Influence of the Constitutive Model for Shotcrete on the Predicted Structural Behavior of the Shotcrete Shell of a Deep Tunnel
Abstract
:1. Introduction
- The viscoplastic shotcrete model by Meschke [1]: Nonlinear mechanical behavior of shotcrete is described on the basis of the multisurface viscoplasticity theory using an associated flow rule. A hardening Drucker–Prager model is used for predominant compressive stress states and mixed stress states and a softening Rankine criterion for predominant tensile stress states to model cracking. The evolution of stiffness is described by hyperelastic constitutive relations. Aging of shotcrete is considered by evolution laws for the Young’s modulus, the uniaxial compressive strength and the uniaxial tensile strength. Shrinkage of shotcrete is taken into account on the basis of the semi-empirical model proposed by Bažant and Panula [2]. Creep of shotcrete is modeled by a Duvaut–Lions type viscoplastic formulation.
- The viscoelastic-plastic shotcrete model by Schädlich and Schweiger [3]: Nonlinear mechanical behavior of shotcrete is described on the basis of multisurface plasticity theory using a non-associated flow rule. A hardening and softening Mohr–Coulomb model is used for predominant compressive stress states and mixed stress states and a softening Rankine criterion for predominant tensile stress states to model cracking. Aging of shotcrete is considered by evolution equations for stiffness and strength. Shrinkage of shotcrete is taken into account on the basis of the model proposed by the American Concrete Institute (ACI) committee 209 [4]. Nonlinear creep of shotcrete is modeled on the basis of the theory of viscoelasticity.
- The thermo-chemo-mechanical shotcrete model proposed by Hellmich et al. [5]: An alternative to single-field shotcrete models are multi-field models. Considering the dependency of shotcrete properties on the degree of hydration, i.e., on the time- and temperature-dependent chemical reaction between cement and water, it is based on thermo-chemo-plasticity theory along the lines of the thermo-chemo-mechanical framework, developed by Ulm and Coussy [6]. This model was developed further in [7] to consider early age cracking of shotcrete.
- The shotcrete damage plasticity (SCDP) model [8]: It is based on (i) the damage plasticity model by Grassl and Jirásek [9] to describe hardening and softening material behavior; (ii) the solidification theory by Bažant and Prasannan [10] to represent aging and creep; and (iii) the shrinkage model by Bažant and Panula [2]. To account for the early age behavior of shotcrete, a modification of the solidification theory is employed. Time-dependent material properties are represented by evolution laws for material strength and for ductility.
- Pöttler [11] used a linear-elastic shotcrete model in the simulation of the advance of a shallow railway tunnel. In order to take into account the influence of time-dependent shotcrete behavior due to hydration and creep and the time-dependent process of tunneling in a simplified manner, a reduced Young’s modulus of shotcrete, denoted as Hypothetical Modulus of Elasticity (HME), was employed. The HME was derived from a parameter study on a 2D finite element simulation of tunnel advance using a viscoelastic material model for shotcrete and it was concluded that a good approximation of the complex nonlinear time-dependent numerical model is achieved by a linear-elastic material model for shotcrete with an HME of 7000 . However, the derivation of the HME was restricted to axisymmetric solutions and linear-elastic behavior of the rock mass.
- Meschke et al. [12] applied their viscoplastic shotcrete model in combination with an extended version of the soil model by DiMaggio and Sandler [13] in 3D finite element simulations of a shallow tunnel and compared the results to in situ measurement data. The tunnel was driven according to a partial excavation scheme, consisting of sequential excavation and securing of crown, bench and invert.
- Schädlich and Schweiger [14] applied their viscoelastic-plastic shotcrete model in 2D finite element simulations of the advance of a shallow tunnel with temporary side drift walls using a Mohr–Coulomb yield criterion for the surrounding soil. Focus was on the realistic prediction of the relaxation of bending moments in the shotcrete shell due to creep.
- Lackner and Mang [7] analyzed the stress state in the shotcrete shell during tunnel advance using an extended version of the thermo-chemo-mechanical shotcrete model by Hellmich et al. [5]. A hybrid method based on prescribed displacements at the rock-shotcrete interface, available from in situ measurement data, in combination with a structural model of the shotcrete shell, was used. Special attention was paid to cracking of shotcrete due to bending moments resulting from heterogeneous soil and rock conditions and due to tensile loading induced by shrinkage and thermal gradients. In contrast to isotropic softening models, two Rankine criteria in longitudinal and circumferential direction were used. Hence, the tensile strength was affected only by the respective crack direction.
2. Finite Element Model of Deep Tunnel Advance
2.1. Geometry and Boundary Conditions
2.2. Simulation of Tunnel Advance
2.3. Material Parameters for the Shotcrete Models
2.4. Material Parameters for the Hoek–Brown Model for Rock Mass
3. Finite Element Simulations of Tunnel Advance
3.1. Predicted Displacements of the Shotcrete Shell
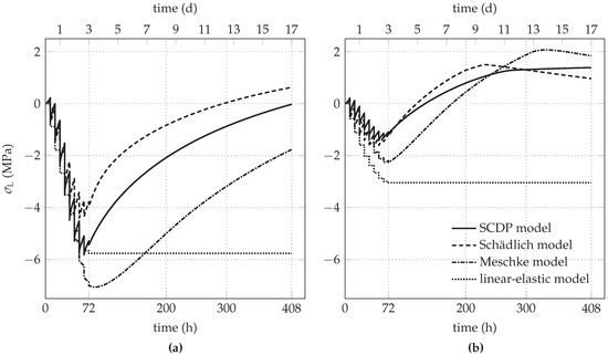
3.2. Predicted Stress Response
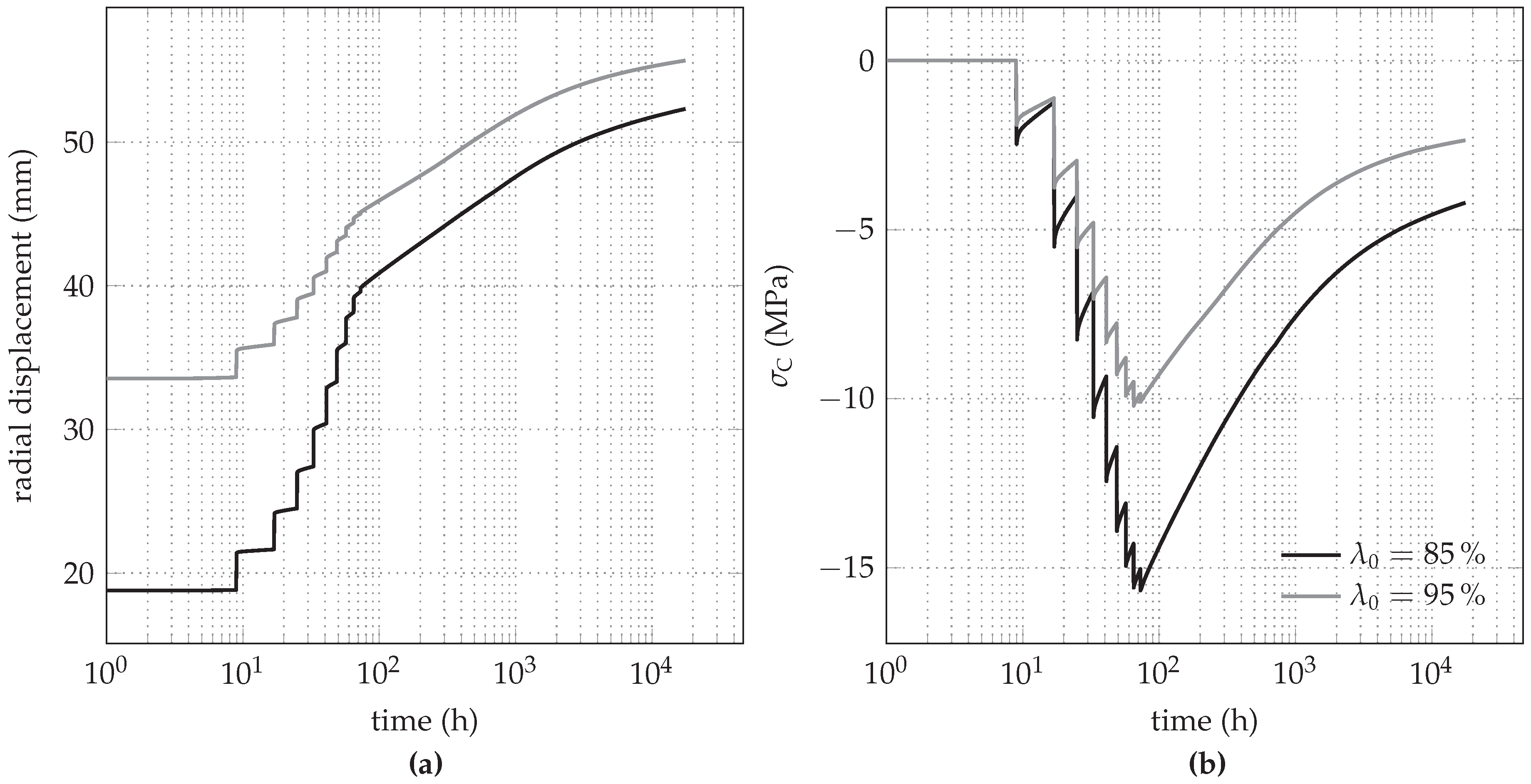
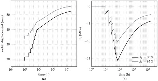
3.3. Long-Term Behavior Employing the SCDP Model
4. Conclusions
- The assumption of linear-elastic material behavior of shotcrete with a reduced Young’s modulus to account for time-dependent effects in a simplified manner results in an overestimation of the stiffness of the shotcrete shell compared to shotcrete models, which consider time-dependent material behavior. Certainly, the results could be improved by assuming a smaller value of the reduced Young’s modulus; however, estimation of the latter relies on engineering judgement.
- Compared to the SCDP model and the Schädlich model, a very stiff response of the shotcrete shell is also predicted by the Meschke model, which is caused by describing time-dependent shotcrete behavior by a viscoplastic formulation. A shortcoming of the latter is the restriction of creep to stress states located outside of the elastic domain.
- The SCDP model and the Schädlich model predict similar results concerning the short-term response of the shotcrete shell. Concerning the predicted long-term response of the shotcrete shell, substantially larger creep strains are predicted by the SCDP model because of the unbounded long-term creep strain of the employed modified version of the solidification theory by Bažant and Prasannan, which is partially based on the log-double power law by Bažant and Chern.
- Shrinkage has a considerable influence on the overall behavior of the shotcrete shell, as it counteracts the compressive longitudinal stresses, induced by the excavation process, due to evolving tensile stresses resulting from constrained deformations in longitudinal direction of the tunnel. Because of shrinkage, a higher initial stress release ratio does not necessarily lead to a lower degree of loading of the shotcrete shell. As demonstrated for the high initial stress release ratio of 95%, the assumed zero-strain condition in the longitudinal direction results in tensile stresses up to the tensile strength and, consequently, in tension softening.
Acknowledgments

Author Contributions
Conflicts of Interest
References
- Meschke, G. Consideration of aging of shotcrete in the context of a 3D-viscoplastic material model. Int. J. Numer. Methods Eng. 1996, 39, 3145–3162. [Google Scholar] [CrossRef]
- Bažant, Z.; Panula, L. Practical prediction of time-dependent deformations of concrete. Mater. Struct. 1978, 11, 307–328. [Google Scholar]
- Schädlich, B.; Schweiger, H.F. A new constitutive model for shotcrete. In Proceedings of the 8th European Conference on Numerical Methods in Geotechnical Engineering, Delft, The Netherlands, 18–20 June 2014; CRC Press Taylor & Francis: Leiden, The Netherlands, 2014; pp. 103–108. [Google Scholar]
- 209R-92: Prediction of Creep, Shrinkage, and Temperature Effects in Concrete Structures; ACI Committee 209; American Concrete Institute (ACI): Farmington Hills, MI, USA, 1992.
- Hellmich, C.; Ulm, F.J.; Mang, H.A. Multisurface chemoplasticity. I: Material model for shotcrete. J. Eng. Mech. 1999, 125, 692–701. [Google Scholar] [CrossRef]
- Ulm, F.J.; Coussy, O. Modeling of thermochemomechanical couplings of concrete at early ages. J. Eng. Mech. 1995, 121, 785–794. [Google Scholar] [CrossRef]
- Lackner, R.; Mang, H.A. Cracking in shotcrete tunnel shells. Eng. Fract. Mech. 2003, 70, 1047–1068. [Google Scholar]
- Neuner, M.; Gamnitzer, P.; Hofstetter, G. An extended damage plasticity model for shotcrete: Formulation and comparison with other shotcrete models. Materials 2017, 10, 82. [Google Scholar] [CrossRef]
- Grassl, P.; Jirásek, M. Damage-plastic model for concrete failure. Int. J. Solids Struct. 2006, 43, 7166–7196. [Google Scholar] [CrossRef]
- Bažant, Z.; Prasannan, S. Solidification theory for concrete creep. I: Formulation. J. Eng. Mech. 1989, 115, 1691–1703. [Google Scholar] [CrossRef]
- Pöttler, R. Time-dependent rock-shotcrete interaction—A numerical shortcut. Comput. Geotech. 1990, 9, 149–169. [Google Scholar] [CrossRef]
- Meschke, G.; Kropik, C.; Mang, H.A. Numerical analysis of tunnel linings by means of a viscoplastic material model for shotcrete. Int. J. Meth. Eng. 1996, 39, 3145–3162. [Google Scholar] [CrossRef]
- DiMaggio, F.L.; Sandler, I.S. Material models for granular soils. J. Eng. Mech. 1971, 97, 935–950. [Google Scholar]
- Schädlich, B.; Schweiger, H.F.; Marcher, T.; Saurer, E. Application of a novel constitutive shotcrete model to tunneling. In Rock Engineering and Rock Mechanics: Structures in and on Rock Masses: EUROCK 2014; CRC Press Taylor & Francis Group: Leiden, The Netherlands, 2014; pp. 799–804. [Google Scholar]
- Hellmich, C.; Ulm, F.J.; Mang, H.A. Multisurface chemoplasticity. II: Numerical studies on NATM tunneling. J. Eng. Mech. 1999, 125, 702–713. [Google Scholar] [CrossRef]
- Hellmich, C.; Sercombe, J.; Ulm, F.J.; Mang, H.A. Modeling of early-age creep of shotcrete II: Application to tunneling. J. Eng. Mech. 2000, 126, 292–299. [Google Scholar] [CrossRef]
- Paternesi, A.; Schweiger, H.F.; Schubert, P. Verification of a rheological constitutive model for shotcrete through back-analysis. Geomech. Tunn. 2016, 9, 356–361. [Google Scholar] [CrossRef]
- Schreter, M.; Neuner, M.; Unteregger, D.; Hofstetter, G.; Reinhold, C.; Cordes, T.; Bergmeister, K. Application of a damage plasticity model for rock mass to the numerical simulation of tunneling. In Proceedings of the 4th International Conference on Computational Methods in Tunneling and Subsurface Engineering (EURO:TUN 2017), Innsbruck, Austria, 18–20 April 2007; Innsbruck University: Austria, Innsbruck, 2017; pp. 549–556. [Google Scholar]
- Lombardi, G. Dimensioning of tunnel linings with regard to constructional procedure. Tunn. Tunn. 1973, 5, 340–351. [Google Scholar]
- Graziani, A.; Boldini, D. Practical estimate of deformations and stress relief factors for deep tunnels supported by shotcrete. Rock Mech. Rock Eng. 2005, 38, 345–372. [Google Scholar] [CrossRef]
- Müller, M. Kriechversuche an Jungen Spritzbetonen zur Ermittlung der Parameter für Materialgesetze. Master’s Thesis, Montanuniversität Leoben, Leoben, Austria, 2001. (In German). [Google Scholar]
- Bažant, Z.; Oh, B.H. Crack band theory for fracture of concrete. Mater. Struct. 1983, 16, 155–177. [Google Scholar] [CrossRef]
- Valentini, B. A Three-Dimensional Constitutive Model for Concrete and Its Application to Large Scale Finite Element Analyses. Ph.D. Thesis, University of Innsbruck, Innsbruck, Austria, 2011. [Google Scholar]
- Brameshuber, W.; Hilsdorf, H. Development of strength and deformation of very young concrete. In Proceedings of the SEM/RILEM International Conference on Fracture of Concrete and Rock, Houston, TX, USA, 17–19 June 1987; pp. 409–421. [Google Scholar]
- EN 1992-1-1. Eurocode 2: Design of Concrete Structures; European Committee for Standardization: Brussels, Belgium, 2004.
- Hoek, E.; Brown, E.T. Empirical strength criterion for rock masses. J. Geotech. Eng. Div. ASCE 1980, 106, 1013–1035. [Google Scholar]
- Hoek, E.; Brown, E.T. Practical estimates of rock mass strength. Int. J. Rock Mech. Min. Sci. 1997, 34, 1165–1186. [Google Scholar] [CrossRef]
- Menétrey, P.; Willam, K.J. Triaxial failure criterion for concrete and its generalization. ACI Struct. J. 1995, 92, 311–318. [Google Scholar]
- ABAQUS. Abaqus v6.14 Documentation; Dassault Systèmes: Providence, RI, USA, 2015. [Google Scholar]
- Bažant, Z.; Chern, J.C. Log double power law for concrete creep. ACI J. 1985, 82, 665–675. [Google Scholar]













| 59.5 × 10-6 | 269.82 × 10-6 | 3.84 × 10-6 | 54.2 × 10-6 | 0.21 | 7690 | 8.72 | 16.8 | 0.1 |
| 1.16 | 0.1 | -0.0019 | 1.0 | 32 | -0.03 | -0.0015 | -0.0007 | 0.1 |
| 7690 | 11580 | 0.21 | 8.72 | 16.8 | 0.1 | 1.16 | 0.1 |
| 16.1 | -0.0019 | 1.0 | 32 | 6 | 8 | 0.1 |
| 7690 | 11580 | 0.21 | 0 | 24 | 1.21 | 8.72 | 16.8 | 1.68 | 0.1 |
| 0.1 | 0.1 | 0.1 | -0.0015 | 8.3 | -0.03 | -0.0015 | -0.0007 | 0.1 | 30 |
| 56,670 | 0.21 | 42 | 12 | 11.6 | 0.51 | 40 | 0 |
© 2017 by the authors. Licensee MDPI, Basel, Switzerland. This article is an open access article distributed under the terms and conditions of the Creative Commons Attribution (CC BY) license (http://creativecommons.org/licenses/by/4.0/).
Share and Cite
Neuner, M.; Schreter, M.; Unteregger, D.; Hofstetter, G. Influence of the Constitutive Model for Shotcrete on the Predicted Structural Behavior of the Shotcrete Shell of a Deep Tunnel. Materials 2017, 10, 577. https://doi.org/10.3390/ma10060577
Neuner M, Schreter M, Unteregger D, Hofstetter G. Influence of the Constitutive Model for Shotcrete on the Predicted Structural Behavior of the Shotcrete Shell of a Deep Tunnel. Materials. 2017; 10(6):577. https://doi.org/10.3390/ma10060577
Chicago/Turabian StyleNeuner, Matthias, Magdalena Schreter, David Unteregger, and Günter Hofstetter. 2017. "Influence of the Constitutive Model for Shotcrete on the Predicted Structural Behavior of the Shotcrete Shell of a Deep Tunnel" Materials 10, no. 6: 577. https://doi.org/10.3390/ma10060577
APA StyleNeuner, M., Schreter, M., Unteregger, D., & Hofstetter, G. (2017). Influence of the Constitutive Model for Shotcrete on the Predicted Structural Behavior of the Shotcrete Shell of a Deep Tunnel. Materials, 10(6), 577. https://doi.org/10.3390/ma10060577

