Study on Quenching Characteristics and Resistance Equivalent Estimation Method of Second-Generation High Temperature Superconducting Tape under Different Overcurrent
Abstract
1. Introduction
2. 2G HTS Tape
3. AC and DC Overcurrent Experiment
3.1. AC and DC Overcurrent Experiment Platforms
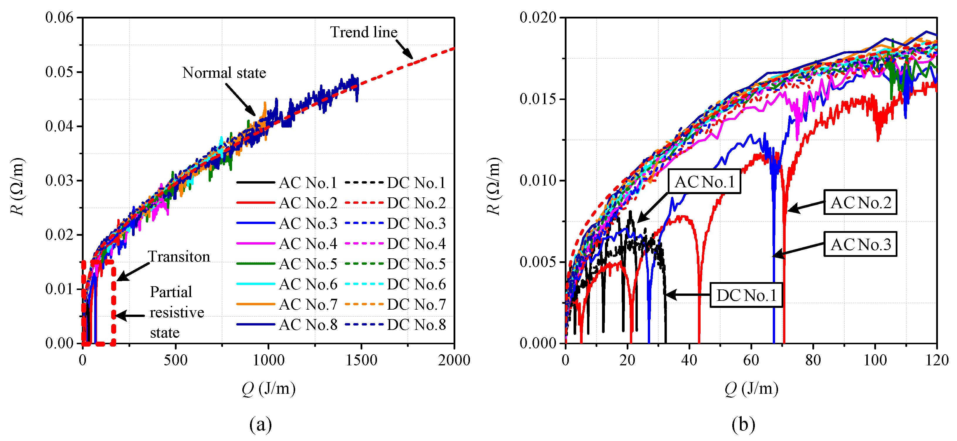
3.2. The results and Analysis of AC Overcurrent Experiment
3.3. The Results and Analysis of DC Overcurrent Experiment
3.4. Comparative Analysis of Quenching Resistance under AC and DC Overcurrent
4. Simulation Study on 2G HTS Tape Quenching under AC and DC Overcurrent
4.1. 3D Finite Element Model of 2G HTS Tape
4.1.1. 3D Electromagnetic Model
4.1.2. Heat transfer Model
4.2. Verification of the 3D Finite Element Model
4.3. Thermal Characteristics and Current Distribution Characteristics of 2G HTS Tape Quenching
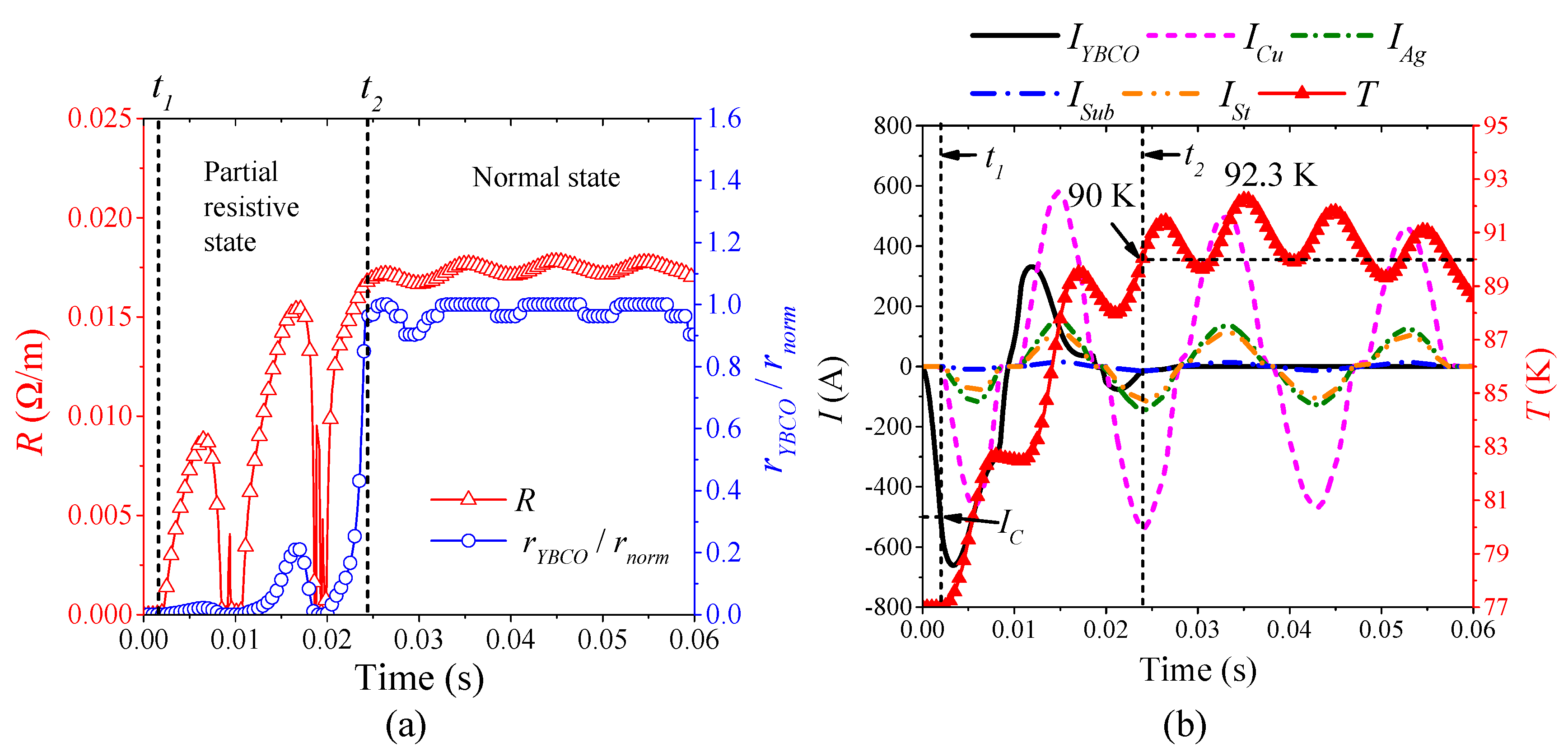
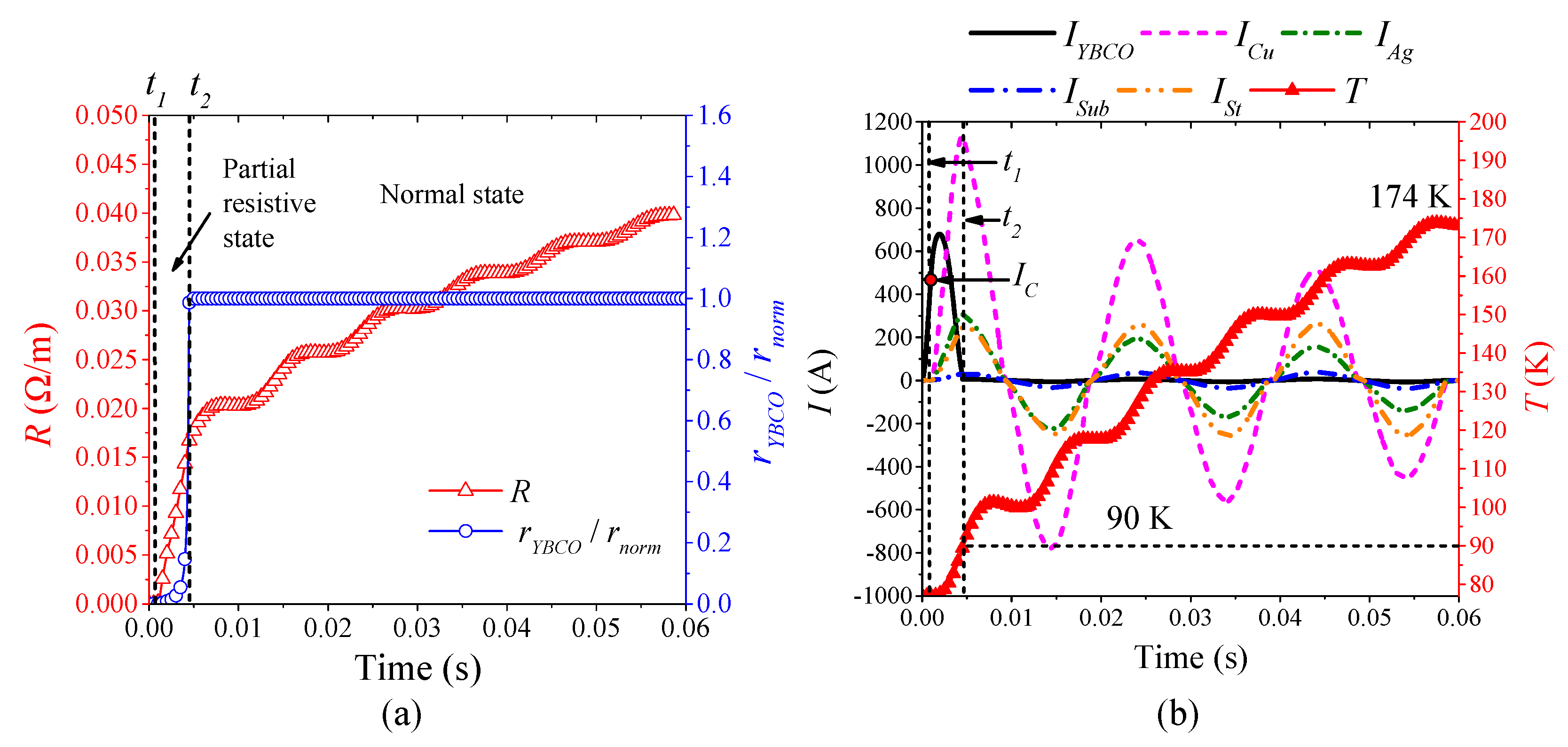
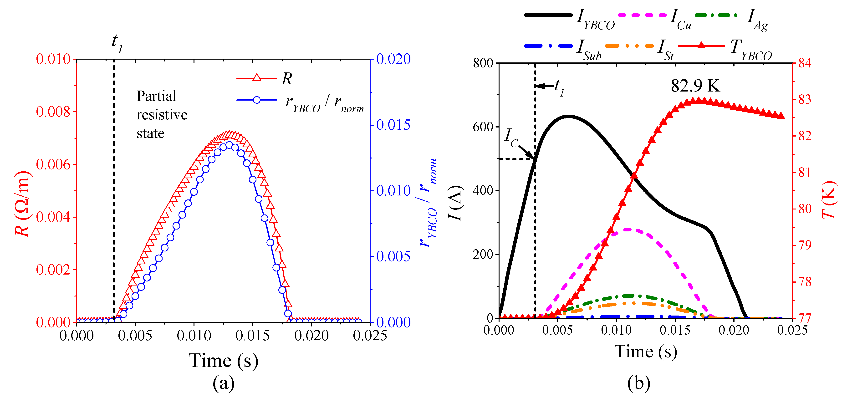
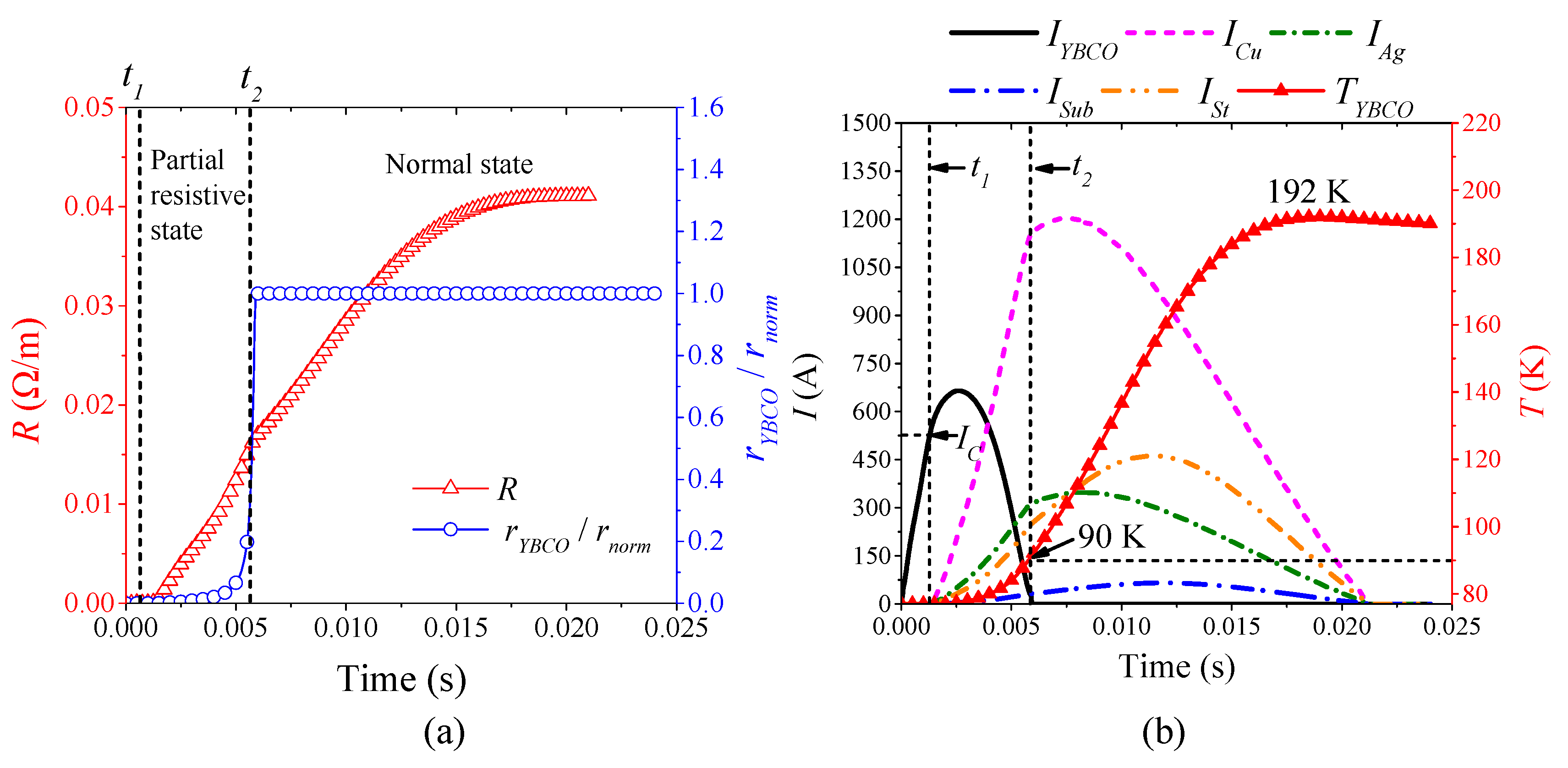
4.3.1. Resistance, Thermal and Current Distribution Characteristics under AC Overcurrent
4.3.2. Resistance, Thermal and Current Distribution Characteristics under DC Overcurrent.
4.4. Consistency Analysis of R-Q Curve
4.5. The Summary of Quenching Characteristics under AC and DC Overcurrent
5. The Equivalent Estimation of Quenching Resistance under AC and DC Overcurrent
5.1. The Basic Principle of the New Method
5.2. The Validation of R-Q Curve Method
6. Conclusions
Author Contributions
Funding
Conflicts of Interest
Nomenclature
| BSCCO | Bismuth Strontium Calcium Copper Oxide |
| YBCO | Yttrium Barium Copper Oxide |
| 1G | First Generation |
| 2G | Second Generation |
| 3D | Three Dimensional |
| HTS | High Temperature Superconducting |
| R-SFCL | Resistance type Superconducting Fault Current Limiter |
| DC | Direct Current |
| AC | Alternating Current |
| VSC | Voltage Source Converter |
| MMC | Modular Multilevel Converter |
| HVDC | High Voltage Direct Current |
| FEM | Finite element method |
| PDE | Partial Differential Equation |
| RLC | Resistance (R), Inductance (L) and Capacitance (C) |
Symbols
| U | Voltage (V) | Q | Joule heat (J) |
| I | Current (A) | P | Power (W) |
| R | Resistance (Ω) | E | Electric field intensity (V/m) |
| L | Inductance (H) | J | Current density (A/m2) |
| C | Capacitance (F) | r | Resistivity (Ω·m) |
| t | Time (s) | qs | Volume power density (W/m) |
| m | Mass (kg) | k | Heat transfer coefficient (W/(m2·K)) |
| ρ | Mass density (kg/m3) | μ | Permeability (H/m) |
| c | Specific heat capacity (J/(kg·K)) | H | Magnetic field intensity (A/m) |
| q | Conduction heat flux (W/m2) | B | Magnetic induction intensity (T) |
| T | Temperature (K) |
Appendix A

| Mass Density (kg/m3) | |||
|---|---|---|---|
| Cu | 8940 | YBCO | 5900 |
| Ag | 10500 | Stainless steel | 7930 |
| Substrate | 8910 | ||
References
- Malozemoff, A.P. Second-Generation High-Temperature Superconductor Wires for the Electric Power Grid. Annu. Rev. Mater. Res. 2012, 42, 373–397. [Google Scholar] [CrossRef]
- Rogalla, H.; Kes, P.H. (Eds.) 100 Years of Superconductivity; CRC Press: London, UK, 2011. [Google Scholar]
- Ronald, M.; Alexis, P.; David, C. Superconducting Materials for Large Scale Applications. IEEE Trans. Appl. Supercond. 2004, 92, 1639–1654. [Google Scholar]
- Malozemoff, A.P.; Verebelyi, D.T. HTS Wire: Status and prospects. Phys. C. Superconduct. 2003, 386, 424–430. [Google Scholar] [CrossRef]
- Chen, Y.; Bian, W.; Huang, W. High critical current density of YBa2Cu3O7-x superconducting films prepared through a DUV-assisted solution deposition process. Sci. Rep. 2016, 6, 38257. [Google Scholar] [CrossRef]
- Schoop, U.; Rupich, M.W.; Thieme, C. Second generation HTS wire based on RABiTS substrates and MOD YBCO. IEEE Trans. Appl. Supercond. 2005, 15, 2611–2616. [Google Scholar] [CrossRef]
- Rupich, M.W.; Schoop, U.; Verebelyi, D.T. The Development of Second Generation HTS Wire at American Superconductor. IEEE Trans. Appl. Supercond. 2007, 17, 3379–3382. [Google Scholar] [CrossRef]
- Pascal, P.T.; Badel, A.; Auran, G. Superconducting Fault Current Limiter for Ship Grid Simulation and Demonstration. IEEE Trans. Appl. Supercond. 2017, 27, 5601705. [Google Scholar] [CrossRef]
- Yang, K.; Yang, Y.; Junaid, M. Direct-Current Vacuum Circuit Breaker with Superconducting Fault-Current Limiter. IEEE Trans. Appl. Supercond. 2018, 28, 560010. [Google Scholar] [CrossRef]
- Chen, L.; Zhang, X.; Qin, Y. Application and Design of a Resistive-Type Superconducting Fault Current Limiter for Efficient Protection of a DC Microgrid. IEEE Trans. Appl. Supercond. 2019, 29, 5600607. [Google Scholar] [CrossRef]
- He, H.; Chen, L.; Yin, T. Application of a SFCL for Fault Ride-Through Capability Enhancement of DG in a Microgrid System and Relay Protection Coordination. IEEE Trans. Appl. Supercond. 2016, 26, 5603608. [Google Scholar] [CrossRef]
- Li, B.; He, J. Studies on the Application of R-SFCL in the VSC-Based DC Distribution System. IEEE Trans. Appl. Supercond. 2016, 26, 5601005. [Google Scholar] [CrossRef]
- Chen, L.; Chen, H.; Shu, Z. Comparison of Inductive and Resistive SFCL to Robustness Improvement of a VSC-HVDC System with Wind Plants against DC Fault. IEEE Trans. Appl. Supercond. 2016, 26, 5603508. [Google Scholar] [CrossRef]
- Xiao, L.; Dai, S.; Lin, L. HTS Power Technology for Future DC Power Grid. IEEE Trans. Appl. Supercond. 2013, 23, 5401506. [Google Scholar] [CrossRef]
- Zhou, Y.; Song, Q.; Guo, F. Quench developing process of HTS tapes under sinusoidal over-currents. IEEE Trans. Appl. Supercond. 2005, 15, 1651–1654. [Google Scholar] [CrossRef]
- Baldan, C.A.; Lamas, J.S.; Shigue, C.Y. Test of a Modular Fault Current Limiter for 220 V Line Using YBCO Coated Conductor Tapes with Shunt Protection. IEEE Trans. Appl. Supercond. 2011, 21, 1242–1245. [Google Scholar] [CrossRef]
- Liu, X.; Wen, J.; Zeng, W. Quenching Characteristics of Different Types of Superconducting Fault Current Limiting Modules. IEEE Trans. Appl. Supercond. 2015, 25, 5601205. [Google Scholar] [CrossRef]
- Zhang, Z.; Yang, J.; Qiu, Q. Research on resistance characteristics of YBCO tape under short-time DC large current impact. Cryogenics 2017, 84, 53–59. [Google Scholar] [CrossRef]
- Xiang, B.; Zhang, L.; Tan, Y. DC current withstanding characteristics of superconductor. In Proceedings of the 3rd International Conference on Electric Power Equipment—Switching Technology, Busan, Korea, 25–28 October 2015; pp. 217–220. [Google Scholar]
- Jiang, Z.; Wang, Y.; Dai, S. Influence of Insulation on Quench and Recovery of YBCO Tape under DC Impact. IEEE Trans. Appl. Supercond. 2018, 29, 7700305. [Google Scholar] [CrossRef]
- Xiang, B.; Junaid, M.; Gao, L. Influencing Factors on Quench and Recovery of YBCO Tapes for DC Superconducting Fault Current Limiter. IEEE Trans. Appl. Supercond. 2018, 29, 5600806. [Google Scholar] [CrossRef]
- Xiang, B.; Junaid, M.; Gao, L. Effects of Short Circuit Currents on Quench and Recovery Properties of YBCO Tapes for DC SFCL. IEEE Trans. Appl. Supercond. 2018, 29, 5600706. [Google Scholar] [CrossRef]
- Badel, A.; Antognazza, L.; Decroux, M. Hybrid Model of Quench Propagation in Coated Conductors Applied to Fault Current Limiter Design. IEEE Trans. Appl. Supercond. 2013, 23, 5603705. [Google Scholar] [CrossRef]
- Tong, Y.; Guan, M.; Wang, X. Theoretical estimation of quench occurrence and propagation based on generalized thermoelasticity for LTS/HTS tapes triggered by a spot heater. Supercond. Sci. Technol. 2017, 30, 045002. [Google Scholar] [CrossRef]
- Colangelo, D.; Dutoit, B. Analysis of the influence of the normal zone propagation velocity on the design of resistive fault current limiters. Supercond. Sci. Technol. 2014, 27, 124005. [Google Scholar] [CrossRef]
- Núñez-Chico, A.B.; Martínez, E.; Angurel, L.A.; Navarro, R. Enhanced quench propagation in 2G-HTS coils co-wound with stainless steel or anodised aluminium tapes. Supercond. Sci. Technol. 2016, 29, 085012. [Google Scholar] [CrossRef]
- Hong, Z.; Sheng, J.; Yao, L.; Gu, J.; Jin, Z. The Structure, Performance and Recovery Time of a 10 kV Resistive Type Superconducting Fault Current Limiter. IEEE Trans. Appl. Supercond. 2012, 23, 5601304. [Google Scholar] [CrossRef]
- Ge, H.; Yang, K.; Junaid, M. A quenching recovery time test method for resistive type superconducting fault current limiters used in DC circuit. In Proceedings of the 4th International Conference on Electric Power Equipment—Switching Technology, Xi’an, China, 22–25 October 2017; pp. 393–396. [Google Scholar]
- Yang, D.G.; Song, J.B.; Choi, Y.H. Quench and Recovery Characteristics of the Zr-Doped (Gd,Y) BCO Coated Conductor Pancake Coils Insulated With Copper and Kapton Tapes. IEEE Trans. Appl. Supercond. 2011, 21, 2415–2419. [Google Scholar] [CrossRef]
- Lim, S.H.; Lim, S.T. Current Limiting and Recovery Characteristics of a Trigger-Type SFCL Using Double Quench. IEEE Trans. Appl. Supercond. 2018, 28, 5601305. [Google Scholar] [CrossRef]
- Schwarz, M.; Schacherer, C.; Weiss, K.P. Thermodynamic behaviour of a coated conductor for currents above Ic. Supercond. Sci. Technol. 2008, 21, 054008. [Google Scholar] [CrossRef]
- Bagrets, N.; Otten, S.; Weiss, K.P. Thermal and mechanical properties of advanced impregnation materials for HTS cables and coils. IOP Conf. Ser. Mater. Sci. Eng. 2015, 102, 012021. [Google Scholar] [CrossRef]
- Bae, J.H.; Eom, B.Y.; Sim, K.D. Minimum Quench Energy Characteristic of YBCO Coated Conductor with Different Stabilizer Thickness. IEEE Trans. Appl. Supercond. 2013, 23, 4600404. [Google Scholar]
- Falorio, I.; Young, E.A.; Yang, Y. Quench Characteristic and Minimum Quench Energy of 2G YBCO Tapes. IEEE Trans. Appl. Supercond. 2015, 25, 6605505. [Google Scholar] [CrossRef]
- Du, H.I.; Kim, Y.J.; Lee, D.H. Study on Maximum Operating Condition of Resistive Type SFCL Using YBCO Coated Conductor. IEEE Trans. Appl. Supercond. 2010, 20, 1238–1241. [Google Scholar]
- Levin, G.A.; Jones, W.A.; Novak, K.A. The effects of superconductor-stabilizer interfacial resistance on quenching of a pancake coil made out of coated conductor. Supercond. Sci. Technol. 2011, 24, 035015. [Google Scholar] [CrossRef]
- Kwon, N.Y.; Kim, H.S.; Kim, K.L. The Effects of a Stabilizer Thickness of the YBCO Coated Conductor (CC) on the Quench/Recovery Characteristics. IEEE Trans. Appl. Supercond. 2010, 20, 1246–1249. [Google Scholar] [CrossRef]
- Du, H. Evaluation on Resistance Tendency and Recovery Characteristics of 2G Wire with Insulation Layer. IEEE Trans. Appl. Supercond. 2013, 23, 6602004. [Google Scholar]
- The Shanghai Superconductor Website 2019. Available online: http://www.shsctec.com/en/index (accessed on 20 March 2019).
- Yang, J.; Fletcher, J.; O’Reilly, J. Short-Circuit and Ground Fault Analyses and Location in VSC-Based DC Network Cables. IEEE Trans. Ind. Electron. 2012, 59, 3827–3837. [Google Scholar] [CrossRef]
- Li, C.; Zhao, C.; Xu, J. A Pole-to-Pole Short-Circuit Fault Current Calculation Method for DC Grids. IEEE Trans. Power Syst. 2017, 32, 4943–4953. [Google Scholar] [CrossRef]
- Hong, Z.; Campbell, A.M.; Coombs, T.A. Numerical solution of critical state in superconductivity by finite element software. Supercond. Sci. Technol. 2006, 19, 1246–1252. [Google Scholar] [CrossRef]
- Duron, J.; Grilli, F.; Antognazza, L. Finite-element modelling of YBCO fault current limiter with temperature dependent parameters. Supercond. Sci. Technol. 2007, 20, 338–344. [Google Scholar] [CrossRef]
- Stavrev, S.; Grilli, F.; Dutoit, B. Comparison of numerical methods for modeling of superconductors. IEEE Trans. Magn. 2002, 38, 849–852. [Google Scholar] [CrossRef]
- Curras, S.R.; Vina, J.; Ruibal, M. Normal-state resistivity versus critical current in YBa2Cu3O7−δ thin films at high current densities. Phy. C. Superconduct. 2002, 372, 1095–1098. [Google Scholar] [CrossRef]
- Roy, F.; Dutoit, B.; Grilli, F. Magneto-Thermal Modeling of Second-Generation HTS for Resistive Fault Current Limiter Design Purposes. IEEE Trans. Appl. Supercond. 2008, 18, 29–35. [Google Scholar] [CrossRef]
- Liang, F.; Yuan, W.; Baldan, C. Modeling and Experiment of the Current Limiting Performance of a Resistive Superconducting Fault Current Limiter in the Experimental System. J. Supercond. Novel Magn. 2015, 28, 2669–2681. [Google Scholar] [CrossRef]
- Frost, W.; Harper, W.L. Heat Transfer at Low Temperatures; Plenum: New York, NY, USA, 1975; Chapter 4. [Google Scholar]
- De Sousa, W.; Näckel, O.; Noe, M. Transient Simulations of an Air-Coil SFCL. IEEE Trans. Appl. Supercond. 2014, 24, 5601807. [Google Scholar] [CrossRef]
- Kalsi, S.S. Applications of High Temperature Superconductors to Electric Power Equipment; John Wiley & Sons: Hoboken, NJ, USA, 2011; pp. 137–138. [Google Scholar]




























| Parameters | Value |
|---|---|
| Width of tape | 12 mm |
| Thickness of stainless steel layer | 80 μm |
| Thickness of Cu layer | 3 μm |
| Thickness of Ag layer | 1.5 μm |
| Thickness of YBCO layer | 1 μm |
| Thickness of Hastelloy substrate layer | 50 μm |
| Insulation | No |
| Unit resistance at room temperature | 58.42 mΩ/m |
| Self-field critical current Ic at 77 K | 500 A |
| Effective measurement length of Sample | 10 cm |
| AC Test Platform | DC Test Platform | ||
|---|---|---|---|
| Parameters | Value | Parameters | Value |
| Input voltage | 220 V | Output voltage UC | 1000–2200 V |
| Frequency | 50 Hz | Capacitance C0 | 8 mF |
| Output voltage | 4–6 V | Inductance L0 | 5 mH |
| Output current | 0–3 kA | Resistance R0 | 0.2 Ω/0.5 Ω |
| Duration | 50–80 ms | Duration | 20–23 ms |
| Number | IPmax (A) | IPmax/IC | Duration (ms) | |||
|---|---|---|---|---|---|---|
| AC/DC | AC | DC | AC | DC | AC | DC |
| No. 1 | 860 | 910 | 1.72 | 1.82 | 50 | 22 |
| No. 2 | 1060 | 1260 | 2.12 | 2.52 | 60 | 23 |
| No. 3 | 1200 | 1400 | 2.4 | 2.8 | 60 | 20 |
| No. 4 | 1420 | 1580 | 2.84 | 3.16 | 70 | 20 |
| No. 5 | 1580 | 1620 | 3.16 | 3.24 | 80 | 22 |
| No. 6 | 1620 | 1860 | 3.24 | 3.72 | 60 | 22 |
| No. 7 | 1780 | 1980 | 3.56 | 3.96 | 60 | 22 |
| No. 8 | 1920 | 2020 | 3.84 | 4.04 | 75 | 22 |
| Resistance Type | Waveform | Results | Characteristics | State |
|---|---|---|---|---|
| Half-wave type | ![]() | AC No. 1 | Recovery after quenching | Partial resistive |
| Half-wave and half-incremental curve type | ![]() | AC No. 2 AC No. 3 | Initial stage: Recovery after quenching; Later stage: continuously quenching | Transition: Partial resistive state transitions to normal state |
| Incremental curve type | ![]() | AC No. 4 AC No. 5 AC No. 6 AC No. 7 AC No. 8 | Continuously quenching to normal state | Normal |
| Resistance Type | Waveform | Results | Characteristics | State |
|---|---|---|---|---|
| Half-wave type | ![]() | DC No. 1 | Recovery after quenching | Partial resistive |
| Incremental curve type | ![]() | DC No. 2 DC No. 3 DC No. 4 DC No. 5 DC No. 6 DC No. 7 DC No. 8 | Continuously quenching to normal state | Normal |
| Parameters | Value | Parameters | Value |
|---|---|---|---|
| r0 | 1 × 10−14 Ω·cm | n1 | 2.8 |
| rnorm | 2.5 μΩ·cm | n2 | 22 |
| E0 | 0.5 V/cm | k | 1.92 |
| Tc | 90 K | α | 1.5 |
| Jc0 | 1.9 × 1010 A/m2 | Tref | 77 K |
| State | Boundary | Current Distribution Characteristics | YBCO Resistivity | R-Q Consistency | |
|---|---|---|---|---|---|
| Superconducting state | I < IC (T) | Only flow through superconducting layer | 0 | / | |
| Quenching | Partial resistive state: | I > IC (T) T < TC | Initial stage: IYBCO > ICu > IAg > ISt > ISub Late stage: ICu > IYBCO > IAg > ISt > ISub | No | |
| Normal state | TC < T | ICu > IAg > ISt > ISub > IYBCO | Yes | ||
| Parameters | Value |
|---|---|
| Critical current, IC | 500 A |
| Initial quenching resistance, R0 | 0.001 Ω |
| Time step, Δt | 5 × 10−5 s |
| Length of superconducting tape | 1 m |
| Overcurrent | AC 1780 A, AC 1920 A, DC 1860 A, DC 2020 A, |
| Duration | 60 ms, 80 ms, 25 ms, 25 ms |
| Overcurrent | Software | Method | Computation Time |
|---|---|---|---|
| AC 1780A, 60 ms | PSCAD | R-Q | <3 s |
| Comsol | FEM | 3.78 h | |
| AC 1920A, 75 ms | PSCAD | R-Q | < 3 s |
| Comsol | FEM | 3.85 h | |
| DC 1860A, 22 ms | PSCAD | R-Q | <3 s |
| Comsol | FEM | 1.57 h | |
| DC 2020A, 22 ms | PSCAD | R-Q | <3 s |
| Comsol | FEM | 1.58 h |
© 2019 by the authors. Licensee MDPI, Basel, Switzerland. This article is an open access article distributed under the terms and conditions of the Creative Commons Attribution (CC BY) license (http://creativecommons.org/licenses/by/4.0/).
Share and Cite
Liang, S.; Ren, L.; Ma, T.; Xu, Y.; Tang, Y.; Tan, X.; Li, Z.; Chen, G.; Yan, S.; Cao, Z.; et al. Study on Quenching Characteristics and Resistance Equivalent Estimation Method of Second-Generation High Temperature Superconducting Tape under Different Overcurrent. Materials 2019, 12, 2374. https://doi.org/10.3390/ma12152374
Liang S, Ren L, Ma T, Xu Y, Tang Y, Tan X, Li Z, Chen G, Yan S, Cao Z, et al. Study on Quenching Characteristics and Resistance Equivalent Estimation Method of Second-Generation High Temperature Superconducting Tape under Different Overcurrent. Materials. 2019; 12(15):2374. https://doi.org/10.3390/ma12152374
Chicago/Turabian StyleLiang, Siyuan, Li Ren, Tao Ma, Ying Xu, Yuejin Tang, Xiangyu Tan, Zheng Li, Guilun Chen, Sinian Yan, Zhiwei Cao, and et al. 2019. "Study on Quenching Characteristics and Resistance Equivalent Estimation Method of Second-Generation High Temperature Superconducting Tape under Different Overcurrent" Materials 12, no. 15: 2374. https://doi.org/10.3390/ma12152374
APA StyleLiang, S., Ren, L., Ma, T., Xu, Y., Tang, Y., Tan, X., Li, Z., Chen, G., Yan, S., Cao, Z., Shi, J., Xiao, L., & Song, M. (2019). Study on Quenching Characteristics and Resistance Equivalent Estimation Method of Second-Generation High Temperature Superconducting Tape under Different Overcurrent. Materials, 12(15), 2374. https://doi.org/10.3390/ma12152374






