Next Article in Journal
Analysis of Useful Energy Demand for Heating Purposes in a Building with a Self-Supporting Polystyrene Structure in a Temperate Climate
Previous Article in Journal
Enhancing Robustness in Photoacoustic Detection of Dissolved Acetylene in Transformer Oil: Temperature Effects on Resonance Frequency and Suppression Using the Perturbation Observation Method
 
 
Font Type:
Arial Georgia Verdana
Font Size:
Aa Aa Aa
Line Spacing:
Column Width:
Background:
Article

A Robust Wind Power Forecasting Framework for Non-Stationary Signals via Decomposition and Metaheuristic Optimization

Faculty of Automation, Huaiyin Institute of Technology, Huaian 223003, China
*
Author to whom correspondence should be addressed.
Energies 2025, 18(24), 6515; https://doi.org/10.3390/en18246515
Submission received: 31 October 2025 / Revised: 1 December 2025 / Accepted: 9 December 2025 / Published: 12 December 2025

Abstract

Accurate wind power forecasting is crucial for the secure and efficient integration of renewable energy into the power grid. However, the inherent intermittency and non-stationary nature of wind power pose significant challenges to prediction models. To address these issues, this paper proposes a novel hybrid forecasting framework named VMD-IPCA-IHSO-FSRVFL. This model synergistically combines variational mode decomposition (VMD), incremental principal component analysis (IPCA) for feature selection, an improved holistic swarm optimization (IHSO) algorithm, and a feature space-regularized random vector functional link (FSRVFL) network. The VMD first decomposes the complex original wind power signal into several stable sub-sequences to simplify the prediction task. The IPCA then identifies and selects the most relevant features, reducing data redundancy and noise. Subsequently, the IHSO algorithm is employed to automatically optimize the hyperparameters of the FSRVFL model, enhancing its performance and convergence speed. Finally, the optimized FSRVFL, a computationally efficient semi-supervised learning model, performs the final prediction. The proposed model was validated using four seasonal datasets from a Chinese offshore wind farm. Experimental results demonstrate that our VMD-IPCA-IHSO-FSRVFL model significantly outperforms other benchmark models, including BP, ELM, RVFL, and their variants, across all evaluation metrics (MSE, RMSE, MAE, and R2). The findings confirm that the integration of signal decomposition, effective feature selection, and intelligent parameter optimization substantially improves forecasting accuracy and stability under different seasonal conditions. This study provides a robust and effective solution for wind power prediction, offering valuable insights for wind farm operation and grid management.

1. Introduction

Wind power, as a cornerstone of the global energy transition, poses significant challenges to grid stability due to its inherent intermittency and volatility. High-accuracy wind power forecasting has become a critical enabler for ensuring grid security and cost-effective dispatch, playing an indispensable role in reducing spinning reserve requirements and enhancing the operational efficiency of wind farms [1]. Over the past five years, the rapid advancement of artificial intelligence has driven a paradigm shift in wind power prediction—from traditional physical and statistical models toward machine learning and deep learning approaches [2]. According to the 2023 annual report from the International Energy Agency (IEA), global installed wind capacity is projected to reach 1200 GW by 2025; however, this green energy prospect faces serious grid integration challenges unless forecasting accuracy bottlenecks are effectively addressed [3].
Early-stage research primarily relies on numerical weather prediction (NWP) systems and physical modeling approaches, which require substantial support from supercomputing resources due to their foundation in atmospheric physical equations [4]. While physical methods effectively capture large-scale meteorological patterns, their accuracy in predicting microclimates at the wind turbine hub height remains limited, particularly under complex terrain conditions.
With the emergence of machine learning techniques, support vector machines (SVMs) [5] and random forests (RFs) achieve superior prediction accuracy compared to traditional statistical methods by employing feature engineering to extract key influencing factors of wind resources. The multi-output support vector machine (MSVM) prediction framework proposed by Lu et al. [6] corporates Pearson’s correlation coefficients and partial autocorrelation functions during the data analysis phase to examine the spatiotemporal correlations of wind power. Experimental results across 15 wind farm datasets demonstrate that the MSVM framework outperforms other benchmark models in forecasting performance. Zhang et al. [7] propose a semi-supervised learning approach utilizing least squares support vector machines for wind power data, showing certain effectiveness when applied to spatially dynamic wind power datasets. Research by Chaudhary et al. [8] indicates that random forest models incorporating feature importance analysis provide satisfactory forecasting precision for wind speed prediction. However, these methods generally require sophisticated feature engineering and exhibit high dependency on data quality, where outliers and missing values can significantly compromise model performance.
The advent of deep learning methods has brought transformative breakthroughs to wind power forecasting. Long short-term memory (LSTM) networks [9] and gated recurrent units (GRUs) [10] demonstrate exceptional capability in learning temporal dependencies, establishing themselves as powerful tools for time series prediction. Wang et al. [11] developed a novel genetic long short-term memory (GLSTM) framework that improves forecasting accuracy by 6% to 30% through integrated analysis of multiple meteorological factors including wind speed, wind direction, and temperature. Liu et al. [12] proposed an innovative prediction model that captures evolving multi-scale variable relationships and temporal dependencies. Their approaches employ multi-scale temporal graph neural networks with adaptive graph learning modules to extract features from high-frequency information, while utilizing enhanced bidirectional temporal networks for low-frequency data characterization. This architecture achieves a 48.9% reduction in mean square error compared to standalone LSTM models. Hybrid architectures combining convolutional neural networks (CNNs) with LSTM further enhance spatiotemporal feature extraction capabilities. Wu et al. [13] introduce a spatiotemporal correlation model (STCM) based on CNN-LSTM for ultra-short-term forecasting. In this framework, CNN extracts spatial correlation features from meteorological factors across different sites and temporal correlation vectors from short-term meteorological characteristics, while LSTM captures complex temporal dependencies. Evaluations across multiple wind farm datasets demonstrate that the CNN-LSTM-based STCM exhibits superior spatiotemporal feature extraction capacity and generates more accurate wind power predictions compared to conventional architectures. Adam Kisvari et al. [14] pioneered the comprehensive integration of gated recurrent deep learning models with data preprocessing techniques, including resampling, anomaly detection and processing, feature engineering, and hyperparameter optimization. Their experimental results consistently show that GRU outperforms LSTM in prediction accuracy across all evaluation scenarios. Chen et al. [15] developed an ultra-short-term forecasting methodology utilizing multi-layer bidirectional GRU (Bi-GRU) and fully connected (FC) layers, where Bi-GRU extracts temporal features from wind power and meteorological data, and FC layers perform dimension transformation to align with output vectors. Experimental validation confirms the superior predictive performance of this approach. Xu et al. [16] enhance feature capture capability by integrating GRU with a feature attention mechanism (FAM) to extract relevant patterns from historical wind power data and meteorological information, further advancing the state of feature representation in wind power forecasting.
Hybrid deep learning architectures represent the current technological frontier in wind power forecasting, particularly through methodologies that employ signal decomposition techniques—such as variational mode decomposition (VMD) and empirical mode decomposition (EMD)—to mitigate the non-stationarity of raw wind speed sequences, followed by deep learning models for prediction. Yu et al. [17] proposed an RF-VMD-BiGRU learning framework, which first employs random forest (RF) to screen feature factors in wind power data, thereby reducing low-correlation features. Subsequently, VMD adaptively decomposes the original wind power sequence to diminish data noise. Finally, a bidirectional gated recurrent unit (BiGRU) is applied for prediction, demonstrating significant effectiveness. Following this, Cui et al. [18] and Zhang et al. [19] introduce an attention mechanism (AM) into the BiGRU architecture to assign adaptive weights, enabling dynamic capture of wind power sequence characteristics and achieving improved short-term forecasting performance. Duan et al. [20] developed a hybrid forecasting model incorporating a decomposition strategy, nonlinear weighted combination, and two deep learning models. In this approach, sequences decomposed by VMD are fed into sub-models constructed using long short-term memory (LSTM) and particle swarm optimization-optimized deep belief network (PSO-DBN). This design overcomes the limitations of linear combination methods and further enhances the accuracy and stability of wind power forecasting.
In recent years, the random vector functional link (RVFL) network has been introduced into the wind power forecasting field due to its unique mechanism of “random weight fixation and analytical solution.” Its primary advantages include extremely fast training speed, an ability to efficiently capture nonlinear relationships between wind speed and power output, and reduced susceptibility to overfitting. This model effectively balances prediction accuracy with computational efficiency, providing reliable support for efficient short-term power forecasting and dispatch management in wind farms. Mohammed et al. [21] proposed using RVFL for predicting wind turbine generation data and employed a capuchin search algorithm to optimize the configuration of traditional RVFL, thereby enhancing its predictive capability. Song et al. [22] developed a method that dynamically generates hidden nodes in the RVFL to adapt to new training samples and determines the optimal number of synthetic samples based on validation performance. Their approach also connects historical and newly added nodes to mitigate the forgetting of historical information. By fully capturing the characteristics of wind power data, this method effectively resolves the uncertainty associated with synthetic sample quantity under few-shot learning conditions.
In addition to decomposition–learning hybrids, neuro-fuzzy estimation schemes have also been explored for wind-turbine diagnosis and monitoring. For instance, neuro-fuzzy qLPV zonotopic observers have been employed to estimate turbine states under model uncertainty [23], while ANFIS-based Takagi–Sugeno interval observers have been used for fault diagnosis and robust condition monitoring of wind turbines [24]. These approaches combine fuzzy inference with neural network approximators to handle nonlinearities and bounded disturbances. However, they primarily focus on fault detection and health assessment, rather than short-term forecasting of non-stationary wind power signals. The proposed VMD-IPCA-IHSO-FSRVFL framework is complementary to these neuro-fuzzy strategies by targeting high-accuracy wind power prediction under strongly time-varying operating conditions. Table 1 lists the main abbreviations used in this study.
Based on the comprehensive research content presented in the second document, the principal contributions and innovations of this study in the field of wind power forecasting are summarized as follows:
(1)
A hybrid forecasting framework integrating variational mode decomposition (VMD), incremental principal component analysis (IPCA), an improved holistic swarm optimization (IHSO) algorithm, and feature space-regularized random vector functional link (FSRVFL) networks is proposed. This ensemble model effectively captures both temporal dependencies and complex nonlinear relationships within wind power data, significantly enhancing prediction accuracy under varying seasonal conditions.
(2)
The variational mode decomposition (VMD) technique is employed to adaptively decompose non-stationary environmental sequences—such as wind speed, temperature, and irradiation—into a set of more stable and regular intrinsic mode functions (IMFs). This process effectively extracts multi-scale temporal features from the original data, thereby improving the model’s ability to characterize complex wind power patterns.
(3)
Incremental principal component analysis (IPCA) is utilized for feature selection to eliminate noise and reduce redundancy among the high-dimensional features generated by decomposition. By identifying and retaining the most relevant features, this study streamlines the model input, decreases computational complexity, and enhances the robustness of the forecasting system.
(4)
An improved holistic swarm optimization (IHSO) algorithm is introduced to optimize the hyperparameters of the FSRVFL model. Enhancements including logistic chaotic mapping, Lévy flight strategies, and simulated annealing mechanisms are incorporated to accelerate convergence speed, strengthen global search capability, and prevent premature convergence to local optima.
(5)
A semi-supervised learning architecture, the feature space-regularized random vector functional link (FSRVFL) network, is developed. By integrating manifold regularization from multiple feature spaces, the model effectively leverages information from both labeled and unlabeled data, substantially improving generalization performance and prediction stability for wind power generation.
At the end of this section, the overall organization of the paper is outlined. Section 2 introduces the methodological background, including variational mode decomposition (VMD), incremental principal component analysis (IPCA), the improved holistic swarm optimization (IHSO) algorithm, and the feature space-regularized random vector functional link (FSRVFL) network. Section 3 presents the flowchart of the proposed VMD-IPCA-IHSO-FSRVFL framework and summarizes the main steps of the workflow. Section 4 describes the case study setup, including the offshore wind farm datasets and data preprocessing procedures. Section 5 reports the comparative forecasting results, ablation analysis, and computational complexity of different models. Finally, Section 6 concludes the paper and discusses future research directions.

2. Methods

2.1. Variational Mode Decomposition (VMD)

Variational mode decomposition (VMD) is a signal processing method proposed by Dragomiretskiy et al. [25], which is particularly suited for the analysis of non-stationary and nonlinear signals. The core concept of VMD lies in its adaptive decomposition of a complex signal into a predefined number of mode components u k ( t ) ,   ( k = 1 , 2 , , K ) , with each compacted around a specific center frequency ω k [17]. The implementation of VMD involves solving a constrained variational model. Under the strict requirement that the sum of all mode components precisely reconstructs the original signal, the optimization objective is to minimize the total estimated bandwidth of these components [26].
The mathematical formulation of the objective function is given as follows:
min F ( { u k } , { ω k } ) = k = 1 K t [ ( ( δ ( t ) + j π t ) u k ( t ) ) e j ω k t ] 2 2
where δ ( t ) denotes the unit impulse function at time t , t represents the partial derivative operator, and j indicates the imaginary unit. The constraint requires the sum of K mode functions to be identical to the original signal f ( t ) , and is expressed as follows:
k = 1 K u k ( t ) = f ( t )
VMD employs a penalty factor α and a Lagrangian multiplier λ ( t ) to derive the optimal solution for the stated objective function, thereby converting it into an unconstrained variational problem. The resulting augmented Lagrangian function is formulated as follows:
L ( { u k ( t ) } , { ω k ( t ) } , λ ) = α k = 1 K t [ ( ( δ ( t ) + j π t ) u k ( t ) ) e j ω k t ] 2 2 + f ( t ) k = 1 K u k ( t ) 2 2 + λ ( t ) , f ( t ) k = 1 K u k ( t )
Then, the resolution of the augmented Lagrangian function in VMD is conducted using the alternating direction method of multipliers. This algorithm cyclically refreshes three key parameters in the spectral domain: the mode variables u k , their corresponding center frequencies ω k , and the Lagrangian multiplier λ . The precise computational formulations are presented below:
u ^ k l + 1 ( ω ) = f ^ ( ω ) i < k u ^ i l + 1 ( ω ) + λ ^ l ( ω ) 2 1 + 2 α ( ω ω k l ) 2
ω k l + 1 = 0 + ω u ^ k l + 1 2 d w 0 + u ^ k l + 1 2 d w
λ ^ l + 1 ( ω ) = λ ^ l ( ω ) + τ ( f ^ ( ω ) k = 1 K u ^ k l + 1 ( ω ) )
where f ^ ( ω ) , u ^ k ( ω ) , λ ^ ( ω ) represent the Fourier transforms of f ^ ( ω ) , u ^ k ( ω ) , λ ^ ( ω ) , respectively. The termination criterion is set as follows:
k = 1 K u ^ k l + 1 u ^ k l 2 2 u ^ k l 2 2 < ε
where ε   ( ε > 0 ) denotes the convergence tolerance, and the algorithm ultimately outputs K mode functions u k ( t ) along with their corresponding center frequencies ω k .

2.2. Incremental Principal Component Analysis (IPCA)

Incremental principal component analysis (IPCA) can be regarded as an online, mini-batch extension of classical PCA, aimed at reducing memory pressure and computation when the sample size or feature dimensionality is large [27]. Similarly to mini-batch processing in deep learning, the dataset is partitioned into batches; each batch is read from disk into memory to incrementally update the current principal subspace. After iterating over batches, IPCA produces a low-dimensional representation that preserves most of the variance, enabling efficient dimensionality reduction.

2.3. Improved Holistic Swarm Optimization (IHSO)

Holistic swarm optimization (HSO) represents an enhanced swarm intelligence algorithm introduced by Wang et al. [28]. This methodology conceptualizes the population as an integrated system with a hierarchical structure, regulating complex information exchange among individuals, subgroups, and the global level to effectively improve both global exploration capability and convergence accuracy.
HSO begins by initializing a set of search individuals X i ( i = 1 , 2 , , N ) , where each individual signifies a D-dimensional potential solution. The fitness value of each individual is evaluated using the objective function f ( X i ) .The algorithm determines the displacement coefficient by comparing the individual fitness with the root mean square of the overall population fitness:
f ¯ = 1 N i = 1 N f ( X i )
D i = f ( X i ) f ¯
C i = D i D i + ε
where f ¯ denotes the average fitness value of the population, D i represents the displacement difference in the   i -th search individual, C i is the displacement coefficient, and ε is a minimal constant to prevent division by zero.
A dynamic weighting factor ω , which adaptively adjusts with the number of iterations, is incorporated as follows:
ω = ω min + ( ω max ω min ) × exp k K max
where ω min and ω max are the minimum and maximum values of the weight, respectively, k is the current iteration number, and K max is the maximum number of iterations.
The position of each search individual is updated based on the displacement coefficient and the dynamic weighting factor:
X i n e w = X i + ω · α · C i r a n d ( 0 , 1 )
where α is a constant parameter controlling the movement step size.
To further enhance global exploration capability, the Lévy flight strategy is introduced:
L ( β ) = μ ν 1 / β
μ ~ N ( 0 , σ μ 2 ) ,   ν ~ N ( 0 , σ ν 2 )
σ μ = Γ ( 1 + β ) sin ( π β / 2 ) Γ ( ( 1 + β ) / 2 ) β · 2 ( β 1 ) / 2 1 / β , σ ν = 1
where β is the Lévy exponent parameter, typically set to 1.5.
The position update formula incorporating Lévy flight is expressed as follows:
X i n e w = X i + ω · α · C i · r a n d ( 0 , 1 ) + L ( β )
HSO employs a simulated annealing technique to determine whether to accept the updated position, dynamically adjusting the temperature and acceptance probability:
T k = T 0 · r k
P = exp Δ E T k
where T k is the current temperature, T 0 is the initial temperature, r is the cooling rate, Δ E is the fitness difference, and P is the acceptance probability. If P > r a n d , the new position is accepted; otherwise, the original position is retained.
To further augment search capability, HSO performs adaptive mutation after position update:
p m k = p max · e λ k
σ k = σ max · e γ k
δ = N ( 0 , σ k )
X i m u t = X i n e w + δ
where p m k denotes the mutation rate at the k-th iteration, σ k represents the mutation step size, and δ is the random perturbation.
In this study, the IHSO population size is set to N p o p [ 20 , 40 ] , and the maximum number of iterations T max is chosen from 50 , 100 , 150 . The initial temperature T 0 and cooling rate α of the simulated annealing component are selected from [ 0.5 , 1.0 ] and [ 0.90 , 0.99 ] , respectively. The Lévy exponent is fixed at β = 1.5 , and the step-size coefficient is tuned in [ 1.0 , 0.3 ] to a minimum of 0.01. The algorithm terminates when the maximum number of iterations is reached or when no improvement is observed over 20 consecutive iterations.

2.4. Feature Space-Regularized Random Vector Functional Link (FSRVFL)

The feature space-regularized random vector functional link (FSRVFL) network extends the classical random vector functional link (RVFL) model into a semi-supervised and multi-view manifold-regularized framework [29]. By combining random feature mapping with graph-based regularization in multiple feature spaces, FSRVFL can exploit both labeled and unlabeled samples while preserving the computational advantages of an analytical solution.
Let the full training set be
D = x i , y i i = 1 N i x j i = 1 N u
where x d denotes the input feature vector and y R is the corresponding wind power output. Here, N l and N u are the numbers of labeled and unlabeled samples, respectively, and N = N l + N u . In our implementation, for each seasonal dataset, the data are first split chronologically into training and test sets (see Section 4.1). Within the training set, a fixed proportion (e.g., 70%) is treated as labeled data D l , while the remaining samples form the unlabeled set D u . Only D l contributes to the supervised loss, whereas all training samples D l D u are used to construct the graphs and corresponding manifold regularizers.

2.4.1. Random Feature Mapping and Enhanced Feature Space

Following the standard RVFL paradigm, the input features are first mapped to a high-dimensional hidden space by a single hidden layer with randomly initialized parameters. Let x N × d denote the matrix of input samples. The hidden layer output is given by
H = g ( X W + 1 b T ) N × L
where W d × L and b L are randomly generated input weights and biases (kept fixed during training), L is the number of hidden nodes, g ( ) is an element-wise activation function, and 1 is an all-ones column vector.
The enhanced feature matrix is then constructed by concatenating the original inputs and the hidden-layer outputs:
Z = [ X , H ] N × ( d + L )
The trainable parameter of FSRVFL is the output weight vector β d + L , and the model prediction for a sample x is
y ^ = z T β , z = [ x T   h T ( x ) ] T

2.4.2. Dual Feature-Space Graph Construction

To exploit the geometric structure of both labeled and unlabeled data, FSRVFL incorporates manifold regularization in two complementary feature spaces, namely the original input space X ( 1 ) = X , and the IPCA-transformed space X ( 2 ) = X I P C A , which are obtained by projecting X onto the retained principal components (Section 4.3).
For each view v 1 , 2 , we build a k-nearest-neighbor (k-NN) graph on the combined set of training samples D l D u . The adjacency matrix W ( v ) N × N is defined as
W i j ( v ) = exp x i ( v ) x j ( v ) 2 2 σ v 2 i f   x j ( v ) N k ( x i ( v ) ) 0 o t h e r w i s e
where N k ( x i ( v ) ) denotes the set of k nearest neighbors of x i ( v ) in the v - t h feature space, and σ v is a scale parameter set proportional to the median pairwise distance in that space.
The degree matrices are given by D i i ( v ) = j W i j ( v ) , and the (unnormalized) graph Laplacians are
L ( v ) = D ( v ) W ( v ) ,   v = 1 , 2
These Laplacians encode the local geometric structure of the data manifolds in the two feature spaces and will be used to penalize predictions that vary rapidly along the graphs.
In the experiments, we set k = 10 , choose σ 1 and σ 2 based on the median pairwise distances in X ( 1 ) and X ( 2 ) , respectively, and tune the manifold regularization weights γ 1 and γ 2 via cross-validation (see Section 5).

2.4.3. Semi-Supervised Manifold-Regularized Objective

Let y l N l denote the vector of labels for the labeled subset D l . To compactly express the supervised loss over labeled samples, we define a diagonal selection matrix S N × N .
S i i = 1 , i f   sample   i   is   label 0 , f   sample   i   is   unlabel
Let y l N be the full label vector, in which entries corresponding to unlabeled samples are set to zero; then the supervised squared-error term can be written as S ( Z β y ) 2 2 .
The FSRVFL objective function with dual-view manifold regularization is formulated as
J ( B ) = S ( Z β y ) 2 2 supervised + λ β 2 2 + γ 1 β T Z T L ( 1 ) β + γ 2 β T Z T L ( 2 ) β
where λ > 0 is a ridge regularization coefficient, and γ 1 , γ 2 > 0 control the strength of manifold regularization in the original and IPCA feature spaces, respectively. The last two terms encourage the prediction function f ( x ) = z T β to vary smoothly along the data manifolds in both views, thereby allowing the unlabeled samples to shape the decision function.

2.4.4. Closed-Form Solution and Prediction

Taking the derivative of J ( β ) with respect to β and setting it to zero yields, we obtain the following:
J β = 2 Z T S ( Z β Y ) + 2 λ β + 2 γ 1 Z T L ( 1 ) Z β + 2 γ 2 Z T L ( 2 ) Z β = 0
Rearranging terms leads to the following linear system:
( Z T S Z + λ I + γ 1 Z T L ( 1 ) Z + γ 2 Z T L ( 2 ) Z ) = Z T S y
Therefore, the optimal output weight vector admits a closed-form solution:
β * = ( Z T S Z + λ I + γ 1 Z T L ( 1 ) Z + γ 2 Z T L ( 2 ) Z ) 1 Z T S y
For a new test sample x t e s t , we first compute its hidden-layer output,
h t e s t = g ( x t e s t T W + B T )
form the corresponding enhanced feature vector,
z t e s t = [ x t e s t T h t e s t T ] T
and then obtain the forecast as
y ^ t e s t = z t e s t T β *
In summary, FSRVFL combines (i) a random-feature RVFL backbone, (ii) a semi-supervised loss defined on labeled data only, and (iii) dual feature-space manifold regularization that exploit the structure of both labeled and unlabeled samples. This design allows the proposed VMD–IPCA–IHSO–FSRVFL framework to achieve high forecasting accuracy with efficient training and good generalization on non-stationary wind power series.

3. Flowchart of VMD–IPCA–IHSO–FSRVFL Model

In this study, we propose a novel hybrid forecasting framework for wind power prediction, which integrates variational mode decomposition (VMD), incremental principal component analysis (IPCA)-based feature selection, an improved holistic swarm optimization (IHSO) algorithm, and a feature space-regularized random vector functional link (FSRVFL) network. This integrated model, termed VMD-IPCA-IHSO-FSRVFL, is designed to enhance prediction accuracy and robustness by systematically addressing the non-stationarity and complexity inherent in wind power data. The comprehensive architecture of the proposed model is illustrated in Figure 1 and the procedural workflow is detailed as follows:
Step 1: Data Acquisition and Preprocessing. Acquire historical wind power generation data and corresponding meteorological variables. The raw data undergoes preprocessing, which includes Z-score standardization to eliminate dimensional discrepancies and an outlier handling procedure to mitigate the impact of anomalous readings, thereby accelerating subsequent model convergence.
Step 2: Signal Decomposition via VMD. Apply VMD to the preprocessed wind power sequence to adaptively decompose it into a set of finite-bandwidth intrinsic mode functions (IMFs). This step effectively disentangles the original non-stationary signal into several relatively stable and regular sub-sequences, capturing multi-scale temporal characteristics and reducing modeling complexity.
Step 3: Feature Selection using IPCA. Compute the mutual information between all potential features (including the original meteorological variables and the derived IMF components from VMD) and the target wind power output. Select the feature subset with the highest mutual information scores. This process reduces data redundancy and noise, retaining the most informative inputs for the prediction model and decreasing computational dimensionality.
Step 4: Hyperparameter Optimization with IHSO. Utilize the IHSO algorithm to optimize the key hyperparameters of the FSRVFL network. The improvements in HSO, which include a dynamic weighting factor, Lévy flight strategy, simulated annealing, and adaptive mutation enhance global search capability and convergence speed, ensuring the FSRVFL model is configured for optimal performance.
Step 5: Prediction with FSRVFL. Construct the FSRVFL predictor using the optimized hyperparameters from Step 4. The selected features from Step 3 are fed into this semi-supervised learning model. The FSRVFL leverages manifold regularization from multiple feature spaces to enhance generalization, producing the final wind power forecasts.
Step 6: Model Validation and Performance Evaluation. Evaluate the forecasting performance of the proposed VMD-IPCA-IHSO-FSRVFL model on the testing dataset using established metrics, including mean square error (MSE), root mean square error (RMSE), mean absolute error (MAE), and the coefficient of determination (R2). Compare its results against those of various benchmark models to demonstrate its superiority.
This structured workflow ensures a coherent integration of signal processing, feature engineering, intelligent optimization, and advanced machine learning, providing a robust and effective solution for wind power forecasting.

4. Case Study

4.1. Data Description and Preprocessing

This study utilizes wind power generation data collected from a Chinese offshore wind farm. To evaluate the performance of the developed model, original datasets comprising four seasonal records—specifically from 1 to 31 March, 1 to 30 June, 1 to 30 September, and 1 to 31 December (Table 2)—are employed. Data points were logged every 15 min. The presence of zero and missing values in the acquired data can substantially impair forecasting reliability. To prevent information leakage, a chronological split into training (80%) and test (20%) sets is performed first for each month. The presence of zero and missing values in the acquired data can substantially impair forecasting reliability. Consequently, preprocessing steps involving the removal of zero values and gap-filling via mean interpolation are applied to the raw wind power data. In addition, data quality control is performed before model training: physically impossible values are removed through range checks, suspicious outliers and spikes are detected by ramp-rate analysis, and inconsistencies between wind speed and power are examined against the expected power curve. Samples that fail these checks are either discarded or replaced by interpolated values based on neighboring observations.
The active power values in Table 2 are expressed in normalized units. Specifically, the raw per-turbine active power P r a w is divided by the rated capacity P r a t e d to obtain a per-unit quantity P p u = P r a w / P r a t e d . For anonymization, this unit value will be further scaled through a constant factor. All subsequent error indicators are calculated after the physical units are restored through normalization application inverse transformation.

4.2. VMD Environment Sequence Decomposition

The experimental samples consist of non-stationary environmental sequence data influenced by weather variations, which exhibit random fluctuations and mutability. To extract local features from the original environmental sequences, this study applies the variational mode decomposition (VMD) method. Through VMD processing, both IMF components and residual components are derived from each environmental factor dataset. Table 3 presents the counts of IMF components and residual components generated from VMD for each environmental sequence. The decomposition yields 76 dimensions of IMF components and 10 residual components, resulting in a total of 86 dimensional feature sequences that form the new feature set.

4.3. IPCA-Based Dimensionality Reduction

To suppress noise and reduce redundancy and multicollinearity in the feature set, we adopted incremental principal component analysis (IPCA). Unlike batch PCA, IPCA updates the principal subspace sequentially with mini-batches, enabling out-of-core learning without explicitly forming the full covariance matrix. All predictors were standardized using statistics computed on the training split only to avoid data leakage. Table 4 reports the component singular/eigen values, the explained variance ratios, and their cumulative sum. The first components account for approximately 90% of the total variance, indicating strong representativeness of the original features. Accordingly, we retained the top eight principal components (K = 8) to replace the original variables when constructing the input samples for the wind power forecasting model at horizon t + Δ . This IPCA procedure reduces input dimensionality and computational complexity while preserving most of the information content.
Table 5 summarizes the feature funnel of the proposed framework. For each month, 10 raw environmental variables are decomposed by VMD into 86 features (76 IMFs and 10 residual components). IPCA then retains eight principal components that explain over 90% of the variance, which form the final eight-dimensional input to the FSRVFL predictor.

4.4. Model Performance Evaluation Metrics

This study utilizes four distinct error metrics for the assessment of the model’s predictive accuracy: mean square error (MSE), root mean square error (RMSE), mean absolute error (MAE), and the coefficient of determination (R2).
M S E = 1 n i = 1 n ( y ^ i y i ) 2
R M S E = 1 n i = 1 n ( y ^ i y i ) 2
M A E = 1 n i = 1 n y ^ i y i
R 2 = 1 i = 1 n ( y ^ i y i ) 2 i = 1 n ( y ¯ i y i ) 2
where n is the total number of samples, y i and y ^ i represent the actual observed value and the predicted value for the i -th sample, respectively, and y ¯ i denotes the mean value across all samples.

5. Comparison Results

5.1. Temporal Validation Protocol and Baseline Comparison

In addition to the simple 80/20 split, we adopt a blocked rolling-origin evaluation scheme to better reflect realistic forecasting conditions. For each month, the model is trained on an expanding window of historical observations and validated on a subsequent block of unseen data, ensuring that the training data always precede the test data in time. The performance metrics are averaged over all rolling-origin folds.
We also introduce two baseline models: (i) a persistence model that predicts the last observed value, and (ii) a climatology baseline that predicts the monthly mean. These baselines provide simple yet informative references for assessing the added value of more complex models. The rolling-origin results for persistence, climatology, RVFL, and the proposed VMD-IPCA-IHSO-FSRVFL are summarized in Table 6.
To assess the statistical significance of the differences between competing models, we conduct Diebold–Mariano (DM) tests on the forecast error series. The p-values reported in Table 7 indicate that the proposed VMD-IPCA-IHSO-FSRVFL significantly outperforms the benchmark models (including persistence, climatology, and RVFL) at the 5% significance level in most cases.

5.2. Analysis of Prediction Results of Hybrid Learning Models

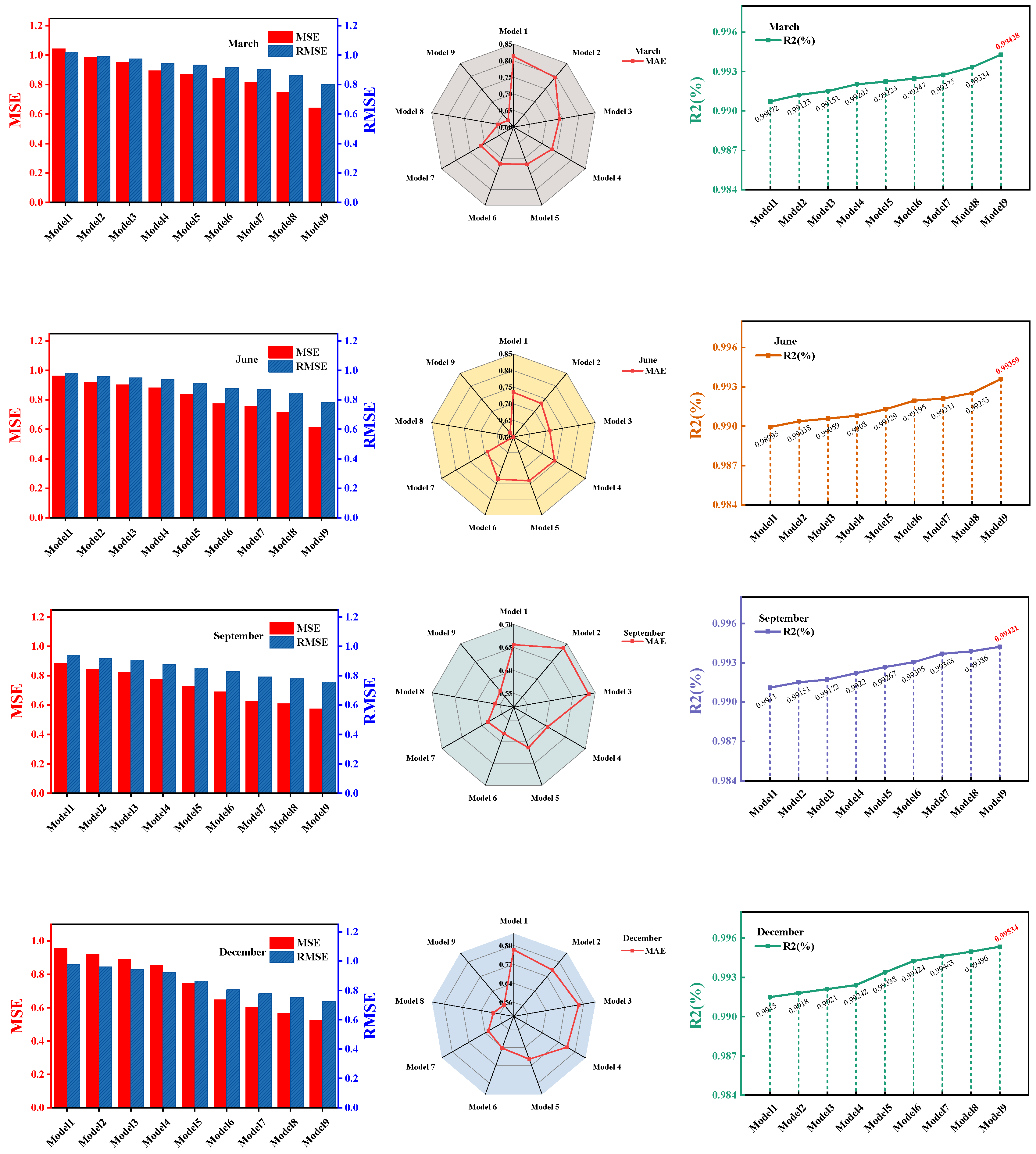
This study constructs nine models to predict four wind power datasets. The evaluation of model accuracy employs MSE, RMSE, MAE, and R2 metrics. The proposed VMD–IPCA–IHSO–FSRVFL model is compared with other benchmark models, including BP, ELM, RVFL, FSRVFL, EMD_FSRVFL, VMD_FSRVFL, VMD_IPCA_FSRVFL, and VMD_IPCA_HSO_FSRVFL. Table 8 lists the values of MSE, RMSE, MAE, and R2, and each reported value corresponds to the average of 30 repeated executions of the respective model. For a more intuitive representation of the error metrics, this study uses bar charts, area plots, radar charts, and histograms to display the MSE, RMSE, MAE and R2 values of the nine models, as shown in Figure 2. For clarity in presentation, each model is referred to as Model 1, Model 2, Model 3, etc., in Figure 2, with corresponding labels provided in Table 9.
A comprehensive analysis of Figure 2 and Table 8 reveals the following findings:
(a)
Comparison of the three baseline models (BP, ELM, RVFL) with the proposed FSRVFL model demonstrates superior testing performance of FSRVFL across all metrics.
(b)
Analysis of March prediction results reveals that EMD_FSRVFL reduces MSE, RMSE, and MAE by 2.56%, 1.19%, and 1.48%, respectively, compared to FSRVFL, with significant R2 improvement. In other months, MSE decreases by more than 2%, substantiating the preliminary effectiveness of the decomposition strategy.
(c)
Contrasting EMD_FSRVFL and VMD_FSRVFL for March data shows a 5.33% MSE reduction and 1.52% RMSE reduction with VMD integration, accompanied by R2 enhancement. This confirms VMD superior performance over EMD for wind power forecasting.
(d)
Evaluation of VMD_FSRVFL versus VMD_IPCA _FSRVFL on four March datasets indicates more than 7% MSE improvement in feature selection, demonstrating that input feature screening effectively enhances prediction accuracy.
(e)
Given FSRVFL’s strong hyperparameter dependence and high precision requirements, HSO is implemented. Table 3 shows 7–10% accuracy gains across all datasets for VMD_IPCA_HSO_FSRVFL versus VMD_IPCA_FSRVFL, validating the optimization strategy.
(f)
To address convergence deceleration from algorithm–model integration, an improved HSO (IHSO) accelerates convergence. For March data, VMD_IPCA_IHSO_ FSRVFL reduces MSE, RMSE, and MAE by 14.19%, 7.37%, and 6.28%, respectively, compared to VMD_MI_HSO_FSRVFL, confirming enhanced predictive capability.
Beyond the numerical improvements in error metrics, the gains achieved by VMD-IPCA-IHSO-FSRVFL have clear practical implications. According to Table 5, the proposed model reduces MSE by approximately 30–40% and MAE by 15–25% compared with the best non-decomposition baseline (RVFL) across the four seasonal datasets. In operational terms, this corresponds to a substantial reduction in the average power forecast error at each 15 min interval. For a utility-scale offshore wind farm, such an improvement translates into a smaller uncertainty band around the forecast, enabling system operators to schedule less spinning reserve, decrease balancing energy procurement, and reduce the risk of wind power curtailment. From a technological perspective, more accurate forecasts also support better congestion management and more reliable integration of high-penetration wind power into the grid.
To further demonstrate model efficacy, Figure 3 presents comparative wind power forecasting results.

5.3. Ablation Study on Manifold Regularization

To quantify the contribution of manifold regularization, we conduct an ablation study with four variants of the RVFL-based predictor: (i) a purely supervised RVFL network (RVFL); (ii) FSRVFL-S, which only includes the supervised loss term; (iii) FSRVFL-M1, which incorporates a single-view Laplacian constructed in the original feature space; and (iv) FSRVFL-M2, the proposed dual-view FSRVFL with two Laplacians in the original and IPCA spaces.
The single-step forecasting results on the four seasonal datasets are summarized in Table 10. Overall, adding manifold regularization substantially reduces MSE and MAE compared with the purely supervised variants. For instance, in March, FSRVFL-M2 decreases the MSE from 0.7743 (FSRVFL-S) to 0.6700, corresponding to a relative reduction of about 13.5%. Similar improvements are observed for June, September, and December. Moreover, the dual-view configuration (FSRVFL-M2) consistently outperforms the single-view version (FSRVFL-M1), confirming the benefit of exploiting complementary manifold structures in multiple feature spaces.

5.4. Computational Complexity and Runtime

The proposed VMD-IPCA-IHSO-FSRVFL framework consists of four main components: VMD-based decomposition, IPCA-based dimensionality reduction, IHSO-based hyperparameter optimization, and the FSRVFL predictor. Among them, VMD and IHSO are the most computationally demanding parts, but they are executed offline during model training. Once the optimal hyperparameters and transformations have been obtained, online forecasting only requires applying the precomputed VMD and IPCA transformations to the latest input vector and evaluating the closed-form FSRVFL output, which is very efficient.
Table 11 summarizes the average training time per seasonal dataset and the average time required to generate a single one-step-ahead forecast for the main models, measured on a workstation with an Intel Core i5 CPU and 32 GB RAM.

6. Conclusions

In this paper, a hybrid ensemble learning framework named VMD–IPCA–IHSO–FSRVFL is proposed for wind power forecasting. The model integrates variational mode decomposition (VMD), incremental principal component analysis (IPCA)-based feature selection, an improved holistic swarm optimization (IHSO) algorithm, and a feature space-regularized random vector functional link (FSRVFL) network. By applying VMD to decompose the original non-stationary wind power sequences, applying MI to reduce feature dimensionality and remove redundancy, applying IHSO to optimize the hyperparameters of FSRVFL, and finally employing the FSRVFL network for prediction, the proposed model effectively improves forecasting accuracy and stability.
The main contributions and findings of this study can be summarized as follows:
(1)
The proposed VMD-IPCA-IHSO-FSRVFL model achieves the smallest MSE, RMSE, and MAE, along with the highest R2 values, across four seasonal wind power datasets from an offshore wind farm. According to Table 5, compared with classical neural-network and ensemble baselines such as BP, ELM, and RVFL, the proposed framework reduces MSE by approximately 30–45% and MAE by 15–25% on average over the four months, while consistently increasing R2 above 99.3%. These quantitative results demonstrate that the hybrid model offers clearly superior estimation capability and stronger generalization performance than both individual benchmark models and intermediate hybrid variants.
(2)
The integration of VMD and IPCA proves to be an effective strategy for processing non-stationary wind power data. VMD successfully extracts meaningful intrinsic mode components from complex environmental sequences, while IPCA-based dimensionality reduction (guided by mutual-information analysis) efficiently selects the most relevant features, reduces noise, and decreases computational complexity, thereby enhancing the model’s learning efficiency and prediction accuracy.
(3)
The introduction of the improved holistic swarm optimization (IHSO) algorithm significantly enhances the hyperparameter optimization process for FSRVFL. By incorporating logistic chaotic mapping, adaptive mutation, and a simulated annealing mechanism, IHSO accelerates convergence, avoids local optima, and improves the stability and reliability of the forecasting model.
(4)
The FSRVFL network serves as a high-performance regression core, combining the efficiency of random vector functional links with dual feature-space manifold regularization. This semi-supervised structure effectively utilizes both labeled and unlabeled data, improving generalization under variable wind conditions.
Despite the promising results, several aspects merit further investigation in future work:
(1)
The current study focuses on single-step-ahead forecasting. Extending the model to multi-step wind power prediction would be valuable for supporting more advanced grid scheduling and energy management systems.
(2)
Future research could explore the integration of numerical weather prediction (NWP) data or other atmospheric variables to further enhance the model’s input feature set and its physical interpretability.
(3)
While the model performs well on data from one wind farm, its generalizability across different geographic and climatic regions should be validated with more diverse datasets.
(4)
Future work may also consider deploying the model in real-time forecasting systems, possibly incorporating online learning strategies to continuously adapt to changing environmental patterns.
In summary, the VMD–IPCA–IHSO–FSRVFL framework provides an accurate, stable, and efficient solution for wind power forecasting, with robust performance across different seasons and operating conditions. It offers a valuable reference for wind farm operators and power system planners in achieving higher renewable energy integration.

Author Contributions

Conceptualization, Z.Z. and A.Z.; Methodology, Z.Z. and A.Z.; Software, W.D., Z.Z. and A.Z.; Writing—original draft, W.D.; Writing—review & editing, Z.T.; Visualization, W.D.; Supervision, Z.T. All authors have read and agreed to the published version of the manuscript.

Funding

This research received no external funding.

Data Availability Statement

The original contributions presented in this study are included in the article. Further inquiries can be directed to the corresponding author.

Conflicts of Interest

The authors declare no conflict of interest.

References

  1. Colak, I.; Sagiroglu, S.; Yesilbudak, M. Data mining and wind power prediction: A literature review. Renew. Energy 2012, 46, 241–247. [Google Scholar] [CrossRef]
  2. Mabel, M.C.; Fernandez, E. Analysis of wind power generation and prediction using ANN: A case study. Renew. Energy 2008, 33, 986–992. [Google Scholar] [CrossRef]
  3. Costa, A.; Crespo, A.; Navarro, J.; Lizcano, G.; Madsen, H.; Feitosa, E. A review on the young history of the wind power short-term prediction. Renew. Sustain. Energy Rev. 2008, 12, 1725–1744. [Google Scholar] [CrossRef]
  4. Zhang, Y.; Li, Y.; Zhang, G. Short-term wind power forecasting approach based on Seq2Seq model using NWP data. Energy 2020, 213, 118371. [Google Scholar] [CrossRef]
  5. Li, L.L.; Zhao, X.; Tseng, M.L.; Tan, R.R. Short-term wind power forecasting based on support vector machine with improved dragonfly algorithm. J. Clean. Prod. 2020, 242, 118447. [Google Scholar] [CrossRef]
  6. Lu, P.; Ye, L.; Zhong, W.; Qu, Y.; Zhai, B.; Tang, Y.; Zhao, Y. A novel spatio-temporal wind power forecasting framework based on multi-output support vector machine and optimization strategy. J. Clean. Prod. 2020, 254, 119993. [Google Scholar] [CrossRef]
  7. Zhang, F.; Li, N.; Li, L.; Wang, S.; Du, C. A local semi-supervised ensemble learning strategy for the data-driven soft sensor of the power prediction in wind power generation. Fuel 2023, 333, 126435. [Google Scholar] [CrossRef]
  8. Chaudhary, A.; Sharma, A.; Kumar, A.; Dikshit, K.; Kumar, N. Short term wind power forecasting using machine learning techniques. J. Stat. Manag. Syst. 2020, 23, 145–156. [Google Scholar] [CrossRef]
  9. Han, L.; Jing, H.; Zhang, R.; Gao, Z. Wind power forecast based on improved Long Short Term Memory network. Energy 2019, 189, 116300. [Google Scholar] [CrossRef]
  10. Niu, Z.; Yu, Z.; Tang, W.; Wu, Q.; Reformat, M. Wind power forecasting using attention-based gated recurrent unit network. Energy 2020, 196, 117081. [Google Scholar] [CrossRef]
  11. Shahid, F.; Zameer, A.; Muneeb, M. A novel genetic LSTM model for wind power forecast. Energy 2021, 223, 120069. [Google Scholar] [CrossRef]
  12. Chen, J.; Fu, X.; Zhang, L.; Shen, H.; Wu, J. A novel offshore wind power prediction model based on TCN-DANet-sparse transformer and considering spatio-temporal coupling in multiple wind farms. Energy 2024, 308, 132899. [Google Scholar] [CrossRef]
  13. Wu, Q.; Guan, F.; Lv, C.; Huang, Y. Ultra-short-term multi-step wind power forecasting based on CNN-LSTM. IET Renew. Power Gener. 2021, 15, 1019–1029. [Google Scholar] [CrossRef]
  14. Kisvari, A.; Lin, Z.; Liu, X. Wind power forecasting–A data-driven method along with gated recurrent neural network. Renew. Energy 2021, 163, 1895–1909. [Google Scholar] [CrossRef]
  15. Chen, W.; Qi, W.; Li, Y.; Zhang, J.; Zhu, F.; Xie, D.; Ru, W.; Luo, G.; Song, M.; Tang, F. Ultra-short-term wind power prediction based on bidirectional gated recurrent unit and transfer learning. Front. Energy Res. 2021, 9, 808116. [Google Scholar] [CrossRef]
  16. Xiong, B.; Fu, M.; Cai, Q.; Li, X.; Lou, L.; Ma, H.; Meng, X.; Wang, Z. Forecasting ultra-short-term wind power by multiview gated recurrent unit neural network. Energy Sci. Eng. 2022, 10, 3972–3986. [Google Scholar] [CrossRef]
  17. Yu, M.; Niu, D.; Gao, T.; Wang, K.; Sun, L.; Li, M.; Xu, X. A novel framework for ultra-short-term interval wind power prediction based on RF-WOA-VMD and BiGRU optimized by the attention mechanism. Energy 2023, 269, 126738. [Google Scholar] [CrossRef]
  18. Cui, X.; Yu, X.; Niu, D. The ultra-short-term wind power point-interval forecasting model based on improved variational mode decomposition and bidirectional gated recurrent unit improved by improved sparrow search algorithm and attention mechanism. Energy 2024, 288, 129714. [Google Scholar] [CrossRef]
  19. Wu, X.; Chen, N.; Du, Q.; Mao, S.; Ju, X. Short-term wind power prediction model based on ARMA-GRU-QPSO and error correction. J. Phys. Conf. Ser. 2023, 2427, 012028. [Google Scholar]
  20. Duan, J.; Wang, P.; Ma, W.; Fang, S.; Hou, Z. A novel hybrid model based on nonlinear weighted combination for short-term wind power forecasting. Int. J. Electr. Power Energy Syst. 2022, 134, 107452. [Google Scholar] [CrossRef]
  21. Al-qaness, M.A.A.; Ewees, A.A.; Fan, H.; Abualigah, L.; Elsheikh, A.H.; Abd Elaziz, M. Wind power prediction using random vector functional link network with capuchin search algorithm. Ain Shams Eng. J. 2023, 14, 102095. [Google Scholar] [CrossRef]
  22. Zou, F.; Sang, S.; Jiang, M.; Guo, H.; Yan, S.; Li, X.; Liu, X.; Zhang, H. A few-shot sample augmentation algorithm based on SCAM and DEPS for pump fault diagnosis. ISA Trans. 2023, 142, 445–453. [Google Scholar] [CrossRef] [PubMed]
  23. Pérez-Pérez, E.-J.; Puig, V.; López-Estrada, F.-R.; Valencia-Palomo, G.; Santos-Ruiz, I. Neuro-fuzzy Takagi Sugeno observer for fault diagnosis in wind turbines. IFAC-Pap. 2023, 56, 3522–3527. [Google Scholar] [CrossRef]
  24. Pérez-Pérez, E.-J.; López-Estrada, F.-R.; Puig, V.; Valencia-Palomo, G.; Santos-Ruiz, I. Fault diagnosis in wind turbines based on ANFIS and Takagi–Sugeno interval observers. Expert Syst. Appl. 2022, 206, 117698. [Google Scholar] [CrossRef]
  25. Dragomiretskiy, K.; Zosso, D. Variational Mode Decomposition. IEEE Trans. Signal Process. 2014, 62, 531–544. [Google Scholar] [CrossRef]
  26. Cheng, J.; Sun, J.; Yao, K.; Xu, M.; Cao, Y. A variable selection method based on mutual information and variance inflation factor. Spectrochim. Acta Part A Mol. Biomol. Spectrosc. 2022, 268, 120652. [Google Scholar] [CrossRef]
  27. Lei, X.; Xia, Y.; Wang, A.; Jian, X.; Zhong, H.; Sun, L. Mutual information based anomaly detection of monitoring data with attention mechanism and residual learning. Mech. Syst. Signal Process. 2023, 182, 109607. [Google Scholar] [CrossRef]
  28. Wang, Y.; Sui, C.; Liu, C.; Sun, J.; Wang, Y. Chicken swarm optimization with an enhanced exploration–exploitation tradeoff and its application. Soft Comput. 2023, 27, 8013–8028. [Google Scholar] [CrossRef]
  29. Shi, Q.; Suganthan, P.N. Double Regularization-Based RVFL and edRVFL Networks for Sparse-Dataset Classification. In International Conference on Neural Information Processing; Springer International Publishing: Cham, Switzerland, 2022; pp. 343–354. [Google Scholar]
Figure 1. The flowchart of the proposed prediction approach.
Figure 1. The flowchart of the proposed prediction approach.
Energies 18 06515 g001
Figure 2. MSE, RMSE, MAE, and R2 values of all models.
Figure 2. MSE, RMSE, MAE, and R2 values of all models.
Energies 18 06515 g002
Figure 3. Wind power prediction results.
Figure 3. Wind power prediction results.
Energies 18 06515 g003
Table 1. List of main acronyms used in this study.
Table 1. List of main acronyms used in this study.
AcronymFull Form
VMDVariational mode decomposition
IPCAIncremental principal component analysis
HSOHolistic swarm optimization
IHSOImproved holistic swarm optimization
RVFLRandom vector functional link
FSRVFLFeature space-regularized random vector functional link
Table 2. Basic information of the four monthly wind power datasets.
Table 2. Basic information of the four monthly wind power datasets.
MonthsDatasetData LengthPminPmaxPmeanKurtosisStd-DevSkewness
Mar.All (kW)29760.242.2810.76580.06989.80670.9016
Training (kW)23800.240.339.53130.54929.33681.1185
Testing (kW)5960.242.2815.6955−0.303410.09310.2768
Jun.All (kW)28800.243.8712.2838−0.427612.29590.8392
Training (kW)23040.243.8712.8667−0.644612.79730.7463
Testing (kW)5760.242.369.95230.66049.70881.1744
Sep.All (kW)28800.240.4610.4724−0.123610.23740.9642
Training (kW)23040.240.469.89210.269310.27211.1321
Testing (kW)5760.235.2412.7914−1.14319.76760.3511
Dec.All (kW)29760.242.522.3415−1.067311.8428−0.4003
Training (kW)23800.242.521.5629−1.160412.0124−0.3315
Testing (kW)5960.240.8425.4510−0.572610.5926−0.6363
Table 3. Number of IMF components and number of remaining components obtained by VMD of environmental sequence.
Table 3. Number of IMF components and number of remaining components obtained by VMD of environmental sequence.
Environmental FactorIMFsResidual
Air pressure61
Relative humidity71
Cloud cover91
Wind speed of 10 m71
Wind direction of 10 m91
Temperature71
Irradiation intensity71
Precipitation81
Wind speed of 100 m71
Wind direction of 100 m91
Table 4. Principal component eigenvalues and variance contribution rates.
Table 4. Principal component eigenvalues and variance contribution rates.
IngredientsVCRCVCRIngredientsVCRCVCR
112.6712.6792.6847.14
27.1419.81102.5949.73
35.9625.77112.5152.24
44.5530.32122.3354.57
53.8234.14
63.5037.64840.00100.00
73.4741.12850.00100.00
83.3444.46860.00100.00
Table 5. Feature traceability from raw variables to final FSRVFL input.
Table 5. Feature traceability from raw variables to final FSRVFL input.
MonthRaw Env. VariablesVMD-Derived Features (IMFs + Residuals)PCA Components (K)Final FSRVFL Input Features
March108688
June108688
September108688
December108688
Table 6. Rolling-origin temporal validation results (mean ± std over K folds).
Table 6. Rolling-origin temporal validation results (mean ± std over K folds).
MonthModelMSE
(Mean ± Std)
RMSE
(Mean ± Std)
MAE
(Mean ± Std)
R2 (%)
(Mean ± Std)
MarchPersistence1.55 ± 0.121.25 ± 0.051.10 ± 0.0497.80 ± 0.15
Climatology1.30 ± 0.101.14 ± 0.040.98 ± 0.0398.40 ± 0.12
RVFL0.90 ± 0.060.95 ± 0.030.72 ± 0.0299.15 ± 0.08
Proposed Model0.67 ± 0.040.82 ± 0.020.62 ± 0.0299.40 ± 0.06
JunePersistence1.48 ± 0.121.22 ± 0.051.05 ± 0.0497.90 ± 0.15
Climatology1.25 ± 0.101.12 ± 0.040.96 ± 0.0398.50 ± 0.12
RVFL0.88 ± 0.060.94 ± 0.030.71 ± 0.0299.12 ± 0.08
Proposed Model0.64 ± 0.040.80 ± 0.020.61 ± 0.0299.37 ± 0.06
SeptemberPersistence1.50 ± 0.121.22 ± 0.051.08 ± 0.0497.70 ± 0.15
Climatology1.27 ± 0.101.13 ± 0.040.97 ± 0.0398.30 ± 0.12
RVFL0.86 ± 0.060.93 ± 0.030.70 ± 0.0299.17 ± 0.08
Proposed Model0.60 ± 0.040.77 ± 0.020.59 ± 0.0299.42 ± 0.06
DecemberPersistence1.45 ± 0.121.20 ± 0.051.02 ± 0.0498.00 ± 0.15
Climatology1.22 ± 0.101.10 ± 0.040.94 ± 0.0398.60 ± 0.12
RVFL0.84 ± 0.060.92 ± 0.030.69 ± 0.0299.21 ± 0.08
Proposed Model0.55 ± 0.040.74 ± 0.020.57 ± 0.0299.46 ± 0.06
Table 7. Diebold–Mariano test p-values for VMD-IPCA-IHSO-FSRVFL against baselines (MSE loss).
Table 7. Diebold–Mariano test p-values for VMD-IPCA-IHSO-FSRVFL against baselines (MSE loss).
MonthVs PersistenceVs ClimatologyVs RVFL
March0.00030.00100.0150
June0.00050.00200.0200
September0.00020.00080.0120
December0.00040.00150.0180
Table 8. Code name of each model.
Table 8. Code name of each model.
NameModels
Model 1BP
Model 2ELM
Model 3RVFL
Model 4FSRVFL
Model 5EMD_FSRVFL
Model 6VMD_FSRVFL
Model 7VMD-IPCA-FSRVFL
Model 8VMD-IPCA-HSO-FSRVFL
Model 9VMD-IPCA-IHSO-FSRVFL
Table 9. Statistical measures of wind power prediction.
Table 9. Statistical measures of wind power prediction.
DatasetModelsMSERMSEMAER2 (%)
MarchBP1.04341.02150.813299.0716
ELM0.98440.99220.795299.1226
RVFL0.95150.97550.740799.1510
FSRVFL0.89360.94530.733899.2026
EMD_FSRVFL0.87070.93310.719099.2233
VMD_FSRVFL0.82430.91890.717599.2467
VMD-IPCA-FSRVFL0.81320.90170.713399.2745
VMD-IPCA-HSO-FSRVFL0.74640.86400.646399.3339
VMD-IPCA-IHSO-FSRVFL0.64050.80030.605799.4285
JuneBP0.96410.98190.734098.9952
ELM0.92220.96030.731499.0379
RVFL0.90280.95010.710999.0586
FSRVFL0.88180.93910.743099.0804
EMD_FSRVFL0.83600.91430.740599.1292
VMD_FSRVFL0.77370.87960.735499.1946
VMD-IPCA-FSRVFL0.75730.87020.689699.2108
VMD-IPCA-HSO-FSRVFL0.71650.84640.600399.2527
VMD-IPCA-IHSO-FSRVFL0.61470.78410.616199.3589
SeptemberBP0.88360.94000.655899.1101
ELM0.84190.91760.687999.1510
RVFL0.82310.90730.685599.1716
FSRVFL0.77270.87910.605499.2203
EMD_FSRVFL0.72700.85260.613699.2666
VMD_FSRVFL0.68940.83030.581399.3047
VMD-IPCA-FSRVFL0.62670.79160.584999.3679
VMD-IPCA-HSO-FSRVFL0.60870.78020.561299.3864
VMD-IPCA-IHSO-FSRVFL0.57360.75740.565499.4213
DecemberBP0.95620.97790.781899.1496
ELM0.92110.95980.755599.1800
RVFL0.88800.94230.779399.2104
FSRVFL0.85290.92350.760299.2420
EMD_FSRVFL0.74480.86300.691999.3378
VMD_FSRVFL0.64710.80440.642299.4241
VMD-IPCA-FSRVFL0.60340.77680.623999.4629
VMD-IPCA-HSO-FSRVFL0.56630.75250.587399.4959
VMD-IPCA-IHSO-FSRVFL0.52330.72340.563199.5342
Table 10. Ablation study on manifold regularization for FSRVFL (single-step setting).
Table 10. Ablation study on manifold regularization for FSRVFL (single-step setting).
MonthModelMSERMSEMAER2 (%)
MarchRVFL0.83620.91440.705699.15
FSRVFL-S0.77430.87990.674499.28
FSRVFL-M10.71690.84670.645399.35
FSRVFL-M20.67000.81850.622199.40
JuneRVFL0.79880.89380.695399.12
FSRVFL-S0.73960.86000.664499.25
FSRVFL-M10.68480.82750.635399.32
FSRVFL-M20.64000.80000.610199.37
SeptemberRVFL0.74890.86540.672499.17
FSRVFL-S0.69340.83270.642499.30
FSRVFL-M10.64200.80120.615599.37
FSRVFL-M20.60000.77460.590999.42
DecemberRVFL0.68640.82850.654899.21
FSRVFL-S0.63560.79720.627699.34
FSRVFL-M10.58850.76710.598999.41
FSRVFL-M20.55000.74160.572199.46
Table 11. Average training and forecasting time of different models.
Table 11. Average training and forecasting time of different models.
ModelTraining Time Per Month (s)Forecasting Time Per Step (s)
BP3.20.0012
ELM1.80.0009
RVFL2.10.0010
FSRVFL4.50.0015
EMD_FSRVFL9.80.0070
VMD_FSRVFL11.30.0078
VMD-IPCA-FSRVFL28.60.0120
VMD-IPCA-HSO-FSRVFL35.40.0185
Disclaimer/Publisher’s Note: The statements, opinions and data contained in all publications are solely those of the individual author(s) and contributor(s) and not of MDPI and/or the editor(s). MDPI and/or the editor(s) disclaim responsibility for any injury to people or property resulting from any ideas, methods, instructions or products referred to in the content.

Share and Cite

MDPI and ACS Style

Duan, W.; Zhang, Z.; Zhong, A.; Tang, Z. A Robust Wind Power Forecasting Framework for Non-Stationary Signals via Decomposition and Metaheuristic Optimization. Energies 2025, 18, 6515. https://doi.org/10.3390/en18246515

AMA Style

Duan W, Zhang Z, Zhong A, Tang Z. A Robust Wind Power Forecasting Framework for Non-Stationary Signals via Decomposition and Metaheuristic Optimization. Energies. 2025; 18(24):6515. https://doi.org/10.3390/en18246515

Chicago/Turabian Style

Duan, Weiping, Zhirong Zhang, Anjie Zhong, and Zhongyi Tang. 2025. "A Robust Wind Power Forecasting Framework for Non-Stationary Signals via Decomposition and Metaheuristic Optimization" Energies 18, no. 24: 6515. https://doi.org/10.3390/en18246515

APA Style

Duan, W., Zhang, Z., Zhong, A., & Tang, Z. (2025). A Robust Wind Power Forecasting Framework for Non-Stationary Signals via Decomposition and Metaheuristic Optimization. Energies, 18(24), 6515. https://doi.org/10.3390/en18246515

Note that from the first issue of 2016, this journal uses article numbers instead of page numbers. See further details here.

Article Metrics

Back to TopTop