Solar Radiation Forecasting, Accounting for Daily Variability
Abstract
:1. Introduction
2. Proposed Model
- -
- -
- Cm is the monthly clear sky index for the mth month;
- -
- mean daily variability for the jth day of the mth month, is a daily parameter, which plays the role of correction factor of accounting for specific daily weather conditions;
- -
- , instantaneous variability for the nth time interval of the jth day of the mth month, is an additive “noise” component accounting for variations of the solar irradiance during a day;
- -
- is equal to .
- -
- , which is the historically expected irradiance at ground level for nth sample of the jth day of the mth month, in absence of daily variability and instantaneous weather variability respect to historical behavior, that is:
- -
- as in Equation (1),
- -
- given by:
3. Statistical Analysis
3.1. Experimental Distributions
3.2. Parametric Distributions
3.2.1. Daily Variability Parameter
3.2.2. Instantaneous Variability Parameter
4. Simulation of Solar Radiation
5. Forecasting Solar Radiation Including Weather Predictions
- division of the daylight hours in Ni subintervals;
- expression of weather prediction for each ith subinterval of duration ∆i as an opportune value of and ;
- evaluation of as opportune weighted mean of :
- evaluation of opportune intervals of variability for for each ith subinterval, as:with and assuming values minor or equal to 1 deriving from weather prediction;
- Extraction of the ki,j,m values for each of the Ni subintervals of the jth day according to the day-ahead weather prediction from conditioned distributions analogously to Equation (15);
- Extraction of the values according to day-ahead weather predictions, for instance, with reference to the conditioned pdfs expressed as:with and .
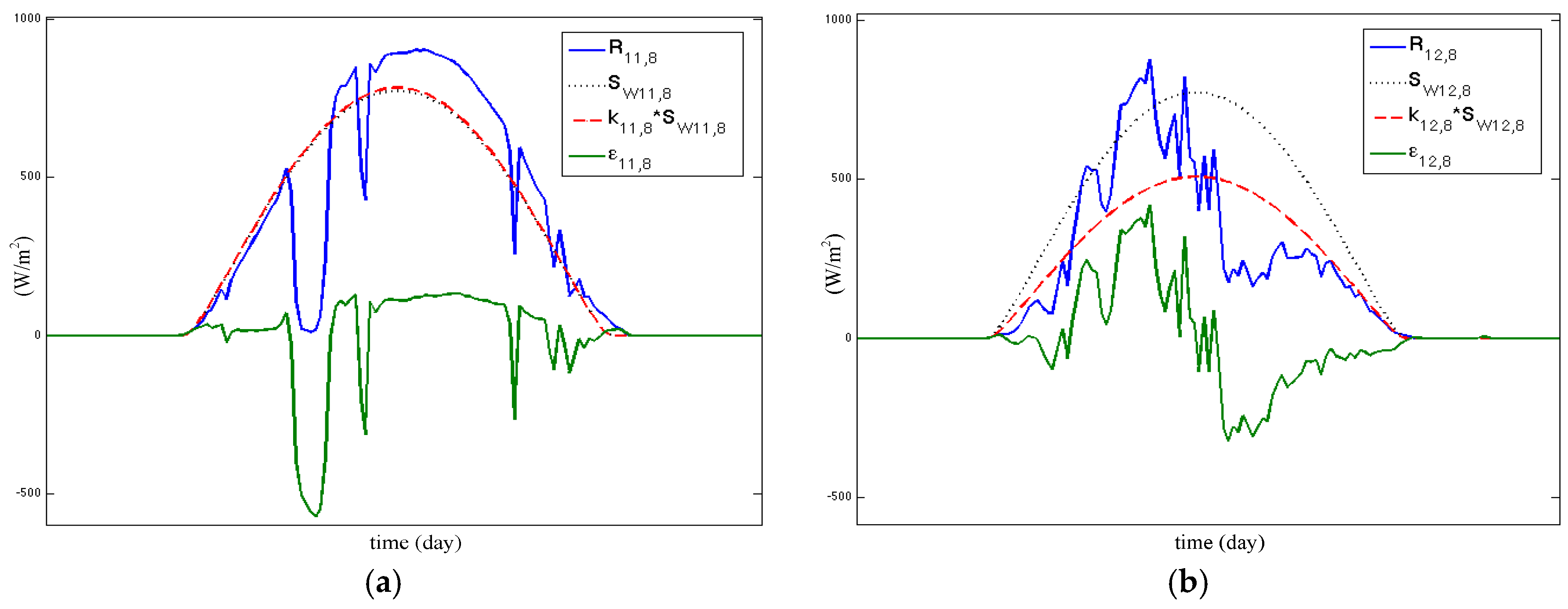
6. Field Measurement Analysis
6.1. Parametric Distribution Fitting
6.1.1. Mean Daily Variability
6.1.2. Instantaneous Daily Variability
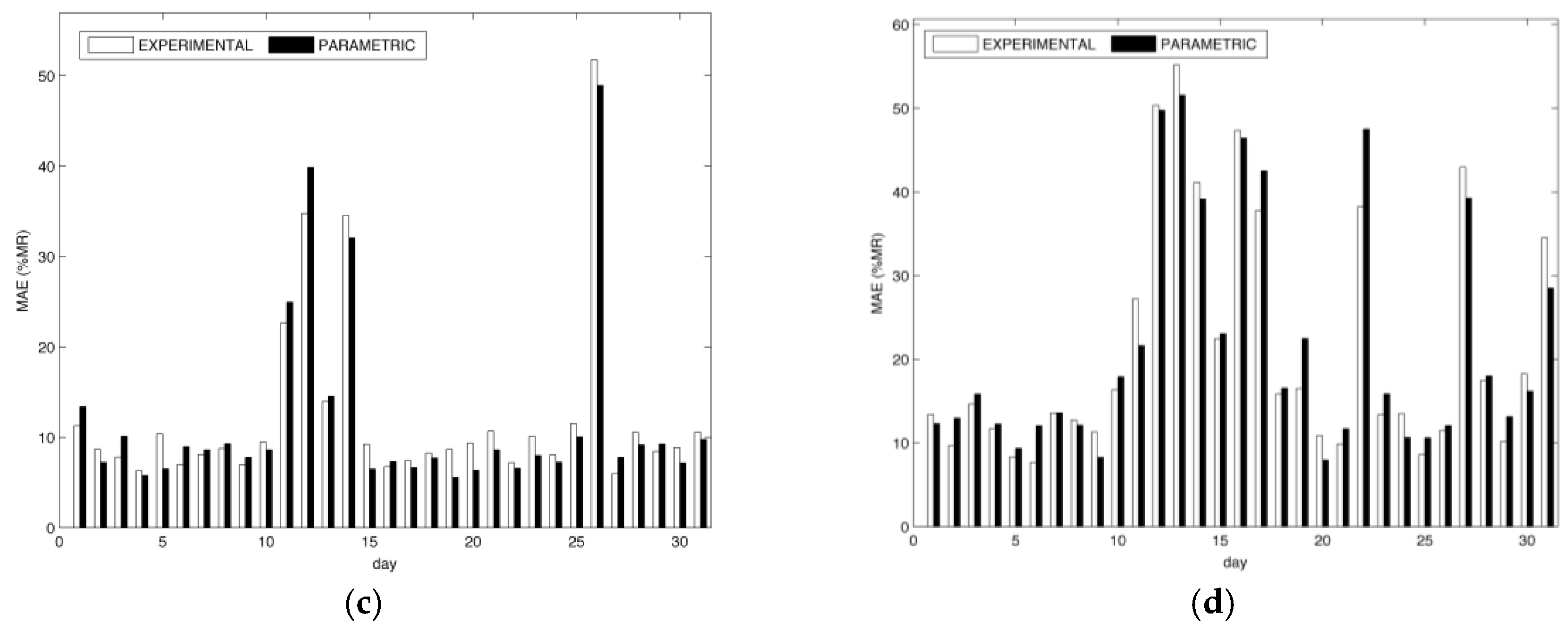
6.2. Forecasting Application
- For all the months considered, the daily error varies in a quite wide range (e.g., in October from less than 10% on the 20th to almost 50% on the 13th);
- The performances of the methods are very close to each other.
- Both methods presented by the authors always have better performance than the Persistence method (Table 4);
- The use of parametric distributions gives almost the same performance as the experimental distributions (Table 4);
- Skill Scores for both MAE and RMSE quantify the improvement of the performance with respect to the Persistence method (Table 5);
- The performance of the proposed methods is also better for the month of July, when more stable weather conditions allow the Persistence method to have good performance (Table 5).
7. Conclusions
- -
- The introduction of single parametric distributions and of mixtures of parametric distributions seems to offer, with reference to specific geographical areas, general models easy to handle in both data acquisition and subsequent simulation stages.
- -
- The model is suitable for inclusion of weather prediction in the solar radiation forecast stage.
Acknowledgments
Author Contributions
Conflicts of Interest
Nomenclature
| month of the year | |
| day of the mth month | |
| number of days of the mth month | |
| number of samples in a day | |
| number of samples of the day with solar irradiance different from zero | |
| Liu-Jordan theoretical solar irradiance at ground level at time of the jth day of the mth month (W/m2) | |
| average daily solar radiation (or solar irradiation) of the theoretical Liu-Jordan model during the mth month (Wh/m2) | |
| expected irradiance at ground level based on historical data at time of the jth day of the mth month (W/m2) | |
| monthly clear sky index for the mth month based on historical data | |
| expected daily solar radiation during the mth month (Wh/m2) | |
| measured solar irradiance at time of the jth day of the mth month (W/m2) | |
| ratio between the average daily and the average daily | |
| absolute deviation of from | |
| deviation of from divided by (W/m2) | |
| deviation of from divided by (W/m2) | |
| random variable whose determinations are | |
| random variable whose determinations are | |
| random variable whose determinations are | |
| simulated solar irradiance at time of the jth day of the mth month (W/m2) |
References
- Remund, J.; Perez, R.; Lorenz, E. Comparison of solar radiation forecasts for the USA. In Proceedings of the 23rd European Photovoltaic Solar Energy Conference, Valencia, Spain, 1–5 September 2008.
- Pedro, H.T.C.; Coimbra, C.F.M. Assessment of forecasting techniques for solar power production with no exogenous inputs. Sol. Energy 2012, 86, 2017–2028. [Google Scholar] [CrossRef]
- Tovar, J.; Olmo, F.J.; Alados-Arboledas, L. One-minute global irradiance probability density distributions conditioned to the optical air mass. Sol. Energy 1998, 62, 387–393. [Google Scholar] [CrossRef]
- Tovar, J.; Olmo, F.J.; Batlles, F.J.; Alados-Arboledas, L. Dependence of one-minute global irradiance probability density distributions on hourly irradiation. Energy 2001, 26, 659–668. [Google Scholar] [CrossRef]
- Sim, M.L.; Kung, F.W.L.; Ghassemlooy, Z. Statistical analysis and modelling of one-minute global solar irradiance for a tropical country. In Proceedings of the 2nd International Symposium on Environment Friendly Energies and Applications (EFEA), Newcastle upon Tyne, UK, 25–27 June 2012; pp. 243–248.
- Jurado, M.; Caridad, J.M.; Ruiz, V. Statistical distribution of the clearness index with radiation data integrated over five minute intervals. Sol. Energy 1995, 55, 469–473. [Google Scholar] [CrossRef]
- Ibáñez, M.; Rosell, J.I.; Beckman, W.A. A bi-variable probability density function for the daily clearness index. Sol. Energy 2003, 75, 73–80. [Google Scholar] [CrossRef]
- Ibañez, M.; Beckman, W.A.; Klein, S.A. Frequency Distributions for Hourly and Daily Clearness Indices. J. Sol. Energy Eng. 2001, 124, 28–33. [Google Scholar] [CrossRef]
- Skartveit, A.; Olseth, J.A. The probability density and autocorrelation of short term global and beam irradiance. Sol. Energy 1992, 49, 447–487. [Google Scholar] [CrossRef]
- Woyte, A.; Belmans, R.; Nijs, J. Fluctuations in instantaneous clearness index: Analysis and statistics. Sol. Energy 2007, 81, 195–206. [Google Scholar] [CrossRef]
- Suehrcke, H.; McCormick, P.G. The Frequency Distribution of Instantaneous Insolation Values. Sol. Energy 1988, 40, 413–422. [Google Scholar] [CrossRef]
- Hollands, K.G.T.; Suehrcke, H. A three-state model for the probability distribution of instantaneous solar radiation, with applications. Sol. Energy 2013, 96, 103–112. [Google Scholar] [CrossRef]
- Widén, J.; Carpman, N.; Castellucci, V.; Lingfors, D.; Olauson, J.; Remouit, F.; Bergkvist, M.; Grabbe, M.; Waters, R. Variability assessment and forecasting of renewables: A review for solar, wind, wave and tidal resources. Renew. Sustain. Energy Rev. 2015, 44, 356–375. [Google Scholar] [CrossRef]
- Hoff, T.E.; Perez, R. Modeling PV fleet output variability. Sol. Energy 2012, 86, 2177–2189. [Google Scholar] [CrossRef]
- Perez, R.; Hoff, T.E. Solar Resource Variability. In Solar Energy Forecasting and Resource Assessment; Elsevier: Philadelphia, PA, USA, 2013; pp. 133–148. [Google Scholar]
- David, M.; Andriamasomanana, F.H.R.; Liandrat, O. Spatial and Temporal Variability of PV Output in an Insular Grid: Case of Reunion Island. Energy Procedia 2014, 57, 1275–1282. [Google Scholar] [CrossRef]
- Engerer, N.A.; Mills, F.P. KPV: A clear-sky index for photovoltaics. Sol. Energy 2014, 105, 679–693. [Google Scholar] [CrossRef]
- Langella, R.; Proto, D.; Testa, A. A statistical model of solar radiation daily variability. In Proceedings of the International Conference on Probabilistic Methods Applied to Power Systems (PMAPS), Durham, UK, 7–10 July 2014.
- ENEA Fonti Rinnovabili: Atlante Italiano della Radiazione Solare. Available online: http://www.solaritaly.enea.it/CalcComune/Calcola.php (accessed on 10 March 2016).
- Liu, B.Y.H.; Jordan, R.C. The interrelationship and characteristics distribution of direct, diffuse, and total solar radiation. Sol. Energy 1960, 4, 1–19. [Google Scholar] [CrossRef]
- Liu, B.Y.H.; Jordan, R.C. A rational procedure for predicting the long term average performance of flat plate solar energy collectors. Sol. Energy 1965, 7, 53–74. [Google Scholar] [CrossRef]
- European Solar Radiation Atlas. Available online: http://www.soda-is.com/esra/reference.html (accessed on 10 March 2016).
- Jolliffe, I.T.; Stephenson, D.B. Forecast Verification: A Practitioner’s Guide in Atmospheric Science; John Wiley & Sons, Ltd.: London, UK, 2011. [Google Scholar]
- Sperati, S.; Alessandrini, S.; Pinson, P.; Kariniotakis, G. The “Weather Intelligence for Renewable Energies” Benchmarking Exercise on Short-Term Forecasting of Wind and Solar Power Generation. Energies 2015, 8, 9594–9619. [Google Scholar] [CrossRef]
- COST Action ES1002, WIRE: Weather Intelligence for Renewable Energies Official Website. Available online: http://www.wire1002.ch/ (accessed on 10 March 2016).










| Name | Density Function | Parameters |
|---|---|---|
| Weibull | p1 scale parameter p2 shape parameter | |
| Gaussian | p1 mean p2 standard deviation | |
| Uniform | p1 lower endpoint (minimum) p2 upper endpoint (maximum) |
| Month | 1st Distribution | p′1 | p′2 | Weight (w1) | 2st Distribution | p″1 | p″2 | Weight (w2) | Norm. RMSE Mean (%) |
|---|---|---|---|---|---|---|---|---|---|
| January | Uniform | 0.0977 | 1.371 | 0.7800 | Gaussian | 1.310 | 0.0688 | 0.2200 | 5.7% |
| February | Uniform | 0.0007 | 1.391 | 0.7572 | Gaussian | 1.308 | 0.0832 | 0.2428 | 4.3% |
| March | Gaussian | 0.6219 | 0.3122 | 0.4671 | Weibull | 1.2556 | 9.758 | 0.5329 | 4.8% |
| April | Gaussian | 0.8279 | 0.2943 | 0.5740 | Gaussian | 1.283 | 0.0652 | 0.4260 | 6.6% |
| May | Gaussian | 0.9053 | 0.2387 | 0.5626 | Gaussian | 1.238 | 0.0413 | 0.4374 | 7.7% |
| June | Weibull | 0.9127 | 5.153 | 0.3136 | Weibull | 1.173 | 25.81 | 0.6864 | 8.5% |
| July | Weibull | 1.141 | 23.33 | 0.9119 | Gaussian | 0.8553 | 0.2041 | 0.0881 | 9.7% |
| August | Gaussian | 0.8664 | 0.1914 | 0.2526 | Gaussian | 1.159 | 0.0399 | 0.7474 | 8.8% |
| September | Weibull | 0.8978 | 3.942 | 0.3323 | Gaussian | 1.213 | 0.0587 | 0.6677 | 5.1% |
| October | Weibull | 0.8938 | 3.606 | 0.4896 | Gaussian | 1.215 | 0.0664 | 0.5104 | 6.9% |
| November | Gaussian | 0.6605 | 0.2999 | 0.6448 | Gaussian | 1.277 | 0.0804 | 0.3552 | 5.6% |
| December | Weibull | 0.7376 | 2.187 | 0.5712 | Weibull | 1.322 | 14.17 | 0.4288 | 4.1% |
| Month | t Location-Scale Parameters | ||
|---|---|---|---|
| Location (p1) | Scale (p2) | Degree of Freedom (p3) | |
| January | −0.00181672 | 0.139726 | 2.29907 |
| February | −0.00367767 | 0.152067 | 2.82915 |
| March | −0.00259997 | 0.167867 | 3.68524 |
| April | −0.0059413 | 0.159816 | 3.43902 |
| May | 0.00258189 | 0.144355 | 2.82872 |
| June | 0.0120793 | 0.0847774 | 1.42587 |
| July | 0.0137682 | 0.0448222 | 1.06117 |
| August | 0.00911046 | 0.0483726 | 1.11224 |
| September | 0.00957822 | 0.0836522 | 1.36912 |
| October | 0.000583434 | 0.124882 | 2.08324 |
| November | −0.00760512 | 0.149513 | 2.27951 |
| December | −0.00882419 | 0.144097 | 2.15243 |
| Month | EXPERIMENTAL | PARAMETRIC | PERSISTENCE | ||||||
|---|---|---|---|---|---|---|---|---|---|
| MAE (%MR) | MBE (%MR) | RMSE (%MR) | MAE (%MR) | MBE (%MR) | RMSE (%MR) | MAE (%MR) | MBE (%MR) | RMSE (%MR) | |
| January | 28 | 0 | 36 | 28 | 0 | 35 | 72 | 29 | 94 |
| April | 35 | −1 | 44 | 35 | 0 | 45 | 68 | 21 | 90 |
| July | 12 | −1 | 16 | 12 | 0 | 15 | 15 | 2 | 21 |
| October | 21 | −1 | 27 | 22 | −1 | 27 | 38 | 9 | 52 |
| Month | EXPERIMENTAL | PARAMETRIC | ||
|---|---|---|---|---|
| SSMAE (pu) | SSRMSE (pu) | SSMAE (pu) | SSRMSE (pu) | |
| January | 0.6 | 0.6 | 0.6 | 0.6 |
| April | 0.5 | 0.5 | 0.5 | 0.5 |
| July | 0.2 | 0.2 | 0.2 | 0.3 |
| October | 0.4 | 0.4 | 0.5 | 0.5 |
| Month | EXPERIMENTAL | PARAMETRIC |
|---|---|---|
| MAE (%MR) | MAE (%MR) | |
| January | 6 | 8 |
| April | 8 | 8 |
| July | 6 | 6 |
| October | 8 | 8 |
| id | Method | Normalized MAE (%MP) Range | |
|---|---|---|---|
| Min. | Max. | ||
| 1 | WIRE model data + linear regression (random forest), (Milano and Catania) | 20% | 32% |
| 2 | Own meteorological model + output correction using tendency of past production (Milano and Catania) | 23% | 40% |
| 3 | GFS + Model Output Statistics + conversion to power (Milano) WIRE data + conversion to power (Catania) | 29% | 38% |
| 4 | WIRE data + Support Vector Machines (Milano and Catania) | 19% | 65% |
| 5 | Linear regression between GHI and solar power (Milano and Catania) | 27% | 58% |
| 6 | WIRE data + ANN (Multilayer Perceptron with Standard Back Propagation and Logistic Functions), (Milano and Catania) | 42% | 56% |
| 7 | WIRE data + quantile regression to estimate clear sky production, irradiation and medium temperature + linear regression to explain the rate of clear sky production observed (Milano and Catania) | 15% | 30% |
| 8 | WIRE data + linear regression model (Milano and Catania) | 23% | 42% |
| 9 | Combination of WIRE data and WRF ARW model version 2.2.1 using initial and boundary conditions from NCEP GFS + Gaussian Generalized Linear Model (Catania) | 17% | - |
| Method | Normalized MAE (%MR) |
|---|---|
| EXPERIMENTAL | 24% |
| PARAMETRIC | 25% |
| PERSISTENCE | 48% |
© 2016 by the authors; licensee MDPI, Basel, Switzerland. This article is an open access article distributed under the terms and conditions of the Creative Commons by Attribution (CC-BY) license (http://creativecommons.org/licenses/by/4.0/).
Share and Cite
Langella, R.; Proto, D.; Testa, A. Solar Radiation Forecasting, Accounting for Daily Variability. Energies 2016, 9, 200. https://doi.org/10.3390/en9030200
Langella R, Proto D, Testa A. Solar Radiation Forecasting, Accounting for Daily Variability. Energies. 2016; 9(3):200. https://doi.org/10.3390/en9030200
Chicago/Turabian StyleLangella, Roberto, Daniela Proto, and Alfredo Testa. 2016. "Solar Radiation Forecasting, Accounting for Daily Variability" Energies 9, no. 3: 200. https://doi.org/10.3390/en9030200
APA StyleLangella, R., Proto, D., & Testa, A. (2016). Solar Radiation Forecasting, Accounting for Daily Variability. Energies, 9(3), 200. https://doi.org/10.3390/en9030200

