Characteristics of High-Temperature Torrefied Wood Pellets for Use in a Blast Furnace Injection System
Abstract
1. Introduction
2. Materials and Methods
2.1. Sample Preparation
2.2. Chemical Analysis
2.3. Particle Analysis
2.4. Fluidization and Conveying Properties
- (1)
- While both the state at rest and the fluidized state are characterized by homogeneity regarding the bed porosity and resistance to a gas stream, the phase until Um,f is reached is considered inhomogeneous and transitionary.
- (2)
- Gas velocities approaching Um,f should result in increasing homogeneity; otherwise, the risk of randomly encountering troubles in fluidization cannot be ruled out.
- (3)
- Lower pressure-drop fluctuations signify a higher degree of homogeneity within the powder and gas mixture.
- (4)
- The fluidization graph should either signify the pressure drop value encountered most often per gas velocity or averaged values; however, a certain level of congruence should be observable. Both procedures are influenced by the operator, but the former is less influenced by spontaneous semi-fluidization.
- (5)
- During fluidization, additional adhesive forces must be overcome, which are not relevant in de-fluidization [48]. Thus, the pressure drop signal at decreasing gas velocities from Um,f should not be higher than at increasing gas velocities. Contrary observations would signify a faulty fluidization behavior—such as blow-throughs—up to Um,f.
- The pressure drop stopped increasing with increases in superficial gas velocity;
- The bed height stopped increasing with increases in superficial gas velocity;
- The pressure drop did not fluctuate anymore according to (1) and (3).
3. Results
3.1. Chemical Compositions
3.2. Bulk and Particle Characteristics
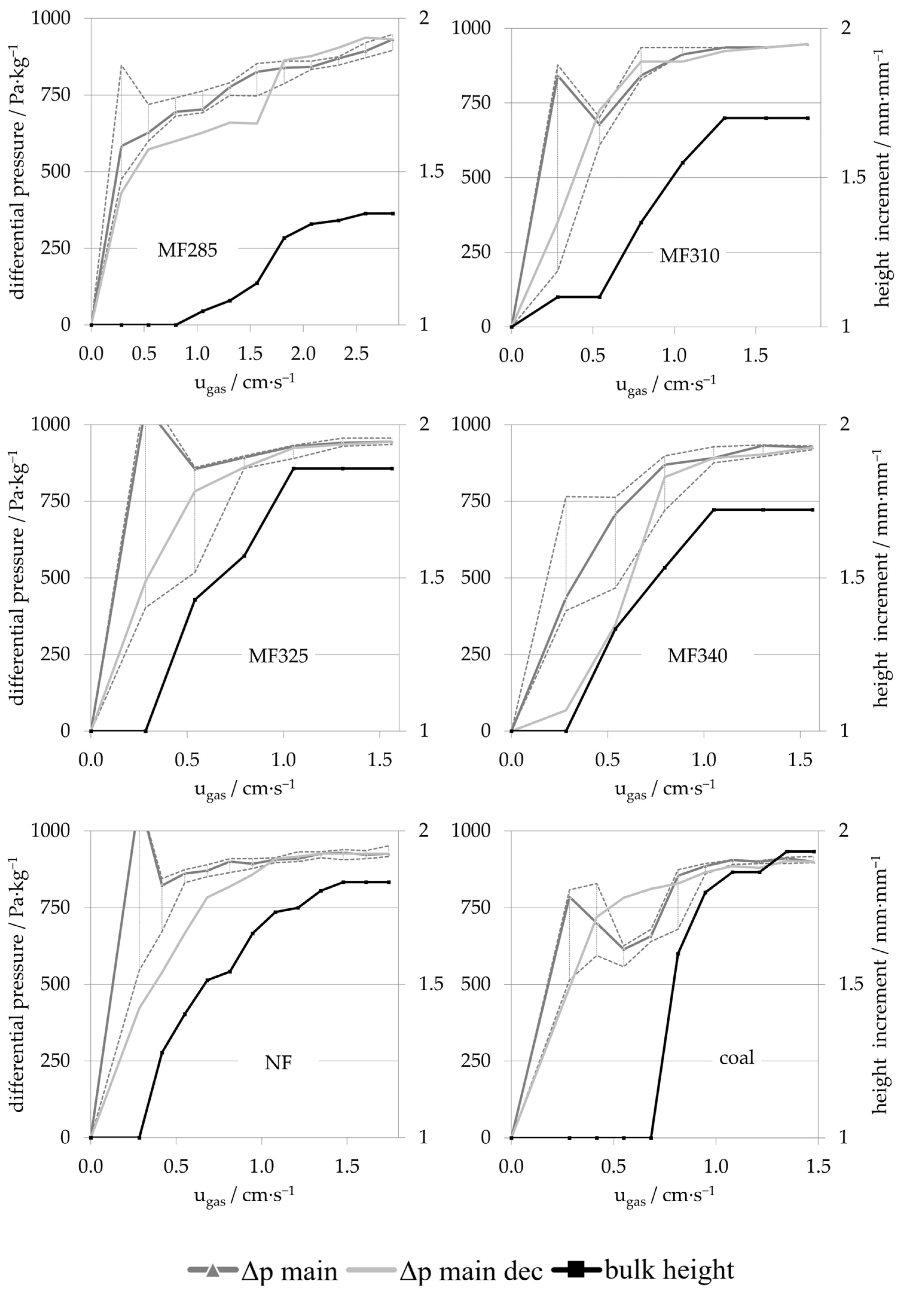
3.3. Fluidization and Conveying Results
4. Discussion of the Minimal Torrefaction Temperature
4.1. Implications of Torrefaction Temperature on Usage in PCI System
4.2. Implications of Torrefaction Temperature on Usage in Blast Furnace
5. Conclusions
Author Contributions
Funding
Data Availability Statement
Conflicts of Interest
References
- Sun, Y.; Tian, S.; Ciais, P.; Zeng, Z.; Meng, J.; Zhang, Z. Decarbonising the Iron and Steel Sector for a 2 °C Target Using Inherent Waste Streams. Nat. Commun. 2022, 13, 297. [Google Scholar] [CrossRef] [PubMed]
- Fan, Z.; Friedmann, S.J. Low-Carbon Production of Iron and Steel: Technology Options, Economic Assessment, and Policy. Joule 2021, 5, 829–862. [Google Scholar] [CrossRef]
- Holappa, L. A General Vision for Reduction of Energy Consumption and CO2 Emissions from the Steel Industry. Metals 2020, 10, 1117. [Google Scholar] [CrossRef]
- EUROFER Low Carbon Roadmap—Pathways to a CO2-Neutral European Steel Industry. Available online: https://www.eurofer.eu/assets/Uploads/EUROFER-Low-Carbon-Roadmap-Pathways-to-a-CO2-neutral-European-Steel-Industry.pdf (accessed on 20 August 2024).
- Hartbrich, I. H2 Green Steel Baut Das Elektrisierte Stahlwerk. VDI Nachrichten 2023. Available online: https://www.vdi-nachrichten.com/technik/werkstoffe/h2-green-steel-baut-das-elektrisierte-stahlwerk/ (accessed on 20 December 2024).
- ArcelorMittal Hamburg H2—Working Towards the Production of Zero-Carbon Emissions Steel with Hydrogen. Available online: https://corporate.arcelormittal.com/climate-action/decarbonisation-technologies/hamburg-h2-working-towards-the-production-of-zero-carbon-emissions-steel-with-hydrogen (accessed on 25 October 2024).
- Parkes, R. Green Hydrogen Is Too Expensive to Use in Our EU Steel Mills, Even Though We’ve Secured Billions in Subsidies; Hydrogen Insight. Available online: https://www.hydrogeninsight.com/industrial/green-hydrogen-is-too-expensive-to-use-in-our-eu-steel-mills-even-though-weve-secured-billions-in-subsidies/2-1-1601199?zephr_sso_ott=8f3mAP (accessed on 10 October 2024).
- Wachsmuth, J.; Aydemir, A.; Döscher, H.; Eckstein, J. The Potential of Hydrogen for Decarbonising EU Industry; Scientific Foresight Unit (STOA). 2021. Available online: https://www.europarl.europa.eu/RegData/etudes/STUD/2021/697199/EPRS_STU(2021)697199_EN.pdf (accessed on 20 December 2024).
- Rystad-Energy European Steel Mills Waver on Decarbonization Despite Promise of Public Funding 2024. Available online: https://www.rystadenergy.com/news/european-steel-mills-waver-on-decarbonization-despite-public-funding (accessed on 20 December 2024).
- Lopez, G.; Galimova, T.; Fasihi, M.; Bogdanov, D.; Breyer, C. Towards Defossilised Steel: Supply Chain Options for a Green European Steel Industry. Energy 2023, 273, 127236. [Google Scholar] [CrossRef]
- Ito, A.; Langefeld, B.; Goetz, N. The Future of Steelmaking—How the European Steel Industry Can Achieve Carbon Neutrality. FOCUS Roland Berg. 2020. Available online: https://www.rolandberger.com/en/Insights/Publications/Europe%27s-steel-industry-at-a-crossroads.html (accessed on 20 December 2024).
- Farrokh, N.T.; Suopajaervi, H.; Mattila, O.; Sulasalmi, P.; Fabritius, T. Characteristics of Wood-Based Biochars for Pulverized Coal Injection. Fuel 2020, 265, 117017. [Google Scholar] [CrossRef]
- Safarian, S. To What Extent Could Biochar Replace Coal and Coke in Steel Industries? Fuel 2023, 339, 127401. [Google Scholar] [CrossRef]
- Babich, A. Blast Furnace Injection for Minimizing the Coke Rate and CO2 Emissions. Ironmak. Steelmak. 2021, 48, 728–741. [Google Scholar] [CrossRef]
- Liu, Y.; Shen, Y. Modelling and Optimisation of Biomass Injection in Ironmaking Blast Furnaces. Prog. Energy Combust. Sci. 2021, 87, 100952. [Google Scholar] [CrossRef]
- Feliciano-Bruzual, C. Charcoal Injection in Blast Furnaces (Bio-PCI): CO2 Reduction Potential and Economic Prospects. J. Mater. Res. Technol. 2014, 3, 233–243. [Google Scholar] [CrossRef]
- Lei, T.; Wang, D.; Yu, X.; Ma, S.; Zhao, W.; Cui, C.; Meng, J.; Tao, S.; Guan, D. Global Iron and Steel Plant CO2 Emissions and Carbon-Neutrality Pathways. Nature 2023, 622, 514–520. [Google Scholar] [CrossRef]
- Straka, T.J. Charcoal as a Fuel in the Ironmaking and Smelting Industries. Adv. Hist. Stud. 2017, 06, 56–64. [Google Scholar] [CrossRef]
- Wakelin, D.H.; Rickets, J.A. The Nature of Ironmaking. In Materials Science, Engineering; The AISE Steel Foundation: Pittsburgh, PA, USA, 1999. [Google Scholar]
- Fremdling, R. European Iron Industry from the Late 17th to the Middle of the 19th Century—The Struggle between an ‘advanced Organic Economy’ (Based on Wood) and a ‘mineral-Based Energy Economy’ (Based on Coal). In Internationale Studien zur Geschichte von Wirtschaft und Gesellschaft; Hardach, K., Ed.; P.I.E.-Peter Lang: Frankfurt am Main, Germany, 2012; pp. 211–227. [Google Scholar]
- EUROFER European Steel in Figures 2023. Available online: https://www.eurofer.eu/assets/publications/brochures-booklets-and-factsheets/european-steel-in-figures-2023/FINAL_EUROFER_Steel-in-Figures_2023.pdf (accessed on 20 August 2024).
- Antal, M.J.; Croiset, E.; Dai, X.; deAlmeida, C.E.; Mok, W.S.-L.; Norberg, N.; Richard, J.-R.; Majthoub, M.A. High-Yield Biomass Charcoal. Energy Fuels 1996, 110, 652–658. [Google Scholar] [CrossRef]
- Cocco, R.; Chew, J.W. 50 Years of Geldart Classification. Powder Technol. 2023, 428, 118861. [Google Scholar] [CrossRef]
- Dang, H.; Wang, G.; Wang, C.; Ning, X.; Zhang, J.; Mao, X.; Zhang, N.; Wang, C. Comprehensive Study on the Feasibility of Pyrolysis Biomass Char Applied to Blast Furnace Injection and Tuyere Simulation Combustion. ACS Omega 2021, 6, 20166–20180. [Google Scholar] [CrossRef]
- Cameron, I.; Sukhram, M.; Lefebvre, K.; Davenport, W. Blast Furnace Ironmaking: Analysis, Control, and Optimization; Elsevier: Amsterdam, The Netherlands, 2021; ISBN 978-0-12-814227-1. [Google Scholar]
- Sundqvist Ökvist, L.; Lundgren, M. Experiences of Bio-Coal Applications in the Blast Furnace Process—Opportunities and Limitations. Minerals 2021, 11, 863. [Google Scholar] [CrossRef]
- Anand, A.; Gautam, S.; Ram, L.C. Feedstock and Pyrolysis Conditions Affect Suitability of Biochar for Various Sustainable Energy and Environmental Applications. J. Anal. Appl. Pyrolysis 2023, 170, 105881. [Google Scholar] [CrossRef]
- Wei, R.; Zhang, L.; Cang, D.; Li, J.; Li, X.; Xu, C.C. Current Status and Potential of Biomass Utilization in Ferrous Metallurgical Industry. Renew. Sustain. Energy Rev. 2017, 68, 511–524. [Google Scholar] [CrossRef]
- Geldart, D. The Effect of Particle Size and Size Distribution on the Behaviour of Gas-Fluidised Beds. Powder Technol. 1972, 6, 201–215. [Google Scholar] [CrossRef]
- Hilgraf, P. Pneumatische Förderung: Grundlagen, Auslegung Und Betrieb von Anlagen; Springer: Berlin/Heidelberg, Germany, 2019; ISBN 978-3-662-58407-1. [Google Scholar]
- Pachón-Morales, J.; Colin, J.; Pierre, F.; Puel, F.; Perré, P. Effect of Torrefaction Intensity on the Flow Properties of Lignocellulosic Biomass Powders. Biomass Bioenergy 2019, 120, 301–312. [Google Scholar] [CrossRef]
- Schott, R. Optimization Strategies for Pulverized Coal Injection into the Blast Furnace. Stahl Eisen 2016, 136, 39–47. [Google Scholar]
- Trattner, K. ACB—A Brief Introduction. Proceedings of 19th European Biomass Conference & Exhibition, Berlin, Germany, 6–10 June 2011; pp. 1892–1893. [Google Scholar]
- ISO 18134-3:2023; Solid Biofuels—Determination of Moisture Content—Part 3: Moisture in General Analysis Sample. ISO: Geneva, Switzerland, 2023.
- BS EN ISO 18122:2022; Solid Biofuels. Determination of Ash Content. ISO: Geneva, Switzerland, 2022.
- ISO 18123:2023; Solid Biofuels—Determination of Volatile Matter. ISO: Geneva, Switzerland, 2023.
- Chen, W.-H.; Du, S.-W.; Tsai, C.-H.; Wang, Z.-Y. Torrefied Biomasses in a Drop Tube Furnace to Evaluate Their Utility in Blast Furnaces. Bioresour. Technol. 2012, 111, 433–438. [Google Scholar] [CrossRef] [PubMed]
- Du, S.-W.; Chen, W.-H.; Lucas, J.A. Pretreatment of Biomass by Torrefaction and Carbonization for Coal Blend Used in Pulverized Coal Injection. Bioresour. Technol. 2014, 161, 333–339. [Google Scholar] [CrossRef] [PubMed]
- Shinotake, A. Reduction Potential Evaluation Index of Various Reducing Agents in Blast Furnace. ISIJ Int. 2014, 54, 1546–1551. [Google Scholar] [CrossRef][Green Version]
- Campos, A.M.A.; Barbosa, J.P.E.; Assis, P.S. Blast Furnace’s Replacement Rate Calculation for Biomasses Based on Chemical and Thermal Properties. Int. J. Adv. Eng. Res. Sci. 2021, 8, 125–133. [Google Scholar] [CrossRef]
- COALTECH PTY LTY Calculation of Replacement Ratio 2005. Available online: https://www.coaltech.com.au/LinkedDocuments/Replacement%20Ratio.pdf (accessed on 20 December 2024).
- Deutsch, R.; Kienzl, N.; Krammer, G.; Stocker, H.; Strasser, C. Carbonized Wood as a Blast Furnace Pulverized Coal Substitute: A Techno-Economic Assessment. Energy 2024, 313, 133955. [Google Scholar] [CrossRef]
- ISO 60:2023; Plastics—Determination of Apparent Density of Material That Can Be Poured from a Specified Funnel. ISO: Geneva, Switzerland, 2023.
- ISO 4324:1977; Surface Active Agents—Powders and Granules—Measurement of the Angle of Repose. ISO: Geneva, Switzerland, 1977.
- ISO/TS 21596:2021; Solid Biofuels—Determination of Grindability — Hardgrove Type Method for Thermally Treated Biomass Fuels. ISO: Geneva, Switzerland, 2021.
- Deutsch, R.; Krammer, G.; Strasser, C.; Kienzl, N. Effects of Varying Comminution Techniques and Pyrolysis Temperatures on the Particle Shape of Pyrolyzed Wood Powders and Its Implication on Fluidisation Behaviour. In Proceedings of the 29th European Biomass Conference and Exhibition, EUBCE, Marseille, France, 26–29 of April 2021; pp. 1053–1056. [Google Scholar]
- Ng, K.W.; Giroux, L.; Todoschuk, T. Value-in-Use of Biocarbon Fuel for Direct Injection in Blast Furnace Ironmaking. Ironmak. Steelmak. 2018, 45, 406–411. [Google Scholar] [CrossRef]
- Kamranian Marnani, A.; Bück, A.; Antonyuk, S.; van Wachem, B.; Thévenin, D.; Tomas, J. The Effect of the Presence of Very Cohesive Geldart C Ultra-Fine Particles on the Fluidization of Geldart A Fine Particle Beds. Processes 2019, 7, 35. [Google Scholar] [CrossRef]
- Chen, D.; Li, Y.; Cen, K.; Luo, M.; Li, H.; Lu, B. Pyrolysis Polygeneration of Poplar Wood: Effect of Heating Rate and Pyrolysis Temperature. Bioresour. Technol. 2016, 218, 780–788. [Google Scholar] [CrossRef]
- Carrasco, S.; Silva, J.; Pino-Cortés, E.; Gómez, J.; Vallejo, F.; Díaz-Robles, L.; Campos, V.; Cubillos, F.; Pelz, S.; Paczkowski, S.; et al. Experimental Study on Hydrothermal Carbonization of Lignocellulosic Biomass with Magnesium Chloride for Solid Fuel Production. Processes 2020, 8, 444. [Google Scholar] [CrossRef]
- Babich, A.; Senk, D. Biomass Use in the Steel Industry: Back to the Future? Stahl Eisen 2013, 133, 57–67. [Google Scholar]
- Geldart, D.; Abdullah, E.C.; Hassanpour, A.; Nwoke, L.C.; Wouters, I. Characterization of Powder Flowability Using Measurement of Angle of Repose. China Particuology 2006, 4, 104–107. [Google Scholar] [CrossRef]
- Saluja, G.; Mallick, S.S.; Karmakar, S. Predicting Pneumatic Conveyability and Flowability of Fly Ash Using Bulk Property Characterization. Part. Sci. Technol. 2023, 42, 482–494. [Google Scholar] [CrossRef]
- Stieß, M. Mechanische Verfahrenstechnik 1; Springer: Berlin/Heidelberg, Germany, 1995; ISBN 978-3-662-08600-1. [Google Scholar]
- Liu, B.; Zhang, X.; Wang, L.; Hong, H. Fluidization of Non-Spherical Particles: Sphericity, Zingg Factor and Other Fluidization Parameters. Particuology 2008, 6, 125–129. [Google Scholar] [CrossRef]
- Mościcki, K.J.; Niedźwiecki, Ł.; Owczarek, P.; Wnukowski, M. Commoditization of Biomass: Dry Torrefaction and Pelletization—A Review. J. Power Technol. 2014, 94, 233–249. [Google Scholar]
- Huang, X.; Ng, K.W.; Giroux, L. Grindability of Biocarbon and Coal Blends in Rolling Mill. Int. J. Coal Prep. Util. 2020, 42, 1651–1663. [Google Scholar] [CrossRef]
- Schulze, D. Ring Shear Tester RST-01.Pc; Dr. Dietmar Schulze Schüttgutmesstechnik: Wolfenbüttel, Germany, 2018. [Google Scholar]
- Ng, K.W.; Huang, X.; Giroux, L.; Todoschuk, T. Grindability of Solid Biocarbon. In Proceedings of the AISTech2019 Proceedings of the Iron and Steel Technology Conference, Pittsburgh, PA, USA, 6–9 May 2019; AIST: Pittsburgh, PA, USA, 2019. [Google Scholar]
- Manouchehrinejad, M.; van Giesen, I.; Mani, S. Grindability of Torrefied Wood Chips and Wood Pellets. Fuel Process. Technol. 2018, 182, 45–55. [Google Scholar] [CrossRef]
- Bridgeman, T.G.; Jones, J.M.; Williams, A.; Waldron, D.J. An Investigation of the Grindability of Two Torrefied Energy Crops. Fuel 2010, 89, 3911–3918. [Google Scholar] [CrossRef]
- Tontu, M. An Investigation of Performance Characteristics and Energetic Efficiency of Vertical Roller Coal Mill. Int. J. Coal Prep. Util. 2020, 41, 248–262. [Google Scholar] [CrossRef]
- Mathieson, J.G.; Rogers, H.; Somerville, M.A.; Jahanshahi, S. Reducing Net CO2 Emissions Using Charcoal as a Blast Furnace Tuyere Injectant. ISIJ Int. 2012, 52, 1489–1496. [Google Scholar] [CrossRef]
- Suopajärvi, H.; Umeki, K.; Mousa, E.; Hedayati, A.; Romar, H.; Kemppainen, A.; Wang, C.; Phounglamcheik, A.; Tuomikoski, S.; Norberg, N.; et al. Use of Biomass in Integrated Steelmaking—Status Quo, Future Needs and Comparison to Other Low-CO2 Steel Production Technologies. Appl. Energy 2018, 213, 384–407. [Google Scholar] [CrossRef]
- Guo, H.; Su, B.; Zhang, J.; Zhu, M.; Chang, J. Extracting the Core Indicators of Pulverized Coal for Blast Furnace Injection Based on Principal Component Analysis. Int. J. Miner. Metall. Mater. 2013, 20, 246–252. [Google Scholar] [CrossRef]
- Gil, M.V.; García, R.; Pevida, C.; Rubiera, F. Grindability and Combustion Behavior of Coal and Torrefied Biomass Blends. Bioresour. Technol. 2015, 191, 205–212. [Google Scholar] [CrossRef] [PubMed]
- Wu, L.; Paterson, N.; Dugwell, D.R.; Kandiyoti, R. Simulation of Blast-Furnace Tuyere and Raceway Conditions in a Wire Mesh Reactor: Extents of Combustion and Gasification. Energy Fuels 2007, 21, 2325–2334. [Google Scholar] [CrossRef]
- Agrawal, A.; Tiwari, R.K.; Kumar, S.; Chatterjee, R.; Singh, B.K.; Singh, R.S.; Tripathi, V.R.; Kundu, S.; Padmapal; Ramna, R.V.; et al. Technological Advancements in Evaluating the Performance of the Pulverized Coal Injection through Tuyeres in Blast Furnace. Metall. Res. Technol. 2020, 117, 611. [Google Scholar] [CrossRef]
- Babich, A.; Senk, D.; Fernandez, M. Charcoal Behaviour by Its Injection into the Modern Blast Furnace. ISIJ Int. 2010, 50, 81–88. [Google Scholar] [CrossRef]
- Mathieson, J.G.; Somerville, M.A.; Deev, A.; Jahanshahi, S. Utilization of Biomass as an Alternative Fuel in Ironmaking. In Iron Ore; Elsevier: Amsterdam, The Netherlands, 2015; pp. 581–613. [Google Scholar]
- Babich, A.; Arnsfeld, S.; Kowitwarangkul, P.; Senk, D. Biomass Use in Ironmaking: Options and Limits. In Proceedings of the 6th International Congress on the Science and Technology of Ironmaking, Rio de Janiero, Brazil, 14–18 October 2012. [Google Scholar]
- Machado, J.G.M.d.S.; Osório, E.; Vilela, A.C.F. Reactivity of Brazilian Coal, Charcoal, Imported Coal and Blends Aiming to Their Injection into Blast Furnaces. Mater. Res. 2010, 13, 287–292. [Google Scholar] [CrossRef]
- Mathieson, J.G.; Somerville, H.R.M.; Ridgeway, P.; Jahanshahi, S. Use of Biomass in the Iron and Steel Industry—An Australian Perspective. In Proceedings of the 6th European Coke and Ironmaking Congress, Duesseldorf, Germany, 27 June–1 July 2011. [Google Scholar]
- Pohlmann, J.G.; Borrego, A.G.; Osório, E.; Diez, M.A.; Vilela, A.C.F. Combustion of Eucalyptus Charcoals and Coals of Similar Volatile Yields Aiming at Blast Furnace Injection in a CO2 Mitigation Environment. J. Clean. Prod. 2016, 129, 1–11. [Google Scholar] [CrossRef]
- Arnsfeld, S.; Rodriguez Correa, C.; Choi, S.-M.; Babich, A.; Senk, D.; Gudenau, H.-W. Investigations of the Reaction Kinetics of Torrefied Biomass for Metallurgical Applications. In Proceedings of the 6th International Congress on the Science and Technology of Ironmaking, Rio de Janiero, Brazil, 14–18 October 2012. [Google Scholar]
- Bortz, S. Coal Injection into the Blast Furnace. Technical Steel Research, Report EUR 8544 EN. Comm. Eur. Communities. 1983. Available online: https://aei.pitt.edu/44147/ (accessed on 20 December 2024).
- Suopajärvi, H.; Kemppainen, A.; Haapakangas, J.; Fabritius, T. Extensive Review of the Opportunities to Use Biomass-Based Fuels in Iron and Steelmaking Processes. J. Clean. Prod. 2017, 148, 709–734. [Google Scholar] [CrossRef]






| Pellets | MF285 | MF310 | MF325 | MF340 | NF | PC | |
|---|---|---|---|---|---|---|---|
| T peak/°C | - | 285 | 310 | 325 | 340 | 320–340 * | - |
| Moisture/%mass | 7 | 2 | 2 | 2 | 3 | 2 | 1 |
| Ash/%mass,db | 2 | 3 | 4 | 5 | 5 | 5 | 7 |
| Volatiles/%mass,db | 82 | 64 | 53 | 42 | 41 | 40 | 20 |
| Fixed Carbon/%mass,db | 16 | 33 | 43 | 53 | 53 | 55 | 73 |
| Fuel Ratio/- | 0.20 | 0.52 | 0.83 | 1.28 | 1.3 | 1.4 | 3.65 |
| yieldsolid/%mass | - | 65 | 50 | 42 | 38 | - ** | - |
| yieldsolid,db/%mass | - | 70 | 54 | 45 | 41 | - ** | - |
| yieldsolid,daf/%mass | - | 70 | 53 | 44 | 40 | - ** | - |
| Pellets | MF285 | MF310 | MF325 | MF340 | NF | PC | |
|---|---|---|---|---|---|---|---|
| C/%mass,db | 48.7 | 59.5 | 64.3 | 68.2 | 69.7 | 68.6 | 78.8 |
| H/%mass,db | 6.0 | 5.2 | 4.8 | 3.9 | 3.6 | 4.4 | 3.8 |
| N/%mass,db | 0.2 | 0.2 | 0.3 | 0.3 | 0.3 | 0.3 | 2.2 |
| O/%mass,db | 42.9 | 32.2 | 26.8 | 23.0 | 21.2 | 21.3 | 8.2 |
| RePdb/tdb−1 | 98.2 | 134.5 | 151.0 | 161.3 | 165.5 | 166.3 | 205.6 |
| RePdaf/tdaf−1 | 100.4 | 138.4 | 157.2 | 169.1 | 174.8 | 175.9 | 221.1 |
| MF285 | MF310 | MF325 | MF340 | NF | PC | |
|---|---|---|---|---|---|---|
| Angle of repose/° | 48 | 46 | 43 | 39 | 41 | 44 |
| bulk density/kg·m−3 | 400 | 420 | 480 | 500 | 450 | 480 |
| x10,3/µm | 14.5 | 11.55 | 10.88 | 10.68 | 11.67 | 8.01 |
| x50,3/µm | 101 | 67.17 | 71.18 | 68.94 | 58.39 | 35.79 |
| s50,3/- | 0.766 | 0.806 | 0.818 | 0.822 | 0.821 | 0.845 |
| s < 0.7/m-% | 29 | 16 | 11 | 11 | 10 | 6 |
| SMD/µm | 39.31 | 30.45 | 29.67 | 29.22 | 29.73 | 19.65 |
| MF285 | MF310 | MF325 | MF340 | NF | PC | |
|---|---|---|---|---|---|---|
| Um,f/cm·s−1 | >3 | 1.3 | 1 | 1 | 1.3 | 1.3 |
| mfluidized/% | 81–90 | 92 | 91.5 | 90 | 90 | 88.3 |
| relrho/% | 73–78 | 59 | 54 | 58 | 55 | 51 |
| grc/s·cm−1 | 0.45 | 0.8 | 1 | 0.89 | 1.39 | 1.33 |
| discharge/% | 87 | 95 | 95 | 94 | 93 | 91 |
Disclaimer/Publisher’s Note: The statements, opinions and data contained in all publications are solely those of the individual author(s) and contributor(s) and not of MDPI and/or the editor(s). MDPI and/or the editor(s) disclaim responsibility for any injury to people or property resulting from any ideas, methods, instructions or products referred to in the content. |
© 2025 by the authors. Licensee MDPI, Basel, Switzerland. This article is an open access article distributed under the terms and conditions of the Creative Commons Attribution (CC BY) license (https://creativecommons.org/licenses/by/4.0/).
Share and Cite
Deutsch, R.; Kienzl, N.; Stocker, H.; Strasser, C.; Krammer, G. Characteristics of High-Temperature Torrefied Wood Pellets for Use in a Blast Furnace Injection System. Energies 2025, 18, 458. https://doi.org/10.3390/en18030458
Deutsch R, Kienzl N, Stocker H, Strasser C, Krammer G. Characteristics of High-Temperature Torrefied Wood Pellets for Use in a Blast Furnace Injection System. Energies. 2025; 18(3):458. https://doi.org/10.3390/en18030458
Chicago/Turabian StyleDeutsch, Richard, Norbert Kienzl, Hugo Stocker, Christoph Strasser, and Gernot Krammer. 2025. "Characteristics of High-Temperature Torrefied Wood Pellets for Use in a Blast Furnace Injection System" Energies 18, no. 3: 458. https://doi.org/10.3390/en18030458
APA StyleDeutsch, R., Kienzl, N., Stocker, H., Strasser, C., & Krammer, G. (2025). Characteristics of High-Temperature Torrefied Wood Pellets for Use in a Blast Furnace Injection System. Energies, 18(3), 458. https://doi.org/10.3390/en18030458

