Cooling Performance of Night Ventilation and Climate Adaptation of Vernacular Buildings in the Turpan Basin with an Extremely Hot–Arid Climate
Abstract
1. Introduction
1.1. Background
1.2. Cooling Performance of Natural Ventilation in Hot and Arid Climate
2. Methodology
2.1. The Building’s Characteristics
2.2. Field Measurement
2.3. Numerical Simulation
3. Results and Discussion
3.1. Outdoor Climate Analysis
3.2. Cooling Potential of Night Ventilation in Turpan Basin
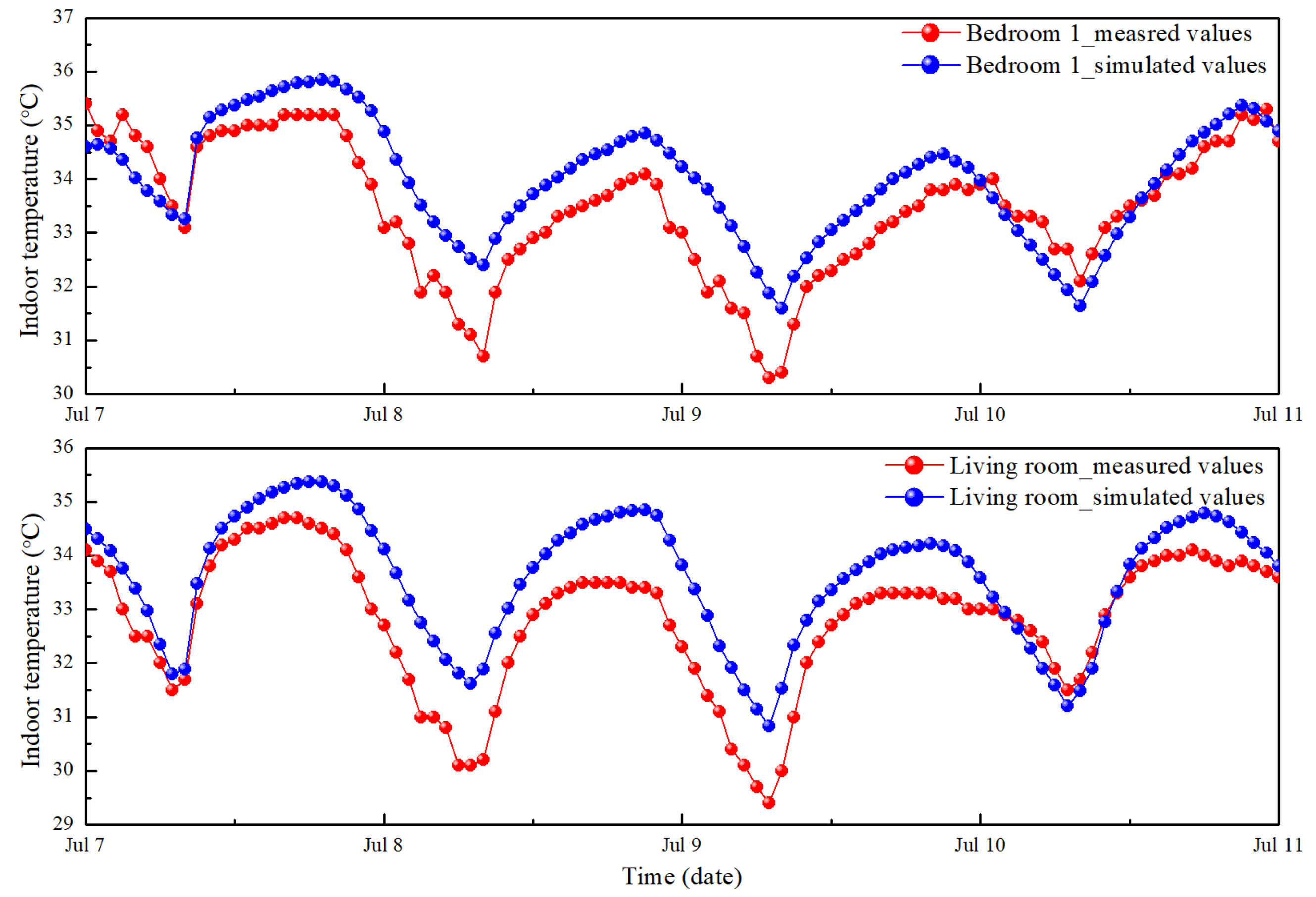
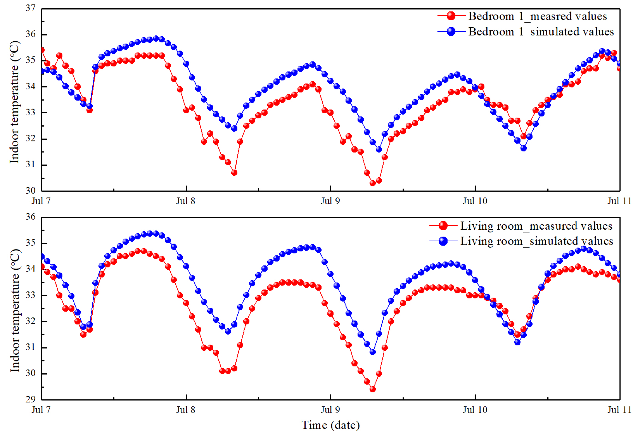
3.2.1. Cooling Performance of Night Ventilation During the Field Measurements
3.2.2. Effect of Window-to-Wall Ratio on Indoor Thermal Comfort of Night Ventilation Rooms with Different Orientations
3.3. Effect of Orientation on Indoor Thermal Environment for Night Ventilation Building
3.4. Effect of Shading Projection Factor of Windows on Indoor Thermal Comfort of Night Ventilation Rooms
3.5. Comparison of Indoor Thermal Conditions Between the Above-Ground and Semi-Underground Rooms
3.6. Effect of Air-Drying Shelter on Indoor Thermal Conditions for Night Ventilation Building
4. Conclusions and Limitations
- Night ventilation effectively reduces indoor temperature. On a representative day, two aboveground rooms and one semi-underground room cooled by 3.50 °C, 3.80 °C and 2 °C, respectively, during ventilation. For every 1 °C drop in outdoor temperature, indoor temperatures decreased by 0.22–0.34 °C (night ventilation) vs. 0.01–0.13 °C (windows closed). Night ventilation also lowered next-day peak temperatures by 2.90–3.20 °C.
- Window-to-wall ratio and shading projection factor significantly affect thermal environment: Higher window-to-wall ratios enhance nighttime cooling but raise daytime temperatures and DDH values. DDH rose by 19.14% and 27.68% for two aboveground rooms when the ratio increased from 15% to 35%. Appropriately sized shading devices effectively mitigate daytime overheating from larger window areas. For rooms with a 35% window-to-wall ratio, DDH decreases by 13.26% when the shading projection factor increases from 0.1 to 0.5.
- Building orientation matters for aboveground rooms: South-facing rooms experience faster warming and higher temperatures due to direct solar gain; north-facing rooms are more comfortable (lower temperature, higher relative humidity). Window shading improves south-facing rooms’ summer comfort. Orientation has negligible effects on semi-underground rooms.
- Semi-underground rooms offer superior comfort: Compared to aboveground rooms, they have lower temperatures (5.60 °C lower maximum, 3 °C lower minimum on a representative day), smaller temperature fluctuations (3.7 °C vs. 6.80 °C), and higher relative humidity (21.70–36.80%), benefiting local residents’ thermal comfort and health.
- Thick earth walls mitigate temperature swings via high thermal resistance and inertia: The external surface temperature’s daily amplitude was 13.7 times that of the internal surface, with a 3.5 h lag in peak internal temperature. Semi-underground rooms’ wall internal surfaces were 5.10 °C cooler on average, with a diurnal variation of only 1.10 °C, enhancing thermal stability.
- Air-drying shelters regulate roof heat transfer: They reduced roof external surface temperature from noon to midnight and lowered average indoor temperature by 1.70 °C. During sealed and night ventilation periods, roof internal surface temperatures decreased by 1.02 °C and 2.09 °C, respectively.
Author Contributions
Funding
Data Availability Statement
Conflicts of Interest
References
- Arumugam, P.; Ramalingam, V.; Vellaichamy, P. Effective PCM, insulation, natural and/or night ventilation techniques to enhance the thermal performance of buildings located in various climates–A review. Energy Build. 2022, 258, 111840. [Google Scholar] [CrossRef]
- Zhang, Z.; Zhang, Y.; Jin, L. Thermal comfort in interior and semi-open spaces of rural folk houses in hot-humid areas. Build. Environ. 2018, 128, 336–347. [Google Scholar] [CrossRef]
- Zheng, W.; Wei, F.; Su, S.; Cai, J.; Wei, J.; Hu, R. Effect of the envelope structure on the indoor thermal environment of low-energy residential building in humid subtropical climate: In case of brick-timber vernacular dwelling in China. Environ. Technol. Innov. 2022, 28, 102884. [Google Scholar] [CrossRef]
- Yang, W.; Xu, J.; Lu, Z.; Yan, J.; Li, F. A systematic review of indoor thermal environment of the vernacular dwelling climate responsiveness. J. Build. Eng. 2022, 53, 104514. [Google Scholar] [CrossRef]
- Liu, M.; Shen, B.; Liu, L.; Li, Q.; Mao, W.; Gan, Z.; Liu, H. Source tracing the bedroom bacteria across different climate zones in China during the heating season. Build. Environ. 2024, 259, 111651. [Google Scholar] [CrossRef]
- Huang, L.; Hamza, N.; Lan, B.; Zahi, D. Climate-responsive design of traditional dwellings in the cold-arid regions of Tibet and a field investigation of indoor environments in winter. Energy Build. 2016, 128, 697–712. [Google Scholar] [CrossRef]
- Sun, H.; Leng, M. Analysis on building energy performance of Tibetan traditional dwelling in cold rural area of Gannan. Energy Build. 2015, 96, 251–260. [Google Scholar] [CrossRef]
- Zhang, J.; Xu, W.; Li, A.; Zheng, K.; Zhang, J. Modified method for evaluating improved technologies for indoor thermal environment of earth buildings. Build. Environ. 2018, 144, 673–681. [Google Scholar] [CrossRef]
- Li, Q.; You, R.; Chen, C.; Yang, X. A field investigation and comparative study of indoor environmental quality in heritage Chinese rural buildings with thick rammed earth wall. Energy Build. 2013, 62, 286–293. [Google Scholar] [CrossRef]
- Nie, Q.; Zhao, S.; Zhang, Q.; Liu, P.; Yu, Z. An investigation on the climate-responsive design strategies of vernacular dwellings in Khams. Build. Environ. 2019, 161, 106248. [Google Scholar] [CrossRef]
- Zhu, X.; Liu, J.; Yang, L.; Hu, R. Energy performance of a new Yaodong dwelling, in the loess Plateau of China. Energy Build. 2014, 70, 159–166. [Google Scholar] [CrossRef]
- Zhu, J.; Tong, L.; Li, R.; Yang, J.; Li, H. Annual thermal performance analysis of underground cave buildings based on climate responsive design. Renew. Energy 2020, 145, 1633–1646. [Google Scholar] [CrossRef]
- Zhao, X.; Nie, P.; Zhu, J.; Tong, L.; Liu, Y. Evaluation of thermal environments for cliff-side cave dwellings in cold region of China. Renew. Energy 2020, 158, 154–166. [Google Scholar] [CrossRef]
- Yang, L.; Hao, T.; Liu, Y.; Yuan, W.; Liu, J. Dry and hot climate adaption prototype of Traditional dwellings. Build. Energy Effic. 2021, 49, 105–115. (In Chinese) [Google Scholar]
- Zhang, L.; Sang, G.; Han, W. Effect of hygrothermal behaviour of earth brick on indoor environment in a desert climate. Sustain. Cities Soc. 2020, 55, 102070. [Google Scholar] [CrossRef]
- Zhang, Q. Development of the typical meteorological database for Chinese locations. Energy Build. 2006, 38, 1320–1326. [Google Scholar] [CrossRef]
- Yan, H.; Yang, L.; Zheng, W.; He, W.; Li, D. Analysis of behaviour patterns and thermal responses to a hot-arid climate in rural China. J. Therm. Biol. 2016, 59, 92–102. [Google Scholar] [CrossRef]
- Chang, S.; He, W.; Yan, H.; Yang, L.; Song, C. Influences of vernacular building spaces on human thermal comfort in China’s arid climate areas. Energy Build. 2021, 244, 110978. [Google Scholar] [CrossRef]
- Yang, L.; Fu, R.; He, W.; He, Q.; Liu, Y. Adaptive thermal comfort and climate responsive building design strategies in dry-hot and dry-cold areas: Case study in Turpan, China. Energy Build. 2020, 209, 109678. [Google Scholar] [CrossRef]
- He, W.; Wu, Z.; Jin, R.; Liu, J. Organization and evolution of climate responsive strategies, used in Turpan vernacular buildings in arid region of China. Front. Archit. Res. 2023, 12, 556–574. [Google Scholar] [CrossRef]
- Zhang, L.; Sang, G.; Zhu, Y.; Cui, X.; Han, W.; Zhang, Y.; Yu, H. Thermal regulation mechanism of air-drying shelter to indoor environment of earth buildings located in Turpan basin with extremely dry and hot climate conditions. Sustain. Cities Soc. 2023, 91, 104416. [Google Scholar] [CrossRef]
- Zhang, L.; Sang, G.; Cui, X.; Han, W. Design optimization of rural building in dry-hot and dry-cold area using a back propagation (BP) neural network. Energy Build. 2022, 259, 111899. [Google Scholar] [CrossRef]
- Ezzeldin, S.; Rees, S.J. The potential for office buildings with mixed-mode ventilation and low energy cooling systems in arid climates. Energy Build. 2013, 65, 368–381. [Google Scholar] [CrossRef]
- Mohamed, S.; Al-Khatri, H.; Calautit, J.; Omer, S.; Riffat, S. The impact of a passive wall combining natural ventilation and evaporative cooling on school’s thermal conditions in a hot climate. J. Build. Eng. 2021, 44, 102624. [Google Scholar] [CrossRef]
- Osman, M.M.; Sevinc, H. Adaptation of climate-responsive building design strategies and resilience to climate change in the hot/arid region of Kharttoum, Sudan. Sustain. Cities Soc. 2019, 47, 101429. [Google Scholar] [CrossRef]
- Dong, X.; Soebarto, V.; Griffith, M. Achieving thermal comfort in naturally ventilated rammed earth houses. Build. Environ. 2014, 82, 588–598. [Google Scholar] [CrossRef]
- Solgi, E.; Hamedani, Z.; Fernando, R.; Skates, H.; Orji, N.E. A literature review of night ventilation strategies in buildings. Energy Build. 2018, 173, 337–352. [Google Scholar] [CrossRef]
- Michael, A.; Demosthenous, D.; Philokyprou, M. Natural ventilation for cooling in Mediterranean climate: A case study in vernacular architecture of Cyprus. Energy Build. 2017, 144, 333–345. [Google Scholar] [CrossRef]
- Kyritsi, E.; Michael, A. An assessment of the impact of natural ventilation strategies and window opening patterns in office buildings in the mediterranean basin. Build. Environ. 2020, 175, 106384. [Google Scholar] [CrossRef]
- Taleb, H.M. Natural ventilation as energy efficient solution for achieving low-energy houses in Dubai. Energy Build. 2015, 99, 284–291. [Google Scholar] [CrossRef]
- Omrani, S.; Garcia-Hansen, V.; Capra, B.R.; Drogemuller, R. Effect of natural ventilation mode on thermal comfort and ventilation performance: Full-scale measurement. Energy Build. 2017, 156, 1–16. [Google Scholar] [CrossRef]
- Izadyar, N.; Miller, W.; Rismanchi, B.; Garcia-Hansen, V. Impacts of façade openings’ geometry on natural ventilation and occupants’ perception: A review. Build. Environ. 2020, 170, 106613. [Google Scholar] [CrossRef]
- Al-Yasiri, Q.; Alktranee, M.; Szabó, M.; Arıcı, M. Building envelope-enhanced phase change material and night ventilation: Effect of window orientation and window-to-wall ratio on indoor temperature. Renew. Energy 2023, 218, 119263. [Google Scholar] [CrossRef]
- Guo, R.; Hu, Y.; Liu, M.; Heiselberg, P. Influence of design parameters on the night ventilation performance in office buildings based on sensitivity analysis. Sustain. Cities Soc. 2019, 50, 101661. [Google Scholar] [CrossRef]
- Rincón, L.; Carrobé, A.; Martorell, I.; Medrano, M. Improving thermal comfort of earthen dwellings in sub-Saharan Africa with passive design. J. Build. Eng. 2019, 24, 100732. [Google Scholar] [CrossRef]
- Bassoud, A.; Khelafi, H.; Mokhtari, A.M.; Bada, A. Evaluation of summer thermal comfort in arid desert areas. Case study: Old adobe building in Adrar (South of Algeria). Build. Environ. 2021, 205, 108140. [Google Scholar] [CrossRef]
- Fernandes, J.; Mateus, R.; Gervásio, H.; Silva, S.M.; Bragança, L. Passive strategies used in Southern Portugal vernacular rammed earth buildings and their influence in thermal performance. Renew. Energy 2019, 142, 345–363. [Google Scholar] [CrossRef]
- Yan, H.; Liu, Q.; Zhao, W.; Pang, C.; Dong, M.; Zhang, H.; Gao, J.; Wang, H.; Hu, B.; Yang, L.; et al. The coupled effect of temperature, humidity, and air movement on human thermal response in hot-humid and hot-arid climates in summer in China. Build. Environ. 2020, 177, 106898. [Google Scholar] [CrossRef]
- Dai, J.; Wang, J.; Bart, D.; Gao, W. The impact of building enclosure type and building orientation on indoor thermal comfort–A case study of Kashgar in China. Case Stud. Therm. Eng. 2023, 49, 103291. [Google Scholar] [CrossRef]
- Zhang, L.; Yang, L.; Jelle, B.P.; Wang, Y.; Gustavsen, A. Hygrothermal properties of compressed earthen bricks. Constr. Build. Mater. 2018, 162, 576–583. [Google Scholar] [CrossRef]





















| Detail Information | |
|---|---|
| Height | 7.07 m |
| Earth bricks | Bulk density is 1780 kg/m3. Thermal conductivity is 0.7246 W/m K. Specific heat capacity is 875 J/kg K. |
| Exterior walls | Earth walls with thickness of 500 mm. Thermal resistance is 0.69 m2 K/W. Thermal inertia is 1062 J/m2 K s1/2. |
| Interior walls | Earth walls with thickness of 200 mm. Thermal resistance is 0.27 m2 K/W. Thermal inertia is 1062 J/m2 K s1/2. |
| Building’s roof | A multilayer roof composed of wooden flat board (10 mm), wooden grille (60 mm), wooden purlin (150 mm), wooden board (10 mm), straw mat, straw−soil (200 mm) and cement plaster (30 mm) in turn. |
| Air−drying shelter’s roof | Wooden flat board covered with 200 thick straw−soil. |
| Carved walls of air−drying shelter | 200 mm thick carved walls with sixty or ninety holes. The area of single hole is 0.04 m2. |
| Windows | Painted wooden frame windows with 6 mm thick single layer glazing. |
| Date | Closing Time | Opening Time |
|---|---|---|
| July 7 | 08:00 in the morning | 20:30 in the night |
| July 8 | 09:00 in the morning | 21:20 in the night |
| July 9 | 08:45 in the morning | 21:10 in the night |
| July 10 | 09:15 in the morning | 20:15 in the night |
| Equipment | Range | Accuracy | Logging Interval |
|---|---|---|---|
| TESTO 175-H1 temperature and humidity recorder | −20~55 °C 0~100%RH | ±0.4 °C ±2%RH | 10 min |
| JTNT-A Multi-channel temperature recorder | −20~120 °C | ± 0.5 °C | 10 min |
| DELTAOHM HD-31 Multifunction tester | 0.1~40 m/s | ±0.2 m/s | 10 s |
| ONSET H21-USB weather station | −40~75 °C 0~100%RH 0~1280 W/m2 | ±0.2 °C ±2.5%RH ±10 W/m2 | 10 min |
Disclaimer/Publisher’s Note: The statements, opinions and data contained in all publications are solely those of the individual author(s) and contributor(s) and not of MDPI and/or the editor(s). MDPI and/or the editor(s) disclaim responsibility for any injury to people or property resulting from any ideas, methods, instructions or products referred to in the content. |
© 2025 by the authors. Licensee MDPI, Basel, Switzerland. This article is an open access article distributed under the terms and conditions of the Creative Commons Attribution (CC BY) license (https://creativecommons.org/licenses/by/4.0/).
Share and Cite
Han, Q.; Zhang, L.; Zheng, W.; Sang, G.; Zhu, Y. Cooling Performance of Night Ventilation and Climate Adaptation of Vernacular Buildings in the Turpan Basin with an Extremely Hot–Arid Climate. Energies 2025, 18, 6135. https://doi.org/10.3390/en18236135
Han Q, Zhang L, Zheng W, Sang G, Zhu Y. Cooling Performance of Night Ventilation and Climate Adaptation of Vernacular Buildings in the Turpan Basin with an Extremely Hot–Arid Climate. Energies. 2025; 18(23):6135. https://doi.org/10.3390/en18236135
Chicago/Turabian StyleHan, Qingqing, Lei Zhang, Wuxing Zheng, Guochen Sang, and Yiyun Zhu. 2025. "Cooling Performance of Night Ventilation and Climate Adaptation of Vernacular Buildings in the Turpan Basin with an Extremely Hot–Arid Climate" Energies 18, no. 23: 6135. https://doi.org/10.3390/en18236135
APA StyleHan, Q., Zhang, L., Zheng, W., Sang, G., & Zhu, Y. (2025). Cooling Performance of Night Ventilation and Climate Adaptation of Vernacular Buildings in the Turpan Basin with an Extremely Hot–Arid Climate. Energies, 18(23), 6135. https://doi.org/10.3390/en18236135

