Sign in to use this feature.

Years

Between: -

Subjects

remove_circle_outline
remove_circle_outline
remove_circle_outline
remove_circle_outline
remove_circle_outline
remove_circle_outline
remove_circle_outline
remove_circle_outline
remove_circle_outline

Journals

Article Types

Countries / Regions

remove_circle_outline
remove_circle_outline
remove_circle_outline

Search Results (400)

Search Parameters:
Keywords = asphaltene

Order results
Result details
Results per page
Select all
Export citation of selected articles as:
15 pages, 2468 KB  
Article
Comparative Analysis of Methods for Determining the Wax Crystallization Onset Temperature of High-Paraffin Crude Oil from the Uzen Field
by Ryskol Bayamirova, Aliya Togasheva, Danabek Saduakassov, Akshyryn Zholbasarova, Maxat Tabylganov, Nurzhan Shilanov, Manshuk Sarbopeyeva, Nurzhaina Nurlybai, Shyngys Nugumarov, Aigul Gusmanova and Yeldos Nugumarov
Energies 2026, 19(5), 1309; https://doi.org/10.3390/en19051309 - 5 Mar 2026
Viewed by 219
Abstract
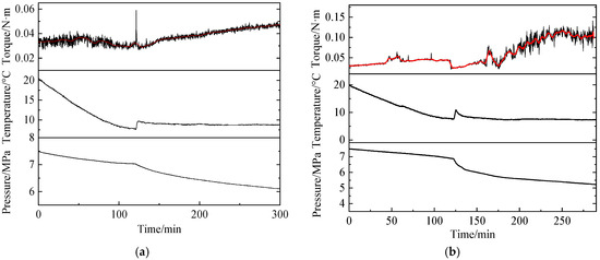
This study is devoted to a comparative analysis of modern methods for determining the wax crystallization onset temperature (WCOT) of high-paraffin crude oil from the Uzen field. The objects of investigation were crude oil samples from the 13th reservoir horizon with a paraffin [...] Read more.
This study is devoted to a comparative analysis of modern methods for determining the wax crystallization onset temperature (WCOT) of high-paraffin crude oil from the Uzen field. The objects of investigation were crude oil samples from the 13th reservoir horizon with a paraffin mass content ranging from 22.5% to 27.5%. For the first time in the practice of the oil and gas industry of Kazakhstan, a comprehensive comparison of results obtained using two fundamentally different approaches was performed: the light transmittance method using the KING-UNNP-70 apparatus, which simulates reservoir conditions (pressure of 12 MPa), and a dynamic method using a Wax Flow Loop facility, which reproduces crude oil flow in a pipeline. The experimental results showed that the light transmittance method detects the appearance of the first microcrystals at temperatures of 38.0–41.7 °C, whereas the dynamic method yields higher WCOT values, ranging from 41.0 °C to 44.0 °C. It was also found that the temperature of bulk crystallization, characterizing intensive solid phase formation, lies within the range of 33.5–35.0 °C. The results confirm that under flow conditions, paraffin crystallization begins at higher temperatures compared to static conditions, which is of critical importance for the design of crude oil gathering and transportation systems. The obtained data allow more accurate prediction of the risks of asphaltene–resin–paraffin deposits (ARPD) formation and optimization of technological operating conditions of wells at the late stage of field development. Full article
Show Figures

Figure 1

28 pages, 813 KB  
Review
Mechanisms of Asphaltene–Resin–Paraffin Deposit Formation and Prevention in Oil Production: From Physicochemical Processes to Inhibition and Delivery Strategies
by Grigory Korobov, Mikhail Rogachev and Vladislav Krylov
Eng 2026, 7(3), 116; https://doi.org/10.3390/eng7030116 - 2 Mar 2026
Viewed by 346
Abstract
Asphaltene–resin–paraffin deposits (ARPDs) represent one of the most complex flow assurance challenges in oil production, particularly under late-stage reservoir development conditions characterized by pressure depletion, temperature gradients, multiphase flow, and compositional changes. Despite extensive industrial experience, ARPD control strategies are often applied empirically, [...] Read more.
Asphaltene–resin–paraffin deposits (ARPDs) represent one of the most complex flow assurance challenges in oil production, particularly under late-stage reservoir development conditions characterized by pressure depletion, temperature gradients, multiphase flow, and compositional changes. Despite extensive industrial experience, ARPD control strategies are often applied empirically, without explicit linkage to the underlying physicochemical mechanisms governing deposit formation. This review presents a comprehensive and mechanism-oriented analysis of ARPD formation and mitigation in a reservoir–wellbore system. The multicomponent composition, structural heterogeneity, and interfacial activity of paraffins, resins, and asphaltenes are examined alongside thermodynamic, hydrodynamic, and operational factors controlling precipitation, transport, adhesion, and deposit growth. Particular attention is paid to the correspondence between ARPD formation stages and applicable prevention or removal technologies. The analysis demonstrates that preventive strategies targeting early-stage physicochemical processes are fundamentally more effective than post-formation removal methods. The mechanisms of inhibitor action—adsorption, desorption, and dissolution—are shown to operate in a complementary manner, while delivery efficiency is strongly influenced by spatial distribution and retention in the formation. Advanced delivery technologies, including microencapsulation and nanocarrier-based systems, provide enhanced control over inhibitor release and persistence under complex reservoir conditions. Overall, this review establishes an integrated framework linking crude oil properties, formation mechanisms, inhibition chemistry, and delivery technologies, providing a rational basis for designing adaptive and efficient ARPD mitigation strategies in modern oil production systems. Full article
(This article belongs to the Section Chemical, Civil and Environmental Engineering)
Show Figures

Figure 1

17 pages, 3783 KB  
Article
Study on the Influence of Crude Oil Emulsion Types on Hydrate Formation
by Jie Yuan, Liangchen Lv, Wen Cheng, Lin Sun, Yulin Zhu, Qian Huang, Hang Yang and Xueyuan Long
Processes 2026, 14(5), 809; https://doi.org/10.3390/pr14050809 - 2 Mar 2026
Viewed by 263
Abstract
Methane hydrate formation in multiphase transportation pipelines represents a critical challenge to flow assurance under low-temperature conditions. Gaining insight into the kinetic effects of crude oil on hydrate formation aids in developing countermeasures for mixed oil–gas transportation. For this purpose, experiments were carried [...] Read more.
Methane hydrate formation in multiphase transportation pipelines represents a critical challenge to flow assurance under low-temperature conditions. Gaining insight into the kinetic effects of crude oil on hydrate formation aids in developing countermeasures for mixed oil–gas transportation. For this purpose, experiments were carried out at 50 vol% to 90 vol% water cut and pressure of 6.0–7.5 MPa under crude oil–methane–water systems. Results demonstrate that crude oil has kinetic inhibition on hydrate formation, which is caused by mass transfer resistance in emulsion gels. The gas consumption increased by 81.38% when the water cut increased from 60 vol% to 70 vol%. Tween-80 converts crude oil W/O emulsions into O/W emulsions. The addition of Tween-80 to a 50 vol% water cut system resulted in only a 10.04% increase in gas consumption compared to the 90% water cut condition. The results indicate that Tween-80 significantly promotes the formation of hydrates. Furthermore, analysis of gas consumption reveals that the O/W system is more conducive to hydrate growth than the W/O system. Observations through the viewing window revealed that lowering the temperature and hydrates synergistically disrupt the stability of the emulsion. This is caused by the phase transition of wax and asphaltene in crude oil. These findings provide insights for developing flow assurance strategies in crude oil multiphase transportation pipeline operations. Full article
Show Figures

Figure 1

15 pages, 2465 KB  
Article
A Green Cold Precipitation Route for Asphaltenes Using D-Limonene: Selective Fractionation and Molecular Characterization
by Rachel de Moraes Ferreira, Tatiana Felix Ferreira, Luiz Silvino Chinelatto Junior, Marcelo Oliveira Queiroz de Almeida, Erika Christina Ashton Nunes Chrisman, Bernardo Dias Ribeiro and Maria Alice Zarur Coelho
Processes 2026, 14(5), 735; https://doi.org/10.3390/pr14050735 - 24 Feb 2026
Viewed by 283
Abstract
Asphaltenes are the most polar and refractory fraction of crude oil, and are typically isolated using petroleum-derived precipitants (e.g., n-hexane, n-heptane) and then dissolved in aromatic solvents such as toluene, which raises safety and sustainability concerns. Here we evaluate D-limonene, a renewable terpene, [...] Read more.
Asphaltenes are the most polar and refractory fraction of crude oil, and are typically isolated using petroleum-derived precipitants (e.g., n-hexane, n-heptane) and then dissolved in aromatic solvents such as toluene, which raises safety and sustainability concerns. Here we evaluate D-limonene, a renewable terpene, as a green, room-temperature precipitant for asphaltene fractionation and benchmark it against n-alkanes and the ASTM D-6560 workflow. Multi-technique characterization (ATR-FTIR/NIR, TGA, CHN, EDS, LDI(+) FT-ICR MS, and 1H/13C NMR) shows that D-limonene yields a lower mass of precipitate yet a fraction with reduced thermal refractoriness (lowest TGA residue, broader/attenuated DTG peak). Molecular readouts indicate lower aromatic condensation/cross-linking in the precipitated subpopulation—narrower DBE envelopes by FT-ICR MS and lower aromatic carbon indices (Car_tot, Car-b, Car-j) by 13C NMR—consistent with a mechanism in which π–π/dispersion interactions retain highly condensed multi-ring aggregates in solution under cold, static conditions. These results establish D-limonene as a selective green precipitant for asphaltenes, offering immediate analytical benefits (cleaner, safer fractionation for molecular studies) and a sustainable basis for pretreatments of heavy fractions. Full article
(This article belongs to the Special Issue Separation Processes for Environmental Preservation)
Show Figures

Graphical abstract

36 pages, 1420 KB  
Review
Advances in CO2 Injection for Enhanced Hydrocarbon Recovery: Reservoir Applications, Mechanisms, Mobility Control Technologies, and Challenges
by Mazen Hamed and Ezeddin Shirif
Energies 2026, 19(4), 1086; https://doi.org/10.3390/en19041086 - 20 Feb 2026
Viewed by 353
Abstract
Carbon dioxide injection is one of the most advanced and commercially proven methods of enhanced hydrocarbon recovery, and CO2 injection has been shown to be very effective in conventional oil reservoirs and is gaining attention in gas, unconventional, and coalbed methane reservoirs. [...] Read more.
Carbon dioxide injection is one of the most advanced and commercially proven methods of enhanced hydrocarbon recovery, and CO2 injection has been shown to be very effective in conventional oil reservoirs and is gaining attention in gas, unconventional, and coalbed methane reservoirs. The advantages of CO2 injection lie in the favorable phase properties and interactions with reservoir fluids, such as swelling, reduction in oil viscosity, reduction in interfacial tension, and miscible displacement in favorable cases. But the low viscosity and density of CO2 compared to the reservoir fluids result in unfavorable mobility ratios and gravity override, resulting in sweep efficiency limitations. This review offers a broad and EOR-centric evaluation of the various CO2 injection methods for a broad array of reservoir types, such as depleted oil reservoirs, gas reservoirs for the purpose of gas recovery, tight gas/sands, as well as coalbed methane reservoirs. Particular attention will be given to the use of mobility control/sweep enhancement techniques such as water alternating gas (CO2-WAG), foam-assisted CO2 injection, polymer-assisted WAG processes, as well as hybrid processes that combine the use of CO2 injection with low salinity or engineered waterflood. Further, recent developments in compositional simulation, fracture-resolving simulation, hysteresis modeling, and data-driven optimization techniques have been highlighted. Operational challenges such as injectivity reduction, asphaltene precipitation, corrosion, and conformance problems have been reviewed, along with the existing methods to mitigate such issues. Finally, key gaps in the current studies have been identified, with an emphasis on the development of EHR processes using CO2 in complex and low-permeability reservoirs, enhancing the resistance of chemical and foam methods in realistic conditions, and the development of reliable methods for optimizing the process on the field scale. This review article will act as an aid in the technical development process for the implementation of CO2 injection projects for the recovery of hydrocarbons. Full article
Show Figures

Figure 1

10 pages, 545 KB  
Article
A Study of the Conversion Kinetics of High-Viscosity Oil Components During Ultrasonic Treatment in the Presence of Zeolite
by Darzhan Aitbekova, Murzabek Baikenov, Assanali Ainabayev, Nazerke Balpanova, Sairagul Tyanakh, Zaure Absat, Nazym Rakhimzhanova and Yelena Kochegina
Fuels 2026, 7(1), 12; https://doi.org/10.3390/fuels7010012 - 19 Feb 2026
Viewed by 216
Abstract
In this work, the kinetics of the redistribution of oils, resins, and asphaltenes in high-viscosity oil from the Karazhanbas field (Republic of Kazakhstan) were investigated. This was achieved with an ultrasonic treatment (22 kHz, 50 W) in the presence of a zeolite catalyst [...] Read more.
In this work, the kinetics of the redistribution of oils, resins, and asphaltenes in high-viscosity oil from the Karazhanbas field (Republic of Kazakhstan) were investigated. This was achieved with an ultrasonic treatment (22 kHz, 50 W) in the presence of a zeolite catalyst (1.0 wt%). The parameters of the technological process were established as a temperature range from 30 to 70 °C and an exposure time of 3 to 11 min. This allowed us to increase the oil content by 14.8% and decrease the concentration of resins by 12.2% and asphaltenes by 2.6%. Conversion schemes (“oils ↔ resins” and “resins ↔ asphaltenes”) were developed, which made it possible to determine the main direction of the reaction processes. The most rapid process is the conversion of resins to oils (k2 = 0.1148–0.1860 min−1). The process of the cracking of asphaltenes with the formation of resins (k4 = 0.1023–0.1413 min−1) ranks second in rates. Condensation reactions, including the transition of oils to resins (k1 = 0.0175–0.0252 min−1) and resins to asphaltenes (k3 = 0.0139–0.0194 min−1), occur significantly more slowly. The calculated activation energies (7.0–10.4 kJ/mol) show that the cavitation treatment of high-viscosity oil in the presence of a catalyst effectuates the processing of heavy oil with minimal energy consumption. A group composition analysis of the light and middle oil fractions demonstrated an increase in paraffinic, naphthenic, benzenic, and olefinic hydrocarbons, with a simultaneous decrease in naphthalenes and heteroatomic compounds. The results obtained confirm the effectiveness of ultrasonic–catalytic treatment for the structural cracking of high-viscosity oil and the formation of lighter hydrocarbon fractions. Full article
Show Figures

Figure 1

21 pages, 982 KB  
Article
Study of the Effects of a New Multifunctional Composition on Water Cut, Corrosion and Paraffin Deposition
by Xiuyu Wang, Mehpara Adygezalova and Elnur Alizade
Energies 2026, 19(4), 958; https://doi.org/10.3390/en19040958 - 12 Feb 2026
Viewed by 318
Abstract
In this study, formation water sample No. 1082 from the Narimanov OGPD, together with crude oil samples from the Bulla-Deniz and Muradkhanli fields, was examined under laboratory conditions to evaluate the efficiency of chemical reagents. The Alkan-318 demulsifier, Marza-1 inhibitor, Difron-4201 depressor additive, [...] Read more.
In this study, formation water sample No. 1082 from the Narimanov OGPD, together with crude oil samples from the Bulla-Deniz and Muradkhanli fields, was examined under laboratory conditions to evaluate the efficiency of chemical reagents. The Alkan-318 demulsifier, Marza-1 inhibitor, Difron-4201 depressor additive, and a combined ADM composition (Alkan-318 + Difron-4201 + Marza-1 in a 1:1:1 ratio) were tested for their effects on water separation, corrosion inhibition, sulfate-reducing bacterium activity, paraffin deposition, and pour point depression. Comparative experiments showed that the ADM composition demonstrated superior performance over individual reagents at equal concentrations. At an optimal dosage of 600 g/t, the ADM composition reduced the residual water content (mass fraction) of Bulla-Deniz (75% initial water cut) and Muradkhanli (41% initial water cut) crude oils to 0.1 wt.% and 0.8 wt.%, respectively, after thermochemical treatment. The depressant performance was evaluated based on the degree of pour point reduction (ΔT, °C) relative to untreated oil. At optimal concentrations, Difron-4201 and the ADM composition reduced the pour point by 9.0–10.0 °C, demonstrating the superior efficiency of the multifunctional composition compared to individual additives. Corrosion tests revealed that Marza-1 and ADM provided up to 99.9% protection in aggressive H2S and CO2 environments, while ADM also exhibited a nearly complete bactericidal effect (99.8%) against sulfate-reducing bacteria, highlighting its multifunctional efficiency. Full article
(This article belongs to the Section H: Geo-Energy)
Show Figures

Figure 1

21 pages, 8419 KB  
Article
Molecular Dynamics Insights into the Interactions Between Gemini Surfactant CSGS and Heavy Oil SARA Components
by Wu Wen, Shitao Zhi, Wenwen Wang, Yiming Wang, Wenjuan Wang, Yu Sun, Jinjian Hou, Jinze Du and Cheng Niu
Coatings 2026, 16(2), 209; https://doi.org/10.3390/coatings16020209 - 6 Feb 2026
Viewed by 336
Abstract
This study investigates the molecular interactions and interfacial behaviors of a carboxylate-sulfonate gemini surfactant (CSGS) with four heavy-oil components (SARA: saturates, aromatics, resins, and asphaltenes) using molecular dynamics (MD) simulations. To provide a comprehensive analysis, two distinct systems were constructed: a homogeneous bulk [...] Read more.
This study investigates the molecular interactions and interfacial behaviors of a carboxylate-sulfonate gemini surfactant (CSGS) with four heavy-oil components (SARA: saturates, aromatics, resins, and asphaltenes) using molecular dynamics (MD) simulations. To provide a comprehensive analysis, two distinct systems were constructed: a homogeneous bulk oil phase (System 1) and a solid–liquid interfacial system containing a calcite (CaCO3) substrate (System 2). In System 1, results showed that CSGS remained well dispersed in the bulk heavy-oil phase and promoted a more uniform distribution of the SARA components. The differences in mobility among the components were mainly determined by molecular structure, resulting in a consistent diffusion trend in the CSGS-containing bulk system. In contrast, the introduction of a calcite substrate (System 2) shifted the distribution from a largely disordered bulk-like state to a confined interfacial organization, with clear layering and enrichment near the mineral surface. Compared with the CaCO3-free system, molecular migration was noticeably restricted, indicating that the carbonate layer imposed additional constraints on mass transport. At the same time, CSGS preferentially accumulated in the SARA components–CaCO3 region, consistent with competitive adsorption at the carbonate interface, and further reorganized the local interfacial structure. Full article
(This article belongs to the Section Environmental Aspects in Colloid and Interface Science)
Show Figures

Figure 1

40 pages, 8954 KB  
Review
A Review on the Preparation, Properties, and Mechanism of Lignin-Modified Asphalt and Mixtures
by Yu Luo, Guangning Ge, Yikang Yang, Xiaoyi Ban, Xuechun Wang, Zengping Zhang and Bo Bai
Sustainability 2026, 18(3), 1536; https://doi.org/10.3390/su18031536 - 3 Feb 2026
Viewed by 547
Abstract
Lignin, an abundant and renewable biopolymer, holds significant potential for asphalt modification owing to its unique aromatic structure and reactive functional groups. This review summarizes the main lignin preparation routes and key physicochemical attributes and assesses its applicability for enhancing asphalt performance. The [...] Read more.
Lignin, an abundant and renewable biopolymer, holds significant potential for asphalt modification owing to its unique aromatic structure and reactive functional groups. This review summarizes the main lignin preparation routes and key physicochemical attributes and assesses its applicability for enhancing asphalt performance. The physical incorporation of lignin strengthens the asphalt matrix, improving its viscoelastic properties and resistance to oxidative degradation. These enhancements are mainly attributed to the cross-linking effect of lignin’s polymer chains and the antioxidant capacity of its phenolic hydroxyl groups, which act as free-radical scavengers. At the mixture level, lignin-modified asphalt (LMA) exhibits improved aggregate bonding, leading to enhanced dynamic stability, fatigue resistance, and moisture resilience. Nevertheless, excessive lignin content can have a negative impact on low-temperature ductility and fatigue resistance at intermediate temperatures. This necessitates careful dosage optimization or composite modification with softeners or flexible fibers. Mechanistically, lignin disperses within the asphalt, where its polar groups adsorb onto lighter components to boost high-temperature performance, while its strong interaction with asphaltenes alleviates water-induced damage. Furthermore, life cycle assessment (LCA) studies indicate that lignin integration can substantially reduce or even offset greenhouse gas emissions through bio-based carbon storage. However, the magnitude of the benefit is highly sensitive to lignin production routes, allocation rules, and recycling scenarios. Although the laboratory research results are encouraging, there is a lack of large-scale road tests on LMA. There is also a lack of systematic research on the specific mechanism of how it interacts with asphalt components and changes the asphalt structure at the molecular level. In the future, long-term service-road engineering tests can be designed and implemented to verify the comprehensive performance of LMA under different climates and traffic grades. By using molecular dynamics simulation technology, a complex molecular model containing the four major components of asphalt and lignin can be constructed to study their interaction mechanism at the microscopic level. Full article
Show Figures

Graphical abstract

13 pages, 2455 KB  
Article
Structural Characteristics and Direct Liquefaction Performance of Macerals in Yili Coal from Xinjiang
by Yongpan Wang, Xiaohui Li, Lang Liu, Xiaodong Zhou, Ting Liu, Guangjun Li, Jingxian Han and Yourlani Abudurgman
Molecules 2026, 31(2), 375; https://doi.org/10.3390/molecules31020375 - 21 Jan 2026
Viewed by 272
Abstract
Effectively separating and utilizing macerals based on their properties is crucial for the efficient and high-value utilization of coal. This study enhances the traditional screening method by employing primary and stepwise crushing techniques to separate Yili coal (YLC) into inertinite-rich (YLI) and vitrinite-rich [...] Read more.
Effectively separating and utilizing macerals based on their properties is crucial for the efficient and high-value utilization of coal. This study enhances the traditional screening method by employing primary and stepwise crushing techniques to separate Yili coal (YLC) into inertinite-rich (YLI) and vitrinite-rich (YLV) concentrates. The structural characteristics and direct coal liquefaction (DCL) performance of YLC, YLV and YLI are subsequently studied. The results indicate that YLV exhibits the highest yield of oil, asphaltene and gas, a finding closely linked to its elevated content of highly active functional groups and its long aliphatic and bridge chains. Furthermore, the liquefaction oil from YLV contains the highest content of alkanes and phenols, which is attributed to its high content of aliphatic hydrocarbons and phenolic hydroxyl groups. In contrast, YLI exhibits the lowest product yield relative to YLC and YLV, with the highest contents of aromatics, esters, and ketones in its oil, due to its high contents of aromatic and carbonyl carbon. The separation, structural characteristics and DCL studies of macerals from Yili coal offer valuable insights for the efficient separation and utilization of macerals. Full article
(This article belongs to the Section Molecular Structure)
Show Figures

Figure 1

15 pages, 3079 KB  
Article
Competitive Interfacial Displacement: Demulsifier-Asphaltene/Resin Interactions and Their Impact on Heavy Oil Emulsion Stability
by Yanbo Sun, Xiaokai Xing, Lin Lin, Peng Gao, Zhiying Wang, Qing Jiang, Ke Shi and Jianliang Xue
Processes 2026, 14(1), 91; https://doi.org/10.3390/pr14010091 - 26 Dec 2025
Viewed by 570
Abstract
In the context of global energy demands, the efficient demulsification of highly stable heavy crude oil emulsions remains a critical challenge. This study systematically investigated the demulsification mechanisms of two demulsifiers (P1# and P2#) through multi-dimensional characterisation and performance evaluation. The results indicated [...] Read more.
In the context of global energy demands, the efficient demulsification of highly stable heavy crude oil emulsions remains a critical challenge. This study systematically investigated the demulsification mechanisms of two demulsifiers (P1# and P2#) through multi-dimensional characterisation and performance evaluation. The results indicated that asphaltenes and resins can strengthen the oil–water interfacial film and stabilise the emulsion due to their unique structural properties. FTIR and 1HNMR analyses showed that both demulsifiers contained polar groups and alkyl chains; however, P1# exhibited higher viscosity and lower surface tension, which favored its rapid adsorption at the interface. Demulsification tests at 60 °C demonstrated that P1# achieved superior efficiency (92.44% demulsification efficiency (DE) in 120 min versus 82.31% for P2#), attributable to its enhanced ability to displace asphaltene/resin at the oil-water interface. Turbiscan stability analysis and microscopic observations confirmed that P1#-treated emulsions underwent faster droplet coalescence and significant interfacial film disruption. Mechanistic studies indicated that the demulsifiers competitively adsorb at the interface, thereby weakening film cohesion through steric hindrance and charge redistribution. XRD and FTIR analyses suggested that interactions between the demulsifier and the asphaltene/resin increased interlayer spacing and reduced crystallinity. Zeta potential and interfacial tension measurements further highlighted P1#’s ability to neutralize negative charges (from −14.52 mV to +8.3 mV) and reduce the IFT (from 28.5 mN/m to 12.1 mN/m), thereby promoting droplet aggregation. This study helps elucidate the mechanism of emulsion phase transition induced by demulsifiers and provides theoretical support for improving the demulsification efficiency of crude oil emulsions. Full article
Show Figures

Figure 1

18 pages, 23685 KB  
Article
Molecular-Scale Analysis of the Interfacial Adhesion Behavior Between Asphalt Binder and Aggregates with Distinct Chemical Compositions
by Yan Li, Shihao Li, Xinhao Sui, Xinzheng Wang and Yizhen Wang
Buildings 2025, 15(23), 4384; https://doi.org/10.3390/buildings15234384 - 3 Dec 2025
Viewed by 528
Abstract
The asphalt–aggregate interface is the weakest yet most critical component in asphalt mixtures, directly governing the pavement performance. In this study, the interfacial adhesion behavior between asphalt binder and aggregates with different chemical compositions (Al2O3, CaCO3, and [...] Read more.
The asphalt–aggregate interface is the weakest yet most critical component in asphalt mixtures, directly governing the pavement performance. In this study, the interfacial adhesion behavior between asphalt binder and aggregates with different chemical compositions (Al2O3, CaCO3, and SiO2) was investigated under varying conditions using molecular dynamics simulations. The effects of aggregate composition, environmental temperature, and asphalt aging were quantitatively assessed using key metrics, specifically interfacial adhesion energy and molecular concentration profiles near the interface. Results demonstrated that the chemical composition of aggregates fundamentally governed the asphalt–aggregate interfacial adhesion strength. Al2O3 exhibited the highest interfacial adhesion strength with asphalt binder, followed by CaCO3, with SiO2 showing the lowest strength. In terms of asphalt fractions, resins and aromatics were found to dominate the interfacial adhesion behavior due to their high molecular concentrations at the interface, with the contribution ranking as: resin > aromatic > saturate > asphaltene. The interfacial adhesion strength exhibited a non-monotonic temperature dependence. It increased with rising temperature and reached a peak value at 25–45 °C, and therefore declined because of excessive softening of asphalt binder. Furthermore, oxidative aging enhanced interfacial adhesion through strengthened electrostatic interactions. These molecular-level insights provide a fundamental understanding crucial for optimizing asphalt mixture design and enhancing pavement durability. Full article
(This article belongs to the Special Issue Advanced Characterization and Evaluation of Construction Materials)
Show Figures

Figure 1

17 pages, 3786 KB  
Article
Enhancing Gel-Based Drilling FIuids for Oil Sands Recovery Using Nitrogen-Doped Carbon Quantum Dots as AsphaItene Dispersants
by Weichao Du, Xueqi Feng, Yi Zhang, Wei Wang, Wenjun Shan, Le Xue and Gang Chen
Gels 2025, 11(12), 942; https://doi.org/10.3390/gels11120942 - 24 Nov 2025
Viewed by 546
Abstract
Oil sands drilling frequently contaminates water-based xanthan gels with highly viscous asphaltenes, collapsing their three-dimensional network and causing barite sag, high fluid loss and poor cuttings transport. Nitrogen-functionalized carbon quantum dots (N-CQDs) were hydrothermally synthesised from citric acid and 1-hexadecylamine and characterised by [...] Read more.
Oil sands drilling frequently contaminates water-based xanthan gels with highly viscous asphaltenes, collapsing their three-dimensional network and causing barite sag, high fluid loss and poor cuttings transport. Nitrogen-functionalized carbon quantum dots (N-CQDs) were hydrothermally synthesised from citric acid and 1-hexadecylamine and characterised by means of FT-IR, TEM and TGA. The concentration-dependent influence of N-CQDs (0–1.2 wt%) on gel viscoelasticity, microstructure and filtration properties was evaluated through rheometry, API and fluid-loss tests. At 0.01 wt% N-CQDs, the viscosity of the adsorbed oil phase dropped by 50% and the mean droplet diameter decreased from 247.7 µm to <100 µm. Consequently, the xanthan gel exhibited a significant enhancement in its mechanical strength and fluid loss performance. Wax-crystal growth was simultaneously inhibited, lowering the pour point by 6 °C. N-CQDs act as nanospacers that disrupt π-stacking of asphaltenes and hydrogen-bond to the polymer backbone, thereby restoring gel strength and sealing capacity. The work provides a sustainable, low-toxicity route to rejuvenate gel-based drilling fluids contaminated by heavy oil and facilitates their reuse in oil sands reservoirs. Full article
Show Figures

Figure 1

23 pages, 7062 KB  
Article
Experimental and Molecular Dynamics Investigation of the Rejuvenation Effect of Bio-Oils on Aged High-Penetration Asphalt
by Hongxia Xiong, Shichao Liang, Quantao Liu, Shisong Ren, Georgios Pipintakos, Shaopeng Wu, Muyu Liu and Shi Xu
Materials 2025, 18(22), 5252; https://doi.org/10.3390/ma18225252 - 20 Nov 2025
Cited by 1 | Viewed by 613
Abstract
The deterioration of high-penetration asphalt pavements due to oxidative aging presents a significant challenge in highway maintenance. This study investigates the rejuvenation effect of three bio-oils, namely palm oil, soybean oil, and sunflower oil, on aged PEN 90 asphalt through an integrated approach [...] Read more.
The deterioration of high-penetration asphalt pavements due to oxidative aging presents a significant challenge in highway maintenance. This study investigates the rejuvenation effect of three bio-oils, namely palm oil, soybean oil, and sunflower oil, on aged PEN 90 asphalt through an integrated approach combining experimental characterization and molecular dynamics (MD) simulations. Laboratory evaluations, including penetration, softening point, dynamic shear rheology (DSR), and Fourier Transform Infrared (FTIR) spectroscopy, were conducted to quantify the recovery of the physical, rheological, and chemical properties of aged high-penetration asphalt. MD simulations were conducted to provide insights into diffusion behavior and intermolecular interactions between bio-oil molecules and aged asphalt components. Experimental results show that bio-oils effectively restore the lost viscoelastic performance after long-term aging. An 8% dosage was determined as optimal, with rejuvenation efficiency decreasing in the order of SSO, SO, and PO. MD simulations clarify mechanisms by showing that soybean and palm oils have higher diffusion efficiency than sunflower oil, thus promoting the dispersion of asphaltene and resin. RDF shows that bio-oils enhance asphalt molecules’ short-range order via hydrogen bonds and van der Waals forces, which improves compatibility. Full article
(This article belongs to the Section Construction and Building Materials)
Show Figures

Figure 1

17 pages, 2115 KB  
Review
Evolution of Model Compounds and Functional Group Compositions for Molecular Dynamics Simulations of Aged Asphalt Binder
by Edgar A. O’Rear, Liangliang Huang and Musharraf Zaman
Molecules 2025, 30(22), 4476; https://doi.org/10.3390/molecules30224476 - 20 Nov 2025
Viewed by 578
Abstract
To apply molecular dynamics (MD) simulations in the study of virgin asphalt binder, researchers have relied on basis sets of representative model structures from the SARA categories of saturated aliphatics (S), naphthenic aromatics (A), polar aromatics or resins (R), and asphaltenes (A). The [...] Read more.
To apply molecular dynamics (MD) simulations in the study of virgin asphalt binder, researchers have relied on basis sets of representative model structures from the SARA categories of saturated aliphatics (S), naphthenic aromatics (A), polar aromatics or resins (R), and asphaltenes (A). The evolution of these model compounds for MD of binder is reviewed with emphasis on addition of oxidized species for simulations of recycled aged binders. The level and type of oxygen functional groups in many MD simulations are not consistent with reported findings. Oxidation of primary, secondary, and tertiary benzylic carbons has been used as a rational approach to generate an extended basis set with functional groups reflecting ageing of virgin binder model compounds. Moieties known to be present in aged binder, though not wholly represented in prior work, include carboxylic acids, ketones, alcohols, anhydrides, and sulfoxides. A specific modified basis set for oxidized asphalt binder is proposed along with a methodology for generating other oxygen-consistent basis sets from virgin binder structures. An example illustrates how selection of compounds from the modified basis set and their amounts can be used to match observed functional group compositions. The objective of this approach is more realistic representation of the molecular interactions between aged asphalt binder structures and those in a waste cooking/motor oil, for example, used to rejuvenate the rheological properties of a binder. Full article
(This article belongs to the Section Physical Chemistry)
Show Figures

Graphical abstract

Back to TopTop