Enhanced Oil Recovery (EOR) by Miscible CO2 and Water Flooding of Asphaltenic and Non-Asphaltenic Oils
Abstract
:1. Introduction
2. Results and Discussion
2.1. Miscible CO2 flooding of asphaltenic and non-asphaltenic oils
2.1.1. Effect of pressure (miscible/immiscible CO2flooding) on oil recovery

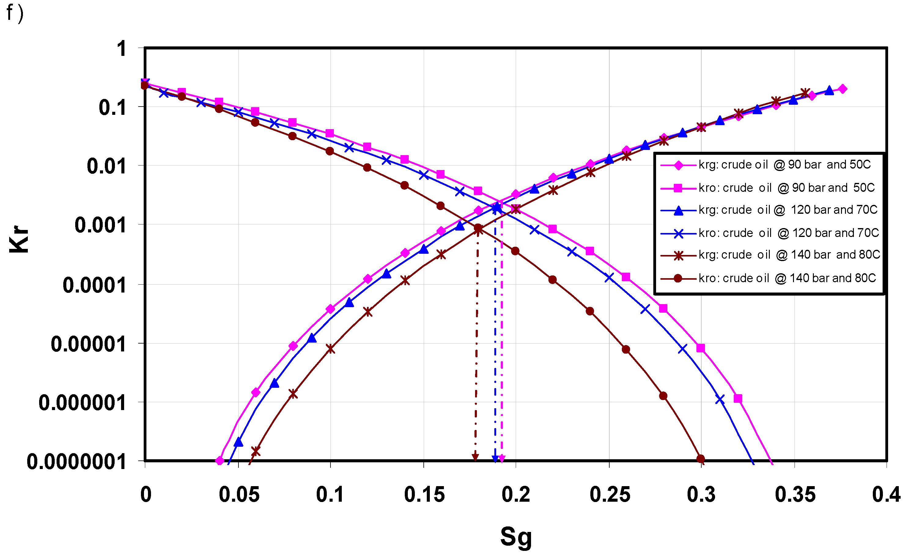
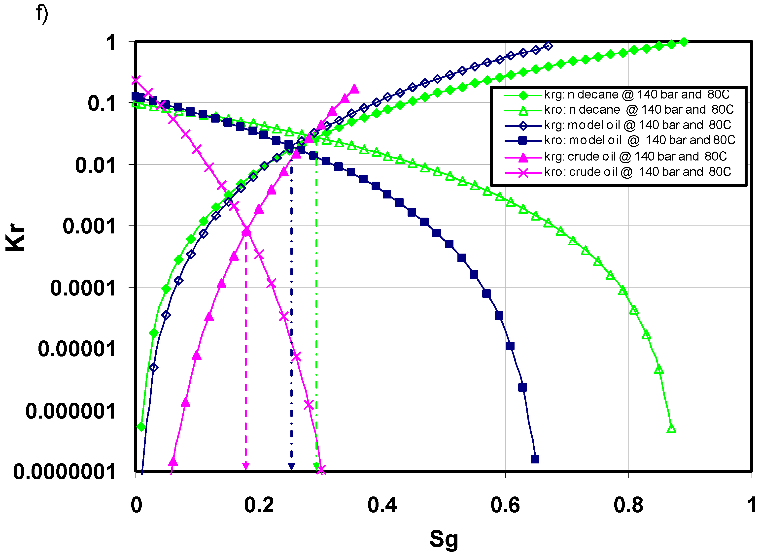
2.1.2. Effects of oil composition, pressure and temperature on oil recovery with CO2 flooding
| Oil | Temperature and Pressure | Kro end points | Krg end points |
|---|---|---|---|
| n-decane | 50 °C, 90 bar | 0.10 | 0.82 |
| n-decane | 70 °C, 120 bar | 0.04 | 0.92 |
| n-decane | 80 °C, 140 bar | 0.01 | 0.98 |
| model | 50 °C, 90 bar | 0.10 | 0.86 |
| model | 70 °C, 120 bar | 0.13 | 0.84 |
| model | 80 °C, 140 bar | 0.13 | 0.84 |
| crude | 50 °C, 90 bar | 0.25 | 0.20 |
| crude | 70 °C, 120 bar | 0.25 | 0.19 |
| crude | 80 °C, 140 bar | 0.23 | 0.17 |







2.3. Comparison between oil recoveries for model oil flooded cores by water and CO2
2.4. Asphaltene precipitation as a function of pressure drop for different flowing pressures


2.5. Simulation: effect of asphaltene precipitation by miscible CO2 on oil recovery
2.6. Simulation: Comparison between oil recovery by water and miscible CO2 flooding




3. Experimental Section
3.1. Materials
3.1.1. Solid Phase
3.1.2. Fluids
3.2. Oil model preparation procedure
| Core # | L(cm) | Wt-dry(g) | Porosity (%) | K (md) | Saturating fluid | Sor (%) | CO2 mol injected (mol %) | Pressure and Temperature | Asphaltene content in feed oil (wt %) |
|---|---|---|---|---|---|---|---|---|---|
| 1 | 6.90 | 115.77 | 46.4 | 4.9 | n-C10 | 18.38 | 93.53 | 90 bar/50 °C | |
| 2 | 7.00 | 117.11 | 44.4 | 5.04 | n-C10 | 13.40 | 88.79 | 120 bar/ 70°C | |
| 3 | 7.00 | 118.13 | 44.7 | 5.04 | n-C10 | 10.94 | 89.53 | 140 bar/ 80°C | |
| 4 | 7.20 | 114.39 | 47.1 | 4.50 | model oil | 32.85 | 76.80 | 140 bar/ 80°C | 0.35 |
| 5 | 7.20 | 118.29 | 44.8 | 4.19 | model oil | 21.04 | 85.2 | 120 bar/ 70°C | 0.35 |
| 6 | 7.10 | 112.05 | 47.7 | 4.19 | model oil | 21.89 | 87.62 | 90 bar/50 °C | 0.35 |
| 7 | 7.00 | 118.17 | 45.3 | 4.18 | crude oil | 64.44 | 85.12 | 140 bar/ 80 °C | 10 |
| 8 | 7.00 | 117.37 | 44.7 | 4.18 | crude oil | 63.10 | 89.58 | 120 bar/ 70°C | 10 |
| 9 | 7.00 | 115.74 | 45.9 | 4.18 | crude oil | 62.36 | 89.58 | 90 bar/50 °C | 10 |
| Components | Mol% |
|---|---|
| C2 | 0.02 |
| C3 | 0.63 |
| i-C4 | 0.51 |
| n-C4 | 2.34 |
| 2,2-DM-C3 | 0.01 |
| i-C5 | 2.32 |
| n-C5 | 3.51 |
| C6 | 6.28 |
| C7 | 6.7 |
| C8 | 6.7 |
| C9 | 5.77 |
| C10+ | 65.21 (287.38)* |
| Asphaltene | 10 wt % |
| Density (50 °C) | 0.87827 g/cm3 |
| Viscosity (50 °C) | 0.0065 Pa·s |
3.3. Experimental procedure
3.3.1. CO2 flooding
3.3.2. Determination of asphaltene precipitation as a function of pressure

3.4. Simulation model
| Parameter | Amount |
|---|---|
| Porosity | 0.455-0.474 |
| Absolute permeability (md) | 3.2-5.0 |
| Reservoir fluids | gas/oil/water |
| Oil density (lbs/ft3) @ T=50ºC | 48.44 |
| Oil viscosity (cP) @ T=50ºC | 5.5 |
| Water density(lbs/ft3) | 62.43 |
| Number of wells | 2 (1 producer + 1 injector) |
| Depth of water oil contact (ft) | 13120 |
| Depth of gas oil contact (ft) | 9825 |
| Oil composition | Mol% |
|---|---|
| C1 | 0.21 |
| CO2 | 1.94 |
| C6 | 3.04 |
| C10 | 5.9 |
| C15 | 8.73 |
| C20 | 80.18 |
4. Summary and Conclusions
Acknowledgements
References
- Alavain, S.A.; Whitson, C.H. CO2 IOR Potential in Naturally Fratured Haft Kel Field, Iran. In Presented at the International Petroleum Technology Conference, Doha, Qatar, November 2005. IPTC 10641.
- Moritis, G. Special Report: Enhanced Oil Recovery-2002 Worldwide EOR Survey. Oil Gas J. 2002, 100, 43–47. [Google Scholar]
- Cuthiell, D.; Kissel, G.; Jackson, C.; Frauenfeld, T.; Fisher, D.; Rispler, K. Viscous Fingering Effects in Solvent Displacement of Heavy Oil. J. Can. Pet. Technol. 2006, 45, 29–39. [Google Scholar] [CrossRef]
- Agbalaka, C.; Dandekar, A.Y.; Patil, S.L.; Khataniar, S. The Effect of Wettability Alteration on Oil Recovery: A Review. In Presented at SPE Asia Pacific Oil & Gas Conference and Exhibition, Perth, Australia, October 2008. SPE 114496.
- Singh, M.; Mani, V.; Honarpour, M.M.; Mohanty, K.K. Comparison of Viscous and Gravity Dominated Gas-Oil Relative Permeabilities. J. Pet. Sci. Eng. 2001, 30, 67–81. [Google Scholar] [CrossRef]
- Li, D.; Lake, L.W. Scaling Fluid Flow through Heterogeneous Permeable Media. In Presented at the 68th SPE Annual Technical Conference, Houston, TX, USA, October 1993. SPE 26648.
- Tang, G.-Q.; Leung, Y.; Castanier, L.M.; Sahni, A.; Gadelle, F.; Kumar, M.; Kovscek, A.R. An Investigation of the Effect of Oil Composition on Heavy Oil Solution Gas Drive. SPE J. 2006a, 11, 58–70. [Google Scholar] [CrossRef]
- Tang, G.-Q.; Sahni, A.; Gadelle, F.; Kumar, M.; Kovscek, A.R. Heavy-Oil Solution Gas Drive in Consolidated and Unconsolidated Rock. SPE J. 2006b, 11, 259–268. [Google Scholar] [CrossRef]
- Al-Wahaibi, Y.M.; Grattoni, C.A.; Muggeridge, A.H. Drainage and Imbibition Relative Permeabilities at Near Miscible Conditions. J. Pet. Sci. Eng. 2006, 53, 239–253. [Google Scholar] [CrossRef]
- Schembre, J.M.; Tang, G.Q.; Kovseck, A.R. Wettability Alteration and Oil Recovery by Water Imbibition at Elevated Temperatures. J. Pet. Sci. Eng. 2006, 52, 131–148. [Google Scholar] [CrossRef]
- Sedaee Sola, B.; Rashidi, F.; Babadagli, T. Temperature Effects on Heavy Oil/Water Relative Permeabilities of Carbonate Rocks. J. Pet. Sci. Eng. 2007, 59, 27–42. [Google Scholar] [CrossRef]
- Dana, E.; Skoczylas, F. Gas Relative Permeability and Pore Structure of Sandstones. Int. J. Rock Mech. Min. Sci. 1999, 36, 613–625. [Google Scholar] [CrossRef]
- Shalliker, R.A.; Guiochon, G. Understanding the Importance of the Viscosity Contrast between Sample Solvent Plug and the Mobile Phase and its Potential Consequence in Two-dimensional High-Performance Liquid Chromatography. J. Chromatogr. A 2009, 1216, 787–793. [Google Scholar] [CrossRef] [PubMed]
- Shalliker, R.A.; Catchpoole, H.J.; Dennis, G.R.; Guiochon, G. Visualizing Viscous Fingering in Chromatography Columns: High Viscosity Solute Plug. J. Chromatogr. A 2007, 1142, 48–55. [Google Scholar] [CrossRef] [PubMed]
- Rogers, J.D.; Grigg, R.B. A literature Analysis of the WAG Injectivity Abnormalities in the CO2 Process. In Presented at the SPE/DOE Improved Oil Recovery Symposium, Tulsa, OK, USA, April 2000. SPE 59329.
- Akin, S.; Kovscek, A.R. Heavy-Oil Solution Gas drive: A Laboratory Study. J. Pet. Sci. Eng. 2002, 35, 33–48. [Google Scholar] [CrossRef]
- George, D.S.; Hayat, O.; Kovscek, A.R. A Microvisual Study of Solution Gas Drive Mechanisms in Viscous Oils. J. Pet. Sci. Eng. 2004, 46, 101–119. [Google Scholar] [CrossRef]
- Brailovsky, I.; Babchin, A.; Frankel, M.; Sivashinsky, G.A. Reduced Model for Fingering Instability in Miscible Displacement. Phys. Lett. A 2007, 369, 212–217. [Google Scholar] [CrossRef]
- Brailovsky, I.; Babchin, A.; Frankel, M.; Sivashinsky, G. Fingering Instability in Water-Oil Displacement. Transp. Porous Media 2006, 63, 363–380. [Google Scholar] [CrossRef]
- Musuuza, J.L.; Attinger, S.; Radu, F.A. An Extended Stability Criterion for Density Driven Flows in Homogeneous Porous Media. Adv. Water Res. 2009, 32, 796–808. [Google Scholar] [CrossRef]
- Mack, C. Colloid Chemistry of Asphalts. J. Phys. Chem. 1932, 36, 2901–2914. [Google Scholar] [CrossRef]
- Peng, L.; Yongan, G. Effects of Asphaltene Content on the Heavy Oil Viscosity at Different Temperatures. Fuel 2007, 86, 1069–1078. [Google Scholar] [CrossRef]
- Peng, J.; Tang, G.-Q.; Kovscek, A.R. Oil Chemistry and its Impact on Heavy Oil Solution Gas Drive. J. Pet. Sci. Eng. 2009, 66, 47–59. [Google Scholar] [CrossRef]
- Sohrabi, M.; Emadi, A.; Jamiolahmady, M.; Ireland, S.; Brown, C. Mechanisms of Extra-Heavy Oil Recovery by Gravity Oil Recovery Stable CO2 Injection. In Presented at the International Symposium of the Society of Core Analysts, Abu Dhabi, UEA, October-November, 2008. SCA 2008-20.
- Baviere, M. Basic Concepts in Enhanced Oil Recovery Processes; Elsevier Applied Science: Essex, England, UK, 1991; p. 221. [Google Scholar]
- Mullins, O.C. Review of the Molecular Structure and Aggregation of Asphaltenes and Petroleomics. SPE J. 2008, 13, 48–57. [Google Scholar] [CrossRef]
- de Boer, R.B.; Leerlooyer, K.; Eigner, M.R.P.; van Berge, A.R.D. Screening of Crude Oils for Asphalt Precipitation: Theory, Practice and the Selection of Inhibitors. SPE Prod. Facil. 1995, 10, 55–61. [Google Scholar] [CrossRef]
- Jamaluddin, A.K.M.; Creek, J.; Kabir, C.S.; McFadden, J.D.; D𠆜ruz, D.; Joseph, M.T.; Joshi, N.; Ross, B. A Comparison of Various Laboratory Techniques to Measure Thermodynamic Asphaltene Instability. In Presented at the SPE Asia Pacific Improved Oil Recovery Conference, Kuala Lumpur, Malaysia, October 2001. SPE 72154.
- Islam, M.R. Role of Asphaltenes on Oil Recovery and Mathematical Modeling of Asphaltene Properties. In Asphaltenes and Asphalts, I. Developments in Petroleum Science; Yen, T.F., Schilingarian, G.V., Eds.; Elsevier: Amsterdam, The Netherlands, 1994; Vol. 40, pp. 249–298. [Google Scholar]
- Leontaritis, K.J.; Mansoori, G.A. Asphaltene Deposition: A Survey of Field Experiences and Research Approaches. J. Pet. Sci. Eng. 1988, 1, 229–239. [Google Scholar] [CrossRef]
- Danesh, A.; Krinis, D.; Henderson, G.D.; Peden, J.M. Pore Level Visual Investigation of Miscible and Immiscible Displacement. J. Pet. Sci. Eng. 1989, 2, 167–177. [Google Scholar] [CrossRef]
- Newberry, M.E.; Barker, K.M. Organic Formation Damage Control and Remediation. In Presented at the SPE International Symposium on Formation Damage Control, Lafayette, LA, USA, February 2000. SPE 58723.
- Hu, Y.-F.; Li, S.; Liu, N.; Chu, Y.-P.; Park, S.J.; Mansoori, G.A.; Guo, T.-M. Measurement and Corresponding States Modelling of Asphaltene Precipitation in Jilin Reservoir Oils. J. Pet. Sci. Eng. 2004, 41, 199–212. [Google Scholar] [CrossRef]
- Pooladi-Darvish, M.; Firoozabadi, A. Solution-Gas Drive in Heavy Oil Reservoirs. J. Can. Pet. Technol. 1999, 38, 54–61. [Google Scholar] [CrossRef]
- Gielen, D.; Unander, F. Alternative Fuels: An Energy Technology Perspective. In Presented at the International Energy Agency (IEA) Workshop on Technology Issues for the Oil and Gas Sector, Paris, France, January 2005. ETO/2005/01.
- Speight, J.G. Petroleum Analysis and Evaluation, Petroleum Chemistry and Refining; Taylor & Francis: Washington, DC, USA, 1999. [Google Scholar]
- Branco, V.A.M.; Mansoori, G.A.; De Almeida Xavier, L.C.; Park, S.J.; Manafi, H. Asphlatene Focculation and Collapse from Petroleum Fluids. J. Pet. Sci. Eng. 2001, 32, 217–230. [Google Scholar] [CrossRef]
- Burke, N.E.; Hobbs, R.E.; Kashon, S.F. Measurement and Modeling of Asphaltene Precipitation. J. Pet. Technol. 1990, 42, 1440–1446. [Google Scholar] [CrossRef]
- Werner, A.; Behar, F.; de Hemptinne, J. Viscosity and Phase Behaviour of Petroleum Fluids with High Asphaltene Contents. Fluid Phase Equilib. 1998, 147, 343–356. [Google Scholar] [CrossRef]
- Hamouda, A.A.; Chukwudeme, E.A.; Mirza, D. Investigating the Effect of CO2 Flooding on Asphaltenic Oil Recovery and Reservoir Wettability. Energy Fuels 2009, 23, 1118–1127. [Google Scholar] [CrossRef]
- Lindeberg, E.; Torleif, H. EOR by Miscible CO2 Injection in the North Sea. In Presented at the SPE/DOE Ninth Symposium on Improved Oil Recovery, Tulsa, OK, USA, April 1994. SPE/DOE 27767.
- Hirschberg, A.; DeJong, L.N.J.; Schipper, B.A.; Meijer, J.G. Influence of Temperature and Pressure on Asphaltene Flocculation. SPE J. 1984, 24, 283–293. [Google Scholar] [CrossRef]
- Li, S.; Dong, M.; Li, Z. Measurement and Revised Interpretation of Gas Flow Behavior in Tight Reservoir Cores. J. Pet. Sci. Eng. 2009, 65, 81–88. [Google Scholar] [CrossRef]
© 2009 by the authors; licensee Molecular Diversity Preservation International, Basel, Switzerland. This article is an open-access article distributed under the terms and conditions of the Creative Commons Attribution license (http://creativecommons.org/licenses/by/3.0/).
Share and Cite
Chukwudeme, E.A.; Hamouda, A.A. Enhanced Oil Recovery (EOR) by Miscible CO2 and Water Flooding of Asphaltenic and Non-Asphaltenic Oils. Energies 2009, 2, 714-737. https://doi.org/10.3390/en20300714
Chukwudeme EA, Hamouda AA. Enhanced Oil Recovery (EOR) by Miscible CO2 and Water Flooding of Asphaltenic and Non-Asphaltenic Oils. Energies. 2009; 2(3):714-737. https://doi.org/10.3390/en20300714
Chicago/Turabian StyleChukwudeme, Edwin A., and Aly A. Hamouda. 2009. "Enhanced Oil Recovery (EOR) by Miscible CO2 and Water Flooding of Asphaltenic and Non-Asphaltenic Oils" Energies 2, no. 3: 714-737. https://doi.org/10.3390/en20300714
APA StyleChukwudeme, E. A., & Hamouda, A. A. (2009). Enhanced Oil Recovery (EOR) by Miscible CO2 and Water Flooding of Asphaltenic and Non-Asphaltenic Oils. Energies, 2(3), 714-737. https://doi.org/10.3390/en20300714
