Abstract
This paper proposes an E-core outer-rotor hybrid-excitation flux switching (OR-HEFS) machine for in-wheel direct driving application. According to the general air gap field modulation theory, the magneto-motive force (MMF) permeance model was established to investigate the air gap flux density, and then the torque generation, the flux regulation principle, and the excitation-winding-induced voltage of the E-core OR-HEFS machine were analyzed. To characterize the output performances, the influence of the design parameters was investigated for the E-core OR-HEFS machine, including the split ratio, stator tooth arc, PM arc, fault-tolerant tooth arc, rotor tooth arc, stator yoke width and rotor yoke width. The performances contained the output torque, torque ripple, flux regulation ratio, and the excitation-winding-induced voltage. On this basis, the aforementioned four performances were optimized by means of the non-dominated sorting genetic algorithm II (NSGA-II). Based on the optimization result, a prototype was manufactured and tested to verify the whole investigation of this paper.
1. Introduction
With the rapid development of the electrical machine, the distributed in-wheel driving system is considered to be the irreversible direction for electric vehicles [1,2], and the key technique lies in the design of outer-rotor machines [3]. After years of research, various topologies have been proposed, including the outer-rotor interior permanent magnet (PM) synchronous machine [4], the outer-rotor Vernier PM machine [5], the outer-rotor switched reluctance machine [6], and the outer-rotor flux switching PM (OR-FSPM) machine [7,8,9].
Among these structures, the OR-FSPM machine is derived from the inner-rotor FSPM machines, and has attached widespread attention for its unique strengthens. Excluding the high torque density achieved by the PM, the OR-FSPM machine installs both the PM and armature winding on the stator, which enables a compact and robust rotor structure consisting only of silicon steel sheet [10]. Moreover, favorable thermal dissipation conditions are obtained by locating the main heat source (PM and armature windings) on the stator [11]. However, the magnetic loading of the OR-FSPM machine is artificially designed to be extremely high to gain a high torque density in the low-speed region, which makes it difficult to raise the operating speed and meet the requirement of highway driving [7]. On the other hand, due to the approximately equal d- and q-axis inductances [8,10], the flux regulation capability of OR-FSPM machines is relatively weak and the output torque decreases sharply when the rotor speed rises.
Under such a circumstance, the E-core outer-rotor hybrid-excitation flux switching (OR-HEFS) machine can be considered a promising candidate to expand the speed range. As a derivative structure, the OR-HEFS combines the merits of high torque density in OR-FSPM machines and the direct flux regulation capability in wound-field machines [12,13]. However, the E-core topology may meet some demerits. Though its rated torque is slightly higher than other topologies, due to the reduced amount PM, the output torque falls behind under overload working conditions. Moreover, the saturation effect is usually prominent in the E-core OR-HEFS machine, and the copper loss is higher than that of other types of machines. Regarding an E-core OR-HEFS machine, due to the decrease in the armature slot area, the extra excitation winding inevitably leads to a reduction in the output torque [14,15]. Moreover, the relationship remains to be revealed between the torque density and flux regulation capability. On the other hand, the excitation-winding-induced voltage is a non-ignorable effect of the hybrid-excitation machines [16], which not only impacts the excitation winding power supply, but also influences the flux regulation capability [17,18]. There must be the design tradeoff between these performances, which calls for further discussion.
Although OR-HEFS machines have been investigated in previous research, the above issues need to be further analyzed, and the output performances should be characterized as well. Therefore, the air gap field modulation behavior of the E-core OR-HEFS machine is analyzed in Section 2 to serve as the theoretical fundament. Torque generation, flux regulation principle, and excitation-winding-induced voltage are analyzed successively. In Section 3, the influence of design parameters on the output performance of an E-core OR-HEFS machine is investigated, including the output torque, torque ripple, flux regulation ratio, and the excitation-winding-induced voltage. The design tradeoff is revealed in this process as well. Thereafter, the E-core OR-HEFS machine was optimized by considering the aforementioned four performances collectively in Section 4. To verify the theoretical analysis, a prototype is outlined in Section 5 based on the optimization result. Finally, the conclusions are summarized in Section 6.
2. Air Gap Field Modulation of the E-Core OR-HEFS Machine
2.1. The Machine Topology
Figure 1 illustrates the topology of a three-phase 6-stator-pole/19 rotor-tooth (6/19) E-core OR-HEFS machine investigated in this paper. It can be observed that the rotor consists of 19 salient poles which are sample and robust. The stator is composed of 6 E-core cells, 6 pieces of PMs, 6 armature coils, and 6 excitation coils. Each E-core cell has three teeth; the middle tooth is denoted as the fault-tolerant tooth and the others are the stator teeth. Meanwhile, each piece of the PM is sandwiched by two armature teeth belonging to different E-core cells, and these three parts collectively form a stator pole. Both the armature coils and excitation coils are concentrated coils, they are wounded on stator poles and fault-tolerant teeth, respectively. In addition, the magnetization directions of the two adjacent PMs are opposite, and the “flux-concentrated” effect helps improve the torque density.
Figure 1.
The topology of the E-core OR-HEFS machine.
2.2. Design Consideration
Figure 2 demonstrates the parameters of the 6/19 OR-HEFS machine, and the parameter explanation along with their initial values are listed in Table 1. Based on the previous design experience regarding E-core OR-HEFS machines, the initial values of the four arcs in Figure 2 should be established as
Figure 2.
The parameter illustration of the E-core OR-HEFS machine.
Table 1.
Design parameters of the E-core OR-HEFS machine.
However, according to the conclusions drawn in [19], E-core OR-HEFS machines usually possess high torque per PM amount, and the PM arc can be reduced to increase the slot area. Moreover, the fault-tolerant tooth arc is expected to be larger to enhance the flux regulation capability [19]. Therefore, these two arc parameters should be modified as follows:
Considering the structural symmetry and the mechanical strength, the stator and rotor yoke thickness are set as
The stator slot was divided into the armature slot and the excitation slot artificially, while ka was set to 0.7 in this paper. As can be observed, when the outer dimension is determined for the E-core OR-HEFS machine, only six design parameters need to be further investigated for the performance characterization, including θst, θrt, θPM, θft, wsy, and wry. Other parameters listed in Table 1 remain constant throughout the discussion.
Additionally, the split ratio of the E-core OR-HEFS machine is defined as
2.3. The Modulation Behavior of the E-Core OR-HEFS Machine
2.3.1. PM Field Modulation Process
Figure 3 demonstrates the air gap field modulation process of the 6/19 E-core OR-HEFS machine [20,21]. Supposing both the stator and the rotor are non-slotted, the magnetic motive force (MMF) of the PM can be written as a Fourier series:
where δ is the position angle, FPMi is the amplitude of ith PM MMF harmonics, and pPM is the PM pole pair number, which is 3 in this paper.
Figure 3.
The modulation process of the 6/19 E-core OR-HEFS machine.
The PM MMF modulated by the stator can be expressed as:
where Ms(δ) is the stator modulation function and FPMsi is the amplitude of ith stator modulation MMF harmonics.
The rotor modulator is the salient reluctance, which can be expressed as
where Λrk is the kth reluctance, ωr is the rotor speed, δ0 is initial rotor position, and pr is the rotor pole pair number, which is equal to 19 in this paper.
Considering the rotor modulator, the final air gap field generated by PM should be:
where g is the air gap length and μ0 is the permeability of vacuum.
2.3.2. Wound Field Modulation Process
Following similar steps, the MMF of excitation winding can be expressed as
where FEWj is the amplitude of jth MMF harmonics of the excitation winding and pEW is the pole pair number of the wound field, which should be 3 in this paper.
And the MMF of the excitation winding modulated by the stator can be expressed as:
where FEWsj is the amplitude of jth stator modulation excitation winding MMF harmonics.
Considering both the stator and rotor modulators, the air gap field generated by the excitation winding should be
2.3.3. Armature Field Modulation Process
According to the magnetic gearing effect [22], the armature winding pole pair number should satisfy
The winding function of the armature winding can be expressed as [23]
where m is the phase number, the subscript x refers to the phase label, and x = 1, 2, 3 represents the phase A, B, C, respectively. Wx0 is the DC component of the armature winding function and Wlpa is the amplitude of lth armature winding function harmonics.
The three-phase current of the E-core OR-HEFS machine can be expressed as
where Im is the amplitude of the phase current and φ is the current angle.
Combining (15) and (16), the armature winding MMF should be
where
Thereafter, the corresponding air gap field generated by the armature winding is calculated as
2.3.4. Flux Regulation Principle
According to (10) and (13), the PM field and the wound field share the same pole pair number in the 6/19 E-core OR-HEFS machine. Under open-circuit conditions, the two fields generate the air gap flux density collectively and they possess the same harmonic orders. They are the (2i − 1)pPM order harmonics excited by the PM and the (2j − 1)pEW order harmonics excited by the excitation winding, and the (2i − 1)pPM ± kpr orders and the (2j − 1)pEW ± kpr orders harmonics modulated by rotor salient pole reluctance modulator. In other words, when injecting the excitation current, the wound field will put an effect on the PM field by changing the amplitude of the air gap field harmonics, but the harmonic orders remain unchanged. By changing the amplitudes and directions of the injected excitation current, the air gap field will change correspondingly, and the goal of flux regulation is achieved. Because of the controllable DC excitation current, the flux regulation is easy to realize for the 6/19 E-core OR-HEFS machine.
2.3.5. Torque Generation
When injecting the armature current, the armature field is excited according to (19), and the electromagnetic torque of the 6/19 E-core OR-HEFS machine is then generated. Under the loaded condition, the torque can be calculated by the Maxwell stress tensor method:
where rg denotes the radius of center circle of the air gap, Bgr and Bgt are the radial and tangential flux density in the air gap, and both of them are contributed by the PM field, wound field, and the armature field. Brq and θrq are the amplitude and phase angle of the qth radial air gap flux density, and Btq and θtq represent the amplitude and phase angle of qth tangential component.
According to (19), the armature field contains the lpa order harmonics excited by the armature winding directly, and the lpa ± kpr orders harmonics modulated by rotor salient pole reluctance modulator. Combining with (10) and (13), only when the air gap flux density harmonics satisfy the (22), the electromagnetic torque can be generated
In other words, the open-circuit air gap field harmonics should share identical orders with the armature field harmonics to generate the electromagnetic torque, which refers to the order q in (20) and (21).
2.3.6. Excitation-Winding-Induced Voltage
Excluding the armature winding, the excitation winding will also link the PM flux, as well as the armature flux, and induced voltage will exist in the excitation winding, which will affect the DC power supply and flux regulation.
Under the open-circuit condition, the flux linkage linked by the excitation winding can be expressed as
where WEW is the excitation winding function.
Based on the nature of trigonometric functions, the open-circuit excitation winding flux is contributed only when parameter i (or j) and k satisfy the following condition:
where s should be an integer.
As can be observed, both (2i−1) and (2s−1) are odd numbers, and k must be an even number to establish (24). The pPM, pEW, and pr are 3, 3, 19 in this paper, and only when the parameter k = 0, 6, 12, …, 6t (t = 0, 1, 2, …), the corresponding components are attributed to the open-circuit excitation winding flux.
Furthermore, the harmonic order of the open-circuit excitation winding flux and corresponding excitation winding induced voltage can be calculated by [24]
where LCM(·) is the least common multiple calculator.
Analogously, under loaded conditions, the flux linkage linked by the excitation winding can be calculated by
Based on the nature of trigonometric functions, the excitation winding flux under loaded condition is contributed only when parameter i (or j) and k satisfy the following condition:
It can be observed that only when k = 2t ± 1, the corresponding components are attributed to the loaded excitation winding flux.
Additionally, the harmonic order of the loaded excitation winding flux and corresponding excitation winding induced voltage should also follow (25).
According to above investigation, the harmonic order of the excitation winding induced voltage should be 6 for the 6/19 E-core OR-HEFS machine in this paper, no matter under the open-circuit or the loaded conditions.
3. Performance Characterization of the E-Core OR-HEFS Machine
Based on the general air gap field modulation theory, Section 2 investigates the operation and flux regulation principles of the 6/19 E-core OR-HEFS machine. The generation mechanism of the excitation winding induced voltage are analyzed as well. On this basis, this section further characterizes the influence of the design parameters on the output performance to enrich the design theory. The performances covered in this section include the output torque Tave, torque ripple Trip, flux-regulation ratio kfr and the excitation winding induced voltage Eff. In addition, the excitation winding induced voltage Eff is described by its peak-to-peak value. It should be noticed that the flux-regulation ratio kfr is defined as
where Ψ+ie and Ψ−ie refer to the flux linkage with the injection of positive flux-enhanced current and negative flux-weakened current, respectively.
3.1. The Split Ratio
The split ratio of the E-core OR-FSPM machine is defined as the ratio between the inner and outer radii of its stator, which has a significant influence on the output performances, especially on the output torque and flux regulation ratio, as shown in Figure 4. Generally speaking, a large split ratio will increase the PM flux but reduce the slot area [12]. Therefore, a peak output torque and flux regulation ratio can be achieved by considering both aspects collectively. However, as shown in Figure 4, the output torque and flux regulation ratio decreased with the increased in split ratio of the E-core OR-FSPM machine. The reason lies in the wedge-shaped stator teeth and fault-tolerant teeth employed in this paper. When the stator outer radius varied with the split ratio, the tooth width and the slot arc remained unchanged. However, the slot area decreased in this process. As a result, the output torque decreased and the flux regulation ratio also decreased due to the limited excitation slot area. Moreover, the torque ripple increased and the excitation-winding-induced voltage decreased with the increased in split ratio. In summary, the split ratio is expected to be smaller to achieve the large output torque and flux regulation ratio, without considering the stator size.
Figure 4.
Variation in output performances versus the split ratio. (a) Influence on kfr and Eff; (b) influence on Tave and Trip.
3.2. The Stator Tooth Arc
Figure 5 illustrates the variation in output performances with the stator tooth arc. With the increase in stator tooth arc, the output torque increased at first and then decreased, since the increase in the stator tooth arc broadened the flux path which increased the phase flux, but both the armature and excitation slot areas decreased simultaneously. Thereafter, the output torque reduced when the stator tooth arc exceeded its optimal value. Moreover, the flux regulation ratio is closely related to the excitation MMF, according to (13) and (28), which is mainly affected by the excitation slot area when the excitation current keeps constant. And the flux regulation ratio decreased with the increase in the stator tooth arc. In the above process, the excitation-winding-induced voltage varied very little, and the variation tendency of the torque ripple was similar to that of output torque, which indicates a design contradiction between the output torque and the torque ripple in the E-core OR-HEFS machine.
Figure 5.
Variation in output performances versus the stator tooth arc. (a) Influence on kfr and Eff; (b) influence on Tave and Trip.
3.3. The PM Arc
The influence of the PM arc on the output performances is demonstrated in Figure 6, where the flux regulation ratio did not vary so much. However, the excitation-winding-induced voltage increases with PM arc. As for the torque characteristics, the output torque increased at first and then decreased slowly with the increase in the PM arc. This result indicates that the E-core OR-HEFS machine exhibited a relatively high torque per PM amount, and the torque density can be improved without installing too much PM. The torque ripple possessed the opposite variation with the output torque during the process above. The torque ripple of the E-core OR-HEFS machine was mainly caused by the cogging torque, which changed a little in the preset range of the PM arc, and the torque ripple varied reversely with the output torque.
Figure 6.
Variation in output performances versus the PM arc. (a) Influence on kfr and Eff; (b) influence on Tave and Trip.
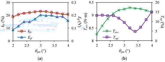
3.4. The Fault-Tolerant Tooth Arc
The influences of the fault-tolerant tooth arc on the four output performances are depicted in Figure 7. As can be observed, the excitation-winding-induced voltage decreased and then increased with the fault-tolerant tooth arc, while the remaining three performances varied linearly. The fault-tolerant tooth is the key point to realize the flux regulation capability of the E-core OR-HEFS machine, and the flux regulation ratio increased with the fault-tolerant tooth arc. However, the armature slot area decreased with the increase in the fault-tolerant tooth arc, which reduced the output torque sharply. Moreover, the torque ripple exhibited almost the same tendency with the output torque. This phenomenon indicates that the design tradeoff between the torque ripple and output torque should be considered when selecting the fault-tolerant tooth arc.
Figure 7.
Variation in output performances versus the fault-tolerant tooth arc. (a) Influence on kfr and Eff; (b) influence on Tave and Trip.
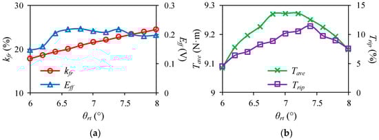
3.5. The Rotor Tooth Arc
Excluding the arc parameters on the stator, the rotor tooth arc also plays an important characteristic in the electromagnetic performance, as demonstrated in Figure 8. According to (23), the variation in the rotor tooth arc mainly influenced the amplitudes of the modulated flux density harmonics, and the excitation-winding-induced voltage did not vary so much with the rotor tooth arc. As shown in Figure 8b, with the increase in the rotor tooth arc, both the output torque and the torque ripple increased at first and then decreased. However, the peak values of the two performances were exhibited at different rotor tooth arcs, and the peak value of the output torque varied little compared to the other values. The conclusion indicates that the reduction in the torque ripple should be the leading factor when selecting the rotor tooth arc.
Figure 8.
Variation in output performances versus the rotor tooth arc. (a) Influence on kfr and Eff; (b) influence on Tave and Trip.
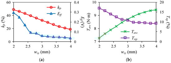
3.6. Stator Yoke Width
In addition to the tooth arcs above, the stator yoke width exhibited a non-negligible influence on the electromagnetic performances, since the slot areas and the magnetic saturation degree were significantly affected. As shown in Figure 9a, the flux regulation ratio and the excitation-winding-induced voltage decreased sharply with the increase in the stator yoke width, which indicates that these two performances are hard to be considered simultaneously in the design stage. Regarding the torque characteristics depicted in Figure 9b, the torque ripple decreased with increase in the output torque. However, when the stator tooth width exceeded 3.3 mm, both the output torque and the torque ripple remained almost unchanged as the stator tooth width continued to increase. In summary, the selection of the stator yoke width should give priority to increase the flux regulation ratio with the excitation-winding-induced voltage supposed.
Figure 9.
Variation in output performances versus the stator yoke width. (a) Influence on kfr and Eff; (b) influence on Tave and Trip.
3.7. The Rotor Yoke Width
Analogously, the variation in the output performances with the rotor yoke width is demonstrated in Figure 10. As can be observed, in the preset range, the four performances changed very little with the variation in the rotor yoke width, which shows that the output performances can be determined once after the other design parameters are selected.
Figure 10.
Variation in output performances versus the rotor yoke width. (a) Influence on kfr and Eff; (b) influence on Tave and Trip.
This Section characterizes the influence of seven design parameters on four output performances to enrich the design theory of the E-core OR-HEFS machine. The result demonstrates that the rotor yoke width exhibited less influence on the performances compared to the other parameters. Moreover, the design contradiction usually exists between the flux regulation ratio and the excitation-winding-induced voltage, and the output torque and the torque ripple; thus, the tradeoff must be considered in the next step.
4. Parameter Optimization
Based on the investigation above, the output performances were optimized in this Section through the non-dominated sorting genetic algorithm II (NSGA-II) [25,26]. According to the performance characterization in Section 3, the optimization issue for the 6/19 E-core OR-HEFS machine is described as follows:
Figure 11a illustrates the feasible design of the 6/19 E-core OR-HEFS machine. The color of the design points denotes the value of the average output torque. Additionally, Figure 11b–g demonstrates the Pareto frontier between two output performances. The optimal design was chosen on the Pareto frontier, where all solutions were not dominated by each other but not optimal to all the objectives. Finally, the choice of the solution depended on the importance of each objective, and the parameter and corresponding performances are listed in Table 2. It should be noted that the optimized machine improved the Tave from 9.14 N·m to 9.64 N·m, reduced the Trip from 9.60% to 3.95%, increased the kfr from 18.4% to 19.5%, and reduced the Eff from 0.81 V to 0.56 V.

Figure 11.
The optimization result of the 6/19 E-core OR-HEFS machine. (a) Pareto solutions of all the output performances; (b) torque ripple from the output torque aspect; (c) torque ripple from the flux regulation ratio aspect; (d) torque ripple from the excitation-winding-induced voltage aspect; (e) output torque from the excitation-winding-induced voltage aspect; (f) output torque from the flux regulation ratio aspect; (g) excitation-winding-induced voltage from the flux regulation ratio aspect.
Table 2.
Optimization result of the 6/19 E-core OR-HEFS machine.
5. Experimental Verification
This Section further verifies the theoretical analysis of this paper through the prototype experiment. Figure 12 illustrates the prototype and the corresponding test platform of the 6/19 E-core OR-FSPM machine, and the parameters of the prototype remained the same as in Table 2. As shown in Figure 12a, six E-shaped core units were fixed on the stator inner sleeve by dovetail grooves. In order to facilitate the installation of the PM and two set of windings, positioning keys and slot wedges were manufactured at the tips of stator teeth and fault-tolerant teeth, respectively, as shown in Figure 12c.
Figure 12.
The prototype and testing rig of the 6/19 E-core OR-HEFS machine. (a) The stator core; (b) the rotor core; (c) the stator; (d) testing rig; (e) control platform.
Regarding the testing platform, a separately excited DC motor was selected as the loading of the E-core OR-FSPM machine, and it also served as the prime mover for the open-circuit experiment. For the loaded test, the control side was based on the DSP controller TI-TMS320F28377D. The three-phase IGBT drive module of the inverter was FS100R12KT4G and the control frequency was 10 kHz. In addition, the rated parameters of the proposed machine were as follows: rated speed—120 r/min, rated current—30 A, rated torque—9.6 N·m, and DC link voltage—12 V.
The measured back electro-motive force (back-EMF) is shown in Figure 13, which maintained great consistence with the finite element analysis (FEA) result. The prototype was driven to 120 r/min by the DC motor with a 5 A/mm2 excitation current injected. Compared to the FEA result, the measured back-EMF contained a more significant third harmonic, which was caused by the positioning keys of the slot wedges in the prototype. Therefore, the total harmonic distortion (THD) of the measured back-EMF was 4.23%, which is slightly larger than the FEA result (3.46%).
Figure 13.
The measured back-EMF of the 6/19 E-core OR-HEFS machine. (a) Waveforms; (b) Harmonics.
When injecting different excitation currents, the measured back-EMF waveforms are illustrated in Figure 14, which can also reflect the flux-regulation capability. It should be noted that, the prototype keeps running at the speed of 120 r/min when the excitation current varies. In addition, the label “-” in the excitation current densities indicates the flux-weakened current. In the flux-weakened region, the amplitudes of back-EMF vary linearly with the excitation current, which proves the satisfactory flux-regulation capability of the E-core OR-FSPM machine. However, in the flux-enhanced region, the growth rate of the flux-regulation ratio decreases when the current density exceeds 6 A/mm2, due to the magnetic saturation effect in the stator core.
Figure 14.
The measured back-EMF under different excitation currents. (a) Waveforms; (b) amplitudes and flux regulation ratios.
The measured torque under different load and excitation conditions is shown in Figure 15. In Figure 15a, the excitation current remained 5 A/mm2, and the armature current varied from 1 to 10 A/mm2 to test the overloaded capability. In Figure 15b, to test the flux-regulation capability, the armature current remained 5 A/mm2, while the excitation current varied from −10 to 10 A/mm2. Great agreement was achieved between the FEA and the measured results, and the maximum deviation was within 6% in the testing range. The main reason lies in the end effect ignored by the two-dimensional FEA, which leads to the increase in the FEA torque.
Figure 15.
The measured torque of the 6/19 E-core OR-HEFS machine. (a) Output torque under different armature currents; (b) output torque under different excitation currents.
Moreover, the essential performances acquired by FEA and experiment were compared in Table 3, which further confirmed the correctness of this paper.
Table 3.
Comparison between FEA and the experimental result.
6. Conclusions
In this paper, a 6/19 E-core OR-FSPM machine is proposed and investigated in detail. The operation principle, i.e., flux regulation mechanism and the excitation-winding-induced voltage generation, was analyzed by the general air gap field modulation theory. On this basis, the four output performances were characterized by investigating the influence of the design parameters. The results show that the design demand was hard to give considerations between the flux regulation ratio and the excitation-winding-induced voltage, and between the output torque and the torque ripple. Therefore, the tradeoff was considered at the optimization stage through the NSGA-II, and the optimized machine improved the output torque from 9.14 N·m to 9.64 N·m, reduced the torque ripple from 9.60% to 3.95%, increased the flux regulation ratio from 18.4% to 19.5%, and decreased the excitation-winding-induced voltage from 0.81 V to 0.56 V. Moreover, a prototype was manufactured based on the optimization result, and the experiment result illustrates great consistence with the theoretical analysis.
Additionally, based on the general air gap field modulation theory, the output torque, flux regulation ratio, and the excitation-winding-induced voltage were generated by different harmonics groups. It was found that these groups were not only closely tied to different design variables, but also coupled to each other, and further investigation into the air gap field is warranted. Moreover, the introduction of the excitation winding will also impact the thermal behavior, which calls for an in-depth analysis.
Author Contributions
Conceptualization, Z.X. and M.C.; methodology, Z.X. and M.C.; formal analysis, Z.X. and M.C.; investigation, Z.X. and M.C.; writing—original draft preparation, Z.X. and M.C.; supervision, Z.X. and M.C.; funding acquisition, Z.X. and M.C. All authors have read and agreed to the published version of the manuscript.
Funding
This research was funded by the National Natural Science Foundation of China, grant numbers U24A20147 and 51937006; Postgraduate Research & Practice Innovation Program of Jiangsu Province, grant number KYCX23_0250.
Data Availability Statement
Data are contained within the article.
Conflicts of Interest
The authors declare no conflicts of interest.
References
- Amirkhani, M.; Ghanbari, M.A.; Kondelaji, M.A.J.; Mirsalim, M.; Khorsandi, A. Performance analysis of outer rotor multi-tooth biased flux permanent magnet motors. IEEE Trans. Energy Convers. 2023, 38, 1738–1752. [Google Scholar] [CrossRef]
- Chen, H.; Liu, X.; EL-Refaie, A.M.; Zhao, J.; Demerdash, N.A.O.; He, J. Comparative study of winding configurations of a five-phase flux-switching PM machine. IEEE Trans. Energy Convers. 2019, 34, 1792–1804. [Google Scholar] [CrossRef]
- Nasiri-Zarandi, R.; Karami-Shahnani, A.; Toulabi, M.S.; Tessarolo, A. Design and experimental performance assessment of an outer rotor PM-assisted SynRM for the electric bike propulsion. IEEE Trans. Transp. Electrific. 2023, 9, 727–736. [Google Scholar] [CrossRef]
- Rafiee, V.; Faiz, J. Robust design of an outer rotor permanent magnet motor through six-sigma methodology using response surface surrogate model. IEEE Trans. Magn. 2019, 55, 8107110. [Google Scholar] [CrossRef]
- Yu, Y.; Pei, Y.; Chai, F.; Doppelbauer, M. Analysis of back EMF harmonics influenced by slot-pole combinations in permanent magnet vernier in-wheel motors. IEEE Trans. Ind. Electron. 2023, 70, 4461–4471. [Google Scholar] [CrossRef]
- Xue, X.D.; Cheng, K.W.E.; Ng, T.W.; Cheung, N.C. Multi-objective optimization design of in-wheel switched reluctance motors in electric vehicles. IEEE Trans. Ind. Electron. 2010, 57, 2980–2987. [Google Scholar] [CrossRef]
- Bi, Y.; Fu, W.; Niu, S.; Huang, J. Comparative analysis of consequent-pole flux-switching machines with different permanent magnet arrangements for outer-rotor in-wheel direct-drive applications. Energies 2023, 16, 6650. [Google Scholar] [CrossRef]
- Zhu, X.; Xiang, Z.; Zhang, C.; Quan, L.; Du, Y.; Gu, W. Co-reduction of torque ripple for outer rotor flux-switching PM motor using systematic multi-level design and control schemes. IEEE Trans. Ind. Electron. 2017, 64, 1102–1112. [Google Scholar] [CrossRef]
- Zarghani, A.; Farahzadi, M.; Ghaheri, A.; Abbaszadeh, K. Accurate 3D thermal network development for direct-drive outer-rotor hybrid-PM flux-switching generator. Chin. J. Elect. Eng. 2024, 10, 80–92. [Google Scholar] [CrossRef]
- Xu, Z.; Cheng, M.; Tong, M.; Lu, C. Design and hierarchical coordinated optimization of an outer-rotor hybrid-excitation flux-switching machine for in-wheel driving applications. IEEE Tran. Transp. Electrific. 2024, 10, 6509–6518. [Google Scholar] [CrossRef]
- Fei, W.; Luk, P.C.K.; Shen, J.X.; Wang, Y.; Jin, M. A novel permanent-magnet flux switching machine with an outer-rotor configuration for in-wheel light traction applications. IEEE Trans. Ind. Appl. 2012, 48, 1496–1506. [Google Scholar] [CrossRef]
- Jiang, W.; Huang, W.; Lin, X.; Zhao, Y.; Wu, X.; Zhao, Y.; Dong, D.; Jiang, X. A novel stator wound field flux switching machine with the combination of overlapping armature winding and asymmetric stator poles. IEEE Trans. Ind. Electron. 2022, 69, 2737–2748. [Google Scholar] [CrossRef]
- Jan, H.U.; Khan, F.; Ullah, B.; Qasim, M.; Milyani, A.H.; Azhari, A.A. Design and thermal analysis of linear hybrid excited flux switching machine using ferrite magnets. Energies 2022, 15, 5275. [Google Scholar] [CrossRef]
- Yu, J.; Liu, C.; Song, Z.; Zhao, H. Permeance and inductance modeling of a double-stator hybrid-excited flux-switching permanent-magnet machine. IEEE Trans. Transp. Electrific. 2020, 6, 1134–1145. [Google Scholar] [CrossRef]
- Xu, L.; Zhu, X.; Fan, W.; Zhang, C.; Zhang, L.; Quan, L. Comparative analysis and design of partitioned stator hybrid excitation axial flux switching PM motors for in-wheel traction applications. IEEE Trans. Energy Convers. 2022, 37, 1416–1427. [Google Scholar] [CrossRef]
- Yu, L.; Zhang, M.; Zhang, Z.; Jiang, B. Reduction of field-winding-induced voltage in a doubly salient brushless DC generator with stator-damper winding. IEEE Trans. Ind. Electron. 2021, 69, 7767–7775. [Google Scholar] [CrossRef]
- Zhu, Z.; Wu, Z.; Evans, D.; Chu, W. A wound field switched flux machine with field and armature windings separately wound in double stators. IEEE Trans. Energy Convers. 2015, 30, 772–783. [Google Scholar] [CrossRef]
- Sun, X.; Zhu, Z.; Wei, F. Voltage pulsation induced in DC field winding of different hybrid excitation switched flux machines. IEEE Trans. Ind. Appl. 2021, 57, 4815–4830. [Google Scholar] [CrossRef]
- Hua, W.; Su, P.; Tong, M.; Meng, J. Investigation of a five-phase E-core hybrid-excitation flux-switching machine for EV and HEV applications. IEEE Trans. Ind. Appl. 2017, 53, 124–133. [Google Scholar] [CrossRef]
- Cheng, M.; Han, P.; Hua, W. General airgap field modulation theory for electrical machines. IEEE Trans. Ind. Electron. 2017, 64, 6063–6074. [Google Scholar] [CrossRef]
- Cheng, M.; Han, P.; Du, Y.; Wen, H.; Li, X. A tutorial on general air-gap field modulation theory for electrical machines. IEEE J. Emerg. Sel. Top. Power Electron. 2022, 10, 1712–1732. [Google Scholar] [CrossRef]
- Wu, Z.; Zhu, Z. Analysis of magnetic gearing effect in partitioned stator switched flux PM machines. IEEE Trans. Energy Convers. 2016, 31, 1239–1249. [Google Scholar] [CrossRef]
- Zhu, X.; Hua, W.; Wang, W.; Huang, W. Analysis of back-EMF in flux-reversal permanent magnet machines by air gap field modulation theory. IEEE Trans. Ind. Electron. 2019, 66, 3344–3355. [Google Scholar] [CrossRef]
- Zhang, W.; Hua, W.; Wu, Z.; Zhao, G.; Wang, Y.; Xia, W. Analysis of DC winding induced voltage in wound-field flux-switching machine with air-gap field modulation principle. IEEE Trans. Ind. Electron. 2022, 69, 2300–2311. [Google Scholar] [CrossRef]
- Neto, M.G.; da Silva, F.F.; Branco, P.J.d.C. Operational analysis of an axial and solid double-pole configuration in a permanent magnet flux-switching generator. Energies 2024, 17, 1698. [Google Scholar] [CrossRef]
- Shoaei, A.; Farshbaf-Roomi, F.; Wang, Q. Surrogate-based multi-objective optimization of flux-focusing Halbach coaxial magnetic gear. Energies 2024, 17, 608. [Google Scholar] [CrossRef]
Disclaimer/Publisher’s Note: The statements, opinions and data contained in all publications are solely those of the individual author(s) and contributor(s) and not of MDPI and/or the editor(s). MDPI and/or the editor(s) disclaim responsibility for any injury to people or property resulting from any ideas, methods, instructions or products referred to in the content. |
© 2025 by the authors. Licensee MDPI, Basel, Switzerland. This article is an open access article distributed under the terms and conditions of the Creative Commons Attribution (CC BY) license (https://creativecommons.org/licenses/by/4.0/).