Fatigue Lifetime of Ceramic Matrix Composites at Intermediate Temperature by Acoustic Emission
Abstract
:1. Introduction
2. Experimental Procedure
2.1. Materials and Mechanical Tests
2.2. Acoustic Emission Monitoring
3. Damage Indicators
4. Damage Identification with a Random Forest Algorithm
- Class A:
- cluster A contains signals from two damage mechanisms which are chronologically well separated: seal coat cracking and tow breaks;
- Class B:
- cluster B contains signals from two damage mechanisms which are chronologically well separated: longitudinal matrix cracking and individual fibre breaks in the fracture zone just before failure;
- Class C:
- cluster C contains signals with relatively short duration, short rise time and low amplitude compared to the others: transversal matrix cracking;
- Class D:
- this cluster is the last one to be activated and it becomes more active as strain increases and the D-type signals have a longer rise time compared to other signals: sliding at fibre/matrix interfaces, fibre/matrix debonding.
5. Results and Discussion
5.1. Incremental Static Fatigue Tests and Incremental Fatigue Tests
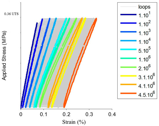
5.2. Cyclic Fatigue Tests at Maximum Constant Amplitude: Identification of Critical Time
6. Conclusions
Acknowledgments
Author Contributions
Conflicts of Interest
References
- Lamon, J. Chemical Vapor Infiltrated CVI SiC/SiC composites. In Handbook of Ceramics Composites; Bansal, N.P., Ed.; Kluwer Academic Publisher: London, UK, 2006; pp. 55–76. [Google Scholar]
- Fantozzi, G.; Reynaud, P. Mechanical Behaviour of SiC Fiber Reinforced Ceramic Matrix Composites Chapter Comprehensive Hard Materials; Sarin, V.K., Ed.; Elsevier: London, UK, 2014; pp. 345–366. [Google Scholar]
- Loseille, O.; Lamon, J. Prediction of lifetime in static fatigue at high temperatures for ceramic matrix composites. J. Adv. Mater. Res. 2010, 112, 129–140. [Google Scholar] [CrossRef]
- Lamouroux, F.; Bertrand, S.; Pailler, R.; Naslain, R.; Cataldi, M. Oxidation-resistant carbon-fiber-reinforced ceramic-matrix composites. Compos. Sci. Technol. 1999, 59, 1073–1095. [Google Scholar] [CrossRef]
- Quémard, L.; Rebillat, F.; Guette, A.; Tawil, H.; Louchet-Pouillerie, C. Self-healing mechanisms of a SiC fiber reinforced multi-layered ceramic matrix composite in high pressure steam environments. J. Eur. Ceram. Soc. 2007, 27, 2085–2094. [Google Scholar] [CrossRef]
- Forio, P.; Lamon, J. Fatigue behavior at high temperatures in air of a 2D SiC/SiBC composite with a self-sealing multilayered matrix. In Advances in Ceramic Matrix Composites VII; Bansal, N.P., Singh, J.P., Lin, H.T., Eds.; American Ceramic Society: Westerville, OH, USA, 2001; Volume 128, pp. 127–141. [Google Scholar]
- Farizy, G.; Chermant, J.L.; Vicens, J.; Sangleboeuf, J.C. Understanding of the behaviour and the influence of oxidation during creep of SiC-SiBC composites in air. Adv. Eng. Mater. 2005, 7, 529–534. [Google Scholar] [CrossRef]
- Reynaud, P.; Rouby, D.; Fantozzi, G. Cyclic fatigue behaviour at high temperature of a self-healing ceramic matrix composite. Annales de Chimie Sciences des Matériaux 2005, 30, 649–656. [Google Scholar] [CrossRef]
- Shuler, S.F.; Holmes, J.W.; Wu, X. Influence of loading frequency on the room temperature fatigue of a Carbon-fibers/SiC-matrix composite. J. Am. Ceram. Soc. 1993, 76, 2327–2336. [Google Scholar] [CrossRef]
- Lee, S.S.; Nicholas, T.; Zawada, L.P. Fatigue damage mechanisms and environmental effects on the long-term performance of matrix composites. In Mechanical Testing of Ceramics and Ceramic Composites; ASME: New York, NY, USA, 1997; pp. 117–155. [Google Scholar]
- Ruggles-Wrenn, M.B.; Christensen, D.T.; Chamberlain, A.L.; Lane, J.E.; Cook, T.S. Effect of frequency and environment on fatigue behavior of CVI SiC/SiC ceramic matrix composite at 1200 °C. Compos. Sci. Technol. 2011, 71, 190–196. [Google Scholar] [CrossRef]
- Lamon, J. Chapter 18: Approach to microstructure-behavior relationships for ceramic matrix composites reinforced by continuous fibers. In Ceramics Matrix Composites; Bansal, N.P., Lamon, J., Eds.; Wiley: Hoboken, NJ, USA, 2014; pp. 520–547. [Google Scholar]
- Ruggles-Wrenn, M.B.; Lee, M.D. Fatigue behavior of an advanced SiC/SiC ceramic composite with a self-healing matrix at 1300 °C in air and in steam. Mater. Sci. Eng. A 2016, 677, 438–445. [Google Scholar] [CrossRef]
- Dong, N.; Zuo, X.; Liu, Y.; Zhang, L.; Cheng, L. Fatigue behavior of 2D C/SiC composites modified with Si-B-C ceramic in static air. J. Eur. Ceram. Soc. 2016, 36, 3691–3696. [Google Scholar] [CrossRef]
- Morscher, G.; Godin, N. Chapter 20: Use of acoustic emission for ceramic matrix composites. In Ceramics Matrix Composites; Bansal, N.P., Lamon, J., Eds.; Wiley: Hoboken, NJ, USA, 2014; pp. 571–589. [Google Scholar]
- Morscher, G.N. Modal acoustic emission of damage accumulation in a woven SiC/SiC composite. Compos. Sci. Technol. 1999, 59, 687–697. [Google Scholar] [CrossRef]
- Moevus, M.; Godin, N.; R’Mili, M.; Rouby, D.; Reynaud, P.; Fantozzi, G.; Farizy, G. Analysis of damage mechanisms and associated acoustic emission in two SiCf/[Si-BC] composites exhibiting different tensile behaviours. Part II: Unsupervised acoustic emission data clustering. Compos. Sci. Technol. 2008, 68, 1258–1265. [Google Scholar] [CrossRef]
- Momon, S.; Godin, N.; Reynaud, P.; R’Mili, M.; Fantozzi, G. Unsupervised and supervised classification of AE data collected during fatigue test on CMC at high temperature. Compos. Part A Appl. Sci. Manuf. 2012, 43, 254–260. [Google Scholar] [CrossRef]
- Maillet, E.; Godin, N.; R’Mili, M.; Reynaud, P.; Fantozzi, G.; Lamon, J. Damage monitoring and identification in SiC/SiC minicomposites using combined acousto-ultrasonics and acoustic emission. Compos. Part A Appl. Sci. Manuf. 2014, 57, 8–15. [Google Scholar] [CrossRef]
- Godin, N.; Reynaud, P.; R’Mili, M.; Fantozzi, G. Chapter 1: The Identification of Damage Mechanisms with Acoustic Emission Monitoring: Interests and Limitations. In Focus on Acoustic Emission Research; Claudia, B., Giovanni, P., Eds.; Matematica e Management; Nova Science Publishers: Hauppauge, NY, USA, 2017; pp. 1–52. [Google Scholar]
- Momon, S.; Moevus, M.; R’Mili, M.; Reynaud, P.; Fantozzi, G.; Fayolle, G. Acoustic emission and lifetime prediction during static fatigue tests on ceramic-matrix-composite at high temperature under air. Compos. Part A Appl. Sci. Manuf. 2010, 41, 913–918. [Google Scholar] [CrossRef]
- Maillet, E.; Godin, N.; R’Mili, M.; Reynaud, P.; Fantozzi, G.; Lamon, J. Real-time evaluation of energy attenuation: A novel approach to acoustic emission analysis for damage monitoring of ceramic matrix composites. J. Eur. Ceram. Soc. 2014, 34, 1673–1679. [Google Scholar] [CrossRef]
- Maillet, E.; Godin, N.; R’Mili, M.; Reynaud, P.; Lamon, J.; Fantozzi, G. Analysis of Acoustic Emission energy release during static fatigue tests at intermediate temperatures on Ceramic Matrix Composites: Towards rupture time prediction. Compos. Sci. Technol. 2012, 72, 1001–1007. [Google Scholar] [CrossRef]
- Morizet, N.; Godin, N.; Tang, J.; Maillet, E.; Fregonese, M.; Normand, B. Classification of acoustic emission signals using wavelets and Random Forests: Application to localized corrosion. Mech. Syst. Signal Process. 2016, 71, 1026–1037. [Google Scholar] [CrossRef]
- Morscher, G.N.; Gyekenyesi, A.L. The velocity and attenuation of acoustic emission waves in SiC/SiC composites loaded in tension. Compos. Sci. Technol. 2002, 62, 1171–1180. [Google Scholar] [CrossRef]
- Minak, G.; Morelli, P.; Zucchelli, A. Fatigue residual strength of circular laminate graphite–Epoxy composite plates damaged by transverse load. Compos. Sci. Technol. 2009, 69, 1358–1363. [Google Scholar] [CrossRef]
- Minak, G.; Zucchelli, A. Damage evaluation and residual strength prediction of CFRP laminates by means of acoustic emission techniques. In Composite Materials Research Progress; Nova Science Publishers: New York, NY, USA, 2008; pp. 167–209. [Google Scholar]
- Kordatos, E.; Dassios, K.; Aggelis, D.; Matikas, T. Rapid evaluation of the fatigue limit in composites using infrared lock-in thermography and acoustic emission. Mech. Res. Commun. 2013, 54, 14–20. [Google Scholar] [CrossRef]

















| Descriptor | Symbol | Unit |
|---|---|---|
| Rise Time | RT | µs |
| Counts | C | - |
| Duration | D | µs |
| Amplitude | A | dB |
| Average Frequency | AF | kHz |
| Counts to peak | CP | - |
| Decay Frequency | DF | kHz |
| Rise Frequency | RF | kHz |
| Energy | E | attoJ |
| Rise Time/Duration | RT/D | - |
| Duration/Amplitude | D/A | µs/dB |
| Decay time | D-RT | µs |
| Rise angle | A/RT | dB/µs |
| Decay Angle | A/(D-RT) | dB/µs |
| Rise Time/Decay Time | RT/(D-RT) | - |
| Energy/Amplitude | E/A | attoJ/dB |
| Counts to peak/Counts | CP/C | - |
| Amplitude/Frequency | A/AF | dB/kHz |
| Partial powers PPi f1–f4 | PPi | - |
| Centroid frequency | FC | kHz |
| Peak Frequency | PF | kHz |
| Mechanical Properties | Incremental Static Fatigue (×2) | Incremental Cyclic Fatigue (×3) | Cyclic Fatigue (×3) at Constant Amplitude 0.36 UTS |
|---|---|---|---|
| Stress at failure | 84% of UTS | 36–42% of UTS | 36% of UTS |
| Strain at failure | εR | 22–40% of εR | 12–25% εR |
| Elastic modulus at failure | Ef.vf | 1.5–2 Ef.vf | 1.5–2.5 Ef.vf |
| Number of AE sources | 9500 | 2.57 × 106 | 14 × 106 |
| Cumulated acoustic energy | 2.2 × 108 (attoJ) | 6.4 × 1010 (attoJ) | 10 × 1011 (attoJ) |
| matrix cracks spacing/matrix cracks spacing after tensile test | 1 | 1.6–2.4 | 2 |
© 2017 by the authors. Licensee MDPI, Basel, Switzerland. This article is an open access article distributed under the terms and conditions of the Creative Commons Attribution (CC BY) license (http://creativecommons.org/licenses/by/4.0/).
Share and Cite
Racle, E.; Godin, N.; Reynaud, P.; Fantozzi, G. Fatigue Lifetime of Ceramic Matrix Composites at Intermediate Temperature by Acoustic Emission. Materials 2017, 10, 658. https://doi.org/10.3390/ma10060658
Racle E, Godin N, Reynaud P, Fantozzi G. Fatigue Lifetime of Ceramic Matrix Composites at Intermediate Temperature by Acoustic Emission. Materials. 2017; 10(6):658. https://doi.org/10.3390/ma10060658
Chicago/Turabian StyleRacle, Elie, Nathalie Godin, Pascal Reynaud, and Gilbert Fantozzi. 2017. "Fatigue Lifetime of Ceramic Matrix Composites at Intermediate Temperature by Acoustic Emission" Materials 10, no. 6: 658. https://doi.org/10.3390/ma10060658
APA StyleRacle, E., Godin, N., Reynaud, P., & Fantozzi, G. (2017). Fatigue Lifetime of Ceramic Matrix Composites at Intermediate Temperature by Acoustic Emission. Materials, 10(6), 658. https://doi.org/10.3390/ma10060658

