An Investigation into Picosecond Laser Micro-Trepanning of Alumina Ceramics Employing a Semi-Water-Immersed Scheme
Abstract
1. Introduction
2. Materials and Methods
2.1. Experimental Set-Up
2.2. Experiment Design
3. Results
3.1. Comparison between Direct Laser Trepanning and SWILT
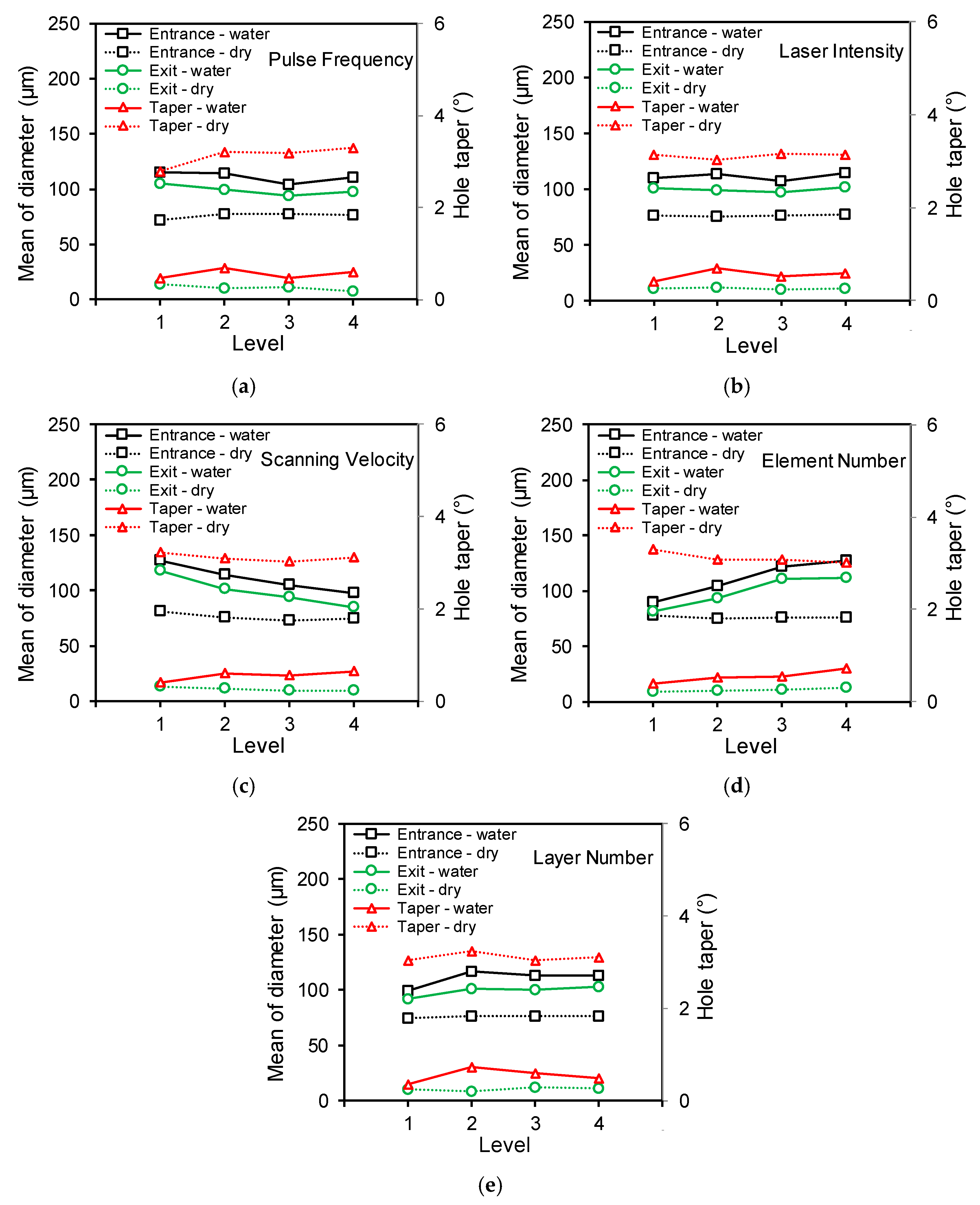
3.2. Effects of Parameters on Direct and Semi-Water-Immersed Laser Trepanning
4. Discussion
4.1. Potential for Increasing the Aspect Ratio
4.2. Formation Mechanisms of the Through-Hole
5. Conclusions
- Direct laser trepanning is associated with large hole tapering, with entrance diameters between 70 and 85 μm, while the exit diameter is always less than 20 μm, leading to tapers around 2.6°–3.5°, although the sidewall surface is of good quality and coated with densely distributed sub-micron humps. In contrast, SWILT is capable of producing through-holes with much smaller tapering—down to about 0.19°—and higher material-removal efficiency, while rougher ablated surface full of particles (the size of several microns) can be noted. By using the optimized processing parameters, a straight through-hole with averaged diameters around 79.2 μm and an aspect ratio about 8 can be repeatably produced.
- Effects of processing parameters on the trepanning results have been assessed through range analysis, where the through-hole profile changes were more significant in SWILT than the direct trepanning case under same conditions. In terms of direct laser drilling, laser scanning velocity and pulse frequency have obvious effects on exit and entrance diameters, whereas hole tapering is mostly affected by pulse frequency. For SWILT, the laser scanning velocity and element number far surpass other parameters in affecting the exit and entrance diameters, while the hole tapering is constantly kept at a quite low level. Recommended parameters have been made based on the influence analysis for SWILT, including a smaller pulse frequency (Level 1), higher laser power intensity (Level 4), larger laser scanning velocity (Level 4) and fewer element numbers and layer numbers (Level 1).
- The micro-hole formation mechanisms in the two trepanning methods have been adequately analyzed based on experimental observation. For the direct laser trepanning case, the transition blind hole develops as the incident laser beam interacts with material and causes material removal in a purely thermal-dynamic manner, leading to a deepening transition hole until a through one is eventually formed. The densely distributed sub-micron hump on the sidewall surface may be attributed to the re-solidification of the residual molten material after laser pulse heating. In contrast, for SWILT, once the alumina ceramic plate is drilled through, water can be drawn up due to a siphoning effect and fill the hole, so that a laser-induced breakdown in water is occurs. This is followed by water-confined plasma and associated strengthened mechanical effects, which may cause the material removal of molten or softened layers, leading to an increased material-removal rate especially in tighter spaces (and hence a straighter sidewall). Meanwhile, a degenerated surface quality of the sidewall is also expected.
Author Contributions
Funding
Acknowledgments
Conflicts of Interest
References
- Liu, J.; Yan, H.; Jiang, K. Mechanical properties of graphene platelet-reinforced alumina ceramic composites. Ceram. Int. 2013, 39, 6215–6221. [Google Scholar] [CrossRef]
- Barnes, C.; Shrotriya, P.; Molian, P. Water-assisted laser thermal shock machining of alumina. Int. J. Mach. Tools Manuf. 2007, 47, 1864–1874. [Google Scholar] [CrossRef]
- Chang, D.Y.; Lin, S.Y. Tool wear, hole characteristics, and manufacturing tolerance in alumina ceramic microdrilling process. Mater. Manuf. Process. 2012, 27, 306–313. [Google Scholar] [CrossRef]
- Wakuda, M.; Yamauchi, Y.; Kanzaki, S. Material response to particle impact during abrasive jet machining of alumina ceramics. J. Mater. Process. Technol. 2003, 132, 177–183. [Google Scholar] [CrossRef]
- Makino, E.; Shibata, T.; Yamada, Y. Micromachining of fine ceramics by photolithography. Sens. Actuators A 1999, 75, 278–288. [Google Scholar] [CrossRef]
- Lalchhuanvela, H.; Biswanath, D.; Bhattacharyya, B. Enabling and understanding ultrasonic machining of engineering ceramics using parametric analysis. Mater. Manuf. Processes 2012, 27, 443–448. [Google Scholar] [CrossRef]
- Kacar, E.; Mutlu, M.; Akman, E.; Demir, A.; Candan, L.; Canel, T.; Gunay, V.; Sınmazcelik, T. Characterization of the drilling alumina ceramic using Nd:YAG pulsed laser. J. Mater. Process. Technol. 2009, 209, 2008–2014. [Google Scholar] [CrossRef]
- Hanon, M.M.; Akman, E.; Genc Oztoprak, B.; Gunes, M.; Taha, Z.A.; Hajim, K.I.; Kacar, E.; Gundogdu, O.; Demir, A. Experimental and theoretical investigation of the drilling of alumina ceramic using Nd:YAG pulsed laser. Opt. Laser Technol. 2012, 44, 913–922. [Google Scholar] [CrossRef]
- Nedialkov, N.N.; Atanasov, P.A.; Sawczak, M.; Sliwinski, G. Ablation of ceramics with ultraviolet, visible, and infrared nanosecond laser pulses. In Proceedings of the XIV International Symposium on Gas Flow, Chemical Lasers, and High-Power Lasers, Wroclow, Poland, 25–30 August 2002. [Google Scholar] [CrossRef]
- Bharatish, A.; Narasimha Murthy, H.N.; Anand, B.; Madhusoodana, C.D.; Praveena, G.S.; Krishna, M. Characterization of hole circularity and heat affected zone in pulsed CO2 laser drilling of alumina ceramics. Opt. Laser Technol. 2013, 53, 22–32. [Google Scholar] [CrossRef]
- Knowles, M.; Rutterford, G.; Karnakis, D.; Ferguson, A. Micro-machining of metals, ceramics and polymers using nanosecond lasers. Int. J. Adv. Manuf. Technol. 2007, 33, 95–102. [Google Scholar] [CrossRef]
- Sinha, S. Thermal model for nanosecond laser ablation of alumina. Ceram. Int. 2015, 41, 6596–6603. [Google Scholar] [CrossRef]
- Zhu, H.; Wang, J.; Yao, P.; Huang, C.Z. Heat transfer and material ablation in hybrid laser-waterjet microgrooving of single crystalline germanium. Int. J. Mach. Tools Manuf. 2017, 116, 25–39. [Google Scholar] [CrossRef]
- Yan, Y.; Li, L.; Sezer, K.; Wang, W.; Whitehead, D.; Ji, L.; Bao, Y.; Jiang, Y. CO2 laser underwater machining of deep cavities in alumina. J. Eur. Ceram. Soc. 2011, 31, 2793–2807. [Google Scholar] [CrossRef]
- Chen, X.; Liu, X. Short pulsed laser machining: How short is short enough? J. Laser Appl. 1999, 11, 268–272. [Google Scholar] [CrossRef]
- Zhu, H.; Zhang, Z.; Xu, J.; Xu, K.; Ren, Y. An experimental study of micro-machining of hydroxyapatite using an ultrashort picosecond laser. Precis. Eng. 2018, 54, 154–162. [Google Scholar] [CrossRef]
- Wang, X.; Zheng, H.; Chu, P.; Tan, J.; Teh, K.; Liu, T.; Ang, B.C.; Tay, G. Femtosecond laser drilling of alumina ceramic substrates. Appl. Phys. A 2010, 101, 271–278. [Google Scholar] [CrossRef]
- Li, C.; Lee, S.; Nikumb, S. Femtosecond laser drilling of alumina wafers. J. Electron. Mater. 2009, 38, 2006–2012. [Google Scholar] [CrossRef]
- Ihlemann, J.; Scholl, A.; Schmidt, H.; Wolff-Rottke, B. Nanosecond and femtosecond excimer-laser ablation of oxide ceramics. Appl. Phys. A 1995, 60, 411–417. [Google Scholar] [CrossRef]
- Zhu, H.; Wang, J.; Yao, P. A study of hybrid laser–waterjet micromachining of crystalline germanium. Proc. Inst. Mech. Eng. B J. Eng. Manuf. 2016, 232, 1903–1917. [Google Scholar] [CrossRef]
- Li, L.; Wang, J. Direct writing of large-area micro/nano-structural arrays on single crystalline germanium substrates using femtosecond lasers. Appl. Phys. Lett. 2017, 110, 251901. [Google Scholar] [CrossRef]
- Hsu, H.; Wu, S. An investigation on micro-via drilling on ceramic substrates by a picosecond laser. In Proceedings of the 2016 IEEE 37th International Electronics Manufacturing Technology (IEMT) & 18th Electronics Materials and Packaging (EMAP) Conference, George Town, Malaysia, 20–22 September 2016. [Google Scholar] [CrossRef]
- Parry, J.P.; Shephard, J.D.; Hand, D.P.; Moorhouse, C.; Jones, N.; Weston, N. Laser micromachining of zirconia (Y-TZP) ceramics in the picosecond regime and the impact on material strength. Int. J. Appl. Ceram. Technol. 2011, 8, 163–171. [Google Scholar] [CrossRef]
- Zhu, H.; Zhang, Z.; Xu, K.; Xu, J.; Zhu, S.; Wang, A.; Qi, H.J.M. Performance evaluation and comparison between direct and chemical-assisted picosecond laser micro-trepanning of single crystalline silicon. Materials 2019, 12, 41. [Google Scholar] [CrossRef] [PubMed]
- Chen, R.C.C.; Yu, Y.T.; Su, K.W.; Chen, J.F.; Chen, Y.F. Exploration of water jet generated by Q-switched laser induced water breakdown with different depths beneath a flat free surface. Opt. Express 2013, 21, 445–453. [Google Scholar] [CrossRef] [PubMed]
- Lee, H.; Gojani, A.B.; Han, T.; Yoh, J.J. Dynamics of laser-induced bubble collapse visualized by time-resolved optical shadowgraph. J. Vis. 2011, 14, 331–337. [Google Scholar] [CrossRef]
- Wu, B. High-intensity nanosecond-pulsed laser-induced plasma in air, water, and vacuum: A comparative study of the early-stage evolution using a physics-based predictive model. Appl. Phys. Lett. 2008, 93, 101104. [Google Scholar] [CrossRef]
- Peyre, P.; Berthe, L.; Fabbro, R.; Sollier, A. Experimental determination by PVDF and EMV techniques of shock amplitudes induced by 0.6-3 ns laser pulses in a confined regime with water. J. Phys. D Appl. Phys. 2000, 33, 498–503. [Google Scholar] [CrossRef]
- Chichkov, B.N.; Momma, C.; Nolte, S.; von Alvensleben, F.; Tunnermann, A. Femtosecond, picosecond and nanosecond laser ablation of solids. Appl. Phys. A 1996, 63, 109–115. [Google Scholar] [CrossRef]













| Properties | 95% |
|---|---|
| Density (kg/m3) | 3720 |
| Melting point (K) | 2323 |
| Vaporization point (K) | 3253 |
| Elastic module (GPa) | 300 |
| Tensile strength (MPa) | 220 |
| Compressive strength (MPa) | 2600 |
| Specific heat (J/kg K) | 770 |
| Thermal conductivity (W/mK) | 38 |
| Coefficient of thermal expansion (10−6/K) | 8.2 |
| Components | Ratio |
|---|---|
| Al2O3 | 94–95% |
| SiO2 | 2% |
| CaO | 2% |
| MgO | 1% |
| Machining Parameters | Abbreviations | Levels | |||
|---|---|---|---|---|---|
| 1 | 2 | 3 | 4 | ||
| Pulse frequency (kHz) | f | 200 | 220 | 240 | 260 |
| Laser power intensity (MW/cm2) | I | 2.08 | 2.34 | 2.47 | 2.58 |
| Scanning velocity (mm/s) | v | 100 | 200 | 300 | 400 |
| Element number | m | 100 | 200 | 300 | 400 |
| Layer number | n | 15 | 20 | 25 | 30 |
| Test No | f | P | v | m | n | Entrance Diameter (µm) | 𝜎-Entrance (µm) | Exit Diameter (µm) | 𝜎-Exit (µm) | Taper (°) |
|---|---|---|---|---|---|---|---|---|---|---|
| L1 | 1 | 1 | 1 | 1 | 1 | 77.72 | 3.62 | 14.48 | 4.95 | 3.02 |
| L2 | 1 | 2 | 2 | 2 | 2 | 70.27 | 4.70 | 12.03 | 1.23 | 2.78 |
| L3 | 1 | 3 | 3 | 3 | 3 | 69.18 | 5.53 | 13.70 | 1.54 | 2.65 |
| L4 | 1 | 4 | 4 | 4 | 4 | 71.32 | 5.42 | 14.87 | 1.58 | 2.69 |
| L5 | 2 | 1 | 2 | 3 | 4 | 77.23 | 4.25 | 11.55 | 1.14 | 3.13 |
| L6 | 2 | 2 | 1 | 4 | 3 | 81.83 | 3.99 | 17.42 | 3.61 | 3.07 |
| L7 | 2 | 3 | 4 | 1 | 2 | 78.94 | 10.70 | 4.39 | 6.23 | 3.55 |
| L8 | 2 | 4 | 3 | 2 | 1 | 72.87 | 3.57 | 8.75 | 6.34 | 3.06 |
| L9 | 3 | 1 | 3 | 4 | 2 | 74.82 | 2.82 | 8.80 | 1.56 | 3.15 |
| L10 | 3 | 2 | 4 | 3 | 1 | 73.67 | 1.49 | 10.53 | 2.04 | 3.01 |
| L11 | 3 | 3 | 1 | 2 | 4 | 82.61 | 3.67 | 13.32 | 2.83 | 3.30 |
| L12 | 3 | 4 | 2 | 1 | 3 | 79.85 | 2.72 | 10.71 | 1.80 | 3.30 |
| L13 | 4 | 1 | 4 | 2 | 3 | 73.80 | 3.35 | 6.46 | 1.28 | 3.21 |
| L14 | 4 | 2 | 3 | 1 | 4 | 74.39 | 2.70 | 5.58 | 4.14 | 3.28 |
| L15 | 4 | 3 | 2 | 4 | 1 | 75.22 | 3.47 | 9.42 | 1.02 | 3.14 |
| L16 | 4 | 4 | 1 | 3 | 2 | 82.63 | 3.17 | 8.53 | 1.67 | 3.53 |
| Test No | f | P | v | m | n | Entrance Diameter (µm) | 𝜎-Entrance (µm) | Exit Diameter (µm) | 𝜎-Exit (µm) | Taper (°) |
|---|---|---|---|---|---|---|---|---|---|---|
| L1 | 1 | 1 | 1 | 1 | 1 | 97.41 | 4.42 | 100.99 | 7.37 | −0.17 |
| L2 | 1 | 2 | 2 | 2 | 2 | 120.38 | 19.49 | 102.89 | 10.35 | 0.83 |
| L3 | 1 | 3 | 3 | 3 | 3 | 119.45 | 12.71 | 109.13 | 8.84 | 0.49 |
| L4 | 1 | 4 | 4 | 4 | 4 | 123.86 | 11.08 | 109.16 | 9.06 | 0.70 |
| L5 | 2 | 1 | 2 | 3 | 4 | 129.43 | 7.28 | 118.35 | 7.73 | 0.53 |
| L6 | 2 | 2 | 1 | 4 | 3 | 150.45 | 11.78 | 131.50 | 8.55 | 0.90 |
| L7 | 2 | 3 | 4 | 1 | 2 | 82.78 | 6.87 | 66.64 | 7.35 | 0.77 |
| L8 | 2 | 4 | 3 | 2 | 1 | 93.91 | 8.79 | 83.22 | 8.42 | 0.51 |
| L9 | 3 | 1 | 3 | 4 | 2 | 118.69 | 12.41 | 104.25 | 8.27 | 0.69 |
| L10 | 3 | 2 | 4 | 3 | 1 | 93.04 | 7.29 | 82.28 | 7.73 | 0.51 |
| L11 | 3 | 3 | 1 | 2 | 4 | 112.12 | 5.18 | 108.19 | 5.43 | 0.19 |
| L12 | 3 | 4 | 2 | 1 | 3 | 91.78 | 6.45 | 82.22 | 7.41 | 0.46 |
| L13 | 4 | 1 | 4 | 2 | 3 | 92.00 | 10.26 | 79.98 | 7.55 | 0.57 |
| L14 | 4 | 2 | 3 | 1 | 4 | 88.35 | 6.42 | 77.25 | 8.18 | 0.53 |
| L15 | 4 | 3 | 2 | 4 | 1 | 114.88 | 8.26 | 102.36 | 10.59 | 0.60 |
| L16 | 4 | 4 | 1 | 3 | 2 | 146.01 | 9.56 | 132.07 | 7.31 | 0.67 |
© 2019 by the authors. Licensee MDPI, Basel, Switzerland. This article is an open access article distributed under the terms and conditions of the Creative Commons Attribution (CC BY) license (http://creativecommons.org/licenses/by/4.0/).
Share and Cite
Ma, Q.; Zhu, H.; Zhang, Z.; Xu, K.; Dai, X.; Zhu, S.; Wang, A. An Investigation into Picosecond Laser Micro-Trepanning of Alumina Ceramics Employing a Semi-Water-Immersed Scheme. Materials 2019, 12, 1812. https://doi.org/10.3390/ma12111812
Ma Q, Zhu H, Zhang Z, Xu K, Dai X, Zhu S, Wang A. An Investigation into Picosecond Laser Micro-Trepanning of Alumina Ceramics Employing a Semi-Water-Immersed Scheme. Materials. 2019; 12(11):1812. https://doi.org/10.3390/ma12111812
Chicago/Turabian StyleMa, Qiang, Hao Zhu, Zhaoyang Zhang, Kun Xu, Xueren Dai, Shuaijie Zhu, and Anbin Wang. 2019. "An Investigation into Picosecond Laser Micro-Trepanning of Alumina Ceramics Employing a Semi-Water-Immersed Scheme" Materials 12, no. 11: 1812. https://doi.org/10.3390/ma12111812
APA StyleMa, Q., Zhu, H., Zhang, Z., Xu, K., Dai, X., Zhu, S., & Wang, A. (2019). An Investigation into Picosecond Laser Micro-Trepanning of Alumina Ceramics Employing a Semi-Water-Immersed Scheme. Materials, 12(11), 1812. https://doi.org/10.3390/ma12111812
