Metal Oxide Thin-Film Heterojunctions for Photovoltaic Applications
Abstract
1. Introduction
2. Materials and Methods
2.1. Thin Film Synthesis and Characterization
2.2. Device Simulation
3. Results
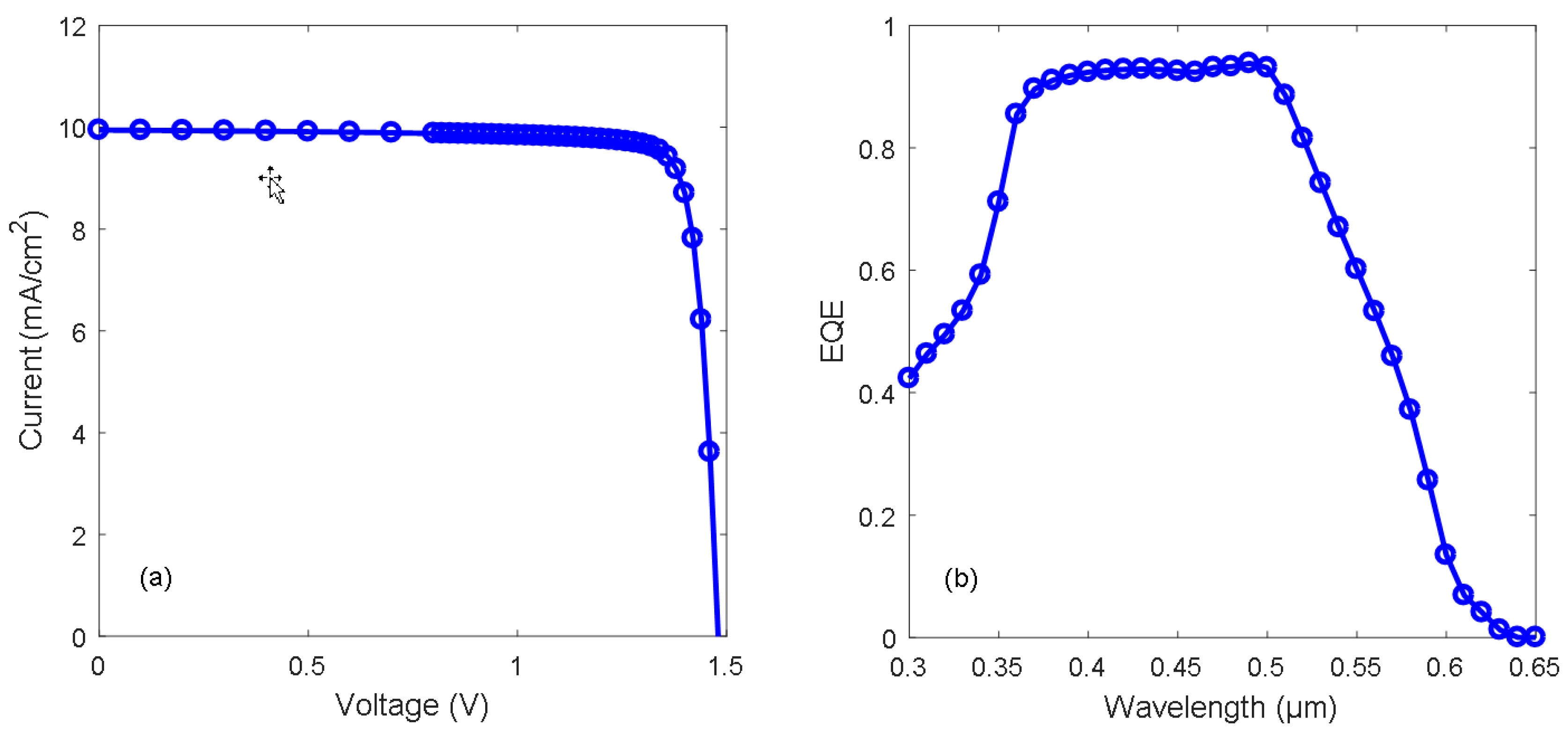
3.1. Optical and Electrical Properties
3.2. Modelling of AZO/Cu2O Heterojunction
3.2.1. Effect of Buffer Layer Electron Affinity
3.2.2. Effect of Interface Defects
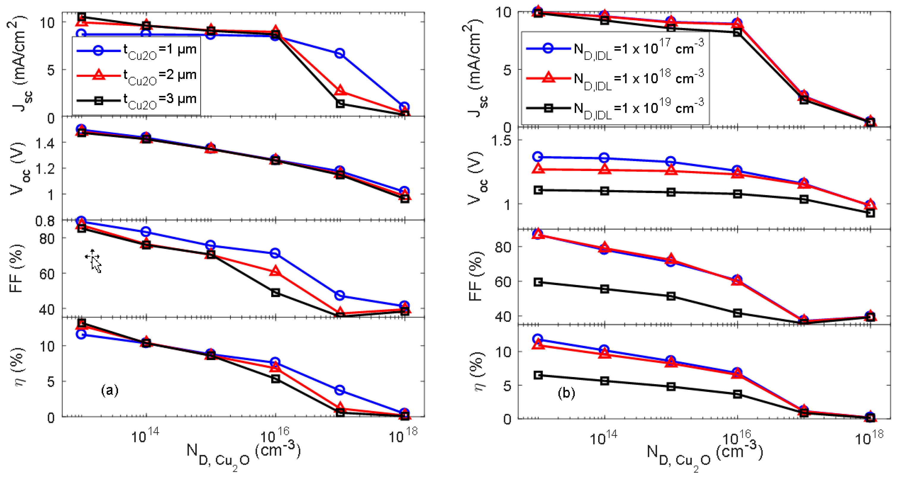
3.2.3. Effect of Cu2O Bulk Defects
4. Discussion on Heterojunction Interface Properties and Defect Analysis
5. Conclusions
Author Contributions
Funding
Conflicts of Interest
References
- International Technology Roadmap for Photovoltaic (ITRPV). Results 2017, 9th ed. September 2018. Available online: www.itrpv.net (accessed on 1 October 2018).
- Nordseth, Ø.; Kumar, R.; Bergum, K.; Fara, L.; Foss, S.E.; Haug, H.; Drăgan, F.; Crăciunescu, D.; Sterian, P.; Chilibon, I.; Vasiliu, C.; et al. Optical Analysis of a ZnO/Cu2O Subcell in a Silicon-Based Tandem Heterojunction Solar Cell. Green Sustain. Chem. 2017, 7, 57–69. [Google Scholar] [CrossRef]
- Shockley, W.; Queisser, H.J. Detailed Balance Limit of Efficiency of PN Junction Solar Cells. J. Appl. Phys. 1961, 32, 510–519. [Google Scholar] [CrossRef]
- Minami, T.; Nishi, Y.; Miyata, T. Efficiency enhancement using a Zn1−x Gex -O thin film as an n-type window layer in Cu2O-based heterojunction solar cells. Appl. Phys. Express 2016, 9, 052301. [Google Scholar] [CrossRef]
- Gan, J.; Gorantla, S.; Riise, H.N.; Fjellvåg, Ø.S.; Diplas, S.; Løvvik, O.M.; Svensson, B.G.; Monakhov, E.V.; Gunnæs, A.E. Structural properties of Cu2O epitaxial films grown on c-axis single crystal ZnO by magnetron sputtering. Appl. Phys. Lett. 2016, 108, 152110. [Google Scholar] [CrossRef]
- Kramm, B.; Laufer, A.; Reppin, D.; Kronenberger, A.; Hering, P.; Polity, A.; Meyer, B.K. The band alignment of Cu2O/ZnO and Cu2O/GaN heterostructures. Appl. Phys. Lett. 2012, 100, 094102. [Google Scholar] [CrossRef]
- Minami, T.; Nishi, Y.; Miyata, T. Cu2O-based solar cells using oxide semiconductors. J. Semicond. 2016, 37, 014002. [Google Scholar] [CrossRef]
- Brandt, R.E.; Young, M.; Park, H.H.; Dameron, A.; Chua, D.; Lee, Y.S.; Teeter, G.; Gordon, R.G.; Buonassisi, T. Band Offsets of N-Type Electron-Selective Contacts on Cuprous Oxide (Cu2O) for Photovoltaics. Appl. Phys. Lett. 2014, 105, 16–21. [Google Scholar] [CrossRef]
- Siol, S.; Hellmann, J.C.; Tilley, S.D.; Graetzel, M.; Morasch, J.; Deuermeier, J.; Jaegermann, W.; Klein, A. Band alignment engineering at Cu2O/ZnO heterointerfaces. ASC Appl. Mater. Interfaces 2016, 8, 21824. [Google Scholar] [CrossRef] [PubMed]
- ATLAS User’s Manual Device Simulation Software; Silvaco International Ltd.: Santa Clara, CA, USA, 2017.
- Takiguchi, Y.; Miyajima, S. Device simulation of cuprous oxide heterojunction solar cells. Jpn. J. Appl. Phys. 2015, 54, 112303. [Google Scholar] [CrossRef]
- Gan, J.; Venkatachalapathy, V.; Svensson, B.G.; Monakhov, E.V. Influence of Target Power on Properties of CuxO Thin Films Prepared by Reactive Radio Frequency Magnetron Sputtering. Thin Solid Films 2015, 594, 250–255. [Google Scholar] [CrossRef]
- Wang, Y.; Miska, P.; Pilloud, D.; Horwat, D.; Mücklich, F.; Pierson, J.F. Transmittance enhancement and optical band gap widening of Cu2O thin films after air annealing. J. Appl. Phys. 2014, 115, 073505. [Google Scholar] [CrossRef]
- Ishizuka, S.; Maruyama, T.; Akimoto, K. Thin-film deposition of Cu2O by reactive radio-frequency magnetron sputtering. Jpn. J. Appl. Phys. 2000, 39, L786–L788. [Google Scholar] [CrossRef]
- Lee, Y.S.; Winkler, M.T.; Siah, S.C.; Brandt, R.; Buonassisi, T. Hall mobility of cuprous oxide thin films deposited by reactive direct-current magnetron sputtering. Appl. Phys. Lett. 2011, 98, 192115. [Google Scholar] [CrossRef]
- Nordseth, Ø.; Chilibon, I.; Kumar, R.; Bergum, K.; Vasiliu, C.; Iordanescu, R.; Baschir, L.; Savastru, D.; Kiss, A.; Parau, A.; Fara, L.; et al. Characterization of Cuprous Oxide Thin Films Prepared by Reactive Direct Current Magnetron Sputtering. Sens. Transducers 2018, 220, 37–44. [Google Scholar]
- Bergum, K.; Riise, H.N.; Gorantla, S.; Lindberg, P.F.; Jensen, I.J.T.; Gunnæs, A.E.; Galeckas, A.; Diplas, S.; Svensson, B.G.; Monakhov, E. Improving carrier transport in Cu2O thin films by rapid thermal annealing. J. Phys. Condens. Matter 2018, 30, 075702. [Google Scholar] [CrossRef] [PubMed]
- Tolstova, Y.; Omelchenko, S.T.; Blackwell, R.E.; Shing, A.M.; Atwater, H.A. Polycrystalline Cu2O photovoltaic devices incorporating Zn(O,S) window layers. Sol. Energy Mater. Sol. Cells 2017, 160, 340–345. [Google Scholar] [CrossRef]
- Lee, Y.S.; Heo, J.; Siah, S.C.; Mailoa, J.P.; Brandt, R.E.; Kim, S.B.; Gordon, R.G.; Buonassisi, T. Ultrathin amorphous zinc-tin-oxide buffer layer for enhancing heterojunction interface quality in metal-oxide solar cells. Energy Environ. Sci. 2013, 6, 2112–2118. [Google Scholar] [CrossRef][Green Version]
- Minami, T.; Miyata, T.; Nishi, Y. Relationship between the electrical properties of the n-oxide and p-Cu2O layers and the photovoltaic properties of Cu2O-based heterojunction solar cells. Sol. Energy Mater. Sol. Cells 2016, 147, 85–93. [Google Scholar] [CrossRef]
- Wilson, S.S.; Bosco, J.P.; Tolstova, Y.; Scanlon, D.O.; Watson, G.W.; Atwater, H.A. Interface stoichiometry control to improve device voltage and modify band alignment in ZnO/Cu2O heterojunction solar cells. Energy Environ. Sci. 2014, 7, 3606–3610. [Google Scholar] [CrossRef]
- Ishizuka, S.; Kato, S.; Okamoto, Y.; Sakurai, T.; Akimoto, K.; Fujiwara, N.; Kobayashi, H. Passivation of defects in polycrystalline Cu2O thin films by hydrogen or cyanide treatment. Appl. Surf. Sci. 2003, 216, 94–97. [Google Scholar] [CrossRef]
- Omelchenko, S.T.; Tolstova, Y.; Atwater, H.A.; Lewis, N.S. Excitonic effects in emerging photovoltaic materials: A case study in Cu2O. ACS Energy Lett. 2017, 2, 431–437. [Google Scholar] [CrossRef]






| Parameter | AZO | Buffer Layer | IDL | Cu2O | Cu2O:N |
|---|---|---|---|---|---|
| Layer thickness (nm) | 100 | 10 | 0 * | 2000 * | 50 |
| Electron affinity (eV) | 4.4 | 3.7 * | 3.2 | 3.2 | 3.2 |
| Band gap (eV) | 3.35 | 3.35 | 2.1 | 2.1 | 2.1 |
| Relative permittivity | 9 | 9 | 7.6 | 7.6 | 7.6 |
| Acceptor concentration (cm−3) | 0 | 0 | 1 × 1015 | 1 × 1015 | 1 × 1021 |
| Donor concentration (cm−3) | 4 × 1020 | 1 × 1019 | 0 | 0 | 0 |
| Hole mobility (cm2/V·s) | 5 | 5 | 50 | 50 | 50 |
| Electron mobility (cm2/V·s) | 10 | 10 | 100 | 100 | 100 |
| Effective density of states in conduction band (cm−3) | 2.2 × 1018 | 2.2 × 1018 | 2.4 × 1019 | 2.4 × 1019 | 2.4 × 1019 |
| Effective density of states in valence band (cm−3) | 1.8 × 1019 | 1.8 × 1019 | 1.3 × 1019 | 1.3 × 1019 | 1.3 × 1019 |
| Capture cross section of holes (cm2) | 1 × 10−15 | 1 × 10−15 | 1 × 10−13 | 1 × 10−15 | 1 × 10−15 |
| Capture cross section of electrons (cm2) | 1 × 10−12 | 1 × 10−12 | 1 × 10−13 | 5 × 10−13 | 5 × 10−13 |
| Defect density (donor-like) (cm−3) | 1 × 1018 | 5 × 1017 | 1 × 1019 * | 1 × 1013 * | 1 × 1013 |
| Defect peak energy (eV) | 1.68 | 1.68 | 1.05 | 1.05 | 1.05 |
| Defect distribution width (eV) | 0.1 | 0.1 | 0.1 | 0.1 | 0.1 |
| Parameter | AZO | Cu2O | Cu2O * |
|---|---|---|---|
| Mobility (cm2/V·s) | 20 | 10 | 50 |
| Concentration (cm-3) | 3 × 1020 | 3 × 1015 | 1 × 1015 |
| Resistivity (Ohm·cm) | 5 × 10−4 | 560 | 200 |
© 2018 by the authors. Licensee MDPI, Basel, Switzerland. This article is an open access article distributed under the terms and conditions of the Creative Commons Attribution (CC BY) license (http://creativecommons.org/licenses/by/4.0/).
Share and Cite
Nordseth, Ø.; Kumar, R.; Bergum, K.; Fara, L.; Dumitru, C.; Craciunescu, D.; Dragan, F.; Chilibon, I.; Monakhov, E.; Foss, S.E.; et al. Metal Oxide Thin-Film Heterojunctions for Photovoltaic Applications. Materials 2018, 11, 2593. https://doi.org/10.3390/ma11122593
Nordseth Ø, Kumar R, Bergum K, Fara L, Dumitru C, Craciunescu D, Dragan F, Chilibon I, Monakhov E, Foss SE, et al. Metal Oxide Thin-Film Heterojunctions for Photovoltaic Applications. Materials. 2018; 11(12):2593. https://doi.org/10.3390/ma11122593
Chicago/Turabian StyleNordseth, Ørnulf, Raj Kumar, Kristin Bergum, Laurentiu Fara, Constantin Dumitru, Dan Craciunescu, Florin Dragan, Irinela Chilibon, Edouard Monakhov, Sean Erik Foss, and et al. 2018. "Metal Oxide Thin-Film Heterojunctions for Photovoltaic Applications" Materials 11, no. 12: 2593. https://doi.org/10.3390/ma11122593
APA StyleNordseth, Ø., Kumar, R., Bergum, K., Fara, L., Dumitru, C., Craciunescu, D., Dragan, F., Chilibon, I., Monakhov, E., Foss, S. E., & Svensson, B. G. (2018). Metal Oxide Thin-Film Heterojunctions for Photovoltaic Applications. Materials, 11(12), 2593. https://doi.org/10.3390/ma11122593

