Early Damage Detection in Composites during Fabrication and Mechanical Testing
Abstract
:1. Introduction
2. Distributed Optical Fibre Sensors
3. Acoustic Emission in Composite Materials
3.1. Felicity Effect
4. Materials and Methods
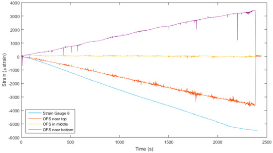
5. Results and Discussion
5.1. Manufacturing Process Monitoring
5.2. Four Point Bending Monitoring
5.2.1. Distributed Strain Monitoring
5.2.2. Acoustic Emission Monitoring
6. Concluding Remarks
Acknowledgments
Author Contributions
Conflicts of Interest
References
- Gresil, M.; Revol, V.; Kitsianos, K.; Kanderakis, G.; Koulalis, I.; Sauer, M.-O. EVITA Project: Comparison between traditional non-destructive techniques and phase contrast X-ray imaging applied to aerospace carbon fibre reinforced polymer. Appl. Compos. Mater. 2017, 24, 513–524. [Google Scholar] [CrossRef]
- Rose, J.L. Ultrasonic guided waves in structural health monitoring. Key Eng. Mater. 2004, 270–273, 14–21. [Google Scholar] [CrossRef]
- Cheng, L.; Tian, G.Y. Surface crack detection for carbon fiber reinforced plastic (CFRP) materials using pulsed eddy current thermography. IEEE Sens. J. 2011, 11, 3261–3268. [Google Scholar] [CrossRef]
- Cawley, P. The rapid non-destructive inspection of large composite structures. Composites 1994, 25, 351–357. [Google Scholar] [CrossRef]
- Hung, Y.Y. Shearography for the nondestructive evaluation of composite structures. Opt. Lasers Eng. 1996, 24, 161–182. [Google Scholar] [CrossRef]
- Hung, Y.Y.; Chen, Y.S.; Ng, S.P.; Liu, L.; Huang, Y.H.; Luk, B.L.; Ip, R.W.L.; Wu, C.M.L.; Chung, P.S. Review and comparison of shearography and active thermography for nondestructive evaluation. Mater. Sci. Eng. R Rep. 2009, 64, 73–112. [Google Scholar] [CrossRef]
- Meola, C.; Carlomagno, G.M. Recent advances in the use of infrared thermography. Meas. Sci. Technol. 2004, 15, R27–R58. [Google Scholar] [CrossRef]
- Mayr, G.; Plank, B.; Sekelja, J.; Hendorfer, G. Active thermography as a quantitative method for non-destructive evaluation of porous carbon fiber reinforced polymers. NDT E Int. 2011, 44, 537–543. [Google Scholar] [CrossRef]
- Munoz, V.; Valès, B.; Perrin, M.; Pastor, M.L.; Welemane, H.; Cantarel, A.; Karama, M. Damage detection in CFRP by coupling acoustic emission and infrared thermography. Compos. Part B Eng. 2016, 85, 68–75. [Google Scholar] [CrossRef]
- Chandarana, N.; Lansiaux, H.; Gresil, M. Characterisation of damaged tubular composites by acoustic emission, thermal diffusivity mapping and TSR-RGB projection technique. Appl. Compos. Mater. 2017, 24, 525–551. [Google Scholar] [CrossRef]
- Diamanti, K.; Soutis, C. Structural health monitoring techniques for aircraft composite structures. Prog. Aerosp. Sci. 2010, 46, 342–352. [Google Scholar] [CrossRef]
- Giurgiutiu, V. Structural Health Monitoring with Piezoelectric Wafer Active Sensors, 1st ed.; Academic Press: Cambridge, MA, USA, 2008; ISBN 9780120887606. [Google Scholar] [CrossRef]
- Sánchez, D.M.; Gresil, M.; Soutis, C. Distributed internal strain measurement during composite manufacturing using optical fibre sensors. Compos. Sci. Technol. 2015, 120, 49–57. [Google Scholar] [CrossRef]
- Ferdinand, P. The Evolution of Optical Fiber Sensors Technologies During the 35 Last Years and Their Applications in Structural Health Monitoring. In Proceedings of the 7th European Workshop on Structural Health Monitoring, Nantes, France, 8–11 July 2014; pp. 914–929. [Google Scholar]
- Kang, H.-K.; Kang, D.-H.; Bang, H.-J.; Hong, C.-S.; Kim, C.-G. Cure monitoring of composite laminates using fiber optic sensors. Smart Mater. Struct. 2002, 11, 279–287. [Google Scholar] [CrossRef]
- Gresil, M.; Saleh, M.; Soutis, C. Transverse crack detection in 3D angle interlock glass fibre composites using acoustic emission. Materials (Basel) 2016, 9, 699. [Google Scholar] [CrossRef]
- Chandarana, N.; Sanchez, D.M.; Soutis, C.; Gresil, M. Early damage detection in composites by distributed strain and acoustic event monitoring. In Proceedings of the 6th Asia-Pacific Workshop on Structural Health Monitoring, Tasmania, Australia, 7–9 December 2016. [Google Scholar]
- Gresil, M.; Giurgiutiu, V. Guided wave propagation in composite laminates using piezoelectric wafer active sensor. Aeronaut. J. 2013, 117, 971–995. [Google Scholar] [CrossRef]
- Giurgiutiu, V. Tuned lamb wave excitation and detection with piezoelectric wafer active sensors for structural health monitoring. J. Intell. Mater. Syst. Struct. 2005, 16, 291–305. [Google Scholar] [CrossRef]
- Lin, M.; Chang, F.-K. The manufacture of composite structures with a built-in network of piezoceramics. Compos. Sci. Technol. 2002, 62, 919–939. [Google Scholar] [CrossRef]
- Bektas, G.; Boz, T.; Keulen, C.J.; Yildiz, M.; Ozturk, C.; Menceloglu, Y.Z.; Suleman, A. Fiber Bragg grating and etched optic sensors for flow and cure monitoring of resin transfer molded composite structures. In Proceedings of the 18th International Conference on Composite Matererials (ICCM 2011), Jeju Island, Korea, 21–26 August 2011; pp. 1–6. [Google Scholar]
- Kuang, K.S.C.; Kenny, R.; Whelan, M.P.; Cantwell, W.J.; Chalker, P.R. Embedded fibre Bragg grating sensors in advanced composite materials. Compos. Sci. Technol. 2001, 61, 1379–1387. [Google Scholar] [CrossRef]
- Murukeshan, V.M.; Chan, P.Y.; Ong, L.S.; Seah, L.K. Cure monitoring of smart composites using Fiber Bragg Grating based embedded sensors. Sens. Actuators A Phys. 2000, 79, 153–161. [Google Scholar] [CrossRef]
- Kim, W.-S.; Kim, S.-H.; Lee, J.-J.; Ye, L.; Mai, Y.W.; Su, Z. A damage detection technique of composite laminates with embedded FBG sensors. In Composites Technologies for; Woodhead Publishing Limited: Cambridge, UK, 2004; pp. 981–986. [Google Scholar] [CrossRef]
- Glisic, B. Distributed fiber optic sensing technologies and applications—An overview. ACI Spec. Publ. 2013, 292, 1–18. [Google Scholar]
- Palmieri, L.; Schenato, L. Distributed Optical Fiber Sensing Based on Rayleigh Scattering. Open Opt. J. 2013, 7, 104–127. [Google Scholar] [CrossRef]
- Samiec, D. Distributed fibre-optic temperature and strain measurement with extremely high spatial resolution. Photonik Int. 2012, 6, 10–13. [Google Scholar]
- Güemes, A.; Fernández-López, B. Soller, optical fiber distributed sensing—Physical principles and applications. Struct. Health Monit. 2010, 9, 233–245. [Google Scholar] [CrossRef]
- Chiesura, G.; Luyckx, G.; Dierick, M.; Van Paepegem, W.; Degrieck, J. Assessing the damage evolution of composites containing embedded fibre optics. JEC Mag. 2015, 97, 60–63. [Google Scholar]
- Hamstad, M.A. Testing fiber composites with acoustic emission monitoring. J. Acoust. Emiss. 1982, 1, 151–164. [Google Scholar]
- Mehan, R.L.; Mullin, J.V. Analysis of composite failure mechanisms using acoustic emissions. J. Compos. Mater. 1971, 5, 266–269. [Google Scholar] [CrossRef]
- Godin, N.; Huguet, S.; Gaertner, R. Integration of the Kohonen’s self-organising map and k-means algorithm for the segmentation of the AE data collected during tensile tests on cross-ply composites. NDT E Int. 2005, 38, 299–309. [Google Scholar] [CrossRef]
- Masmoudi, S.; El Mahi, A.; El Guerjouma, R. Mechanical behaviour and health monitoring by acoustic emission of sandwich composite integrated by piezoelectric implant. Compos. Part B Eng. 2014, 67, 76–83. [Google Scholar] [CrossRef]
- Li, L.; V Lomov, S.; Yan, X.; Carvelli, V. Cluster analysis of acoustic emission signals for 2D and 3D woven glass/epoxy composites. Compos. Struct. 2014, 116, 286–299. [Google Scholar] [CrossRef]
- Liu, P.F.; Chu, J.K.; Liu, Y.L.; Zheng, J.Y. A study on the failure mechanisms of carbon fiber/epoxy composite laminates using acoustic emission. Mater. Des. 2012, 37, 228–235. [Google Scholar] [CrossRef]
- Ramirez-Jimenez, C.R.; Papadakis, N.; Reynolds, N.; Gan, T.H.; Purnell, P.; Pharaoh, M. Identification of failure modes in glass/polypropylene composites by means of the primary frequency content of the acoustic emission event. Compos. Sci. Technol. 2004, 64, 1819–1827. [Google Scholar] [CrossRef]
- Gutkin, R.; Green, C.J.; Vangrattanachai, S.; Pinho, S.T.; Robinson, P.; Curtis, P.T. On acoustic emission for failure investigation in CFRP: Pattern recognition and peak frequency analyses. Mech. Syst. Signal Process. 2011, 25, 1393–1407. [Google Scholar] [CrossRef]
- Bussiba, A.; Kupiec, M.; Ifergane, S.; Piat, R.; Böhlke, T. Damage evolution and fracture events sequence in various composites by acoustic emission technique. Compos. Sci. Technol. 2008, 68, 1144–1155. [Google Scholar] [CrossRef]
- Kotsikos, G.; Evans, J.T.; Gibson, A.G.; Hale, J. Use of acoustic emission to characterize corrosion fatigue damage accumulation in glass fiber reinforced polyester laminates. Polym. Compos. 1999, 20, 689–696. [Google Scholar] [CrossRef]
- Wadim, J.R. Acoustic Emission Applications; Dunegan Endevco: San Juan Capistrano, CA, USA, 1978. [Google Scholar]
- Chen, O.; Karandikar, P.; Takeda, N.; Kishi, T. Acoustic emission characterization of a glass-matrix composite. Nondestruct. Test. Eval. 1992, 8–9, 869–878. [Google Scholar] [CrossRef]
- Ceysson, O.; Salvia, M.; Vincent, L. Damage mechanisms characterisation of carbon fibre/epoxy composite laminates by both electrical resistance measurements and acoustic emission analysis. Scr. Mater. 1996, 34, 1273–1280. [Google Scholar] [CrossRef]
- Kim, S.-T.; Lee, Y.-T. Characteristics of damage and fracture process of carbon fiber reinforced plastic under loading-unloading test by using AE method. Mater. Sci. Eng. A 1997, 234–236, 322–326. [Google Scholar] [CrossRef]
- Gong, X.L.; Gong, X.J.; Laksimi, A.; Benzeggagh, M.L. Application of Tsai-Wu Criterion to Notched and Unnotched Composite Laminates under Torque Loading. J. Compos. Mater. 2000, 34, 460–478. [Google Scholar] [CrossRef]
- Masmoudi, S.; El Mahi, A.; Turki, S.; El Guerjouma, R. Mechanical behavior and health monitoring by Acoustic Emission of unidirectional and cross-ply laminates integrated by piezoelectric implant. Appl. Acoust. 2014, 86, 118–125. [Google Scholar] [CrossRef]
- Barré, S.; Benzeggagh, M.L. On the use of acoustic emission to investigate damage mechanisms in glass-fibre-reinforced polypropylene. Compos. Sci. Technol. 1994, 52, 369–376. [Google Scholar] [CrossRef]
- Komai, K.; Minoshima, K.; Shibutani, T. Investigations of the fracture mechanism of carbon/epoxy composites by AE signal analyses. JSME Int. J. 1991, 34, 381–388. [Google Scholar] [CrossRef]
- Mahdavi, H.R.; Rahimi, G.H.; Farrokhabadi, A. Failure analysis of (±55°)9 filament-wound GRE pipes using acoustic emission technique. Eng. Fail. Anal. 2015, 62, 178–187. [Google Scholar] [CrossRef]
- Ben Khalifa, A.; Zidi, M.; Abdelwahed, L. Mechanical characterization of glass/vinylester +/-55’ filament wound pipes by acoustic emission under axial monotonic loading. Comptes Rendus Mec. 2012, 340, 453–460. [Google Scholar] [CrossRef]
- Russell, S.S.; Henneke, E.G. Signature Analysis of Acoustic Emission from Graphite/Epoxy Composites; Interim Report, NASA-CR-153414; NASA Grant NSG-1238: Hampton, VA, USA, September 1997.
- Suzuki, M.; Nakanishi, H.; Iwamoto, M.; Jiao, G.-K.; Koike, K.; Imura, M. Fatigue fracture mechanism of class A-SMC by acoustic emission method. J. Soc. Mater. Sci. Jpn. 1987, 36, 1402–1408. [Google Scholar] [CrossRef]
- Suzuki, M.; Kida, S.; Shimbo, M.; Miyano, Y. Effects of fiber content on fracture mechanisms of short fiber reinforced PET composites. Trans. Jpn. Soc. Mech. Eng. Ser. A 1990, 56, 1030–1035. [Google Scholar] [CrossRef]
- De Groot, P.J.; Wijnen, P.A.M.; Janssen, R.B.F. Real-time frequency determination of acoustic emission for different fracture mechanisms in carbon/epoxy composites. Compos. Sci. Technol. 1995, 55, 405–412. [Google Scholar] [CrossRef]
- Jong, H.-J. Transverse cracking in a cross-ply composite laminate—Detection in acoustic emission and source characterization. J. Compos. Mater. 2006, 40, 37–69. [Google Scholar] [CrossRef]
- Rotem, A.; Baruch, J. Determining the load-time history of fibre composite materials by acoustic emission. J. Mater. Sci. 1974, 9, 1789–1796. [Google Scholar] [CrossRef]
- Goren, A.; Atas, C. Manufacturing of polymer matrix composites using vacuum assisted resin infusion molding. Arch. Mater. Sci. Eng. 2008, 34, 117–120. [Google Scholar]
- PI Ceramic, Piezoelectric Ceramic Products, n.d. Available online: http://www.piceramic.com/download/PI_Piezoelectric_Ceramic_Products_CAT125E.pdf (accessed on 1 May 2017).
- Lin, H.; Brown, L.P.; Long, A.C. Modelling and Simulating Textile Structures Using TexGen. Adv. Mater. Res. 2011, 331, 44–47. [Google Scholar] [CrossRef]















| Ref. | Material | Test | Sensor | Amplitude Distribution (dB) | |||
|---|---|---|---|---|---|---|---|
| Matrix Cracking | Interfacial Debonding | Fibre/Matrix Friction and Fibre Pull-Out | Fibre Breakage | ||||
| [40] | - | - | - | 30–45 | 45–55 | - | >55 |
| [41] | Graphite/Glass | Tens., 4PB | PAC pico | 60–80 | 70–90 | - | - |
| [42] | CF/Ep | Buckling, 3PB | R15 | 43–65 | 45–75 | 50–85 | - |
| [43] | CFRP | Tens. Cy | Fuji ceramic M204 | 40–70 | - | - | 60–100 |
| [39] | GF/PET | Immersed bending fatigue | PAC U30D03 | 40–60 | 60–80 | - | 80–100 |
| [44] | GF/Ep | Torque | WD AE | 32–72 | 46–68 | 69–86 | 87–100 |
| [45] | GF/Ep | 3PB | PZT disc | 35–82 | 50–95 | - | >65 |
| [33] | GF sandwich | 3PB static/fatigue | PZT disc | 40–76 | 72–100 | - | >94 |
| [46] | GF/PP | Tens., crack propagation | PAC micro 80 | 40–55 | 60–65 | 65–85 | 85–95 |
| [32] | GF/Ep | Tens. | PAC micro 80 | 40–80 | 50–80 | 70–100 | - |
| [47] | CF/Ep | Tens. | PAC pico | <70 | <60 | - | - |
| [34] | CF/Ep | Tens. | Digital wave B1025 | 35–55 | 55–100 | - | 35–80 |
| [35] | CF/Ep notched | Tens. | - | 50–60 | 60–70 | - | 70–100 |
| [16] | GF/Ep | Tens. | Steminc SM412 | 60–100 | - | - | - |
| [48] | GF/Ep | Ring tens. | WD AE | 40–80 | - | 80–90 | 90–94 |
| [49] | GF/Vinyl-ester | Tens. | - | 45–55 | 55–75 | - | ~83 |
| Ref. | Material | Test | Sensor | Frequency Distribution (kHz) | |||
|---|---|---|---|---|---|---|---|
| Matrix Cracking | Interfacial Debonding | Fibre/Matrix Friction and Fibre Pull-Out | Fibre Breakage | ||||
| [50] | Graphite/Ep | Tens. | Panametrics 5070AE | 50–150 | - | - | 140–180 |
| [51] | GF/PET | - | - | 30–150 | 30–100 | 180–290 | 300–400 |
| [52] | GF/PET | - | - | 80–130 | - | 250–410 | 250–410 |
| [47] | CF/Ep | Tens. Qs/Cy | PAC Pico | ~300 | - | 300 | >500 |
| [53] | CF/Ep | Tens., DCB, lap shear | PAC-WD | 50–180 | 220–300 | 180–220 | >300 |
| [36] | GF/PP | Tens. | PAC-WD | 90–110 | - | 200–300 | >420 |
| [37] | CF/Ep | CT, CC, DCB, 4PB | PAC-WD | <50 | 200–300 | 500–600 | 400–500 |
| [38] | Graphite/Ep | Tens. | 9223M3 Mini | ~140 | ~300 | - | ~405 |
| [54] | CF/GF/Ep | Tens. | B1025 | 200–600 | 200–350 | 700–1100 | >1500 |
| [34] | CF/Ep | Tens. | B1025 | 50–80 | 50–150 | - | 150–500 |
| [16] | GF/Ep | Tens. | Steminc SM412 | 80–400 | - | - | - |
| Loading Step | Strain 1 (%) | Loading Step | Strain 1 (%) |
|---|---|---|---|
| 1 | 0.14 | 8 | 0.41 |
| 2 | 0.14 | 9 | 0.41 |
| 3 | 0.2 | 10 | 0.43 |
| 4 | 0.29 | 11 | 0.46 |
| 5 | 0.4 | 12 | 0.5 |
| 6 | 0.42 | 13 | 0.55 |
| 7 | 0.41 |
| Time of Plot (s) | Bottom | Top | ||
|---|---|---|---|---|
| Mean Wavelength (mm) | Standard Deviation (mm) | Mean Wavelength (mm) | Standard Deviation (mm) | |
| 400 | 10.51 | 1.28 | 10.18 | 1.34 |
| 600 | 10.45 | 0.74 | 10.09 | 1.11 |
| 800 | 10.45 | 0.57 | 10.63 | 1.86 |
| 1400 | 10.40 | 0.42 | 10.63 | 1.38 |
| 1600 | 10.40 | 0.42 | 10.63 | 1.38 |
| Loading Step | Strain 1 (%) | Load at Maximum Strain (N) | Felicity Ratio |
|---|---|---|---|
| 1 | 0.14 | 358 | 1 |
| 2 | 0.14 | 349 | 1 |
| 3 | 0.2 | 516 | 0.98 |
| 4 | 0.29 | 741 | 0.78 |
| 5 | 0.4 | 1050 | 0.81 |
© 2017 by the authors. Licensee MDPI, Basel, Switzerland. This article is an open access article distributed under the terms and conditions of the Creative Commons Attribution (CC BY) license (http://creativecommons.org/licenses/by/4.0/).
Share and Cite
Chandarana, N.; Sanchez, D.M.; Soutis, C.; Gresil, M. Early Damage Detection in Composites during Fabrication and Mechanical Testing. Materials 2017, 10, 685. https://doi.org/10.3390/ma10070685
Chandarana N, Sanchez DM, Soutis C, Gresil M. Early Damage Detection in Composites during Fabrication and Mechanical Testing. Materials. 2017; 10(7):685. https://doi.org/10.3390/ma10070685
Chicago/Turabian StyleChandarana, Neha, Daniel Martinez Sanchez, Constantinos Soutis, and Matthieu Gresil. 2017. "Early Damage Detection in Composites during Fabrication and Mechanical Testing" Materials 10, no. 7: 685. https://doi.org/10.3390/ma10070685
APA StyleChandarana, N., Sanchez, D. M., Soutis, C., & Gresil, M. (2017). Early Damage Detection in Composites during Fabrication and Mechanical Testing. Materials, 10(7), 685. https://doi.org/10.3390/ma10070685

