of human phagocyte-specific chitotriosidase. FEBS Lett. 2010, 584, 3165–3169. [Google Scholar] [CrossRef]
- Tang, J.Q.; Zhen, H.M.; Wang, N.N.; Yan, Q.J.; Jing, H.; Jiang, Z.Q. Curdlan oligosaccharides having higher immunostimulatory activity than curdlan in mice treated with cyclophosphamide. Carbohydr. Polym. 2019, 207, 131–142. [Google Scholar] [CrossRef]
- Wu, C.H.; Yuan, C.H.; Chen, S.G.; Liu, D.H.; Ye, X.Q.; Hu, Y.Q. The effect of curdlan on the rheological properties of restructured ribbonfish (Trichiurus spp.) meat gel. Food Chem. 2015, 179, 222–231. [Google Scholar] [CrossRef] [PubMed]
- Lee, C.H.; Chin, K.B. Evaluation of physicochemical and textural properties of myofibrillar protein gels and low-fat model sausage containing various levels of curdlan. Asian-Australas. J. Anim. Sci. 2019, 32, 144–151. [Google Scholar] [CrossRef] [PubMed]
- Wu, C.; Peng, S.; Wen, C.; Wang, X.; Fan, L.; Deng, R.; Pang, J. Structural characterization and properties of konjac glucomannan/curdlan blend films. Carbohydr. Polym. 2012, 89, 497–503. [Google Scholar] [CrossRef] [PubMed]
- Hu, Y.; Tian, J.; Zou, J.; Yuan, X.; Li, J.; Liang, H.; Zhan, F.; Li, B. Partial removal of acetyl groups in konjac glucomannan significantly improved the rheological properties and texture of konjac glucomannan and κ-carrageenan blends. Int. J. Biol. Macromol. 2019, 123, 1165–1171. [Google Scholar] [CrossRef]
- Jian, W.; Wu, H.; Wu, L.; Wu, Y.; Jia, L.; Pang, J.; Sun, Y.-M. Effect of molecular characteristics of Konjac glucomannan on gelling and rheological properties of Tilapia myofibrillar protein. Carbohydr. Polym. 2016, 150, 21–31. [Google Scholar] [CrossRef]
- Herranz, B.; Tovar, C.A.; Solo-De-Zaldívar, B.; Borderías, A.J. Effect of alkalis on konjac glucomannan gels for use as potential gelling agents in restructured seafood products. Food Hydrocoll. 2012, 27, 145–153. [Google Scholar] [CrossRef]
- Li, B.; Shao, Z. STUDIES ON INTERACTION OF HYDROXYPROPYLMETHYL CELLULOSE AND KONJAC GLUCOMANNAN MIXED SYSTEMS. Acta Polym. Sin. 2010, 10, 395–400. [Google Scholar] [CrossRef]
- Yui, T.; Ogawa, K.; Sarko, A. Molecular and crystal structure of konjac glucomannan in the mannan II polymorphic form. Carbohydr. Res. 1992, 229, 41–55. [Google Scholar] [CrossRef]
- Pang, J.; Sun, Y.; Yang, Y.; Chen, Y.; Chen, Y.; Sun, Y. Studies on Hydrogen Bonding Network Structures of Konjac Glucomannan. Chin. J. Struct. Chem. 2008, 27, 431–436. [Google Scholar] [CrossRef]
- Jian, W.; Siu, K.-C.; Wu, J.-Y. Effects of pH and temperature on colloidal properties and molecular characteristics of Konjac glucomannan. Carbohydr. Polym. 2015, 134, 285–292. [Google Scholar] [CrossRef]
- Kavanagh, G.M.; Ross-Murphy, S.B. Rheological characterisation of polymer gels. Prog. Polym. Sci. 1998, 23, 533–562. [Google Scholar] [CrossRef]
- Zhou, Y.; Jiang, R.; Perkins, W.S.; Cheng, Y. Morphology evolution and gelation mechanism of alkali induced konjac glucomannan hydrogel. Food Chem. 2018, 269, 80–88. [Google Scholar] [CrossRef] [PubMed]
- Fengsong, C. Studies on Curdlan Polysaccharide Gelation Progess and Mechanism of Physic Gels. Ph.D. Thesis, Shanghai Jiao Tong University, Shanghai, China, February 2004. [Google Scholar]
- Cescutti, P.; Campa, C.; Delben, F.; Rizzo, R. Structure of the oligomers obtained by enzymatic hydrolysis of the glucomannan produced by the plant Amorphophallus konjac. Carbohydr. Res. 2002, 337, 2505–2511. [Google Scholar] [CrossRef]
- Gao, S.J.; Nishinari, K. Effect of degree of acetylation on gelation of konjac glucomannan. Biomacromolecules 2004, 5, 175–185. [Google Scholar] [CrossRef]
- Williams, M.A.K.; Foster, T.J.; Martin, D.R.; Norton, I.T.; Yoshimura, M.; Nishinari, K. A molecular description of the gelation mechanism of konjac mannan. Biomacromolecules 2000, 1, 440–450. [Google Scholar] [CrossRef]
- Zhang, C.; Chen, J.-D.; Yang, F.-Q. Konjac glucomannan, a promising polysaccharide for OCDDS. Carbohydr. Polym. 2014, 104, 175–181. [Google Scholar] [CrossRef]
- Li, B.; Xie, B.J. Study on the Gelatin Mechanism of Konjac Glucomannans. Sci. Agric. Sin. 2002, 35, 1411–1415. [Google Scholar] [CrossRef]
- Chen, J.; Li, J.; Li, B. Identification of molecular driving forces involved in the gelation of konjac glucomannan: Effect of degree of deacetylation on hydrophobic association. Carbohydr. Polym. 2011, 86, 865–871. [Google Scholar] [CrossRef]
- Nishinari, K. Konjac glucomannan. Dev. Food Sci. 2000, 41, 309–330. [Google Scholar] [CrossRef]
- Huang, L.; Takahashi, R.; Kobayashi, S.; Kawase, T.; Nishinari, K. Gelation Behavior of Native and Acetylated Konjac Glucomannan. Biomacromolecules 2002, 3, 1296–1303. [Google Scholar] [CrossRef]
- Cai, Z.; Zhang, H. Recent progress on curdlan provided by functionalization strategies. Food Hydrocoll. 2017, 68, 128–135. [Google Scholar] [CrossRef]
- Jiang, J.X.; Liu, Y.T.; Zhou, Z.Y.; Duan, J.F.; Sun, D.F. Research Progress and Applications of Macromolecular Polysaccharide-based Hydrogels for Functional Materials. Chem. Ind. For. Prod. 2017, 37, 1–10. [Google Scholar] [CrossRef]










© 2019 by the authors. Licensee MDPI, Basel, Switzerland. This article is an open access article distributed under the terms and conditions of the Creative Commons Attribution (CC BY) license (http://creativecommons.org/licenses/by/4.0/).
Share and Cite
Ye, W.; Yan, B.; Pang, J.; Fan, D.; Huang, J.; Zhou, W.; Cheng, X.; Chen, H.; Zhang, H. A Study of the Synergistic Interaction of Konjac Glucomannan/Curdlan Blend Systems under Alkaline Conditions. Materials 2019, 12, 3543. https://doi.org/10.3390/ma12213543
Ye W, Yan B, Pang J, Fan D, Huang J, Zhou W, Cheng X, Chen H, Zhang H. A Study of the Synergistic Interaction of Konjac Glucomannan/Curdlan Blend Systems under Alkaline Conditions. Materials. 2019; 12(21):3543. https://doi.org/10.3390/ma12213543
Chicago/Turabian StyleYe, Weijian, Bowen Yan, Jie Pang, Daming Fan, Jianlian Huang, Wenguo Zhou, Xueqian Cheng, Hui Chen, and Hao Zhang. 2019. "A Study of the Synergistic Interaction of Konjac Glucomannan/Curdlan Blend Systems under Alkaline Conditions" Materials 12, no. 21: 3543. https://doi.org/10.3390/ma12213543
APA StyleYe, W., Yan, B., Pang, J., Fan, D., Huang, J., Zhou, W., Cheng, X., Chen, H., & Zhang, H. (2019). A Study of the Synergistic Interaction of Konjac Glucomannan/Curdlan Blend Systems under Alkaline Conditions. Materials, 12(21), 3543. https://doi.org/10.3390/ma12213543

