Numerical Investigation of Wind Conditions for Roof-Mounted Wind Turbines: Effects of Wind Direction and Horizontal Aspect Ratio of a High-Rise Cuboid Building
Abstract
:1. Introduction
2. Numerical Approach
2.1. Governing Equations and Discretization Methods
2.2. Computational Conditions
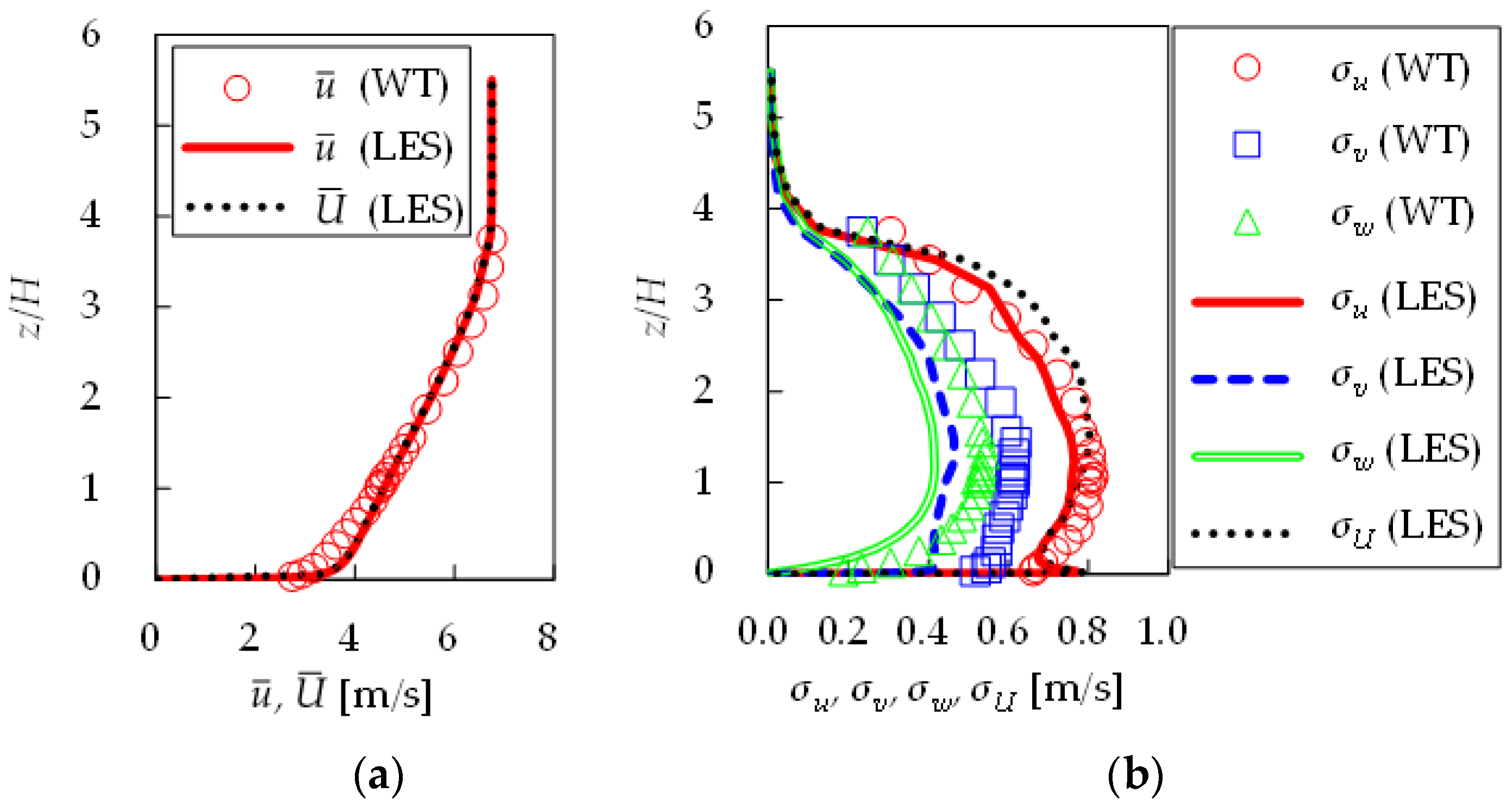
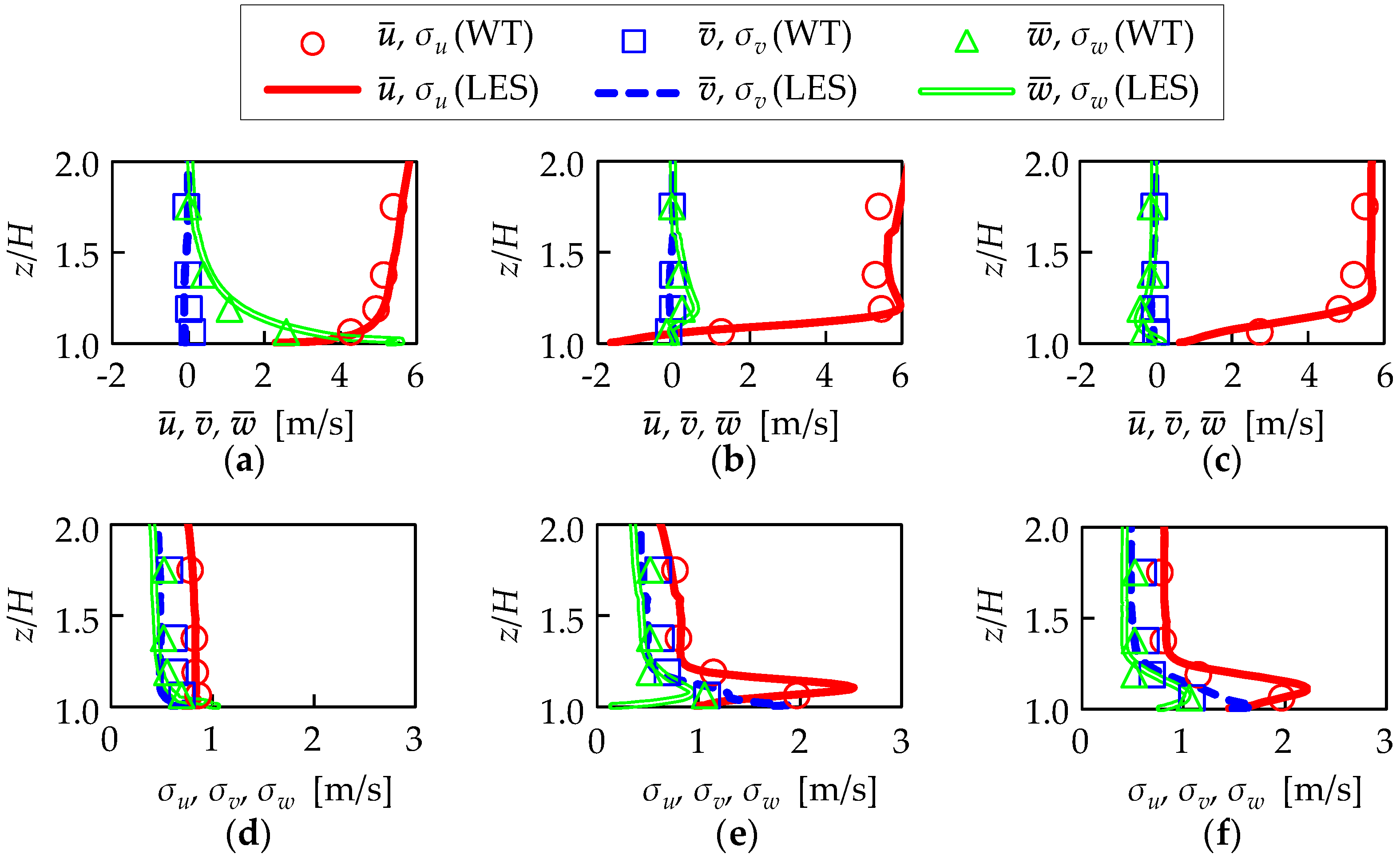
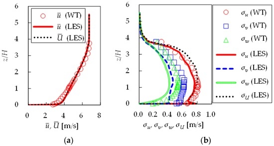
2.3. Validation of Numerical Approach
3. Results and Discussion
3.1. Flow Characteristics over a Roof
3.2. Wind Conditions at Representative Roof Locations with a Prevailing Wind Direction
3.2.1. Wind Direction α = 0°
3.2.2. Wind Direction α = 22.5°
3.2.3. Wind Direction α = 45°
3.2.4. Wind Direction α = 67.5°
3.2.5. Wind Direction α = 90°
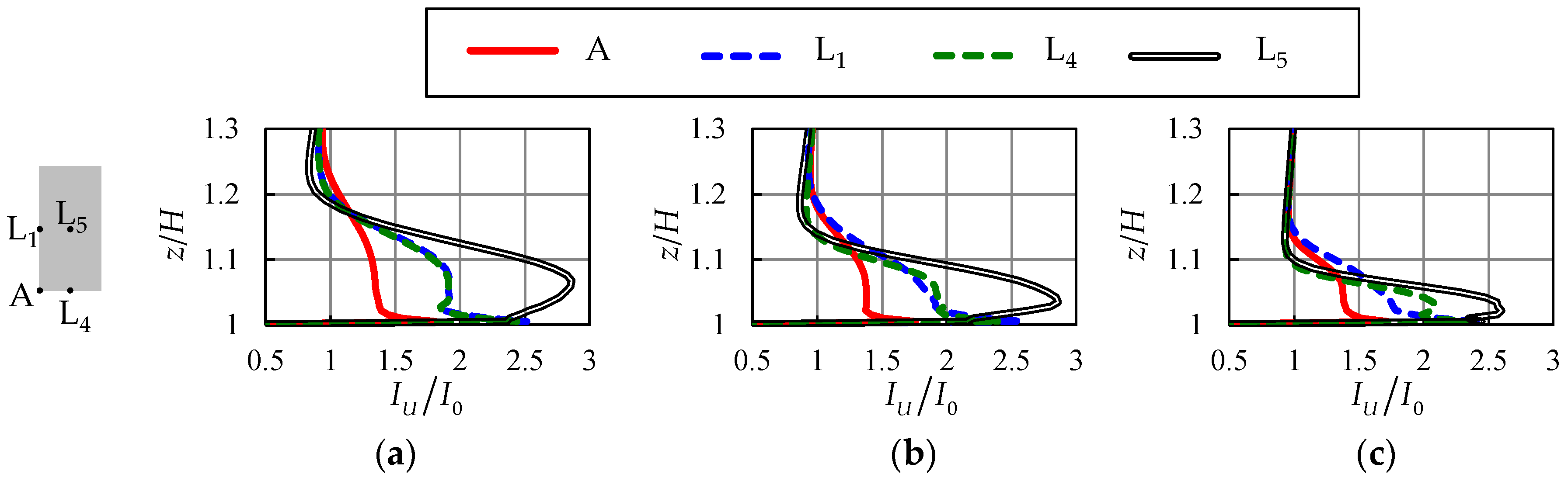
3.3. Wind Conditions at Representative Roof Locations with No Prevailing Wind Direction
4. Conclusions
- (1)
- The magnitude of the mean horizontal wind velocity U over the roof significantly depends on the length of the windward edge of the roof. The variation in U over the roof tends to become smaller with a decrease in HAR. This tendency is more prominent as α increases.
- (2)
- At the windward corners of the roof, wind conditions are generally favorable at relatively low heights. However, when HAR ≤ 0.5 and α = 22.5°, the bottom of the height range of favorable wind conditions at the windward corner between the roof’s shorter windward edge and its longer leeward edge is relatively high. In addition, when α = 45° or when HAR ≤ 0.5 and α = 67.5°, U at the windward corner between the two windward edges is low.
- (3)
- In many cases with HAR and α, wind conditions at the midpoint of the roof’s windward edge are not favorable at relatively low heights. When α = 0° or 90°, wind conditions at this location are not favorable at relatively low heights. In addition, when α = 22.5° or HAR = 0.25 and 45°, the wind conditions at the midpoint of the roof’s windward longer edge are not favorable at relatively low heights.
- (4)
- At the leeward locations of the roof, the bottoms of the height range of favorable wind conditions are generally higher than those at the windward locations, but the favorable wind conditions are much better than those at the windward locations. When α = 0° or 90°, the order of the bottoms of the height range of favorable wind conditions at the leeward roof locations does not change with HAR; the bottom of the height range at the midpoints of the roof’s edges parallel to the wind direction is lowest among the leeward representative locations. In addition, when α = 45°, the bottom of the height range at the center of the roof is lowest among the leeward representative locations.
- (5)
- Under the condition where there is no prevailing wind direction, the center of the roof is the most optimal location for installing SWTs. In addition, compared with the midpoints of the roof’s long edges, the midpoints of the roof’s short edges are more favorable for installing SWTs. Moreover, it is less favorable to install SWTs at the corners of the roof than at the center and midpoints of the roof’s short edges. However, although the turbulence intensity is significantly larger than that of undisturbed wind, at relatively low heights at the corners, the turbulence intensity and wind velocity are significantly smaller and larger, respectively, than those at other representative locations.
Acknowledgments
Author Contributions
Conflicts of Interest
Appendix A
| Run Case | Representative Location on the Roof | ||||||||
|---|---|---|---|---|---|---|---|---|---|
| A | B | C | D | L1 | L2 | L3 | L4 | L5 | |
| 100_000 | 1.05–1.33 | 1.05–1.33 | 1.25–1.50 | 1.26–1.50 | 1.20–1.26 | 1.18–1.48 | 1.29–1.50 | 1.19–1.50 | 1.22–1.48 |
| 100_225 | 1.05–1.43 | 1.03–1.23 | 1.03–1.48 | 1.26–1.50 | 1.14–1.36 | 1.05–1.43 | 1.19–1.50 | 1.20–1.50 | 1.19–1.5 |
| 100_450 | 1.03–1.50 | NHR | 1.02–1.46 | 1.16–1.50 | 1.03–1.38 | 1.06–1.38 | 1.19–1.50 | 1.19–1.50 | 1.11–1.48 |
| 050_000 | 1.04–1.29 | 1.04–1.32 | 1.19–1.48 | 1.19–1.50 | 1.20–1.26 | 1.13–142 | 1.23–1.48 | 1.13–1.42 | 1.16–1.42 |
| 050_225 | 1.06–1.43 | 1.04–1.23 | 1.07–1.43 | 1.23–1.50 | 1.18–1.28 | 1.07–1.36 | 1.21–1.48 | 1.15–1.48 | 1.15–1.41 |
| 050_450 | 1.03–1.47 | NHR | 1.02–1.36 | 1.18–1.48 | 1.05–1.33 | 1.04–1.31 | 1.12–1.43 | 1.15–1.46 | 1.10–1.39 |
| 050_675 | 1.03–1.39 | NHR | 1.04–1.31 | 1.16–1.39 | 1.06–1.34 | 1.09–1.25 | 1.16–1.39 | 1.18–1.39 | 1.13–1.38 |
| 050_900 | 1.18–1.29 | 1.08–1.20 | 1.06–1.22 | 1.18–1.29 | 1.13–1.34 | 1.13–1.20 | 1.13–1.33 | 1.19–1.29 | 1.15–1.34 |
| 025_000 | 1.04–1.25 | 1.05–1.31 | 1.14–1.41 | 1.14–1.45 | NHR | 1.09–1.38 | 1.16–1.43 | 1.09–1.38 | 1.12–1.36 |
| 025_225 | 1.02–1.38 | 1.04–1.16 | 1.09–1.36 | 1.15–1.46 | NHR | 1.06–1.31 | 1.16–1.41 | 1.11–1.43 | 1.12–1.34 |
| 025_450 | 1.02–1.41 | NHR | 1.02–1.29 | 1.15–1.43 | 1.07–1.30 | 1.01–1.23 | 1.13–1.38 | 1.11–1.41 | 1.10–1.34 |
| 025_675 | 1.03–1.28 | NHR | 1.03–1.21 | 1.11–1.29 | 1.02–1.26 | 1.04–1.19 | 1.11–1.29 | 1.09–1.29 | 1.06–1.29 |
| 025_900 | NHR | 1.07–1.12 | 1.07–1.12 | NHR | 1.10–1.20 | NHR | 1.10–1.19 | NHR | 1.12–1.20 |
| HAR | Representative Location on the Roof | |||
|---|---|---|---|---|
| A | L1 | L4 | L5 | |
| 1.00 | 1.23–1.48 | 1.20–1.48 | 1.20–1.49 | 1.18–1.49 |
| 0.50 | 1.18–1.38 | 1.18–1.40 | 1.13–1.38 | 1.13–1.41 |
| 0.25 | 1.13–1.31 | 1.14–1.31 | 1.09–1.30 | 1.10–1.31 |
References
- Smith, J.; Forsyth, T.; Sinclair, K.; Oteri, F. Built-Environment Wind Turbine Roadmap; Technical Report NREL/TP-5000-50499; National Renewable Energy Laboratory: Golden, CO, USA, 2012. [Google Scholar]
- Manwell, J.F.; Mcgowan, J.G.; Rogers, A.L. Wind Energy Explained Theory, Design and Application, 2nd ed.; Wiley: Chichester, UK, 2009; pp. 33 and 63. [Google Scholar]
- Tieleman, H.W. Wind tunnel simulation of wind loading on low-rise structures: A review. J. Wind Eng. Ind. Aerodyn. 2003, 91, 1627–1649. [Google Scholar] [CrossRef]
- Ahmad, K.; Khare, M.; Chaudhry, K.K. Wind tunnel simulation studies on dispersion at urban street canyons and intersections-a review. J. Wind Eng. Ind. Aerodyn. 2005, 93, 697–717. [Google Scholar] [CrossRef]
- Blocken, B. 50 years of Computational Wind Engineering: Past, present and future. J. Wind Eng. Ind. Aerodyn. 2014, 129, 69–102. [Google Scholar] [CrossRef]
- Blackmore, P. Building-Mounted Micro-Wind Turbines on High-Rise and Commercial Buildings; IHS BRE Press: Watford, UK, 2010; pp. 1–18. [Google Scholar]
- Kono, T.; Kogaki, T. Numerical investigation of wind conditions over a rectangular prism-shaped building for mounting small wind turbines. Wind Eng. 2012, 36, 111–121. [Google Scholar] [CrossRef]
- Toja-Silva, F.; Peralta, C.; Lopez-Garcia, O.; Navarro, J.; Cruz, I. Roof region dependent wind potential assessment with different RANS turbulence models. J. Wind Eng. Ind. Aerodyn. 2015, 142, 258–271. [Google Scholar] [CrossRef]
- Mertens, S. The energy yield of roof mounted wind turbines. Wind Eng. 2003, 27, 507–518. [Google Scholar] [CrossRef]
- Heath, M.A.; Walshe, J.D.; Watson, S.J. Estimating the potential yield of small building-mounted wind turbines. Wind Energy 2007, 10, 271–287. [Google Scholar] [CrossRef]
- Blackmore, P. Siting Micro-Wind Turbines on House Roofs; IHS BRE Press: Watford, UK, 2008; pp. 1–25. [Google Scholar]
- Guerri, O.; Sakout, A.; Hamdouni, A. Numerical simulation of the fluid flow around a roof mounted wind turbine. Wind Eng. 2010, 34, 501–516. [Google Scholar] [CrossRef]
- Ledo, L.; Kosasih, P.B.; Cooper, P. Roof mounting site analysis for micro-wind turbines. Renew. Energy 2011, 36, 1379–1391. [Google Scholar] [CrossRef]
- Abohela, I.; Hamza, N.; Dudek, S. Effect of roof shape, wind direction, building height and urban configuration on the energy yield and positioning of roof mounted wind turbines. Renew. Energy 2013, 50, 1106–1118. [Google Scholar] [CrossRef]
- Tabrizi, T.B.; Whale, J.; Lyons, T.; Urmee, T. Performance and safety of rooftop wind turbines: Use of CFD to gain insight into inflow conditions. Renew. Energy 2014, 67, 242–251. [Google Scholar] [CrossRef]
- International Electrotechnical Commission (IEC). Wind Turbines-Part 2: Design Requirements for Small Wind Turbines; International Electrotechnical Commission (IEC): Geneva, Switzerland, 2013; pp. 29–39. [Google Scholar]
- Pierik, J.T.G.; Dekker, J.W.M.; Braam, H.; Bulder, B.H.; Winkelaar, D.; Larsen, G.C.; Morfiadakis, E.; Chaviaropoulos, P.; Derrick, A.; Molly, J.P. Wind energy for the next millennium. In Proceedings of the European Wind Energy Conference, Nice, France, 1–5 March 1999.
- Tamura, Y.; Ohkuma, T.; Okada, H.; Kanda, J. Wind loading standards and design criteria in Japan. J. Wind Eng. Ind. Aerodyn. 1999, 83, 555–566. [Google Scholar] [CrossRef]
- Mohamed, M.A.; Wood, D.H. Modifications to Reynolds-averaged Navier-Stokes turbulence models for the wind flow over buildings. Int. J. Sustain. Energy 2015, 1–17. [Google Scholar] [CrossRef]
- Meng, Y.; Hibi, K. Turbulent measurements of the flow field around a high-rise building. J. Wind Eng. 1998, 76, 55–64. (In Japanese) [Google Scholar] [CrossRef]
- Smagorinsky, J. General circulation experiments with the primitive equations. Mon. Weather Rev. 1991, 91, 99–164. [Google Scholar] [CrossRef]
- Van-Driest, E.R. On turbulent flow near a wall. J. Aeronaut. Sci. 1956, 23, 1007–1011. [Google Scholar] [CrossRef]
- Germano, M.; Piomelli, U.; Moin, P.; Cabot, W.H. A dynamic subgrid scale eddy viscosity model. Phys. Fluids A 1991, 3, 1760–1765. [Google Scholar] [CrossRef]
- Lilly, D.K. A proposed modification of the Germano subgrid-scale closure method. Phys. Fluids A 1992, 4, 633–635. [Google Scholar] [CrossRef]
- Rodi, W. Comparison of LES and RANS calculations of the flow around bluff bodies. J. Wind Eng. Ind. Aerodyn. 1997, 69–71, 55–75. [Google Scholar] [CrossRef]
- Murakami, S.; Iisuka, S.; Ooka, R. CFD analysis of turbulent flow past square cylinder using dynamic LES. J. Fluids Struct. 1999, 13, 1097–1112. [Google Scholar] [CrossRef]
- Sohankar, A.; Davidson, L.; Norberg, C. Large eddy simulation of flow past a square cylinder: Comparison of different subgrid scale models. J. Fluids Eng. 1999, 122, 39–47. [Google Scholar] [CrossRef]
- Ferziger, J.H.; Peric, M. Computational Methods for Fluid Dynamics, 3rd ed.; Springer: Berlin/Heidelberg, Germany, 2002; pp. 281–283. [Google Scholar]
- Kataoka, H.; Mizuno, M. Numerical flow computation around 3D square cylinder using inflow turbulence. J. Archit. Plan. Environ. Eng. (Trans. AIJ) 1999, 523, 71–77. (In Japanease) [Google Scholar] [CrossRef]
- Kataoka, H. Numerical simulations of a wind-induced vibrating square cylinder within turbulent boundary layer. J. Wind Eng. Ind. Aerodyn. 2008, 96, 1985–1997. [Google Scholar] [CrossRef]
- Zephyr9000. Available online: https://www.zephyreco.co.jp/en/products/z-9000.jsp (accessed on 17 October 2016).
- Irwin, P.; Denoon, R.; Scott, D. Wind Tunnel Testing of High-Rise Buildings; Taylor & Francis: Abingdon, UK, 2013; p. 19. [Google Scholar]
- Toja-Silva, F.; Peralta, C.; Lopez-Garcia, O.; Navarro, J.; Cruz, I. Effect of roof-mounted solar panels on the wind energy exploitation on high-rise buildings. J. Wind Eng. Ind. Aerodyn. 2015, 145, 123–138. [Google Scholar] [CrossRef]












| Run Case | Width | Length | Height | HAR | α |
|---|---|---|---|---|---|
| 100_000 | 0.5H | 0.5H | H | 1.00 | 0° |
| 100_225 | 0.5H | 0.5H | H | 1.00 | 22.5° |
| 100_450 | 0.5H | 0.5H | H | 1.00 | 45° |
| 050_000 | 0.25H | 0.5H | H | 0.50 | 0° |
| 050_225 | 0.25H | 0.5H | H | 0.50 | 22.5° |
| 050_450 | 0.25H | 0.5H | H | 0.50 | 45° |
| 050_675 | 0.25H | 0.5H | H | 0.50 | 67.5° |
| 050_900 | 0.25H | 0.5H | H | 0.50 | 90° |
| 025_000 | 0.125H | 0.5H | H | 0.25 | 0° |
| 025_225 | 0.125H | 0.5H | H | 0.25 | 22.5° |
| 025_450 | 0.125H | 0.5H | H | 0.25 | 45° |
| 025_675 | 0.125H | 0.5H | H | 0.25 | 67.5° |
| 025_900 | 0.125H | 0.5H | H | 0.25 | 90° |
| Boundary | Velocity | Pressure |
|---|---|---|
| Inlet (x = −3.25H) | Time-dependent inflow (Figure 3) | Zero-gradient |
| Outlet (x = 7.75H) | Neumann | Zero-gradient |
| Lateral (y = ±3.438H) | Free-slip | Zero-gradient |
| Upper (z = 5.625H) | Free-slip | Zero-gradient |
| Bottom (z = 0) | Law of the wall | Zero-gradient |
| Building wall | Law of the wall | Zero-gradient |
© 2016 by the authors; licensee MDPI, Basel, Switzerland. This article is an open access article distributed under the terms and conditions of the Creative Commons Attribution (CC-BY) license (http://creativecommons.org/licenses/by/4.0/).
Share and Cite
Kono, T.; Kogaki, T.; Kiwata, T. Numerical Investigation of Wind Conditions for Roof-Mounted Wind Turbines: Effects of Wind Direction and Horizontal Aspect Ratio of a High-Rise Cuboid Building. Energies 2016, 9, 907. https://doi.org/10.3390/en9110907
Kono T, Kogaki T, Kiwata T. Numerical Investigation of Wind Conditions for Roof-Mounted Wind Turbines: Effects of Wind Direction and Horizontal Aspect Ratio of a High-Rise Cuboid Building. Energies. 2016; 9(11):907. https://doi.org/10.3390/en9110907
Chicago/Turabian StyleKono, Takaaki, Tetsuya Kogaki, and Takahiro Kiwata. 2016. "Numerical Investigation of Wind Conditions for Roof-Mounted Wind Turbines: Effects of Wind Direction and Horizontal Aspect Ratio of a High-Rise Cuboid Building" Energies 9, no. 11: 907. https://doi.org/10.3390/en9110907
APA StyleKono, T., Kogaki, T., & Kiwata, T. (2016). Numerical Investigation of Wind Conditions for Roof-Mounted Wind Turbines: Effects of Wind Direction and Horizontal Aspect Ratio of a High-Rise Cuboid Building. Energies, 9(11), 907. https://doi.org/10.3390/en9110907
