Sensitivity of Dynamic Stall Models to Dynamic Excitation on Large Flexible Wind Turbine Blades in Edgewise Vibrations
Abstract
1. Introduction
2. Methodology
2.1. Wind Turbine Design Code Bladed
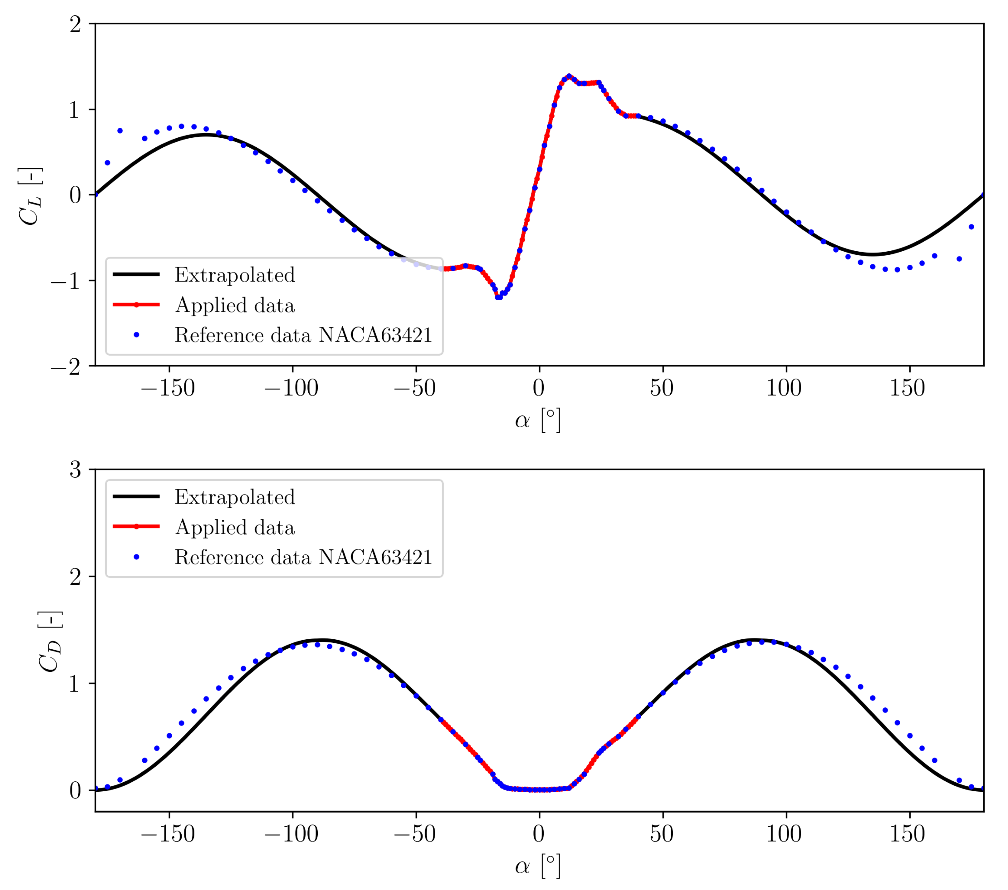
2.2. Blade Specification and Airfoil Data Treatment
2.3. Description of the Test Cases
3. Results and Discussion
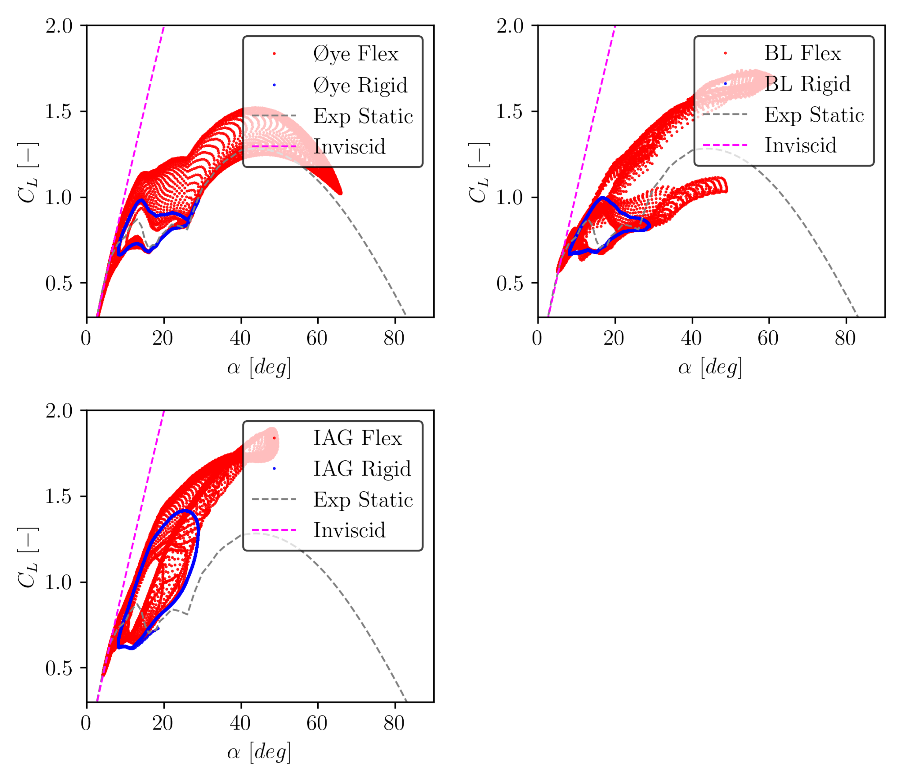
3.1. Comparison of Dynamic Stall Model Against Pitching Airfoil Data
3.2. Dynamic Responses of the Aerodynamic Coefficients
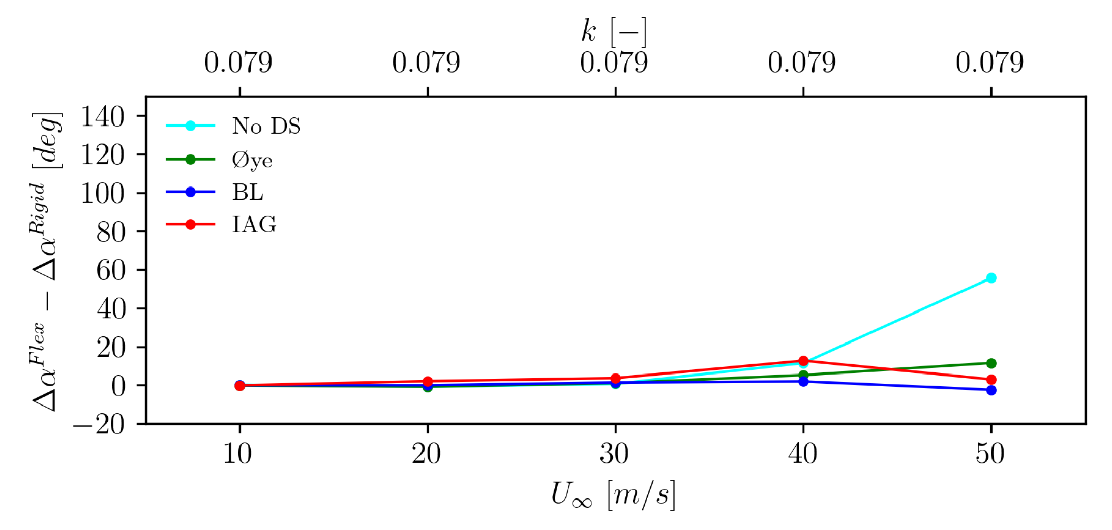
3.2.1. Exposed to a Constant Reduced Frequency
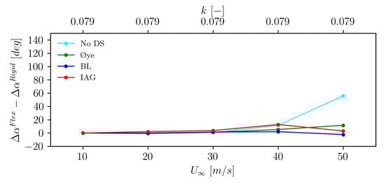
3.2.2. Exposed to Edgewise Resonance Frequency
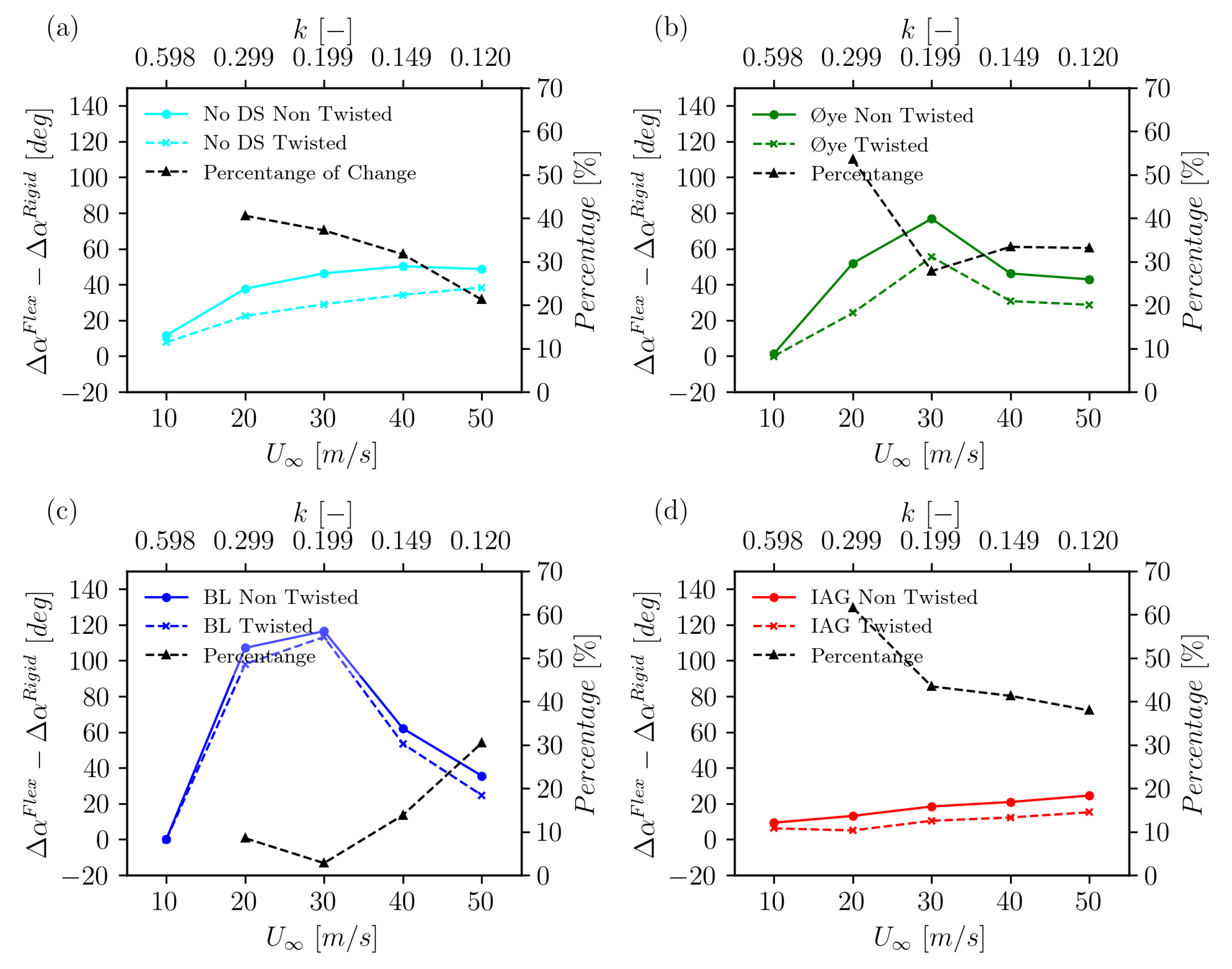
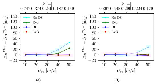
3.3. Angle of Attack Range Variations
3.3.1. Exposed to a Constant Reduced Frequency
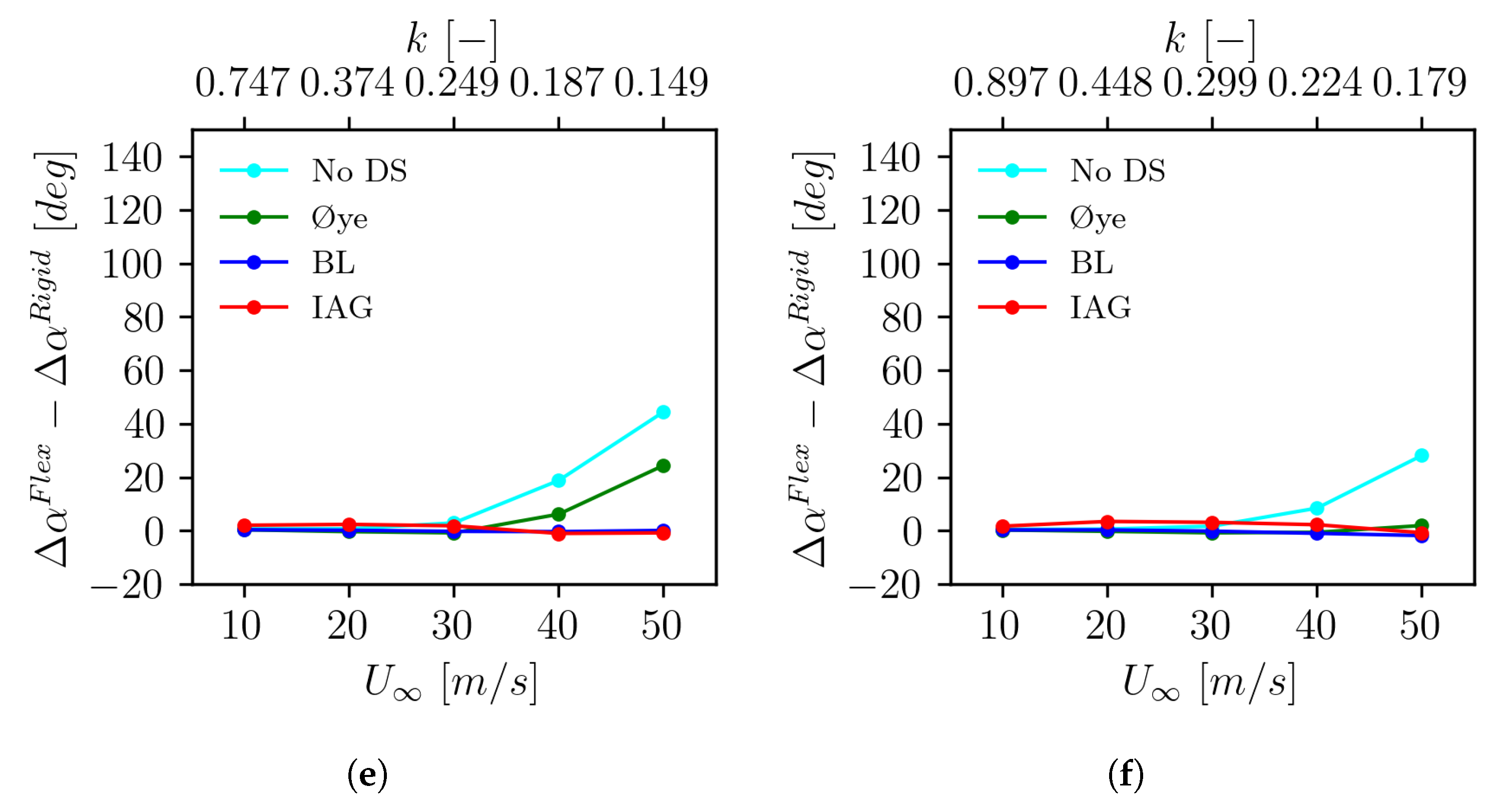
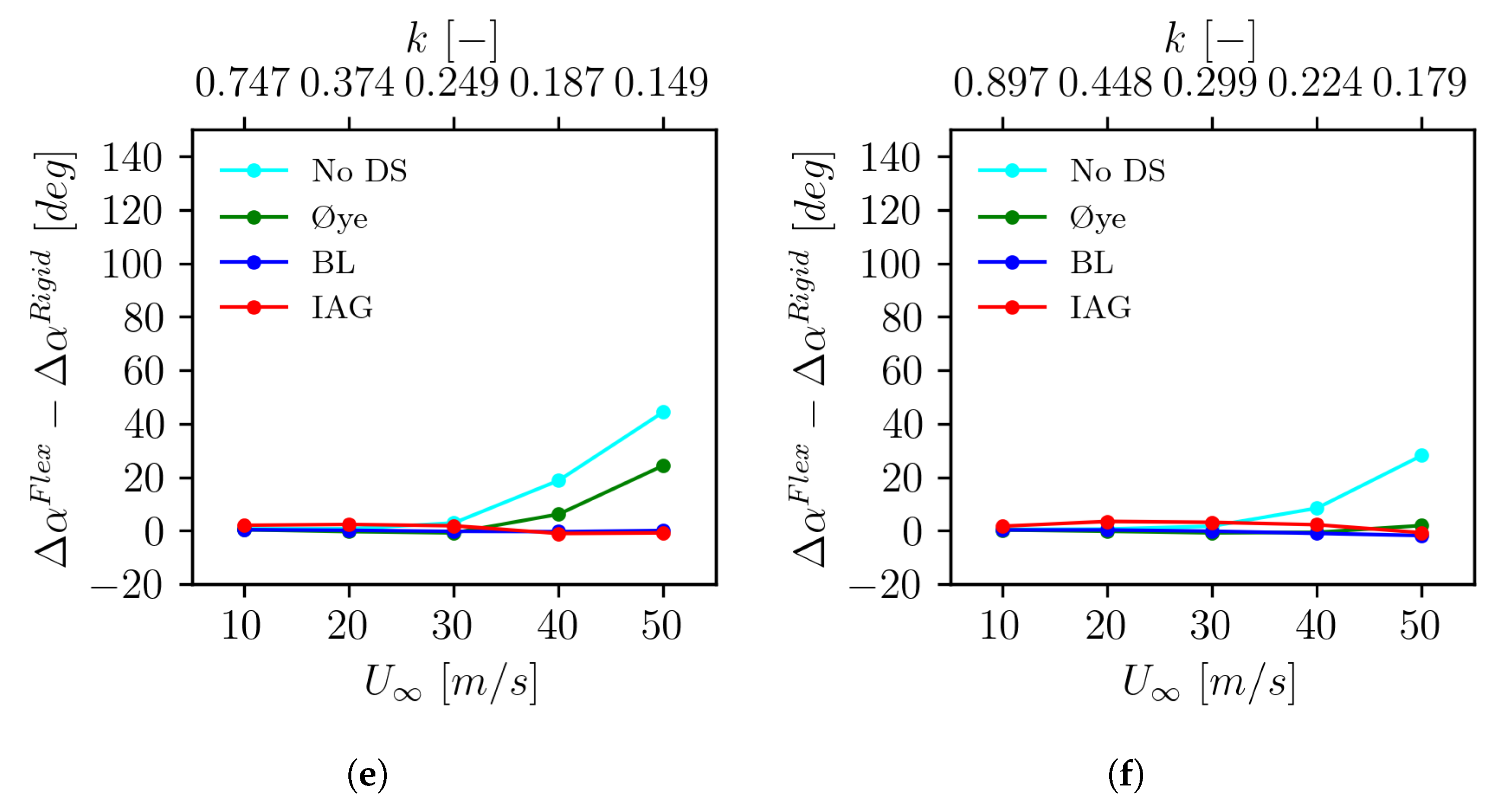
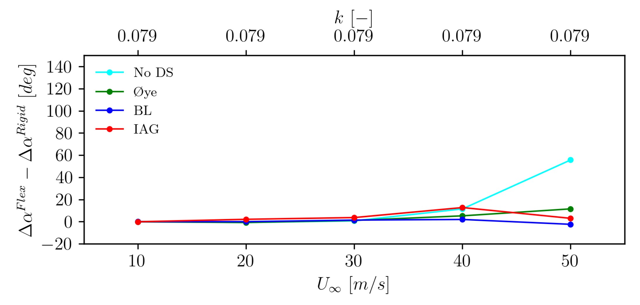
3.3.2. Exposed to Varying Frequencies
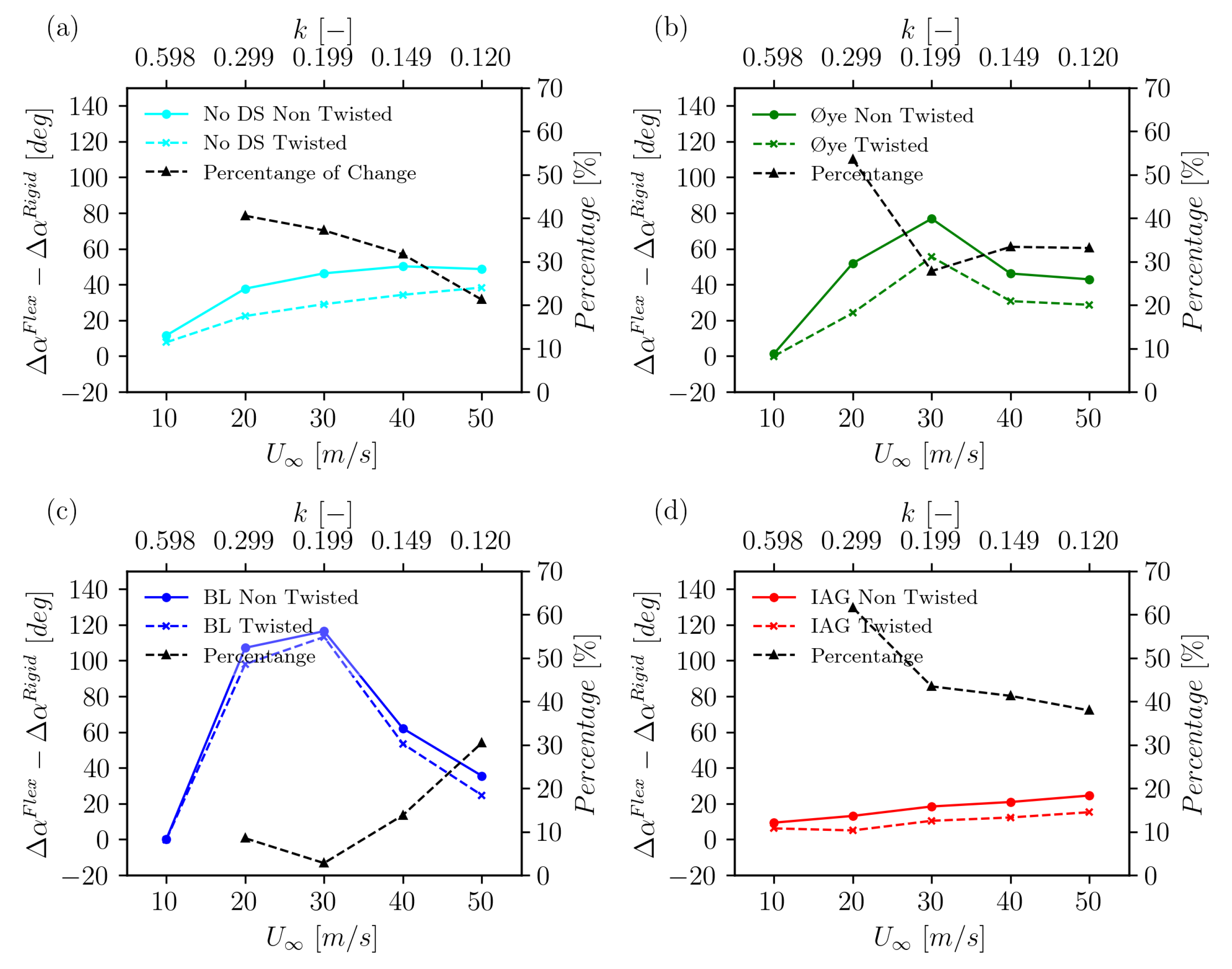
3.4. Twist Angle Distribution Influence
4. Conclusions and Outlook
- It is clear that dynamic stall model plays a strong role in the aeroelastic characteristics. The angle of attack range starts to grow away from the rigid blade case when the excitation frequency is in the range of . It is observed that in this range, the flapwise mode is one source of the excitation, though the strongest cause is related to the edgewise mode at = 0.5 and = 1.0. This can be used as a rough guidance when performing wind turbine design and running load cases, especially in idling or parked conditions.
- The IAG model shows the best agreement with the pitching airfoil data, which represents the rigid conditions. Under the influence of blade flexibility, the IAG model is most sensitive to frequency excitation far from the edgewise resonance. However, when the excitation is close to the edgewise resonance frequency, the IAG model shows a higher aerodynamic damping, which increases the blade stability. This explains the characteristics of this model in generating lower loads for the certain idling cases when self-excitation of the blades enhances the edgewise modes.
- The characteristics of the IAG model for different excitation frequencies are also dependent upon the impulsive contributions. A higher reduced frequency typically increases the impulsive terms.
- Twist distribution is crucial in determining the aeroelastic stability of the blade. Adding a twist distribution (assuming all structural properties are the same) only slightly alters the blade modal frequencies, but affects the operating range of the angle of attack. A more holistic analysis in performing design load cases may be adopted by considering edgewise excitation or known critical instability cases where twist optimization can be performed.
Funding
Institutional Review Board Statement
Informed Consent Statement
Data Availability Statement
Conflicts of Interest
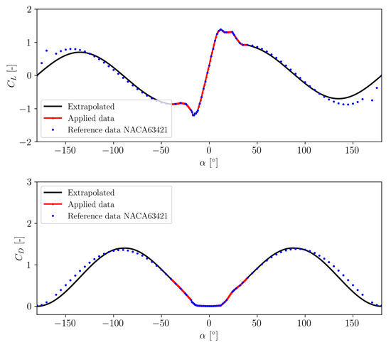
Appendix A. Modified Viterna 360° Extrapolation




Appendix B. Dynamic Polar Characteristics
Appendix B.1. Exposed to Constant Reduced Frequency



Appendix B.2. Exposed to Edgewise Resonance Frequency



References
- Bangga, G. Wind Turbine Aerodynamics Modeling Using CFD Approaches; AIP Publishing LLC: Melville, NY, USA, 2022. [Google Scholar]
- IEC Standard IEC-61400-1:2019; Wind Energy Generation Systems-Part 1: Design Requirements Ed. 4. International Electrotechnical Commission: Geneva, Switzerland, 2019.
- DNV Standard DNV-ST-0437; Loads and Site Conditions for Wind Turbines. Det Norske Veritas: Hovik, Norway, 2021.
- Hopstad, A.L.H.; Argyriadis, K.; Manjock, A.; Goldsmith, J.; Ronold, K.O. DNV GL standard for floating wind turbines. In Proceedings of the International Conference on Offshore Mechanics and Arctic Engineering, Madrid, Spain, 17–22 June 2018; American Society of Mechanical Engineers: New York, NY, USA, 2018; Volume 51975, p. V001T01A020. [Google Scholar]
- Ronold, K.O.; Hansen, V.L.; Godvik, M.; Landet, E.; Jorgensen, E.R.; Hopstad, A.L.H. Guideline for offshore floating wind turbine structures. In Proceedings of the International Conference on Offshore Mechanics and Arctic Engineering, Shanghai, China, 6–11 June 2010; Volume 49118, pp. 381–388. [Google Scholar]
- Ben, B.; Ben, B.; Adarsh, K.; Vikram, K.; Ratnam, C. Damping measurement in composite materials using combined finite element and frequency response method. Int. J. Eng. Sci. Invent 2013, 2, 89–97. [Google Scholar]
- Karpenko, M.; Stosiak, M.; Deptuła, A.; Urbanowicz, K.; Nugaras, J.; Królczyk, G.; Żak, K. Performance evaluation of extruded polystyrene foam for aerospace engineering applications using frequency analyses. Int. J. Adv. Manuf. Technol. 2023, 126, 5515–5526. [Google Scholar] [CrossRef]
- Barkanov, E.; Gassan, J. Frequency response analysis of laminated composite beams. Mech. Compos. Mater. 1995, 30, 484–492. [Google Scholar] [CrossRef]
- Leishman, J.G.; Beddoes, T. A Semi-Empirical model for dynamic stall. J. Am. Helicopter Soc. 1989, 34, 3–17. [Google Scholar]
- Larsen, J.W.; Nielsen, S.R.; Krenk, S. Dynamic stall model for wind turbine airfoils. J. Fluids Struct. 2007, 23, 959–982. [Google Scholar] [CrossRef]
- ØYe, S. Dynamic stall simulated as time lag of separation. In Proceedings of the 4th IEA Symposium on the Aerodynamics of Wind Turbines, Rome, Italy, 20–21 November 1991. [Google Scholar]
- Snel, H. Heuristic modelling of dynamic stall characteristics. In Proceedings of the EWEC-CONFERENCE, Dublin, Ireland, 6 October 1997; pp. 429–433. [Google Scholar]
- Hansen, M.H.; Gaunaa, M.; Madsen, H.A. A Beddoes-Leishman Type Dynamic Stall Model in State-Space and Indicial Formulations; Technical report, Risø-R-1354; Risø National Laboratory: Roskilde, Denmark, 2004. [Google Scholar]
- Bangga, G.; Lutz, T.; Arnold, M. An improved second-order dynamic stall model for wind turbine airfoils. Wind Energy Sci. 2020, 5, 1037–1058. [Google Scholar] [CrossRef]
- Bangga, G.; Parkinson, S.; Collier, W. Development and Validation of the IAG Dynamic Stall Model in State-Space Representation for Wind Turbine Airfoils. Energies 2023, 16, 3994. [Google Scholar] [CrossRef]
- Tran, C.; Petot, D. Semi-empirical model for the dynamic stall of airfoils in view of the application to the calculation of responses of a helicopter blade in forward flight. In Proceedings of the 6th European Rotorcraft Forum, Bristol, UK, 16–19 September 1980. [Google Scholar]
- Tarzanin, F. Prediction of control loads due to blade stall. J. Am. Helicopter Soc. 1972, 17, 33–46. [Google Scholar] [CrossRef]
- Bangga, G.; Carrion, M.; Collier, W.; Parkinson, S. Technical modeling challenges for large idling wind turbines. J. Phys. Conf. Ser. 2023, 2626, 012026. [Google Scholar] [CrossRef]
- Hansen, M.H. Improved modal dynamics of wind turbines to avoid stall-induced vibrations. Wind. Energy Int. J. Prog. Appl. Wind. Power Convers. Technol. 2003, 6, 179–195. [Google Scholar] [CrossRef]
- Wang, K.; Riziotis, V.A.; Voutsinas, S.G. Aeroelastic stability of idling wind turbines. Wind. Energy Sci. 2017, 2, 415–437. [Google Scholar] [CrossRef]
- Chen, C.; Zhou, J.w.; Li, F.; Zhai, E. Stall-induced vibrations analysis and mitigation of a wind turbine rotor at idling state: Theory and experiment. Renew. Energy 2022, 187, 710–727. [Google Scholar] [CrossRef]
- Bangga, G.; Yu, J. Impacts of dynamic stall on engineering model predictions of wind turbines loads under design load cases. J. Phys. Conf. Ser. 2024, 2767, 022007. [Google Scholar] [CrossRef]
- Bidadi, S.; Vijayakumar, G.; Deskos, G.; Sprague, M. Three-Dimensional Aerodynamics and Vortex-Shedding Characteristics of Wind Turbine Airfoils over 360-Degree Angles of Attack. Energies 2024, 17, 4328. [Google Scholar] [CrossRef]
- Jia, Y.; Huang, J.; Liu, Q.; Zhao, Z.; Dong, M. The wind tunnel test research on the aerodynamic stability of wind turbine airfoils. Energy 2024, 294, 130889. [Google Scholar] [CrossRef]
- Chen, C.; Zhou, J.w.; Ruan, Z.; Li, F. Nonlinear vortex-induced vibration and its mitigation of wind turbines in parked conditions. Appl. Math. Model. 2025, 137, 115666. [Google Scholar] [CrossRef]
- DNV. New Model Helps Engineers Predict Wind Turbine Standstill Vibration in Extreme Conditions. 2024. Available online: https://www.dnv.com/article/new-model-helps-engineers-predict-wind-turbine-standstill-vibration-in-extreme-conditions/ (accessed on 27 July 2024).
- Sarkar, S.; Bijl, H. Nonlinear aeroelastic behavior of an oscillating airfoil during stall-induced vibration. J. Fluids Struct. 2008, 24, 757–777. [Google Scholar] [CrossRef]
- Bir, G.; Jonkman, J. Aeroelastic instabilities of large offshore and onshore wind turbines. J. Phys. Conf. Ser. 2007, 75, 012069. [Google Scholar]
- Tibaldi, C.; Kim, T.; Larsen, T.J.; Rasmussen, F.; Rocca Serra, R.d.; Sanz, F. An investigation on wind turbine resonant vibrations. Wind Energy 2016, 19, 847–859. [Google Scholar] [CrossRef]
- Faber, M. A Comparison of Dynamic Stall Models and Their Effect on Instabilities. Master’s Thesis, TU Delft, Delft, The Netherlands, 2018. [Google Scholar]
- Andreou-Serafeim, G. Multi-Disciplinary Design Optimization of Wind Turbine Blades Including Passive Load Control Techniques. Ph.D. Thesis, National Technical University of Athens, Athens, Greece, 2023. [Google Scholar]
- Holierhoek, J.G. Aeroelastic Stability Models. In Handbook of Wind Energy Aerodynamics; Springer: Berlin/Heidelberg, Germany, 2020; pp. 1–45. [Google Scholar]
- Horcas, S.; Sørensen, N.; Zahle, F.; Pirrung, G.; Barlas, T. Vibrations of wind turbine blades in standstill: Mapping the influence of the inflow angles. Phys. Fluids 2022, 34, 054105. [Google Scholar] [CrossRef]
- DNV. Bladed Theory Manual 4.16. 2024. Available online: https://dnvgldocs.azureedge.net/BladedManual/ (accessed on 27 July 2024).
- Collier, W.; Sanz, J.M. Comparison of linear and non-linear blade model predictions in Bladed to measurement data from GE 6MW wind turbine. J. Phys. Conf. Ser. 2016, 753, 082004. [Google Scholar] [CrossRef]
- Bangga, G.; Parkinson, S.; Lutz, T. Utilizing high fidelity data into engineering model calculations for accurate wind turbine performance and load assessments under design load cases. IET Renew. Power Gener. 2023, 17, 2909–2933. [Google Scholar] [CrossRef]
- Schütt, M.; Anstock, F.; Schorbach, V. Progressive structural scaling of a 20 MW two-bladed offshore wind turbine rotor blade examined by finite element analyses. J. Phys. Conf. Ser. 2020, 1618, 052017. [Google Scholar]
- Anstock, F.; Schorbach, V. A control cost criterion for controller tuning of two-and three-bladed 20 MW offshore wind turbines. In J. Phys. Conf. Ser.; 2020; Volume 1618, p. 022062. [Google Scholar]
- Beardsell, A.; Alexandre, A.; Child, B.; Harries, R.; McCowen, D. Beyond OC5–Further advances in floating wind turbine modelling using Bladed. J. Phys. Conf. Ser. 2018, 1102, 012023. [Google Scholar]
- Zhang, Z.; Yang, Y.; Qin, Z.; Bashir, M.; Cao, Y.; Yu, J.; Liu, Q.; Li, C.; Li, S. Investigation of dynamic stall models on the aeroelastic responses of a floating offshore wind turbine. Renew. Energy 2024, 237, 121778. [Google Scholar] [CrossRef]
- Ramsay, R.; Hoffman, M.; Gregorek, G. Effects of Grit Roughness and Pitch Oscillations on the S809 Airfoil; Technical report; National Renewable Energy Lab.: Golden, CO, USA, 1995. [Google Scholar]
- Gaertner, E.; Rinker, J.; Sethuraman, L.; Zahle, F.; Anderson, B.; Barter, G.; Abbas, N.; Meng, F.; Bortolotti, P.; Skrzypinski, W.; et al. Definition of the IEA 15-Megawatt Offshore Reference Wind Turbine; Technical report; National Renewable Energy Laboratory (NREL): Golden, CO, USA, 2020. [Google Scholar]
- Viterna, L.A.; Corrigan, R.D. Fixed pitch rotor performance of large horizontal axis wind turbines. In Large Horizontal-Axis Wind Turbines; NASA Technical Reports; NASA Lewis Research Center: Cleveland, OH, USA, 1982. [Google Scholar]
- Bangga, G. Numerical studies on dynamic stall characteristics of a wind turbine airfoil. J. Mech. Sci. Technol. 2019, 33, 1257–1262. [Google Scholar] [CrossRef]
- Bangga, G.; Hutani, S.; Heramarwan, H. The Effects of Airfoil Thickness on Dynamic Stall Characteristics of High-Solidity Vertical Axis Wind Turbines. Adv. Theory Simulations 2021, 4, 2000204. [Google Scholar] [CrossRef]
- Wang, S.; Ingham, D.B.; Ma, L.; Pourkashanian, M.; Tao, Z. Numerical investigations on dynamic stall of low Reynolds number flow around oscillating airfoils. Comput. Fluids 2010, 39, 1529–1541. [Google Scholar] [CrossRef]
- Leishman, J. Dynamic stall experiments on the NACA 23012 aerofoil. Exp. Fluids 1990, 9, 49–58. [Google Scholar] [CrossRef]
- McCroskey, W.J.; McAlister, K.; Carr, L.; Pucci, S.; Lambert, O.; Indergrand, R. Dynamic stall on advanced airfoil sections. J. Am. Helicopter Soc. 1981, 26, 40–50. [Google Scholar] [CrossRef]
- Johnson, W.; Ham, N.D. On the mechanism of dynamic stall. J. Am. Helicopter Soc. 1972, 17, 36–45. [Google Scholar] [CrossRef]
- Ekaterinaris, J.A.; Platzer, M.F. Computational prediction of airfoil dynamic stall. Prog. Aerosp. Sci. 1998, 33, 759–846. [Google Scholar] [CrossRef]
















| No | Mode Name | Modal Frequency [Hz] |
|---|---|---|
| 1 | 1st flapwise mode | 0.508 |
| 2 | 1st edgewise mode | 0.687 |
| 3 | 2nd flapwise mode | 1.515 |
| 4 | 2nd edgewise mode | 2.059 |
| 5 | 3rd flapwise mode | 3.073 |
| 6 | 3rd edgewise mode | 4.035 |
| 7 | 1st torsional mode | 4.485 |
| No | Mode Name | Modal Frequency—Zero Twist [Hz] | Modal Frequency—Twisted [Hz] |
|---|---|---|---|
| 1 | 1st flapwise mode | 0.508 | 0.509 |
| 2 | 1st edgewise mode | 0.687 | 0.685 |
| 3 | 2nd flapwise mode | 1.515 | 1.516 |
| 4 | 2nd edgewise mode | 2.059 | 2.054 |
| 5 | 3rd flapwise mode | 3.073 | 3.078 |
| 6 | 3rd edgewise mode | 4.035 | 4.028 |
| 7 | 1st torsional mode | 4.485 | 4.489 |
Disclaimer/Publisher’s Note: The statements, opinions and data contained in all publications are solely those of the individual author(s) and contributor(s) and not of MDPI and/or the editor(s). MDPI and/or the editor(s) disclaim responsibility for any injury to people or property resulting from any ideas, methods, instructions or products referred to in the content. |
© 2025 by the author. Licensee MDPI, Basel, Switzerland. This article is an open access article distributed under the terms and conditions of the Creative Commons Attribution (CC BY) license (https://creativecommons.org/licenses/by/4.0/).
Share and Cite
Bangga, G. Sensitivity of Dynamic Stall Models to Dynamic Excitation on Large Flexible Wind Turbine Blades in Edgewise Vibrations. Energies 2025, 18, 470. https://doi.org/10.3390/en18030470
Bangga G. Sensitivity of Dynamic Stall Models to Dynamic Excitation on Large Flexible Wind Turbine Blades in Edgewise Vibrations. Energies. 2025; 18(3):470. https://doi.org/10.3390/en18030470
Chicago/Turabian StyleBangga, Galih. 2025. "Sensitivity of Dynamic Stall Models to Dynamic Excitation on Large Flexible Wind Turbine Blades in Edgewise Vibrations" Energies 18, no. 3: 470. https://doi.org/10.3390/en18030470
APA StyleBangga, G. (2025). Sensitivity of Dynamic Stall Models to Dynamic Excitation on Large Flexible Wind Turbine Blades in Edgewise Vibrations. Energies, 18(3), 470. https://doi.org/10.3390/en18030470
