Using Statistical Methods to Identify the Impact of Solid Fuel Boilers on Seasonal Changes in Air Pollution
Abstract
1. Introduction
2. Materials and Method
2.1. Air Pollution Measurement Methodology
- Humidity measurement: Measurement accuracy ±3% (in the absolute humidity range from 20% to 80%).
- Pressure measurement: Measurement accuracy ±0.12% (in the barometric pressure range from 700 kPa to 900 kPa).
- Temperature measurement accuracy:
- ○
- ±0.5% (in the temperature range from 0 to 65 °C);
- ○
- ±1.25% (in the temperature range from −20 to 0 °C);
- ○
- ±1.5% (in the temperature range from −40 to −20 °C).
2.2. Characteristics of Low-Power Boilers with Manual Fuel Loading
- Periodic increases in thermal energy demand resulting from seasonal changes and seasonal drops in outdoor temperatures observed between October and April. This is a natural phenomenon occurring in the analyzed climate zone, requiring residents to utilize heating devices to ensure comfortable living conditions. During these periods, we recorded local increases in air pollution resulting from the operation of the heating devices presented.
- Daily changes in air pollution indicators resulting from the operating characteristics of boilers with manual fuel loading. Technical data regarding the operation of these devices indicate that the boilers have a burn time of up to 24 h; unfortunately, in real conditions, the burn time is limited to a range of 6 to 12 h, depending on the outside temperature and the amount of fuel loaded [43,44].
- Fuel loading. Due to the residents’ lifestyles, this phase typically begins in the afternoon after returning from work. It can be assumed that most residents work a single shift and return home between 3 and 5 PM. During this period, both the boiler and the heating system are completely cooled (the water temperature in the boiler is approximately 20 °C). The boiler should be cleaned of ash and any remaining burnt fuel. A new batch of fuel, ranging from a few to a dozen kilograms, is then loaded. In addition to the fuel, a “kindling” in the form of pieces of wood or other materials is also placed in the boiler to ensure a quick flame with a combustion temperature sufficient to ignite the primary fuel (coal, fine coal, wood).
- Ignition phase. This is the combustion phase that produces the highest levels of pollutants. This phase lasts from one to several hours. During this phase, flammable materials ignite, with combustion temperatures sufficient to ignite the main fuel bed. The combustion process involves both the combustion of solid carbon and the combustion of volatile combustible components released from the fuel as a result of degassing, which is one of the combustion phases. During this phase, the combustion chamber is at a low temperature, preventing rapid degassing of combustible components. This combustion phase produces high emissions of carbon monoxide and soot, which are not combusted due to the low temperature of this process.
- The boiler operating parameters stabilization phase. After the ignition period, the combustion process gradually stabilizes. This phase lasts approximately 1 h. During this time, the water in the boiler and heating system reaches a temperature of 50 to 70 °C, which guarantees an increase in the temperature in the combustion chamber. In this phase of the combustion process, pollutant emissions gradually decrease, but the observed level of emitted pollutants still exceeds the emission standards for class 3 and 4 boilers according to PN-EN 303-5:2012.
- The stable combustion phase. This is the longest phase of the combustion process, lasting from 6 to 7 hours. During this period, the boiler operates stably. The building’s energy performance, in the form of poor thermal insulation, guarantees stable heat collection, enabling a uniform combustion process. Pollutant emissions are reduced.
- The bed burnout phase. This is the final phase of the combustion process. The fuel is completely burned, and the boiler water temperature gradually drops. During this phase, we observe low pollutant emissions and high oxygen concentration in the exhaust gases resulting from the absence of combustible substances. This phase lasts approximately one hour.
3. Results
- Standard combustion process (SCP)—Weekdays, when most residents return home in the afternoon.
- Weekend (WEEKEND)—Days off from work, characterized by a different lifestyle of the residents.
- Constant heat reception (CHR)—Days with forced, continuous boiler operation cycle with manual fuel loading. The heating system does not cool down because the low outside temperature remains at a similar level throughout the day.
- Int0: Hours in the interval between [3.00 PM and 9.00 PM);
- Int1: Hours in the interval between [9.00 PM and 9.00 AM);
- Int2: Hours in the interval between [9.00 AM and 3.00 PM).
3.1. Air Pollution Recording Results for the Pleszew Administrative Area (Poland) over the Years 2022–2024
- Average annual limit: 15 µg/m3 (previously 20 µg/m3);
- Daily limit: 45 µg/m3 (previously 50 µg/m3).
- Annual limit: 40 µg/m3;
- Daily limit: 50 µg/m3.
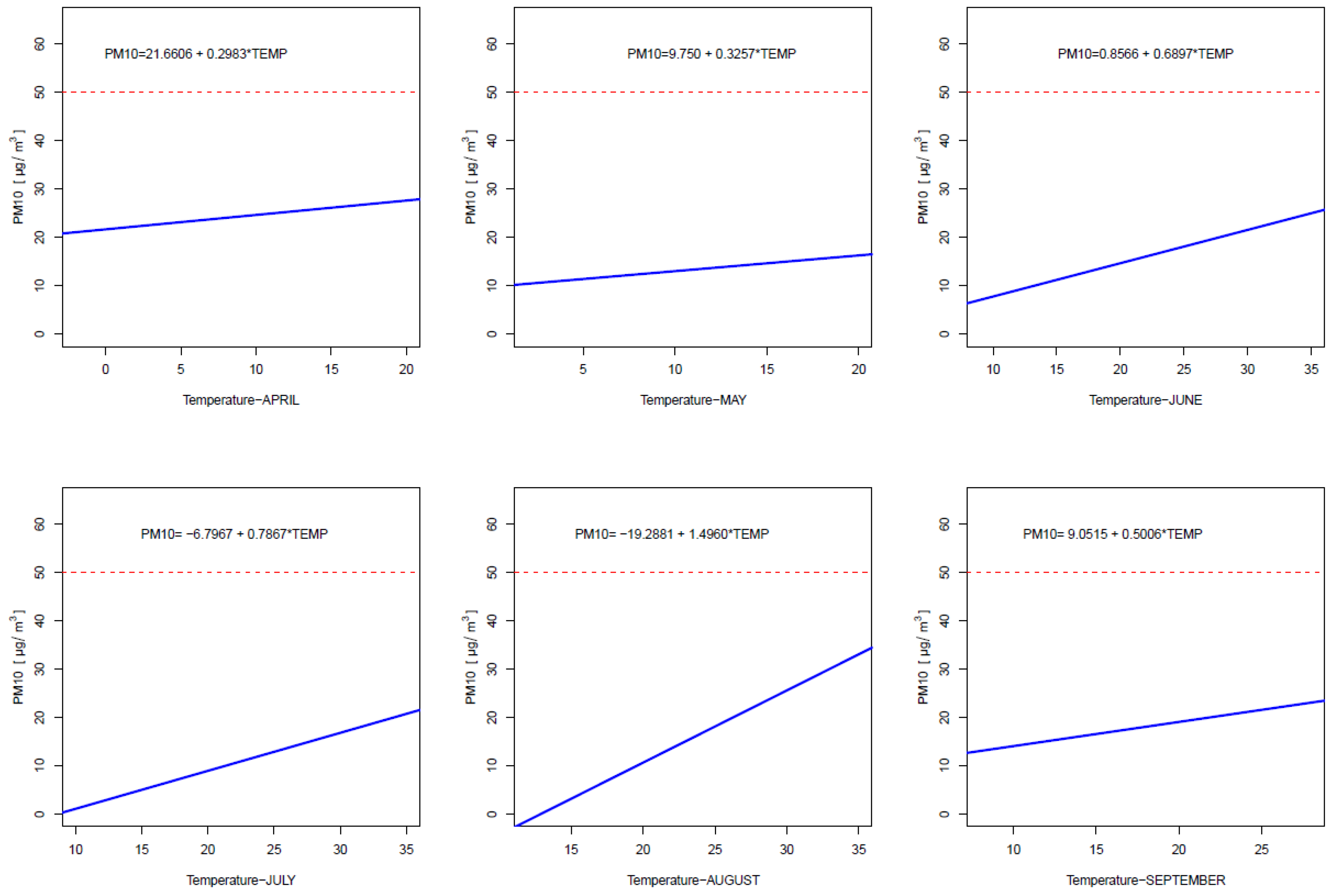
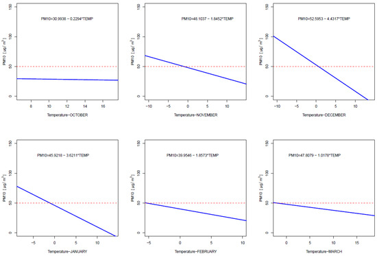
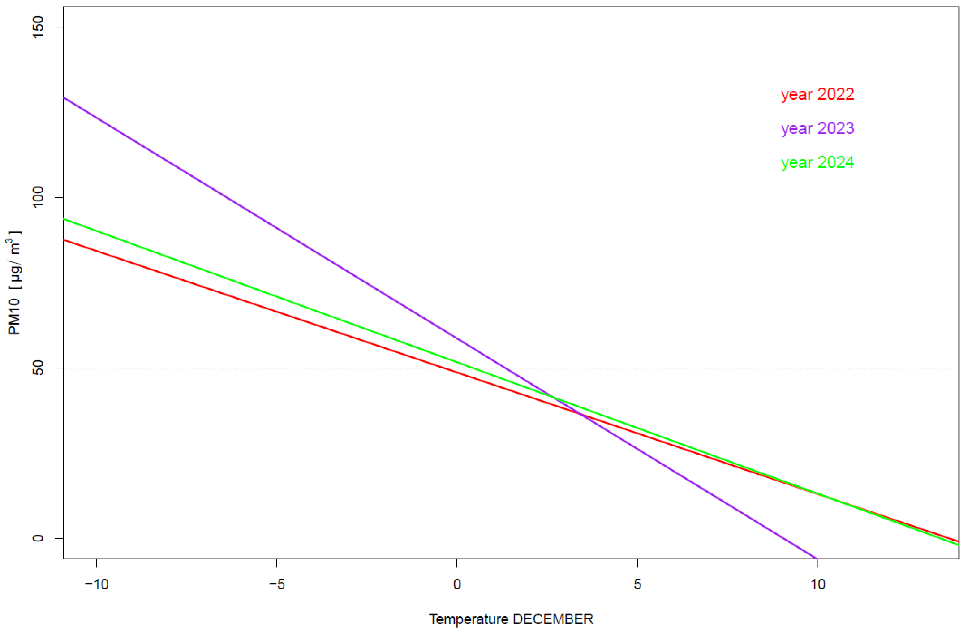
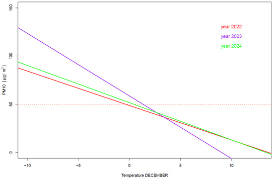
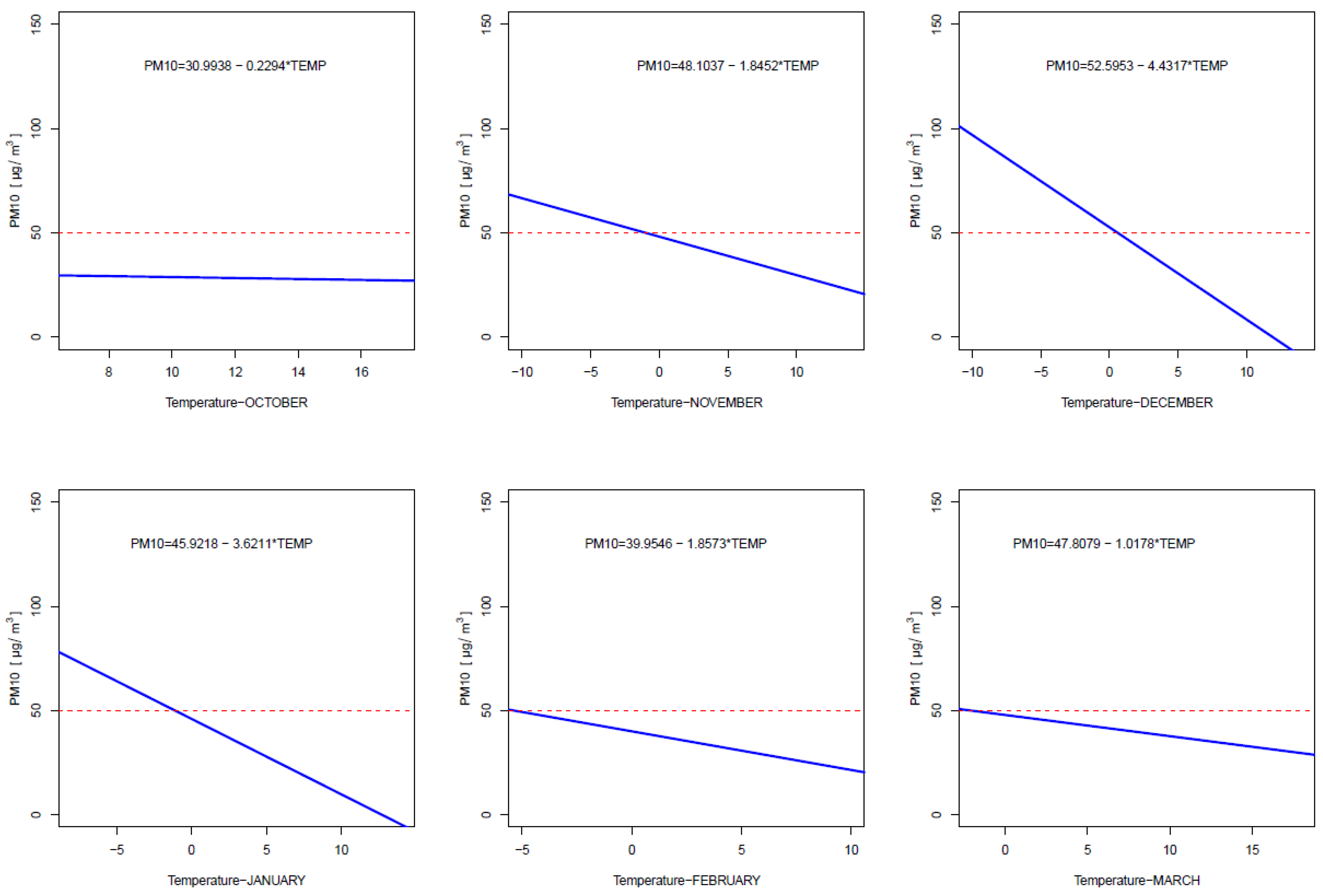
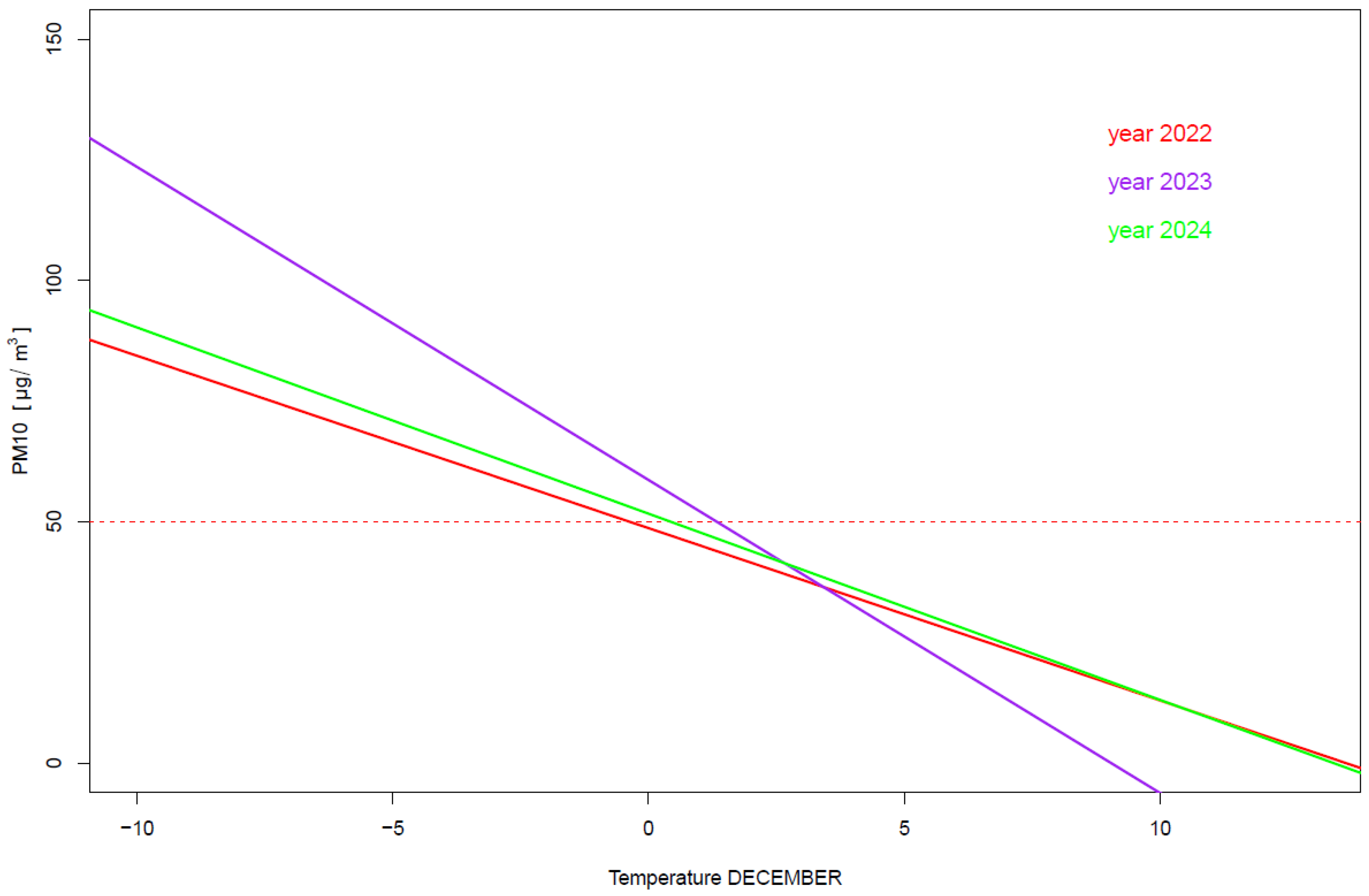
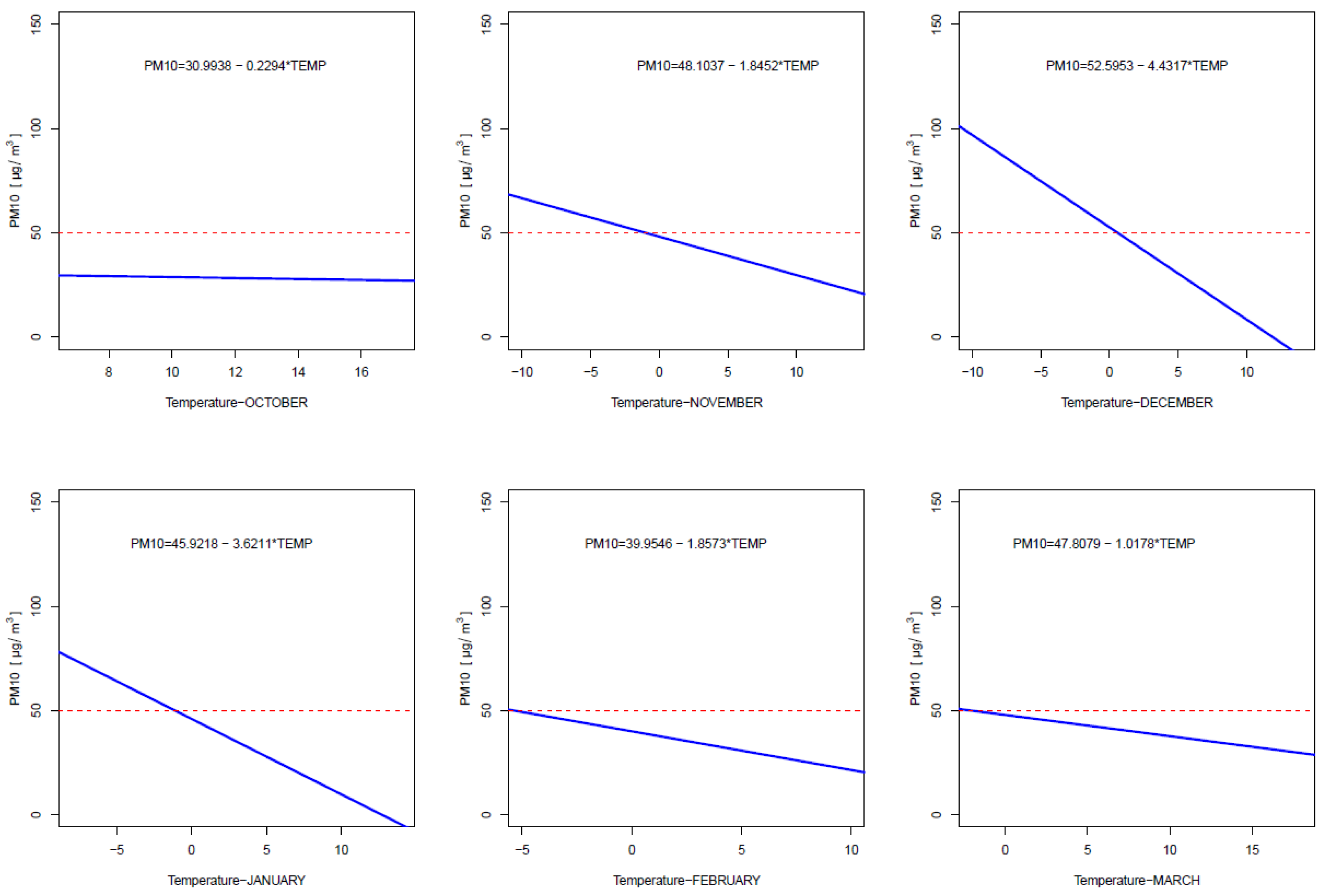
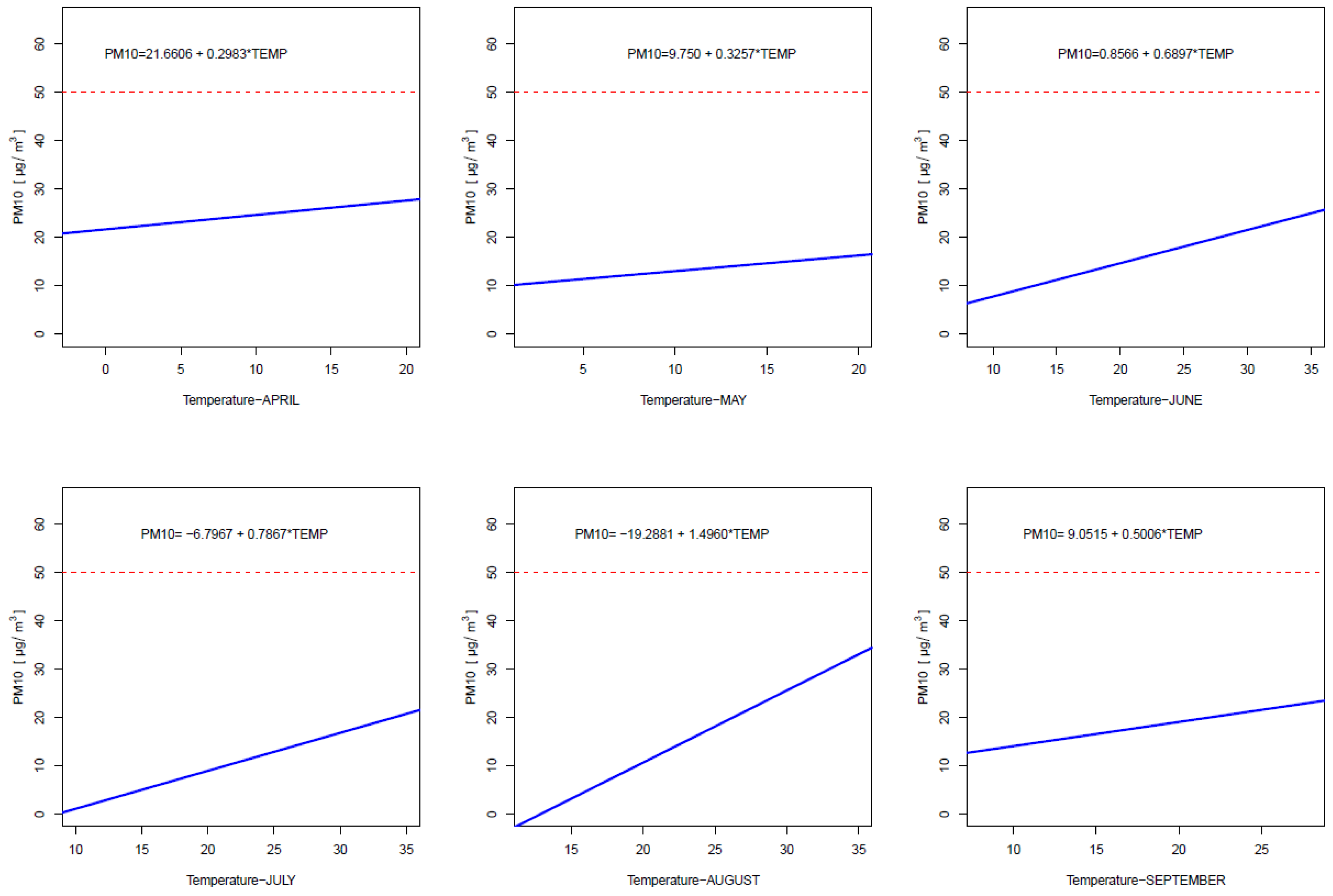
- The impact of air temperature outside heated buildings (relative to boiler use intensity) on PM10 levels. We answer the question of how PM10 values change depending on the temperature. Based on the years 2022–2024, we created a prediction model for each month that allowed us to predict the level of PM10 pollution in the future depending on the temperature.
- For randomly selected days, we analyzed how PM10 concentrations changed over the course of a single 24 h period depending on the time of day. This is, of course, closely related to the stages of the combustion process, i.e., the operation of hand-fired grate boilers. This confirmed the thesis that hand-fired grate boilers are the main cause of increased air pollution on a daily and hourly basis.
3.2. Daily Distribution of Air Pollution for the Administrative Area of Pleszew (Poland) over the Years 2022–2024
3.3. Linear Regression Model
- sxy is the sample covariance: ;
- is the sample standard deviation for the variable X, ;
- is the sample standard deviation for the variable Y, .
- 0—No linear relationship;
- 0–0.2—Very weak linear relationship;
- 0.2–0.4—Weak linear relationship;
- 0.4–0.6—Moderate linear relationship;
- 0.6–0.8—Strong linear relationship;
- 0.8–1—Very strong linear relationship.
- Jan—Data from January 2022, January 2023, and January 2024 taken together;
- Feb—Data from February 2022, February 2023, and February 2024 taken together;
- …
- Dec—Data from December 2022, December 2023, and December 2024 taken together.
- is the observed individual i-th value in the j-th year (random variable, dependent);
- is the intercept of the linear regression (fixed parameter);
- is the linear regression coefficient (fixed parameter);
- is the i-th value of the independent variable (covariate) in the j-th year;
- is the random effect of the j-th year;
- is the random error of the i-th observation in the j-th year.
- , ;
- , ;
- , .
3.4. Regression Analysis of PM10 Concentration on Temperature
- is the observed individual i-th value (random, dependent variable);
- is the intercept of linear regression (fixed parameter);
- is the linear regression coefficient (fixed parameter);
- is the i-th value of the independent variable (covariate);
- is the random error of the i-th observation.
- , ;
- , .
3.5. Daily and Hourly Air Pollution Analysis
- (1)
- on 15 November 2022 and two days preceding and two days following (five consecutive days randomly selected from the 2022 heating period);
- (2)
- on three randomly selected days from the 2023 heating period (a spring day, an autumn day, and a winter day);
- (3)
- on randomly selected days (from three years), taking into account the combustion process and heat reception.
- means the average concentration of PM10 during the time interval Int0, i.e., in the hourly interval from [3:00 PM to 9:00 PM);
- means the average concentration of PM10 during the time interval Int1, i.e., in the hourly interval from [9:00 PM to 9:00 AM);
- means the average concentration of PM10 during the time interval Int2, i.e., in the hourly interval from [9:00 AM to 3:00 PM).
- 15 November 2022—Tuesday;
- 15 March 2023—Wednesday;
- 23 October 2023—Monday;
- 14 April 2024—Monday.
- 19 November 2022—Saturday;
- 10 February 2024—Saturday.
- 12 November 2024—Tuesday—Temperature around 0 °C all day.
4. Discussion and Conclusions
- The statistical analysis carried out in this study showed a significant relationship between the temperature drop and the increase in the concentration of suspended PM10 particulate matter in the heating season, which confirms the hypothesis about the dominant influence of atmospheric conditions (especially low temperature) on pollutant emissions.
- The key role of manually hand-fired boilers in shaping the level of particulate matter emissions was pointed out, which suggests the need for further regulation and modernization of this type of combustion source.
- The daily PM10 standard, i.e., 50 µg/m3 (according to EU regulations), was exceeded on days when constant heat removal occurred due to low outside temperatures.
- Division of the day into three time intervals (Int0, Int1, Int2) proved to be an effective analytical tool enabling the identification of periods with the highest risk of high PM10 concentrations.
- The highest concentrations were recorded in the autumn–winter season during the afternoon and evening hours (Int0) on weekdays, which is associated with the intensification of solid fuel combustion in households.
- The results confirm that pollutant emissions are not solely a function of technical factors but are also significantly related to residents’ lifestyles, highlighting the importance of social aspects in air quality research.
- The developed linear regression model enables effective forecasting of local PM10 concentrations depending on temperature, which is a useful tool in planning environmental policy and preventive measures.
- The conducted analysis of variance (ANOVA) and Tukey’s post hoc tests revealed significant differences among the average particulate matter concentrations during the three daily intervals, indicating the complex nature of emission dynamics and the need to account for temporal variability in research and modeling.
Author Contributions
Funding
Data Availability Statement
Conflicts of Interest
Abbreviations
| ANOVA | Analysis of Variance |
| CHR | Constant Heat Reception |
| EU | European Union |
| PM | Particulate Matter |
| SCP | Standard Combustion Process |
| WHO | World Health Organization |
References
- Adamkiewicz, Ł.; Maciejewska, K.; Rabczenko, D.; Drzeniecka-Osiadacz, A. Ambient Particulate Air Pollution and Daily Hospital Admissions in 31 Cities in Poland. Atmosphere 2022, 13, 345. [Google Scholar] [CrossRef]
- Świeczkowski, M.; Kurasz, A.; Dąbrowski, E.J.; Bachorzewska-Gajewska, H.; Dobrzycki, S.; Kuzma, L. Analysis of Short- and Medium-Term Influence of Polish Smog on Atherothrombotic Cardiovascular Diseases in 709 Counties in Eastern Europe—Preliminary Results (EP-Particles Study). Eur. Heart J. 2023, 44 (Suppl. 2), ehad655.2572. [Google Scholar] [CrossRef]
- Adamkiewicz, Ł.; Maciejewska, K.; Skotak, K.; Krzyzanowski, M.; Badyda, A.; Juda-Rezler, K.; Dąbrowiecki, P. Health-Based Approach to Determine Alert and Information Thresholds for Particulate Matter Air Pollution. Sustainability 2021, 13, 1345. [Google Scholar] [CrossRef]
- WHO. Air Quality Guidelines—Global Update 2005: Particulate Matter, Ozone, Nitrogen Dioxide and Sulfur Dioxide; World Health Organization: Geneva, Switzerland, 2006; pp. 1–484. [Google Scholar]
- WHO. WHO Global Air Quality Guidelines: Particulate Matter (PM2.5 and PM10), Ozone, Nitrogen Dioxide, Sulfur Dioxide and Carbon Monoxide; World Health Organization: Geneva, Switzerland, 2021; pp. 1–218. [Google Scholar]
- WHO. Repository of Guidance Documents and Tools for Air Quality Management Systems; World Health Organization: Geneva, Switzerland, 2023; Available online: https://www.who.int/publications/m/item/repository-of-guidance-documents-and-tools-for-air-quality-management-systems (accessed on 6 August 2025).
- WHO. Epidemiological Repository on Particulate Matter and Mortality; World Health Organization: Geneva, Switzerland, 2022; Available online: https://www.who.int/tools/epidemiological-repository-on-particulate-matter-and-mortality (accessed on 6 August 2025).
- Directive 2008/50/EC of the European Parliament and of the Council of 21 May 2008 on Ambient Air Quality and Cleaner Air for Europe. Official Journal of the European Union. 2008. Available online: https://eur-lex.europa.eu/legal-content/EN/TXT/HTML/?uri=CELEX:32008L0050 (accessed on 8 August 2025).
- Tosun, J. The European Union’s Climate and Environmental Policy in Times of Geopolitical Crisis. J. Common Mark. Stud. 2023, 61, 147–156. [Google Scholar] [CrossRef]
- Bąk, I.; Barwińska-Małajowicz, A.; Wolska, G.; Walawender, P.; Hydzik, P. Is the European Union Making Progress on Energy Decarbonisation While Moving towards Sustainable Development? Energies 2021, 14, 3792. [Google Scholar] [CrossRef]
- Souza, A.d.; Oliveira-Júnior, J.F.d.; Cardoso, K.R.A.; Fernandes, W.A.; Pavao, H.G. The Impact of Meteorological Variables on Particulate Matter Concentrations. Atmosphere 2025, 16, 875. [Google Scholar] [CrossRef]
- Ziernicka-Wojtaszek, A.; Zuśka, Z.; Kopcińska, J. Assessment of the Effect of Meteorological Conditions on the Concentration of Suspended PM2.5 Particulate Matter in Central Europe. Sustainability 2024, 16, 4797. [Google Scholar] [CrossRef]
- Rincon, G.; Morantes, G.; Roa-López, H.; Castro, M.; Ochoa, A. Spatio-temporal statistical analysis of PM1 and PM2.5 concentrations and their key influencing factors at Guayaquil city, Ecuador. Stoch. Environ. Res. Risk Assess. 2023, 37, 1093–1117. [Google Scholar] [CrossRef]
- Tian, Y.; Zhang, L.; Wang, Y.; Song, J.; Sun, H. Temporal and Spatial Trends in Particulate Matter and the Responses to Meteorological Conditions and Environmental Management in Xi’an, China. Atmosphere 2021, 12, 1112. [Google Scholar] [CrossRef]
- Czernecki, B.; Półrolniczak, M.; Kolendowicz, L.; Marosz, M.; Kendzierski, S.; Pilguj, N. Influence of the atmospheric conditions on PM10 concentrations in Poznań, Poland. J. Atmos. Chem. 2017, 74, 115–139. [Google Scholar] [CrossRef]
- Beloconi, A.; Vounatsou, P. Substantial Reduction in Particulate Matter Air Pollution across Europe during 2006-2019: A Spatiotemporal Modeling Analysis. Environ. Sci. Technol. 2021, 55, 15505–15518. [Google Scholar] [CrossRef] [PubMed]
- Iriti, M.; Piscitelli, P.; Missoni, E.; Miani, A. Air Pollution and Health: The Need for a Medical Reading of Environmental Monitoring Data. Int. J. Environ. Res. Public Health 2020, 17, 2174. [Google Scholar] [CrossRef]
- Zhu, T.; Wan, W.; Liu, J.; Xue, T.; Gong, J.; Zhang, S. Insights into the New WHO Global Air Quality Guidelines. Kexue Tongbao 2022, 67, 697–706. [Google Scholar] [CrossRef]
- EN 303-5:2012; Heating Boilers—Part 5: Heating Boilers for Solid Fuels, Manually and Auto-Matically Stocked, Nominal Heat Output of up to 500 kW—Terminology, Requirements, Testing and Marking. Polish Committee for Standardization: Warsaw, Poland, 2012.
- Ecodesign Directive (EU) 2015/1189; Implementing Directive 2009/125/EC of the European Parliament and of the Council with Regard to Ecodesign Requirements for Solid Fuel Boilers. Commision Regulation (EU): Brussels, Belgium, 2015.
- Five Things We Learned from the World’s Biggest Air Pollution Database. Available online: https://unearthed.greenpeace.org/2018/05/02/air-pollution-cities-worst-global-data-world-health-organisation/ (accessed on 1 August 2025).
- Urząd Miasta i Gminy w Pleszewie. Ekspertyza—Źródła Ciepła na Terenie Miasta Pleszew. 2020. Available online: https://smart.pleszew.pl/wp-content/uploads/2023/01/Ekspertyza-inwentaryzacja-budynk%C3%B3w-i-lokali.pdf (accessed on 1 August 2025).
- Statistics Poland—Local Data Bank. Available online: https://bdl.stat.gov.pl (accessed on 6 August 2025).
- Ciupek, B. Laboratorium Spalania Paliw Kopalnych i Biomasy; Wyadawnictwo Politechniki Poznańskiej: Poznan, Poland, 2022; ISBN 978-83-7775-666-9. (In Polish) [Google Scholar]
- Ciupek, B. Kotły Grzewcze na Paliwa Stałe. Wybrane Aspekty Budowy i Eksploatacji; Wydawnictwo Politechniki Poznańskiej: Poznan, Poland, 2023; ISBN 978-83-7775-721-5. (In Polish) [Google Scholar]
- Ciupek, B.; Frąckowiak, A. Review of Thermal Calculation Methods for Boilers—Perspectives on Thermal Optimization for Improving Ecological Parameters. Energies 2024, 17, 6380. [Google Scholar] [CrossRef]
- Ciupek, B.; Urbaniak, R. Optimization of the Retort Burner Construction to Reduce Emission of Harmful Substances (Optymalizacja konstrukcji palnika retortowego w aspekcie obniżenia emisji substancji szkodliwych). Ciepłownictwo Ogrzew. Went. 2018, 49, 519–524. [Google Scholar] [CrossRef]
- Kubica, K. Uwarunkowania Czystego Spalania Paliw Stałych w Domowych Instalacjach Produkcji Energii Cieplnej; Instytut Techniki Cieplnej Politechniki Śląskiej: Gliwice, Poland, 2010. [Google Scholar]
- Hehlmann, J.; Kuberka, M. Biblioteka Dobrych Praktyk. konstrukcje Kotłów C.O. EiiP: Ostrów Wielkopolski, Poland, 2007. [Google Scholar]
- Plantower Sensor PMS7003. Available online: https://www.plantower.com/en/products_33/74.html (accessed on 23 June 2025).
- Bosch Sensortec. BME280 Combined Humidity and Pressure Sensor. Available online: https://www.bosch-sensortec.com/products/environmental-sensors/humidity-sensors-bme280/ (accessed on 23 June 2025).
- Zawistowski, J. Co to są Kotły Zasypowe? Available online: https://www.ogrzewnictwo.pl/artykuly/urzadzenia-grzewcze/kotly-c-o/kotly-na-paliwa-stale/co-to-sa-kotly-zasypowe-dr-inz-jacek-zawistowski (accessed on 23 June 2025).
- Persson, T.; Rönnbäck, M.; Mattsson, J.E.; Danielsson, B.-O.; Ryde, D. Chunkwood fuel feeding and combustion experiments in small-scale boilers to provide design suggestions for chunkwood friendly boiler construction. Sustain. Energy Technol. Assess. 2024, 71, 103986. [Google Scholar] [CrossRef]
- Adam, R.; Zeng, T.; Röver, L.; Schneider, P.; Werner, H.; Birnbaum, T.; Lenz, V. Long-term emission demonstration using pretreated urban non-woody biomass residues as fuel for small scale boilers. Renew. Energy 2024, 237, 121815. [Google Scholar] [CrossRef]
- Ciupek, B. Emission of nitrogen oxides (NOx) from a heating boiler fuelled by woody and non-woody biomass pellets supplied with an aqueous solution of urea. Biomass Bioenergy 2025, 202, 108202. [Google Scholar] [CrossRef]
- Sekyere, C.K.K.; Opoku, R.; Asaaga, B.; Baah, B.; Andoh, P.Y.; Obeng, G.Y.; Agbogla, J. Techno-environmental assessment of the fuel properties of a variety of briquettes for biomass boiler applications. Clean. Energy Syst. 2025, 10, 100185. [Google Scholar] [CrossRef]
- Szatyłowicz, E.; Walendziuk, W. Analysis of Polycyclic Aromatic Hydrocarbon Content in Ash from Solid Fuel Combustion in Low-Power Boilers. Energies 2021, 14, 6801. [Google Scholar] [CrossRef]
- Zając, G.; Gładysz, J.; Szyszlak-Bargłowicz, J. Effect of Changes in Mains Voltage on the Operation of the Low-Power Pellet Boiler. Energies 2025, 18, 498. [Google Scholar] [CrossRef]
- Dula, M.; Kraszkiewicz, A.; Parafiniuk, S. Combustion Efficiency of Various Forms of Solid Biofuels in Terms of Changes in the Method of Fuel Feeding into the Combustion Chamber. Energies 2024, 17, 2853. [Google Scholar] [CrossRef]
- Kurkus-Gruszecka, M.; Krawczyk, P.; Lewandowski, J. Numerical Analysis on the Flue Gas Temperature Maintenance System of a Solid Fuel-Fired Boiler Operating at Minimum Loads. Energies 2021, 14, 4420. [Google Scholar] [CrossRef]
- Abdillah, S.F.I.; Yang, T.-W.; You, S.-J.; Wang, Y.-F. Assessing trade-off between carbon and flue gas emissions in power plants: Influences of air pollution control devices, fuel types, and combustion reactors. J. Environ. Chem. Eng. 2025, 13, 115707. [Google Scholar] [CrossRef]
- Czaplicka, M.; Klyta, J.; Komosiński, B.; Konieczny, T.; Janoszka, K. Comparison of Carbonaceous Compounds Emission from the Co-Combustion of Coal and Waste in Boilers Used in Residential Heating in Poland, Central Europe. Energies 2021, 14, 5326. [Google Scholar] [CrossRef]
- Bartoszewicz, J.; Urbaniak, R. Analiza wpływu konfiguracji ustawień sterowania na pracę kotła małej mocy. Ciepłownictwo Ogrzew. Went. 2010, 7–8, 241–246. [Google Scholar]
- Gołoś, K.; Ciupek, B.; Judt, W.; Urbaniak, R. Impact of replacement of solid fuel heating boilers on air quality in Poland in 2000–2020. Przemysł Chem. 2021, 5, 486–489. [Google Scholar] [CrossRef]
- McCulloch, C.E.; Searle, S.R. Generalized, Linear, and Mixed Models; Wiley: New York, NY, USA, 2001; pp. 156–178. [Google Scholar]
- Rao, C.R.; Toutenburg, H. Linear Models, 2nd ed.; Springer: New York, NY, USA, 1999; pp. 23–121. [Google Scholar]
- R Core Team. R: A Language and Environment for Statistical Computing; R Foundation for Statistical Computing: Vienna, Austria, 2021; Available online: https://www.R-project.org/ (accessed on 1 November 2021).



















| Month | 2022 | 2023 | 2024 |
|---|---|---|---|
| January | 40.24 | 34.84 | 39.81 |
| February | 23.34 | 41.48 | 29.46 |
| March | 54.30 | 34.44 | 38.02 |
| April | 25.64 | 29.58 | 17.23 |
| May | 12.98 | 16.12 | 13.62 |
| June | 12.51 | 14.65 | 13.05 |
| July | 7.97 | 8.44 | 9.80 |
| August | 11.59 | 10.61 | 13.21 |
| September | 15.01 | 17.31 | 19.88 |
| October | 27.31 | 22.39 | 29.61 |
| November | 44.29 | 32.26 | 36.16 |
| December | 43.47 | 42.02 | 29.41 |
| Annual average: | 26.61 | 25.23 | 24.09 |
| Month: | Jan | Feb | Mar | Apr | May | Jun | Jul | Aug | Sep | Oct | Nov | Dec |
|---|---|---|---|---|---|---|---|---|---|---|---|---|
| r | −0.54 | −0.34 | −0.21 | 0.01 | 0.07 | 0.37 | 0.58 | 0.72 | 0.17 | −0.05 | −0.45 | −0.62 |
| December | |
|---|---|
| Temperature [°C] | PM10 [µg/m3] |
| −10 | 96.9123 |
| −5 | 74.7538 |
| 0 | 52.5953 |
| 5 | 30.4368 |
| 10 | 8.2783 |
| Day | p Value of ANOVA |
|---|---|
| 13 November 2022 | <0.001 *** |
| 14 November 2022 | <0.001 *** |
| 15 November 2022 | <0.001 *** |
| 16 November 2022 | <0.001 *** |
| 17 November 2022 | <0.001 *** |
| Day | Hour | Interval | Mean Value of PM10 | Tukey Group |
|---|---|---|---|---|
| 13 November 2022 | [3:00 PM–9:00 PM) | Int0 | 56.55556 | a |
| [9:00 AM–3:00 PM) | Int2 | 47.12500 | b | |
| [9:00 PM–9:00 AM) | Int1 | 44.15278 | b | |
| 14 November 2022 | [3:00 PM–9:00 PM) | Int0 | 49.08333 | a |
| [9:00 PM–9:00 AM) | Int1 | 48.75694 | a | |
| [9:00 AM–3:00 PM) | Int2 | 38.09722 | b | |
| 15 November 2022 | [3:00 PM–9:00 PM) | Int0 | 70.59722 | a |
| [9:00 AM–3:00 PM) | Int2 | 58.29167 | b | |
| [9:00 PM–9:00 AM) | Int1 | 49.59722 | c | |
| 16 November 2022 | [9:00 PM–9:00 AM) | Int1 | 26.77083 | a |
| [9:00 AM–3:00 PM) | Int2 | 17.63889 | b | |
| [3:00 PM–9:00 PM) | Int0 | 10.79167 | c | |
| 17 November 2022 | [3:00 PM–9:00 PM) | Int0 | 32.05556 | a |
| [9:00 PM–9:00 AM) | Int1 | 23.50694 | b | |
| [9:00 AM–3:00 PM) | Int2 | 22.16667 | b |
| Day | Hour | Interval | Mean Value of PM10 | Tukey Group |
|---|---|---|---|---|
| 15 March 2023 | [3:00 PM–9:00 PM) | Int0 | 57.38889 | a |
| [9:00 PM–9:00 AM) | Int1 | 32.04167 | b | |
| [9:00 AM–3:00 PM) | Int2 | 10.61111 | c | |
| 23 October 2023 | [3:00 PM–9:00 PM) | Int0 | 40.86111 | a |
| [9:00 PM–9:00 AM) | Int1 | 27.13889 | b | |
| [9:00 AM–3:00 PM) | Int2 | 17.5000 | c | |
| 1 December 2023 | [3:00 PM–9:00 PM) | Int0 | 240.7222 | a |
| [9:00 PM–9:00 AM) | Int2 | 186.3611 | b | |
| [9:00 AM–3:00 PM) | Int1 | 153.9028 | c |
| Day | Hour | Interval | Mean Value of PM10 | Tukey Group | |
|---|---|---|---|---|---|
| SCP (Tuesday) | 15 November 2022 | [3:00 PM–9:00 PM) | Int0 | 70.59722 | a |
| [9:00 AM–3:00 PM) | Int2 | 58.29167 | b | ||
| [9:00 PM–9:00 AM) | Int1 | 49.59722 | c | ||
| SCP (Wednesday) | 15 March 2023 | [3:00 PM–9:00 PM) | Int0 | 57.38889 | a |
| [9:00 PM–9:00 AM) | Int1 | 32.04167 | b | ||
| [9:00 AM–3:00 PM) | Int2 | 10.61111 | c | ||
| SCP (Monday) | 23 October 2023 | [3:00 PM–9:00 PM) | Int0 | 40.86111 | a |
| [9:00 PM–9:00 AM) | Int1 | 27.13889 | b | ||
| [9:00 AM–3:00 PM) | Int2 | 17.5000 | c | ||
| SCP (Monday) | 14 April 2024 | [3:00 PM–9:00 PM) | Int0 | 21.861111 | a |
| [9:00 PM–9:00 AM) | Int1 | 10.722222 | b | ||
| [9:00 AM–3:00 PM) | Int2 | 5.111111 | b | ||
| WEEKEND (Saturday) | 19 November 2022 | [9:00 PM–9:00 AM) | Int1 | 39.22222 | a |
| [3:00 PM–9:00 PM) | Int0 | 30.31944 | b | ||
| [9:00 AM–3:00 PM) | Int2 | 28.500 | b | ||
| WEEKEND (Saturday) | 10 February 2024 | [9:00 PM–9:00 AM) | Int1 | 58.47222 | a |
| [3:00 PM–9:00 PM) | Int0 | 53.58333 | b | ||
| [9:00 AM–3:00 PM) | Int2 | 46.33333 | c | ||
| CHR (Tuesday) | 12 November 2024 | [9:00 AM–3:00 PM) | Int2 | 55.36111 | a |
| [9:00 PM–9:00 AM) | Int1 | 52.90278 | ab | ||
| [3:00 PM–9:00 PM) | Int0 | 51.63889 | b |
Disclaimer/Publisher’s Note: The statements, opinions and data contained in all publications are solely those of the individual author(s) and contributor(s) and not of MDPI and/or the editor(s). MDPI and/or the editor(s) disclaim responsibility for any injury to people or property resulting from any ideas, methods, instructions or products referred to in the content. |
© 2025 by the authors. Licensee MDPI, Basel, Switzerland. This article is an open access article distributed under the terms and conditions of the Creative Commons Attribution (CC BY) license (https://creativecommons.org/licenses/by/4.0/).
Share and Cite
Bakinowska, E.; Dota, A.; Urbaniak, R.; Ciupek, B.; Żurawski, M.; Dębczyński, M. Using Statistical Methods to Identify the Impact of Solid Fuel Boilers on Seasonal Changes in Air Pollution. Energies 2025, 18, 5428. https://doi.org/10.3390/en18205428
Bakinowska E, Dota A, Urbaniak R, Ciupek B, Żurawski M, Dębczyński M. Using Statistical Methods to Identify the Impact of Solid Fuel Boilers on Seasonal Changes in Air Pollution. Energies. 2025; 18(20):5428. https://doi.org/10.3390/en18205428
Chicago/Turabian StyleBakinowska, Ewa, Alicja Dota, Rafał Urbaniak, Bartosz Ciupek, Marcin Żurawski, and Marek Dębczyński. 2025. "Using Statistical Methods to Identify the Impact of Solid Fuel Boilers on Seasonal Changes in Air Pollution" Energies 18, no. 20: 5428. https://doi.org/10.3390/en18205428
APA StyleBakinowska, E., Dota, A., Urbaniak, R., Ciupek, B., Żurawski, M., & Dębczyński, M. (2025). Using Statistical Methods to Identify the Impact of Solid Fuel Boilers on Seasonal Changes in Air Pollution. Energies, 18(20), 5428. https://doi.org/10.3390/en18205428

