A Study on the Controlling Effect of Geological Structures on Coalbed Methane Occurrence in the Northeast Margin of Qinshui Basin, North China
Abstract
1. Introduction
2. Geological Setting
2.1. Location
2.2. Structure and Distribution Characteristics of the Mining Field
3. Materials and Methods
4. Results
4.1. Characteristics of Coal Reservoirs in Structure Zone
4.2. Gas Occurrence in Coal Reservoir in Structure Zone
4.2.1. Gas Occurrence in Coal Reservoir in Fault Structure Zone
4.2.2. Gas Occurrence in Coal Reservoir in Fold Structure Zone
4.2.3. Gas Occurrence in Coal Reservoir in Collapse Column Structure Zone
5. Discussion
5.1. Effect of Structure on Physical Properties of Coal Reservoir
5.2. Controlling Effects of Geological Structure on Gas Occurrence
5.2.1. Controlling Effects of Fault Structure on Gas Occurrence
5.2.2. Controlling Effects of Fold Structure on Gas Occurrence
5.2.3. Controlling Effects of Collapsed Column Structure on Gas Occurrence
5.3. Characteristics and Indicative Roles of Mirror-like Sliding Surface in Highly Deformed Structural Zones
6. Conclusions
- The folds in this area are well-developed and primarily oriented in the NW and WE directions. The northwest-oriented folds are mainly concentrated in the central and eastern parts of the panel area. Fault displacements are relatively small, with most faults trending northeast and dipping northwest as normal faults. Collapse columns are prevalent, particularly near the axial regions of synclines and anticlines. The volatile matter content of coal in the mining area ranges from 5% to 9%, and most anthracite has a high degree of coalification, and the maximum adsorption capacity of methane is 28–32 m3/t, which has a strong methane adsorption capacity.
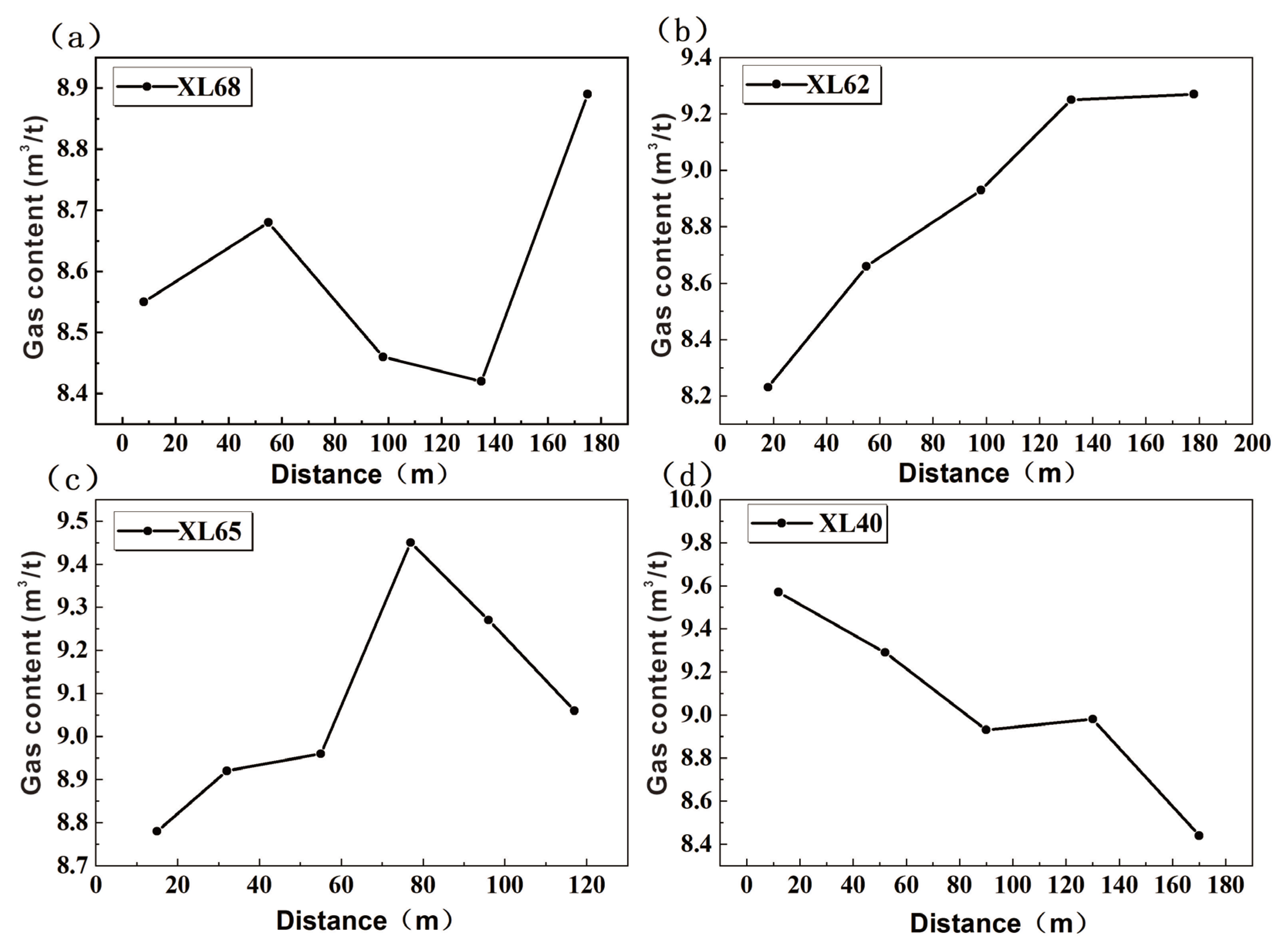
- In normal fault zones, the gas content ranges from 8.11 to 11.53 m3/t, with gas pressures between 0.113 and 0.346 MPa. In reverse fault zones, the gas content varies from 8.04 to 12.57 m3/t, with pressures ranging from 0.131 to 0.391 MPa. While the gas content is generally lower in extensional normal fault zones than in compressional reverse fault zones, the influence of these fault types on gas occurrence is complex. Due to the overlapping effects of tectonic stresses, gas-enriched zones can also be found near normal fault zones, and some reverse fault zones may facilitate gas dissipation. Fold structures, especially anticlines, promote CBM storage and accumulation. The gas content in fold structures is 2 to 3 m3/t higher than in standard zones. The gas content in synclines typically falls between that of anticlines and less structurally developed zones. Collapse columns influence gas occurrence within a range of 15 to 180 m, and their effects are dual, depending on factors such as surrounding rock properties, hydrogeological conditions, and fault activity during their formation.
- Many mirror-like sliding surfaces have been found in the coal seam geological structure development area in the northeast margin of Qinshui Basin. These surfaces result from combined stress, sliding rate, displacement, and temperature. The presence of these slip surfaces serves as a critical indicator for predicting strong structural belts in coal seams, providing valuable criteria for identifying such zones.
Author Contributions
Funding
Data Availability Statement
Acknowledgments
Conflicts of Interest
References
- Karacan, C.Ö.; Goodman, G.V.R. Analyses of Geological and Hydrodynamic Controls on Methane Emissions Experienced in a Lower Kittanning Coal Mine. Int. J. Coal Geol. 2012, 98, 110–127. [Google Scholar] [CrossRef] [PubMed]
- Liu, J.; Zhang, R.; Song, D.; Wang, Z. Experimental Investigation on Occurrence of Gassy Coal Extrusion in Coalmine. Saf. Sci. 2019, 113, 362–371. [Google Scholar] [CrossRef]
- Dai, S.; Finkelman, R.B. Coal Geology in China: An Overview. Int. Geol. Rev. 2018, 60, 531–534. [Google Scholar] [CrossRef]
- Pan, J.; Lv, M.; Hou, Q.; Han, Y.; Wang, K. Coal Microcrystalline Structural Changes Related to Methane Adsorption/Desorption. Fuel 2019, 239, 13–23. [Google Scholar] [CrossRef]
- Yan, J.; Feng, X.; Guo, Y.; Jia, T.; Tan, Z. Discussion on the Main Control Effect of Geological Structures on Coal and Gas Outburst. ACS omega 2022, 8, 835–845. [Google Scholar] [CrossRef]
- Li, X.; Lin, B. Status of Research and Analysis on Coal and Gas Outburst Mechanism. COAL Geol. Explor. 2010, 38, 7–13. [Google Scholar] [CrossRef]
- Jia, T.; Feng, Z.; Wei, G.; Ju, Y. Shear Deformation of Fold Structures in Coal Measure Strata and Coal-Gas Outbursts: Constraint and Mechanism. Energy Explor. Exploit. 2018, 36, 185–203. [Google Scholar] [CrossRef]
- Pan, X.; Cheng, H.; Chen, J.; Zhou, X. An Experimental Study of the Mechanism of Coal and Gas Outbursts in the Tectonic Regions. Eng. Geol. 2020, 279, 105883. [Google Scholar] [CrossRef]
- Creedy, D.P. Geological Controls on the Formation and Distribution of Gas in British Coal Measure Strata. Int. J. Coal Geol. 1988, 10, 1–31. [Google Scholar] [CrossRef]
- Frodsham, K.; Gayer, R.A. The Impact of Tectonic Deformation upon Coal Seams in the South Wales Coalfield, UK. Int. J. Coal Geol. 1999, 38, 297–332. [Google Scholar] [CrossRef]
- Cai, Y.; Liu, D.; Yao, Y.; Li, J.; Qiu, Y. Geological Controls on Prediction of Coalbed Methane of No. 3 Coal Seam in Southern Qinshui Basin, North China. Int. J. Coal Geol. 2011, 88, 101–112. [Google Scholar] [CrossRef]
- Liu, Y.-S.; Zhao, S.-L. Geological Structural Characteristics and Their Control Action on Gas Occurrence in Kaiping Syncline. Meitan Xuebao J. China Coal Soc. 2015, 40, 164–169. [Google Scholar] [CrossRef]
- Liu, Y.; Yang, H.; Chen, L. The influence of coal parameters on the gas absorption constants of coal. 9. In Gas Geology and Gas Control (2020–2021), Proceedings of the Annual Conference on Gas Geology of China Coal Society, Changsha, China, 30–31 July 2021; China University of Mining and Technology Press: Xuzhou, China, 2021. [Google Scholar] [CrossRef]
- Pan, J.; Zhu, H.; Hou, Q.; Wang, S. Macromolecular and Pore Structures of Chinese Tectonically Deformed Coal Studied by Atomic Force Microscopy. Fuel 2015, 139, 94–101. [Google Scholar] [CrossRef]
- Adib, A.; Afzal, P.; Ilani, S.M.; Aliyari, F. Determination of the Relationship between Major Fault and Zinc Mineralization Using Fractal Modeling in the Behabad Fault Zone, Central Iran. J. Afr. Earth Sci. 2017, 134, 308–319. [Google Scholar] [CrossRef]
- Fossen, H.; Hesthammer, J. Geometric Analysis and Scaling Relations of Deformation Bands in Porous Sandstone. J. Struct. Geol. 1997, 19, 1479–1493. [Google Scholar] [CrossRef]
- Zhao, Y.; Feng, Z.; Liang, W.; Yang, D.; Hu, Y.; Kang, T. Investigation of Fractal Distribution Law for the Trace Number of Random and Grouped Fractures in a Geological Mass. Eng. Geol. 2009, 109, 224–229. [Google Scholar] [CrossRef]
- Su, X.; Lin, X.; Liu, S.; Zhao, M.; Song, Y. Geology of Coalbed Methane Reservoirs in the Southeast Qinshui Basin of China. Int. J. Coal Geol. 2005, 62, 197–210. [Google Scholar] [CrossRef]
- Zhou, Q.; Birkholzer, J.T.; Tsang, C.F.; Rutqvist, J. A Method for Quick Assessment of CO2 Storage Capacity in Closed and Semi-Closed Saline Formations. Int. J. Greenh. Gas Control 2008, 2, 626–639. [Google Scholar] [CrossRef]
- Jin, K.; Cheng, Y.; Wang, L.; Dong, J.; Guo, P.; An, F.; Jiang, L. The Effect of Sedimentary Redbeds on Coalbed Methane Occurrence in the Xutuan and Zhaoji Coal Mines, Huaibei Coalfield, China. Int. J. Coal Geol. 2015, 137, 111–123. [Google Scholar] [CrossRef]
- Evans, J.P.; Prante, M.R.; Janecke, S.U.; Ault, A.K.; Newell, D.L. Hot Faults: Iridescent Slip Surfaces with Metallic Luster Document High-Temperature Ancient Seismicity in the Wasatch Fault Zone, Utah, USA. Geology 2014, 42, 623–626. [Google Scholar] [CrossRef]
- Kuo, L.W.; Song, S.R.; Suppe, J.; Yeh, E.C. Fault Mirrors in Seismically Active Fault Zones: A Fossil of Small Earthquakes at Shallow Depths. Geophys. Res. Lett. 2016, 43, 1950–1959. [Google Scholar] [CrossRef]
- Viti, C.; Brogi, A.; Liotta, D.; Mugnaioli, E.; Spiess, R.; Dini, A.; Zucchi, M.; Vannuccini, G. Seismic Slip Recorded in Tourmaline Fault Mirrors from Elba Island (Italy). J. Struct. Geol. 2016, 86, 1–12. [Google Scholar] [CrossRef]
- De Paola, N.; Holdsworth, R.E.; Viti, C.; Collettini, C.; Bullock, R. Can Grain Size Sensitive Flow Lubricate Faults during the Initial Stages of Earthquake Propagation? Earth Planet. Sci. Lett. 2015, 431, 48–58. [Google Scholar] [CrossRef]
- Kirkpatrick, J.D.; Rowe, C.D.; White, J.C.; Brodsky, E.E. Silica Gel Formation during Fault Slip: Evidence from the Rock Record. Geology 2013, 41, 1015–1018. [Google Scholar] [CrossRef]
- Siman-Tov, S.; Aharonov, E.; Boneh, Y.; Reches, Z. Fault Mirrors along Carbonate Faults: Formation and Destruction during Shear Experiments. Earth Planet. Sci. Lett. 2015, 430, 367–376. [Google Scholar] [CrossRef]









| Coal Samples | 1 | 2 | 3 | 4 | 5 | 6 | 7 |
|---|---|---|---|---|---|---|---|
| Kaolinite | Tobelite | Dolomite | Pyrite | Calcite | Quartz | Anatase | |
| JX01 | 85.6 | 11.9 | 2.5 | 0 | 0 | 0 | 0 |
| JX02 | 69.2 | 21.0 | 0 | 0 | 8.5 | 1.3 | 0 |
| JX03 | 75.2 | 24.8 | 0 | 0 | 0 | 0 | 0 |
| JX04 | 47.0 | 11.1 | 2.0 | 3.6 | 1.1 | 35.2 | 0 |
| JX05 | 19.4 | 13.6 | 24.0 | 38.0 | 5.0 | 0 | 0 |
| JX06 | 64.1 | 14.4 | 19.5 | 1.6 | 0.4 | 0 | 0 |
| JX07 | 52.1 | 26.66 | 11.8 | 9.5 | 0 | 0 | 0 |
| JX08 | 5.8 | 60.0 | 0 | 30.7 | 0 | 0 | 3.5 |
| Coal Samples | Moisture | Ash | Volatiles | Fixed Carbon |
|---|---|---|---|---|
| JX01 | 3.33% | 16.99% | 8.67% | 71.01% |
| JX02 | 3.71% | 12.77% | 5.62% | 77.90% |
| JX03 | 4.56% | 16.90% | 7.77% | 70.77% |
| Coal Samples | Adsorption Gas | Langmuir Volume (m3/t) | Langmuir Pressure (MPa−1) | R2 |
|---|---|---|---|---|
| JX01 | CH4 | 31.03025 | 1.29596 | 0.99634 |
| JX02 | CH4 | 28.02258 | 1.37218 | 0.99704 |
| Sampling Location | Coal Samples | Coal Types | a (m3/t) | b (MPa−1) |
|---|---|---|---|---|
| Sijiazhuang Mine | SJZY | Anthracite | 39.8581 | 0.9762 |
| Sijiazhuang Mine | SJZR | Anthracite | 40.9337 | 1.1486 |
| Shanxi Yangquan Coal Mine | YQ3 | Anthracite | 36.12 | 0.93 |
| Shanxi Yangquan Coal Mine | YQ15 | Anthracite | 40.29 | 1.67 |
| Shanxi Yonghong Coal Mine | YH3 | Anthracite | 38.64 | 1.40 |
| Shanxi Yonghong Coal Mine | YH15 | Anthracite | 40.16 | 1.68 |
| Shanxi Xinjing Coal Mine | XJ | Anthracite | 36.3 | 0.96 |
| Henan Hebi Mine | HB | Meager Coal | 37.02 | 1.30 |
| Anhui Huainan Mine | HN | Gas-fat coal | 21.75 | 1.23 |
| Pingdingshan Mining area | PM | Gas-fat coal | 17.73 | 1.35 |
| Guizhou Liulong Mining District | LL | Lean Coal | 23.95 | 1.35 |
Disclaimer/Publisher’s Note: The statements, opinions and data contained in all publications are solely those of the individual author(s) and contributor(s) and not of MDPI and/or the editor(s). MDPI and/or the editor(s) disclaim responsibility for any injury to people or property resulting from any ideas, methods, instructions or products referred to in the content. |
© 2025 by the authors. Licensee MDPI, Basel, Switzerland. This article is an open access article distributed under the terms and conditions of the Creative Commons Attribution (CC BY) license (https://creativecommons.org/licenses/by/4.0/).
Share and Cite
Li, R.; Zhang, L.; Xie, J.; Chen, Z.; Yang, B.; Xiang, W.; Zhai, X. A Study on the Controlling Effect of Geological Structures on Coalbed Methane Occurrence in the Northeast Margin of Qinshui Basin, North China. Energies 2025, 18, 647. https://doi.org/10.3390/en18030647
Li R, Zhang L, Xie J, Chen Z, Yang B, Xiang W, Zhai X. A Study on the Controlling Effect of Geological Structures on Coalbed Methane Occurrence in the Northeast Margin of Qinshui Basin, North China. Energies. 2025; 18(3):647. https://doi.org/10.3390/en18030647
Chicago/Turabian StyleLi, Rui, Le Zhang, Jun Xie, Zhaoying Chen, Baoke Yang, Wenting Xiang, and Xikun Zhai. 2025. "A Study on the Controlling Effect of Geological Structures on Coalbed Methane Occurrence in the Northeast Margin of Qinshui Basin, North China" Energies 18, no. 3: 647. https://doi.org/10.3390/en18030647
APA StyleLi, R., Zhang, L., Xie, J., Chen, Z., Yang, B., Xiang, W., & Zhai, X. (2025). A Study on the Controlling Effect of Geological Structures on Coalbed Methane Occurrence in the Northeast Margin of Qinshui Basin, North China. Energies, 18(3), 647. https://doi.org/10.3390/en18030647

