Speed Optimization Control of a Permanent Magnet Synchronous Motor Based on TD3
Abstract
1. Introduction
- The TD3-based optimal control reduces the difficulty of designing a speed tracking controller for nonlinear PMSM.
- Adding energy consumption optimization control to the traditional control objective of steadiness, accuracy, and speed effectively improves the efficiency of the motor.
- The better generalization of the algorithm enables the motor to exhibit better control performance under different operating conditions.
2. Description of the Control Problem
2.1. Control Object Model
2.2. Speed Loop Control
2.3. Current Loop Control
3. TD3 of PMSM
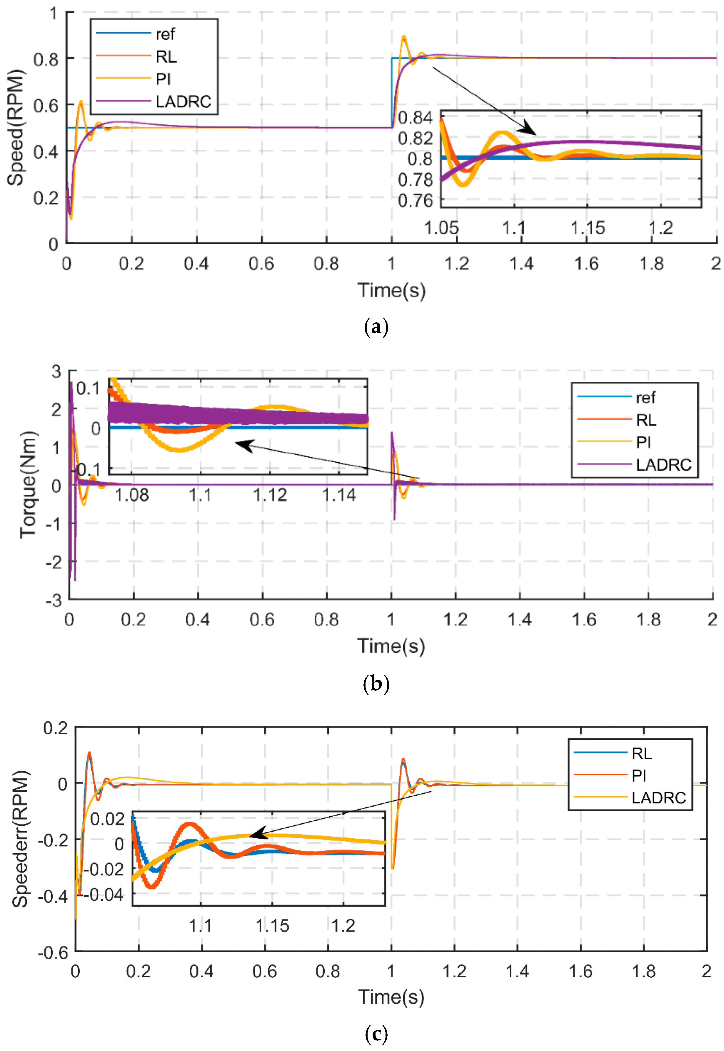
4. Results and Analysis
5. Conclusions
Author Contributions
Funding
Data Availability Statement
Conflicts of Interest
References
- Lin, X.; Xu, R.; Yao, W.; Gao, Y.; Sun, G.; Liu, J. Observer-Based Prescribed Performance Speed Control for PMSMs: A Data-Driven RBF Neural Network Approach. IEEE Trans. Ind. Inform. 2024, 20, 7502–7512. [Google Scholar] [CrossRef]
- Lin, X.; Wu, C.; Yao, W.; Liu, Z.; Shen, X.; Xu, R. Observer-Based Fixed-Time Control for Permanent-Magnet Synchronous Motors with Parameter Uncertainties. IEEE Trans. Power Electron. 2023, 38, 4335–4344. [Google Scholar] [CrossRef]
- Krishnan, R. Electric Motor Drives: Modeling, Analysis, and Control; Prentice-Hall: Upper Saddle River, NJ, USA, 2001. [Google Scholar]
- Zhang, Z.; Liu, Y.; Liang, X.; Guo, H.; Zhuang, X. Robust Model Predictive Current Control of PMSM Based on Nonlinear Extended State Observer. IEEE J. Emerg. Sel. Top. Power Electron. 2023, 11, 862–873. [Google Scholar] [CrossRef]
- Yang, C.; Meng, F.; Zhang, H.; Zhao, J.; Wang, H.; Zhou, L. Optimal Coordinated Control for Speed Tracking and Torque Synchronization of Rigidly Connected Dual-Motor Systems. IEEE/ASME Trans. Mechatron. 2023, 28, 2609–2620. [Google Scholar] [CrossRef]
- Li, X.; Tian, W.; Gao, X. A Generalized Observer-Based Robust Predictive Current Control Strategy for PMSM Drive System. IEEE Trans. Ind. Electron. 2022, 69, 1322–1332. [Google Scholar] [CrossRef]
- Wang, Y.; Fang, S.; Hu, J.; Huang, D. A Novel Active Disturbance Rejection Control of PMSM Based on Deep Reinforcement Learning for More Electric Aircraft. IEEE Trans. Energy Convers. 2023, 38, 1461–1470. [Google Scholar] [CrossRef]
- Wang, Y.; Fang, S.; Hu, J. Active Disturbance Rejection Control Based on Deep Reinforcement Learning of PMSM for More Electric Aircraft. IEEE Trans. Power Electron. 2023, 38, 406–416. [Google Scholar] [CrossRef]
- Jiang, X.; Yang, Y.; Fan, M.; Ji, A.; Xiao, Y.; Zhang, X. An Improved Implicit Model Predictive Current Control with Continuous Control Set for PMSM Drives. IEEE Trans. Transp. Electrif. 2022, 8, 2444–2455. [Google Scholar] [CrossRef]
- Xu, B.; Jiang, Q.; Ji, W.; Ding, S. An Improved Three-Vector-Based Model Predictive Current Control Method for Surface-Mounted PMSM Drives. IEEE Trans. Transp. Electrif. 2022, 8, 4418–4430. [Google Scholar] [CrossRef]
- Wang, X.; Wang, Z.; Gu, M.; Xu, Z.; Zou, Z.; Wang, W. Fault-Tolerant Control of Common Electrical Faults in Dual Three-Phase PMSM Drives Fed by T-Type Three-Level Inverters. IEEE Trans. Ind. Appl. 2021, 57, 481–491. [Google Scholar] [CrossRef]
- Sun, Z.; Deng, Y.; Wang, J.; Yang, T.; Wei, Z.; Cao, H. Finite Control Set Model-Free Predictive Current Control of PMSM with Two Voltage Vectors Based on Ultralocal Model. IEEE Trans. Power Electron. 2023, 38, 776–788. [Google Scholar] [CrossRef]
- Ma, Y.; Li, D.; Li, Y.; Yang, L. A Novel Discrete Compound Integral Terminal Sliding Mode Control With Disturbance Compensation for PMSM Speed System. IEEE/ASME Trans. Mechatron. 2022, 27, 549–560. [Google Scholar] [CrossRef]
- Zhang, J.; Ren, W.; Sun, X. Current-Constrained Adaptive Robust Control for Uncertain PMSM Drive Systems: Theory and Experimentation. IEEE Trans. Transp. Electrif. 2023, 9, 4158–4169. [Google Scholar] [CrossRef]
- Tan, L.; Cong, T.; Cong, D. Neural Network Observers and Sensorless Robust Optimal Control for Partially Unknown PMSM with Disturbances and Saturating Voltages. IEEE Trans. Power Electron. 2021, 36, 12045–12056. [Google Scholar] [CrossRef]
- Li, Z.; Wang, F.; Ke, D.; Li, J.; Zhang, W. Robust Continuous Model Predictive Speed and Current Control for PMSM with Adaptive Integral Sliding-Mode Approach. IEEE Trans. Power Electron. 2021, 36, 14398–14408. [Google Scholar] [CrossRef]
- Zhao, J.; Yang, C.; Gao, W.; Zhou, L. Reinforcement Learning and Optimal Control of PMSM Speed Servo System. IEEE Trans. Ind. Electron. 2023, 70, 8305–8313. [Google Scholar] [CrossRef]
- Attestog, S.; Senanayaka, J.; Khang, H.; Robbersmyr, K. Robust Active Learning Multiple Fault Diagnosis of PMSM Drives with Sensorless Control Under Dynamic Operations and Imbalanced Datasets. IEEE Trans. Ind. Inform. 2023, 19, 9291–9301. [Google Scholar] [CrossRef]
- Wang, Y.; Fang, S.; Hu, J.; Huang, D. Multiscenarios Parameter Optimization Method for Active Disturbance Rejection Control of PMSM Based on Deep Reinforcement Learning. IEEE Trans. Ind. Electron. 2023, 70, 10957–10968. [Google Scholar] [CrossRef]
- Wang, Y.; Fang, S.; Huang, D. An Improved Model-Free Active Disturbance Rejection Deadbeat Predictive Current Control Method of PMSM Based on Data-Driven. IEEE Trans. Power Electron. 2023, 38, 9606–9616. [Google Scholar] [CrossRef]
- Luo, L.; Huang, W.; Huang, M.; Fan, Q. Model-Free Predictive Current Control of Sensorless PMSM Drives with Extended Kalman Filter. In Proceedings of the 2023 26th International Conference on Electrical Machines and Systems (ICEMS), Zhuhai, China, 5–8 November 2023; pp. 2369–2374. [Google Scholar]
- Wei, Y.; Men, S.; Wei, Y.; Qi, H.; Wang, F. A Model-Free Predictive Current Control for PMSM Driving System of EV with Adjustable Low Inertia. In Proceedings of the 2022 IEEE Transportation Electrification Conference and Expo, Asia-Pacific (ITEC Asia-Pacific), Haining, China, 28–31 October 2022; pp. 1–7. [Google Scholar]
- Jie, H.; Zheng, G.; Zou, J.; Xin, X.; Guo, L. Speed Regulation Based on Adaptive Control and RBFNN for PMSM Considering Parametric Uncertainty and Load Fluctuation. IEEE Access 2020, 8, 190147–190159. [Google Scholar] [CrossRef]
- Lin, P.; Wu, Z.; Liu, K.; Sun, X. A Class of Linear–Nonlinear Switching Active Disturbance Rejection Speed and Current Controllers for PMSM. IEEE Trans. Power Electron. 2021, 36, 14366–14382. [Google Scholar] [CrossRef]
- Tan, L.; Pham, T. Optimal Tracking Control for PMSM With Partially Unknown Dynamics, Saturation Voltages, Torque, and Voltage Disturbances. IEEE Trans. Ind. Electron. 2022, 69, 3481–3491. [Google Scholar] [CrossRef]
- Saglam, B.; Mutlu, F.; Cicek, D.; Kozat, S. Parameter-Free Reduction of the Estimation Bias in Deep Reinforcement Learning for Deterministic Policy Gradients. Neural. Process. Lett. 2024, 56, 80. [Google Scholar] [CrossRef]
- Yin, F.; Yuan, X.; Ma, Z.; Xu, X. Vector Control of PMSM Using TD3 Reinforcement Learning Algorithm. Algorithms 2023, 16, 404. [Google Scholar] [CrossRef]









| Parameters | Value |
|---|---|
| Sample Time | 0.0001 |
| Discount Factor | 0.99 |
| Experience Buffer Length | 10000 |
| Target Smoothing Factor | 0.006 |
| Target Update Frequency | 10 |
| Mini Batch Size | 256 |
| Parameters | Symbol | Value |
|---|---|---|
| Rated current | 7.2600 | |
| Rated torque | 0.3471 | |
| Maximum speed | 4300 | |
| Number of pole pairs | 7 | |
| Nominal phase resistance | 0.2930 | |
| Nominal d-axis inductance | 8.7678 × 10−5 | |
| Nominal q-axis inductance | 7.7724 × 10−5 | |
| Nominal permanent flux | 0.0046 |
| Name | Value |
|---|---|
| Speed base (RPM) | 3476 |
| Current base (A) | 21.4286 |
| Voltage base (V) | 13.8564 |
| Performance Parameters | PI | LADRC | RL |
|---|---|---|---|
| Settlingtime (s) | 0.25 | 0.50 | 0.18 |
| Risetime (s) | 0.03 | 0.15 | 0.04 |
| Undershoot (%) | 11.25 | 2.38 | 5.01 |
Disclaimer/Publisher’s Note: The statements, opinions and data contained in all publications are solely those of the individual author(s) and contributor(s) and not of MDPI and/or the editor(s). MDPI and/or the editor(s) disclaim responsibility for any injury to people or property resulting from any ideas, methods, instructions or products referred to in the content. |
© 2025 by the authors. Licensee MDPI, Basel, Switzerland. This article is an open access article distributed under the terms and conditions of the Creative Commons Attribution (CC BY) license (https://creativecommons.org/licenses/by/4.0/).
Share and Cite
Hu, Z.; Zhang, Y.; Li, M.; Liao, Y. Speed Optimization Control of a Permanent Magnet Synchronous Motor Based on TD3. Energies 2025, 18, 901. https://doi.org/10.3390/en18040901
Hu Z, Zhang Y, Li M, Liao Y. Speed Optimization Control of a Permanent Magnet Synchronous Motor Based on TD3. Energies. 2025; 18(4):901. https://doi.org/10.3390/en18040901
Chicago/Turabian StyleHu, Zuolei, Yingjie Zhang, Ming Li, and Yuhua Liao. 2025. "Speed Optimization Control of a Permanent Magnet Synchronous Motor Based on TD3" Energies 18, no. 4: 901. https://doi.org/10.3390/en18040901
APA StyleHu, Z., Zhang, Y., Li, M., & Liao, Y. (2025). Speed Optimization Control of a Permanent Magnet Synchronous Motor Based on TD3. Energies, 18(4), 901. https://doi.org/10.3390/en18040901

