Electrorheological Characteristics of Poly(diphenylamine)/magnetite Composite-Based Suspension
Abstract
1. Introduction
2. Materials and Experimental Methods
2.1. Materials
2.2. Synthesis of PDPA
2.3. Synthesis of PDPA/Fe3O4
2.4. Characterization
3. Results and Discussion
3.1. Characterization of Synthesized Materials
3.2. Electrorheological Effect
3.2.1. Formation of Chain-Like Structures
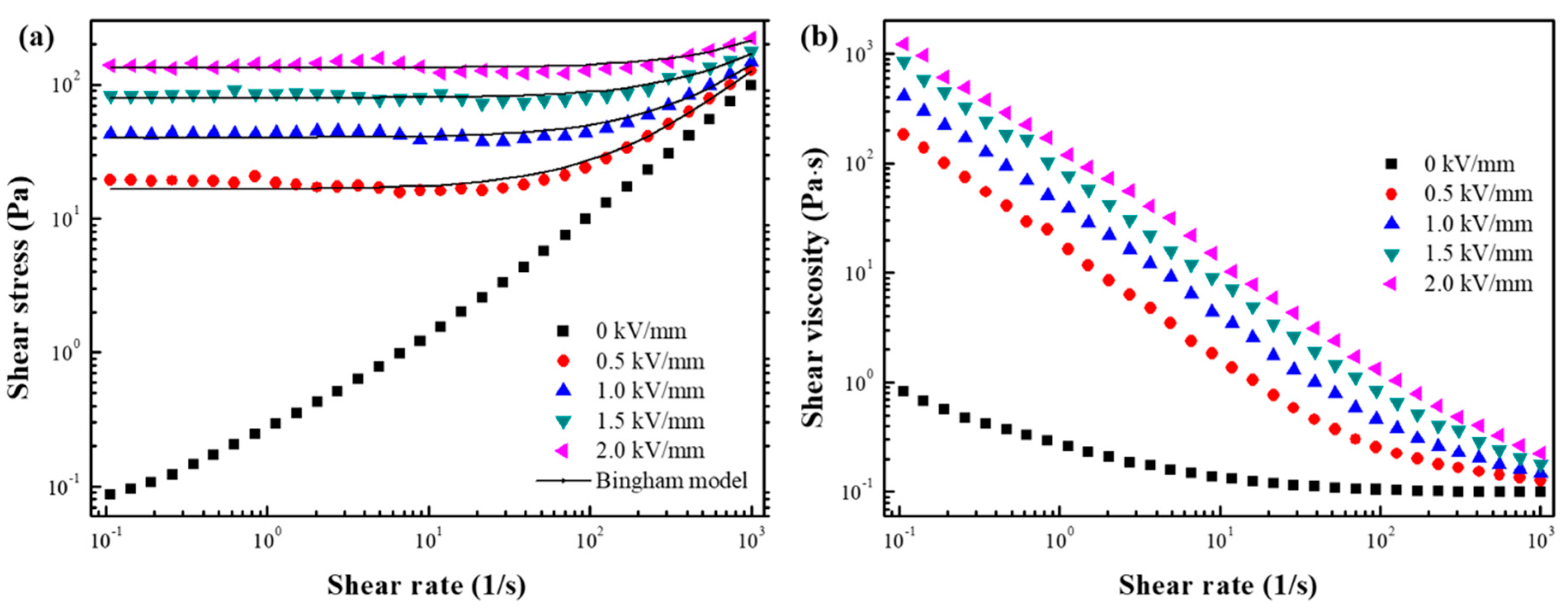
3.2.2. Steady Shear Tests
3.2.3. Dynamic Oscillation Test
3.2.4. Dielectric Properties
4. Conclusions
Author Contributions
Funding
Conflicts of Interest
References
- Cabuk, M.; Yavuz, M.; Unal, H.I. Electrokinetic, electrorheological and viscoelastic properties of Polythiophene-graft-Chitosan copolymer particles. Colloids Surf. A Physicochem. Eng. Asp. 2016, 510, 231–238. [Google Scholar] [CrossRef]
- Sheng, P.; Wen, W. Electrorheological Fluids: Mechanisms, Dynamics, and Microfluidics Applications. J. Fluid Mech. 2011, 44, 143–174. [Google Scholar] [CrossRef]
- Kontopoulou, M.; Kaufman, M.; Docoslis, A. Electrorheological properties of PDMS/carbon black suspensions under shear flow. Rheol. Acta 2009, 48, 409–421. [Google Scholar] [CrossRef]
- Plachy, T.; Sedlacik, M.; Pavlinek, V.; Moravkova, Z.; Hajna, M.; Stejskal, J. An effect of carbonization on the electrorheology of poly(p-phenylenediamine). Carbon 2013, 63, 187–195. [Google Scholar] [CrossRef]
- Liu, J.; Wen, X.; Liu, Z.; Tan, Y.; Yang, S.; Zhang, P. Electrorheological performances of poly(o-toluidine) and p-toluenesulfonic acid doped poly(o-toluidine) suspensions. Colloid Polym. Sci. 2015, 293, 1391–1400. [Google Scholar] [CrossRef]
- Yin, J.; Chang, R.; Shui, Y.; Zhao, X. Preparation and enhanced electro-responsive characteristic of reduced graphene oxide/polypyrrole composite sheet suspensions. Soft Matter 2013, 9, 7468–7478. [Google Scholar] [CrossRef]
- Mrlik, M.; Ilcikova, M.; Plachy, T.; Moucka, R.; Pavlinek, V.; Mosnacek, J. Tunable electrorheological performance of silicone oil suspensions based on controllably reduced graphene oxide by surface initiated atom transfer radical polymerization of poly(glycidyl methacrylate). J. Ind. Eng. Chem. 2018, 57, 104–112. [Google Scholar] [CrossRef]
- Bauerochs, T.; Ulrich, S.; Schneider, S.; Bruns, R. Approach on the improvement of the durability of an electrorheological valve. J. Intell. Mater. Syst. Struct. 2018, 29, 3737–3747. [Google Scholar] [CrossRef]
- Chiolerio, A.; Quadrelli, M.B. Smart fluid systems: The advent of autonomous liquid robotics. Adv. Sci. 2017, 4, 1700036. [Google Scholar] [CrossRef] [PubMed]
- Bansevicius, R.; Virbalis, J. Two-dimensional Braille readers based on electrorheological fluid valves controlled by electric field. Mechatronics 2007, 17, 570–577. [Google Scholar] [CrossRef]
- Rodionova, G.; Sjoblom, J. Electrorheological Behavior of Crude Oil and Synthetic Reference Fluid Emulsions. J. Dispers. Sci. Technol. 2015, 36, 1388–1393. [Google Scholar] [CrossRef]
- Tao, R.; Tang, H.; Tawhid-Al-Islam, K.; Du, E.; Kim, J. Electrorheology leads to healthier and tastier chocolate. Proc. Natl. Acad. Sci. USA 2016, 113, 7399–7402. [Google Scholar] [CrossRef] [PubMed]
- Sim, B.; Bae, D.H.; Choi, H.J.; Choi, K.; Islam, M.S.; Kao, N. Fabrication and stimuli response of rice husk-based microcrystalline cellulose particle suspension under electric fields. Cellulose 2016, 23, 185–197. [Google Scholar] [CrossRef]
- Lee, I.S.; Lee, J.Y.; Sung, J.H.; Choi, H.J. Synthesis and electrorheological characteristics of polyaniline-titanium dioxide hybrid suspension. Synth. Met. 2005, 152, 173–176. [Google Scholar] [CrossRef]
- Parmar, K.; Méheust, Y.; Schjelderupsen, B.; Fossum, J.O. Electrorheological suspensions of laponite in oil: Rheometry studies. Langmuir 2008, 24, 1814–1822. [Google Scholar] [CrossRef]
- Wen, Q.; Ma, L.; Wang, C.; Wang, B.; Han, R.; Hao, C.; Chen, K. Preparation of core–shell structured metal–organic framework@PANI nanocomposite and its electrorheological properties. RSC Adv. 2019, 9, 14520–14530. [Google Scholar] [CrossRef]
- Kim, J.W.; Liu, F.; Choi, H.J. Polypyrrole/clay nanocomposite and its electrorheological characteristics. J. Ind. Eng. Chem. 2002, 8, 399–403. [Google Scholar]
- Zhang, W.L.; Liu, Y.D.; Choi, H.J.; Kim, S.G. Electrorheology of Graphene Oxide. ACS Appl. Mater. Interf. 2012, 4, 2267–2272. [Google Scholar] [CrossRef]
- Dong, Y.Z.; Yin, J.; Zhao, X. Microwave-synthesized poly(ionic liquid) particles: A new material with high electrorheological activity. J. Mater. Chem. A 2014, 2, 9812–9819. [Google Scholar] [CrossRef]
- Hakimian, A.; Nateghi, M.R. Oxidation kinetics and conformational relaxation of poly (N-methylaniline) in aqueous solution. Synth. Met. 2015, 202, 1–7. [Google Scholar] [CrossRef]
- Abdiryim, T.; Zhang, X.G.; Jamal, R. Comparative studies of solid-state synthesized polyaniline doped with inorganic acids. Mater. Chem. Phys. 2005, 90, 367–372. [Google Scholar] [CrossRef]
- He, K.; Qin, C.; Wen, Q.; Wang, C.; Wang, B.; Yu, S.; Hao, C.; Chen, K. Facile fabrication of polyaniline/polypyrrole copolymer nanofibers with a rough surface and their electrorheological activities. J. Appl. Polym. Sci. 2018, 135, 46289. [Google Scholar] [CrossRef]
- Chotpattananont, D.; Sirivat, A.; Jamieson, A.M. Creep and recovery behaviors of a polythiophene-based electrorheological fluid. Polymer 2006, 47, 3568–3575. [Google Scholar] [CrossRef]
- Fang, F.F.; Dong, Y.Z.; Choi, H.J. Effect of oxidants on morphology of interfacial polymerized polyaniline nanofibers and their electrorheological response. Polymer 2018, 158, 176–182. [Google Scholar] [CrossRef]
- Wu, S.; Zeng, F.; Shen, J. The electrorheological properties of polypyrrole suspensions. Polym. J. 1998, 30, 451–454. [Google Scholar] [CrossRef][Green Version]
- Jang, W.H.; Kim, J.W.; Choi, H.J.; Jhon, M.S. Synthesis and electrorheology of camphorsulfonic acid doped polyaniline suspensions. Colloid Polym. Sci. 2001, 279, 823–827. [Google Scholar] [CrossRef]
- Showkat, A.M.; Lee, K.-P.; Gopalan, A.I.; Kim, S.-H. Synthesis and chiro-optical properties of water processable conducting poly(diphenylamine) nanocomposites. Macromol. Res. 2007, 15, 575–580. [Google Scholar] [CrossRef]
- Liu, Y.D.; Choi, H.J. Electrorheological response of polyaniline and its hybrids. Chem. Paper 2013, 67, 849–859. [Google Scholar] [CrossRef]
- Lu, Q.; Han, W.J.; Choi, H.J. Smart and Functional Conducting Polymers: Application to Electrorheological Fluids. Molecules 2018, 23, 2854. [Google Scholar] [CrossRef]
- Kim, J.W.; Kim, S.G.; Choi, H.J.; Suh, M.S.; Shin, M.J.; Jhon, M.S. Synthesis and electrorheological characterization of polyaniline and Na+-montmorillonite clay nanocomposite. Int. J. Mod. Phys. B 2001, 15, 657–664. [Google Scholar] [CrossRef]
- Jun, C.S.; Sim, B.; Choi, H.J. Fabrication of electric-stimuli responsive polyaniline/laponite composite and its viscoelastic and dielectric characteristics. Colloids Surf. A 2015, 482, 670–677. [Google Scholar] [CrossRef]
- Park, D.E.; Dong, Y.Z.; Choi, H.J. Fabrication and electric stimuli-response of semiconducting poly(3,4-ethylenedioxythiophene)/silica nanocomposite particles. Eur. Polym. J. 2018, 101, 255–261. [Google Scholar] [CrossRef]
- Park, D.E.; Chae, H.S.; Choi, H.J.; Maity, A. Magnetite–polypyrrole core–shell structured microspheres and their dual stimuli-response under electric and magnetic fields. J. Mater. Chem. C 2015, 3, 3150–3158. [Google Scholar] [CrossRef]
- Kim, M.W.; Moon, I.J.; Choi, H.J.; Seo, Y. Facile fabrication of core/shell structured SiO2/polypyrrole nanoparticles with surface modification and their electrorheology. RSC Adv. 2016, 6, 56495–56502. [Google Scholar] [CrossRef]
- Tian, X.; He, K.; Wang, B.; Yu, S.; Hao, C.; Chen, K.; Lei, Q. Flower-like Fe2O3/polyaniline core/shell nanocomposite and its electroheological properties. Colloids Surf. A 2016, 498, 185–193. [Google Scholar] [CrossRef]
- Wang, B.; Liu, C.; Yin, Y.; Yu, S.; Chen, K.; Liu, P.; Liang, B. Double template assisting synthesized core–shell structured titania/polyaniline nanocomposite and its smart electrorheological response. Compos. Sci. Tech. 2013, 86, 89–100. [Google Scholar] [CrossRef]
- Cheng, Q.; Pavlinek, V.; He, Y.; Li, C.; Saha, P. Electrorheological characteristics of polyaniline/titanate composite nanotube suspensions. Colloid Polym. Sci. 2009, 287, 435–441. [Google Scholar] [CrossRef]
- Sim, B.; Chae, H.S.; Choi, H.J. Fabrication of polyaniline coated iron oxide hybrid particles and their dual stimuli-response under electric and magnetic fields. Express Polym. Lett. 2015, 9, 736–743. [Google Scholar] [CrossRef]
- Nami, N.; Tajbakhsh, M.; Vafakhah, M. Application and comparison of the catalytic activity of Fe3O4 MNPs, Kaolin and Montmorillonite K10 for the synthesis of indole derivatives. Iranian Chem. Commun. 2019, 7, 1–12. [Google Scholar]
- Xian, Y.; Wu, Y.; Dong, H.; Chen, L.; Zhang, C.; Hou, X.; Zeng, X.; Bai, W.; Guo, X. Modified QuEChERS purification and Fe3O4 nanoparticle decoloration for robust analysis of 14 heterocyclic aromatic amines and acrylamide in coffee products using UHPLC-MS/MS. Food Chem. 2019, 285, 77–85. [Google Scholar] [CrossRef]
- Rahmatinia, Z.; Rahmatinia, M. Removal of the metronidazole from aqueous solution by heterogeneous electro-Fenton process using nano-Fe3O4. Data Br. 2018, 19, 2139–2145. [Google Scholar] [CrossRef] [PubMed]
- Lu, J.B.; Yan, Q.S.; Tian, H.; Kong, L.Y. Polishing properties of tiny grinding wheel based on Fe3O4 electrorheological fluid. J. Mater. Process. Tech. 2009, 209, 4954–4957. [Google Scholar] [CrossRef]
- Kim, M.H.; Bae, D.H.; Choi, H.J.; Seo, Y. Synthesis of semiconducting poly (diphenylamine) particles and analysis of their electrorheological properties. Polymer 2017, 119, 40–49. [Google Scholar] [CrossRef]
- Patterson, A. The Scherrer formula for X-ray particle size determination. Phys. Rev. 1939, 56, 978–982. [Google Scholar] [CrossRef]
- Wang, Z.; Lin, Z.; Fang, H.; Tao, R. Dynamic response times of electrorheological fluids in steady shear. J. Appl. Phys. 1998, 83, 1125–1131. [Google Scholar] [CrossRef]
- Martin, J.E.; Odinek, J. Aggregation, Fragmentation, and Nonlinear Dynamics of Electrorheological Fluids in Oscillatory Shear. Phys. Rev. Lett. 1995, 75, 2827–2830. [Google Scholar] [CrossRef] [PubMed]
- Belijar, G.; Valdez-Nava, Z.; Diaham, S.; Laudebat, L.; Jones, T.B.; Lebey, T. Dynamics of particle chain formation in a liquid polymer under ac electric field: Modeling and experiments. J. Phys. D Appl. Phys. 2017, 50, 025303. [Google Scholar] [CrossRef]
- Stolyarova, D.Y.; Kuznetsov, N.M.; Belousov, S.I.; Chvalun, S.N. Electrorheological behavior of low filled suspensions of highly anisometric montmorillonite particles. J. Appl. Polym. Sci. 2019, 136, 47678. [Google Scholar] [CrossRef]
- Murphy, E.; Lomboy, G.; Wang, K.; Sundararajan, S.; Subramaniam, S. The rheology of slurries of athermal cohesive micro-particles immersed in fluid: A computational and experimental comparison. Chem. Eng. Sci. 2019, 193, 411–420. [Google Scholar] [CrossRef]
- Cho, M.S.; Choi, H.J.; Jhon, M.S. Shear stress analysis of a semiconducting polymer based electrorheological fluid system. Polymer 2005, 46, 11484–11488. [Google Scholar] [CrossRef]
- Marins, J.A.; Giulieri, F.; Soares, B.G.; Bossis, G. Hybrid polyaniline-coated sepiolite nanofibers for electrorheological fluid applications. Synth. Met. 2013, 185, 9–16. [Google Scholar] [CrossRef]
- Walls, H.J.; Caines, S.B.; Sanchez, A.M.; Khan, S.A. Yield stress and wall slip phenomena in colloidal silica gels. J. Rheol. 2003, 47, 847–868. [Google Scholar] [CrossRef]
- Castro, M.; Giles, D.W.; Macosko, C.W.; Moaddel, T. Comparison of methods to measure yield stress of soft solids. J. Rheol. 2010, 54, 81–94. [Google Scholar] [CrossRef]
- De Vicente, J.; Klingenberg, D.J.; Hidalgo-Alvarez, R. Magnetorheological fluids: A review. Soft Matter 2011, 7, 3701–3710. [Google Scholar] [CrossRef]
- Davis, L.; Ginder, J. Electrostatic Forces in Electrorheological Fluids. In Progress in Electrorheology; Springer: Boston, MA, USA, 1995; pp. 107–114. [Google Scholar]
- Emri, I.; von Bernstorff, B.S.; Cvelbar, R.; Nikonov, A. Re-examination of the approximate methods for interconversion between frequency- and time-dependent material functions. J. Nonnewton. Fluid Mech. 2005, 129, 75–84. [Google Scholar] [CrossRef]
- Cole, K.S.; Cole, R.H. Dispersion and absorption in dielectrics I. Alternating current characteristics. J. Chem. Phys. 1941, 9, 341–351. [Google Scholar] [CrossRef]
- Park, I.H.; Kwon, S.H.; Choi, H.J. Emulsion-polymerized polyindole nanoparticles and their electrorheology. J. Appl. Polym. Sci. 2018, 135, 46384. [Google Scholar] [CrossRef]
- Plachy, T.; Sedlacik, M.; Pavlínek, V.; Stejskal, J. The observation of a conductivity threshold on the electrorheological effect of p-phenylenediamine oxidized with p-benzoquinone. J. Mater. Chem. C 2015, 3, 9973–9980. [Google Scholar] [CrossRef]
- Dong, Y.Z.; Choi, H.J. Synthesis of organic-inorganic poly(diphenylamine)/magnetite composite particles and their magnetorheological response. IEEE Trans. Magn. 2018, 54, 4601004. [Google Scholar] [CrossRef]














| Electric Field (kV/mm) | ||
|---|---|---|
| 0.5 | 16.6 | 0.11 |
| 1.0 | 40.2 | 0.10 |
| 1.5 | 79.9 | 0.09 |
| 2.0 | 133.7 | 0.08 |
| Parameters | λ (s) | α | |||
|---|---|---|---|---|---|
| Value | 6.34 | 3.17 | 3.07 | 1.23 × 10−5 | 0.598 |
© 2019 by the authors. Licensee MDPI, Basel, Switzerland. This article is an open access article distributed under the terms and conditions of the Creative Commons Attribution (CC BY) license (http://creativecommons.org/licenses/by/4.0/).
Share and Cite
Dong, Y.Z.; Choi, H.J. Electrorheological Characteristics of Poly(diphenylamine)/magnetite Composite-Based Suspension. Materials 2019, 12, 2911. https://doi.org/10.3390/ma12182911
Dong YZ, Choi HJ. Electrorheological Characteristics of Poly(diphenylamine)/magnetite Composite-Based Suspension. Materials. 2019; 12(18):2911. https://doi.org/10.3390/ma12182911
Chicago/Turabian StyleDong, Yu Zhen, and Hyoung Jin Choi. 2019. "Electrorheological Characteristics of Poly(diphenylamine)/magnetite Composite-Based Suspension" Materials 12, no. 18: 2911. https://doi.org/10.3390/ma12182911
APA StyleDong, Y. Z., & Choi, H. J. (2019). Electrorheological Characteristics of Poly(diphenylamine)/magnetite Composite-Based Suspension. Materials, 12(18), 2911. https://doi.org/10.3390/ma12182911

