A Stability Assessment of Fault-Caprock Trapping Systems for CO2 Storage in Saline Aquifer Layers Using a Coupled THMC Model
Abstract
1. Introduction
2. Aquifer Selection
2.1. Geological Background
2.2. Selection of Aquifer Layers
3. Numerical Method
3.1. Governing Equations
3.1.1. Conservation of Mass and Energy
3.1.2. Conservation of Momentum
3.1.3. Chemical Precipitation/Dissolution
3.1.4. Thermal Transfer
3.1.5. Effect of Mineral Precipitation and Dissolution on Hydrologic Properties
- (1)
- Porosity evolution
- (2)
- Permeability
3.2. Model Set-Up
4. Results and Discussion
4.1. Model Results
4.2. Stratigraphic Indicators
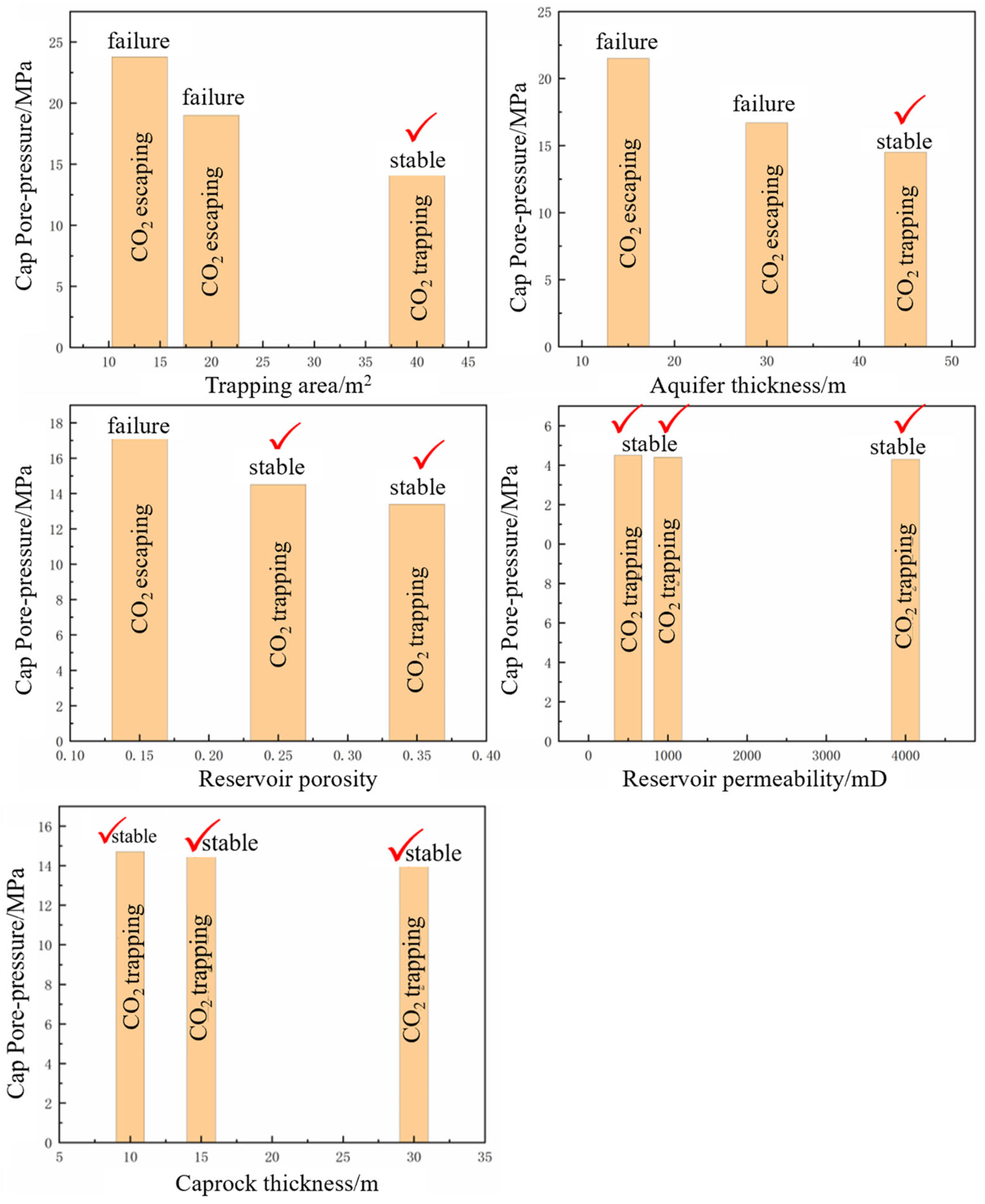
4.2.1. The Influence of Trapping Areas
4.2.2. The Influence of Aquifer Layer Thickness
4.2.3. The Influence of Reservoir Permeability
4.2.4. The Influence of Reservoir Porosity
4.2.5. The Influence of Caprock Thickness
4.3. Summary
5. Conclusions
- (1)
- Chemical reactions occurred primarily near the well bore, resulting in the dissolution of calcite and illite. Fault structures hindered fluid flow, causing a nonuniform distribution of ions, such as Mg2+, Ca2+, and HCO3−.
- (2)
- The trap area and the aquifer thickness had the largest effects on the storage potential of the fault-caprock system.
- (3)
- The simulation results showed that a trap area larger than 40 km2, an aquifer thickness exceeding 45 m, a porosity larger than 0.25, reservoir permeability exceeding 500 mD, and a caprock thickness larger than 15 m are recommended for a reservoir with a CO2 storage capacity of 320,000t per year.
Author Contributions
Funding
Data Availability Statement
Conflicts of Interest
References
- Hepburn, C.; Adlen, E.; Beddington, J.; Carter, E.A.; Fuss, S.; Dowell, N.M.; Minx, J.C.; Smith, P.; Williams, C.K. The technological and economic prospects for CO2 utilization and removal. Nature 2019, 575, 87–97. [Google Scholar] [CrossRef] [PubMed]
- Burnol, A.; Thinon, I.; Ruffine, L.; Herri, J.M. Influence of impurities (nitrogen and methane) on the CO2 storage capacity as sediment-hosted gas hydrates—Application in the area of the Celtic Sea and the Bay of Biscay. Int. J. Greenh. Gas Control 2015, 35, 96–109. [Google Scholar] [CrossRef]
- Frerichs, J.; Rakoczy, J.; Ostertag-Henning, C.; Kruger, M. Viability and Adaptation Potential of Indigenous Microorganisms from Natural Gas Field Fluids in High Pressure Incubations with Supercritical CO2. Environ. Sci. Technol. 2014, 48, 1306–1314. [Google Scholar] [CrossRef]
- Yang, F.; Pang, Z.; Lin, L.; Jia, Z.; Zhang, F.; Duan, Z.; Zong, Z. Hydrogeochemical and isotopic evidence for trans-formational flow in a sedimentary basin: Implications for CO2 storage. Appl. Geochem. 2013, 30, 4–15. [Google Scholar] [CrossRef]
- Bachu, S.; Adams, J.J. Sequestration of CO2 in geological media in response to climate change: Capacity of deep saline aquifers to sequester CO2 in solution. Energy Convers. Manag. 2003, 44, 3151–3175. [Google Scholar] [CrossRef]
- Kumar, A.; Noh, M.; Pope, G.A.; Sepehrnoori, K.; Lake, L.W. Reservoir Simulation of CO2 Storage in Deep Saline Aquifers. SPE J. 2004, 10, 336–348. [Google Scholar] [CrossRef]
- Szulczewski, M.L.; MacMinn, C.W.; Herzog, H.J.; Juanes, R. Lifetime of carbon capture and storage as a climate-change mitigation technology. Proc. Natl. Acad. Sci. USA 2012, 109, 5185–5189. [Google Scholar] [CrossRef]
- Zhang, L.; Soong, Y.; Dilmore, R.; Lopano, C. Numerical simulation of porosity and permeability evolution of Mount Simon sandstone under geological carbon sequestration conditions. Chem. Geol. 2015, 403, 1–12. [Google Scholar] [CrossRef]
- Ajayi, T.; Gomes, J.S.; Bera, A. A review of CO2 storage in geological formations emphasizing modeling, monitoring and capacity estimation approaches. Pet. Sci. 2019, 16, 1028–1063. [Google Scholar] [CrossRef]
- Rochelle, C.A.; Czernichowski-Lauriol, I.; Milodowski, A.E. The impact of chemical reactions on CO2 storage in geological formations: A brief review. Geol. Soc. Lond. Spec. Publ. 2004, 233, 87–106. [Google Scholar] [CrossRef]
- Farajzadeh, R.; Zitha, P.L.J.; Bruining, H. Enhanced mass transfer of CO2 into water: Experiment and modeling. In Proceedings of the Society of Petroleum Engineers—EUROPEC/EAGE Conference and Exhibition, Amsterdam, The Netherlands, 8–11 June 2009; pp. 6423–6431. [Google Scholar]
- Michael, K.; Golab, A.; Shulakova, V.; Ennis-King, J.; Allinson, G.; Sharma, S.; Aiken, T. Geological storage of CO2 in saline aquifers—A review of the experience from existing storage operations. Int. J. Greenh. Gas Control 2010, 4, 659–667. [Google Scholar] [CrossRef]
- Mito, S.; Xue, Z.; Ohsumi, T. Case study of geochemical reactions at the Nagaoka CO2 injection site, Japan. Int. J. Greenh. Gas Control 2008, 2, 309–318. [Google Scholar] [CrossRef]
- Zhang, R.; Yin, X.; Winterfeld, P.H.; Wu, Y.S. A Fully Coupled Thermal- Hydrological- Mechanical- Chemical Model for CO2 Geological Sequestration. J. Nat. Gas Sci. Eng. 2016, 28, 280–304. [Google Scholar] [CrossRef]
- Aminu, M.D.; Nabavi, S.A.; Rochelle, C.A.; Manovic, V. A review of developments in carbon dioxide storage. Appl. Energy 2017, 208, 1389–1419. [Google Scholar] [CrossRef]
- Bachu, S. Review of CO2 storage efficiency in deep saline aquifers. Int. J. Greenh. Gas Control 2015, 40, 188–202. [Google Scholar] [CrossRef]
- Li, C.; Laloui, L. Coupled multiphase thermo-hydro-mechanical analysis of supercritical CO2 injection: Benchmark for the In Salah surface uplift problem. Int. J. Greenh. Gas Control 2016, 51, 394–408. [Google Scholar] [CrossRef]
- Pruess, K.; Garcia, J.; Kovscek, T.; Oldenburg, C.; Rutqvist, J.; Steefel, C.; Xu, T. Code intercomparison builds confidence in numerical simulation models for geologic disposal of CO2. Energy 2004, 29, 1431–1444. [Google Scholar] [CrossRef]
- Kharaka, Y.K.; Gunter, W.D.; Aggarwal, P.K.; Perkins, E.H.; DeBraal, J.D. SOLMINEQ. 88: A Computer Program for Geochemical Modeling of Water-Rock Interactions; US Geological Survey: Menlo Park, CA, USA, 1989.
- Goerke, U.J.; Park, C.H.; Wang, W.; Singh, A.; Kolditz, O. Numerical Simulation of Multiphase Hydromechanical Processes Induced by CO2 Injection into Deep Saline Aquifers. Oil Gas Sci. Technol. 2011, 66, 105–118. [Google Scholar] [CrossRef]
- Adu-Gyamfi, B.; Ampomah, W.; Tu, J.; Sun, Q.; Erzuah, S.; Acheampong, S. Assessment of chemo-mechanical impacts of CO2 sequestration on the caprock formation in Farnsworth oil field, Texas. Sci. Rep. 2022, 12, 13023. [Google Scholar] [CrossRef]
- Adu-Gyamfi, B.; Ampomah, W.; Tu, J.; Sun, Q.; Erzuah, S.; Sarkodie-Kyeremeh, J. Simulation study of chemo-mechanical impacts of CO2 injection in morrow b sandstone reservoir. Greenh. Gases Sci. Technol. 2022, 12, 764–783. [Google Scholar] [CrossRef]
- Li, Q.; Han, Y.; Liu, X.; Ansari, U.; Cheng, Y.; Yan, C. Hydrate as a by-product in CO2 leakage during the long-term sub-seabed sequestration and its role in preventing further leakage. Environ. Sci. Pollut. Res. 2022, 29, 77737–77754. [Google Scholar] [CrossRef] [PubMed]
- Chadwick, R.A.; Arts, R.; Bernstone, C.; May, F.; Zweigel, P. Best Practice for the Storage of CO2 in Saline Aquifers—Observations and Guidelines from the SACS and CO2 STORE Projects; British Geological Survey: Nottingham, UK, 2008.
- Ingram, G.M.; Urai, J.; Naylor, M.A. Sealing processes and top seal assessment. Nor. Pet. Soc. Spec. Publ. 1997, 7, 165–174. [Google Scholar]
- Gan, Q.; Elsworth, D. Analysis of fluid injection-induced fault reactivation and seismic slip in geothermal reservoirs. J. Geophys. Res. Solid Earth 2014, 119, 3340–3353. [Google Scholar] [CrossRef]
- Rutqvist, J.; Liu, H.H.; Vasco, D.W.; Pan, L.; Kappler, K.; Majer, E. Coupled non-isothermal, multiphase fluid flow, and geomechanical modeling of ground surface deformations and potential for induced micro-seismicity at the In Salah CO2 storage operation. Energy Procedia 2011, 4, 3542–3549. [Google Scholar] [CrossRef]
- Morris, J.P.; Hao, Y.; Foxall, W.; Mcnab, W. In salah CO2 storage JIP: Hydromechanical simulations of surface uplift due to CO2 injection at in salah. Energy Procedia 2011, 4, 3269–3275. [Google Scholar] [CrossRef]
- Cappa, F.; Rutqvist, J. Impact of CO2 geological sequestration on the nucleation of earthquakes. Geophys. Res. Lett. 2011, 38, L17313. [Google Scholar] [CrossRef]
- Taron, J.; Elsworth, D.; Min, K.B. Numerical simulation of thermal-hydrologic-mechanical-chemical processes in deformable, fractured porous media. Int. J. Rock. Mech. Min. Sci. 2009, 46, 842–854. [Google Scholar] [CrossRef]
- Chen, L.; Elsworth, D.; Chen, J.; Gan, Q. Evaluation of CO2 leakage potential through fault instability in CO2 geological sequestration by coupled THMC modelling. Gas Sci. Eng. 2024, 132, 205486. [Google Scholar] [CrossRef]
- Lv, Y.; Yuan, C.; Zhu, X.; Gan, Q.; Li, H. THMD analysis of fluid injection-induced fault reactivation and slip in EGS. Geothermics 2022, 99, 102303. [Google Scholar] [CrossRef]
- Gan, Q.; Candela, T.; Wassing, B.; Wasch, L.; Liu, J.; Elsworth, D. The use of supercritical CO2 in deep geothermal reservoirs as a working fluid: Insights from coupled THMC modeling. Int. J. Rock. Mech. Min. Sci. 2021, 147, 104872. [Google Scholar] [CrossRef]
- Lv, Y.; Wei, P.; Zhu, X.; Gan, Q.; Li, H. THMCD modeling of carbonate acdizing with HCl acid. J. Pet. Sci. Eng. 2021, 206, 108940. [Google Scholar] [CrossRef]
- Rühaak, W.; Rath, V.; Wolf, A.; Clauser, C. 3D finite volume groundwater and heat transport modeling with non-orthogonal grids, using a coordinate transformation method. Adv. Water Resour. 2008, 31, 513–524. [Google Scholar] [CrossRef]
- Raffensperger, J.P. Numerical simulation of sedimentary basin-scale hydrochemical processes. In Advances in Porous Media; Corapcioglu, Y.C., Ed.; Elsevier Science: Amsterdam, The Netherlands, 1996; 440p. [Google Scholar]
- Lichtner, P. Continuum Formulation of Multicomponent-Multiphase Reactive Transport. In Reactive zTransport in Porous Media; De Gruyter: Berlin, Germany; Boston, MA, USA, 1996; pp. 1–82. [Google Scholar] [CrossRef]
- Steefel, C.I.; Lasaga, A.C. A coupled model for the transport of multiple chemical species and kinetic precipitation/dissolution reactions with applications to reactive flows in single-phase hydrothermal systems. Am. J. Sci. 1994, 294, 529–592. [Google Scholar] [CrossRef]
- Snow, D.T. Anisotropie Permeability of Fractured Media. Water Resour. Res. 1969, 5, 1273–1289. [Google Scholar] [CrossRef]





























| No. | Aquifer Layers | Depth | Trap Area | Aquifer Thickness | Caprock Thickness | Caprock Permeability |
|---|---|---|---|---|---|---|
| 1 | EF | 795–910 m | 13 km2 | 47 m | 17 m | 0.1–1 md |
| 2 | GH | 1105–1220 m | 23 km2 | 20–26 m | 24 m | 1–50 md |
| 3 | IJ | 1410–1474 m | 10 km2 | 15–25 m | 15–30 m | 1–100 md |
| 4 | KL | 1500–1731 m | 15.1 km2 | 40 m | 50 m | 0.01–5 md |
| Scenarios | Reservoir Layer | Depth | Reservoir Depth | Caprock Depth |
|---|---|---|---|---|
| 1 | EF | 795–910 m | 47 m | 17 m |
| 2 | GH | 1080–1240 m | 30 m | 24 m |
| 3 | IJ | 1400–1500 m | 30 m | 15–30 m |
| 4 | KL | 1500–1815 m | 30 m | 50 m |
| Parameters | Unit | Value |
|---|---|---|
| Elastic modulus | GPa | 1.0 |
| Poisson’s ratio | - | 0.22 |
| Tensile strength | MPa | 3.0 |
| Cohesion | MPa | 1.24 |
| Fault Permeability | mD | 0.01 |
| Fault friction | ° | 35 |
| Dilation angle | ° | 5.3 |
| No. | Trap Area | Aquifer Layer Thickness | Caprock Thickness | Reservoir Permeability | Reservoir Porosity |
|---|---|---|---|---|---|
| Case 0 | 40 km2 | 45 m | 15 m | 500 mD | 0.25 |
| Case 1 | 13 km2 | 45 m | 15 m | 500 mD | 0.25 |
| Case 2 | 20 km2 | 45 m | 15 m | 500 mD | 0.25 |
| Case 3 | 40 km2 | 15 m | 15 m | 500 mD | 0.25 |
| Case 4 | 40 km2 | 30 m | 15 m | 500 mD | 0.25 |
| Case 5 | 40 km2 | 45 m | 15 m | 1000 mD | 0.25 |
| Case 6 | 40 km2 | 45 m | 15 m | 4000 mD | 0.25 |
| Case 7 | 40 km2 | 45 m | 15 m | 500 mD | 0.15 |
| Case 8 | 40 km2 | 45 m | 15 m | 500 mD | 0.35 |
| Case 9 | 40 km2 | 45 m | 10 m | 500 mD | 0.25 |
| Case 10 | 40 km2 | 45 m | 30 m | 500 mD | 0.25 |
| Item | Priority Level | Sugestive Value |
|---|---|---|
| Trapping area | High | >40 km2 |
| Aquifer layer thickness | High | >45 m |
| Reservoir pososity | Middle | >0.25 |
| Reservoir permeability | Low | >500 mD |
| Caprock thickness | Low | >15 m |
Disclaimer/Publisher’s Note: The statements, opinions and data contained in all publications are solely those of the individual author(s) and contributor(s) and not of MDPI and/or the editor(s). MDPI and/or the editor(s) disclaim responsibility for any injury to people or property resulting from any ideas, methods, instructions or products referred to in the content. |
© 2025 by the authors. Licensee MDPI, Basel, Switzerland. This article is an open access article distributed under the terms and conditions of the Creative Commons Attribution (CC BY) license (https://creativecommons.org/licenses/by/4.0/).
Share and Cite
Xie, M.; Wang, S.; Feng, S.; Xu, C.; Li, X.; Sun, X.; Ma, Y.; Gan, Q.; Wang, T. A Stability Assessment of Fault-Caprock Trapping Systems for CO2 Storage in Saline Aquifer Layers Using a Coupled THMC Model. Energies 2025, 18, 900. https://doi.org/10.3390/en18040900
Xie M, Wang S, Feng S, Xu C, Li X, Sun X, Ma Y, Gan Q, Wang T. A Stability Assessment of Fault-Caprock Trapping Systems for CO2 Storage in Saline Aquifer Layers Using a Coupled THMC Model. Energies. 2025; 18(4):900. https://doi.org/10.3390/en18040900
Chicago/Turabian StyleXie, Mingying, Shenghao Wang, Shasha Feng, Chao Xu, Xisheng Li, Xiaona Sun, Yueqiang Ma, Quan Gan, and Tao Wang. 2025. "A Stability Assessment of Fault-Caprock Trapping Systems for CO2 Storage in Saline Aquifer Layers Using a Coupled THMC Model" Energies 18, no. 4: 900. https://doi.org/10.3390/en18040900
APA StyleXie, M., Wang, S., Feng, S., Xu, C., Li, X., Sun, X., Ma, Y., Gan, Q., & Wang, T. (2025). A Stability Assessment of Fault-Caprock Trapping Systems for CO2 Storage in Saline Aquifer Layers Using a Coupled THMC Model. Energies, 18(4), 900. https://doi.org/10.3390/en18040900

