Abstract
This study examined the impact of wind–wave misalignment on floating offshore wind turbines (FOWTs) in Irish waters, analysing average weather and extreme events, including hurricane conditions. Using the ERA5 reanalysis dataset validated against Irish Marine Data Buoy Observation Network measurements, the results showed a satisfactory accuracy with an average wind speed error of m/s and a strong correlation coefficient of . Wind–wave misalignment was found to be inversely correlated with wind speed (correlation coefficient: ), with minimum misalignment occurring approximately seven hours after a change in wind direction. The study revealed that misalignment could exceed during hurricanes, contradicting standard assumptions of alignment under extreme conditions. The investigation highlighted that in western coastal areas, average misalignment could reach , while sheltered Irish Sea regions experienced lower values, such as . Numerical simulations confirmed that these misalignment events amplified side-to-side turbine deflections significantly. This research underscores the need to incorporate misalignment effects into industry testing standards and suggests that current methodologies may underestimate fatigue loads by up to 50%. This work emphasizes improved design and testing protocols for FOWTs in complex marine environments and highlights the suitability of ERA5 for climate analysis in Ireland.
1. Introduction
Today, societies around the world are experiencing a global energy crisis. The damaging nature of fossil fuels and their growing cost increase the need for renewable energy. To address this need, wind turbine manufacturers are using economies of scale and designing larger, more efficient turbines. As these turbines continue to grow, their towers become less stiff and, as a result, can exhibit a significant dynamic response to loading. Wind turbines are designed primarily to combat fore–aft loading; however, a misaligned wave loading condition, meaning that the wave loading is not acting in the same direction as the wind, can excite the less damped side-to-side deflection of the turbine. If this misaligned loading is sustained over a long period, it can adversely affect the structural integrity of the tower [1].
In order for Ireland to achieve its ambitious target of having a total installed capacity of 7 GW of offshore wind energy by 2030, it is important to address the issue of misalignment of wind waves and its impact on turbine dynamics. Ireland’s primary wind resources are located offshore and are at water depths beyond the capacity of bottom-fixed monopile wind turbines. For this reason, the capabilities of floating offshore wind turbines (FOWTs) must be examined, which will allow Ireland to install wind infrastructure at greater depths, further from the coast. FOWTs can be located at depths up to 200 m and require a smaller local installation infrastructure [2].
Figure 1 presents a map of the Irish coastline and surrounding maritime area, with the 200 m depth contour presented in green and the 50 m depth contour shown in red. These depth contours are of critical importance for the development of floating offshore wind (FOW) technology in Irish waters. The 200 m contour represents the approximate maximum depth at which current floating wind turbine foundation technologies are considered feasible and economically viable. Beyond this depth, the technical and financial challenges of deploying floating platforms have become increasingly prohibitive. In contrast, the 50 m contour marks the limit for conventional fixed-bottom offshore wind turbines, as depths greater than this preclude the use of monopile or jacket foundations. By visualizing the area between the 200 m and 50 m contours, Figure 1 highlights the spatial extent to which floating offshore wind turbines can be deployed, expanding the potential offshore wind energy capacity beyond the limitations of fixed-bottom structures. This region represents a key opportunity for the growth of the FOW industry in Ireland, as it identifies the areas most suitable for the installation of these innovative wind energy technologies. This is crucial to inform the selection of the site, the assessment of resources, and the overall planning and development of floating offshore wind projects along the Irish coast. In this context, Figure 1 serves as an important reference point for the analyses and discussions presented throughout this manuscript.
Figure 1.
Increase in Ireland’s potential wind resources with the use of floating wind turbines [3].
The primary objective of this study is to investigate the suitability of ERA5 reanalysis data for climate analysis in the Irish context and to examine the effects of wind–wave misalignment on floating offshore wind turbines (FOWTs) in Irish seas, including in extreme hurricane conditions. The characteristics of wind and wave data around Ireland are examined. The offshore locations prone to misalignment are identified and analysed. Following this, numerical simulations are completed to further analyse the effect misalignment has on the tower deflections of FOWTs exposed to realistic Irish offshore conditions. Environmental data from the ERA5 (ECMWF Generation Five Reanalysis) set are used to analyse meteorological and oceanic conditions around the Irish coast. A reanalysis set is a model that uses a mixture of observational and forecast data to generate climate characteristics across a large area. The data obtained are validated by examining their accuracy against a recorded data source, the Irish Marine Data Buoy Observation Network. Finally, the findings of this study are compared against industry standards to assess the understanding of the effects of misalignment in turbine fatigue testing today. The existing body of research on the use of reanalysis data and the effects of wind–wave misalignment provides important context for the objectives of this study. The suitability of ERA5 reanalysis data and the impacts of wind–wave misalignment on floating offshore wind turbines in the Irish context remain underexplored areas. To address these gaps, the relevant literature is now summarised.
1.1. Floating Offshore Wind Turbines
Floating Offshore Wind Turbines (FOWTs) enable wind energy development in deeper waters, offering a distinct advantage over traditional fixed systems. While less mature, FOWTs are at Technology Readiness Levels (TRL) 8–9, depending on the foundation type, with semi-submersible and spar buoy foundations more advanced than tension leg platforms and barge foundations.
Ireland’s vast deep-water exclusive economic zone and abundant wind resources present a significant opportunity for floating wind technology. Achieving offshore wind capacities beyond 10 GW will likely necessitate FOWT deployment.
As of now, FOWTs have been successfully deployed in several locations worldwide, primarily as pilot and pre-commercial projects. Hywind in Scotland is the world’s first floating wind farm with five 6 MW turbines supported on spar-buoy floating foundations. Hywind has been operational since 2017. WindFloat in Portugal is Europe’s second major FOWT project and has been operational since 2020. The WindFloat wind farm consists of three MW FOWTs supported on semi-submersible floating platforms. The second Scottish floating wind farm was installed in 2021 in Kincardine off the coast of Aberdeen. This floating wind farm consists of five MW semi-submersible FOWTs. In 2022, Equinor installed the first floating wind farm designed to supply electricity to offshore oil and gas platforms, Hywind Tampen (Norway). That wind farm has been operational since 2022. Outside Europe, Japan has been a leader in floating wind farm development. The Fukushima FORWARD project, initiated in 2013, tested multiple FOWT designs, including spar-type and semi-submersible platforms. The Goto Floating Wind Farm, operational since 2021, features a MW turbine, demonstrating advancements in floating technology under typhoon-prone conditions.
The future of FOWTs up to 2050 is shaped by several key trends and perspectives. Technically, much work is focused on scaling and commercializing FOWTs with capacities exceeding 15 MW, driven by advancements in blade materials, generators, and floating platforms [4,5]. Work is also required in the areas of monitoring and maintenance of offshore wind turbines [6], control [7] and damping estimation [8]. Opportunities exist and challenges also remain to be addressed in the development of floating substations and efficient grid interconnections for deep-water projects [9]. There is also tremendous scope for FOWT deployment in regions beyond Europe and Japan, including the United States (California), South Korea, Australia, and Brazil, harnessing wind resources in areas unsuitable for fixed-bottom turbines, such as the Pacific Ocean, Mediterranean Sea, and deeper parts of the Atlantic [10]. Future floating offshore wind development is increasingly focused on multi-use offshore environments, integrating FOWTs with technologies such as wave energy [11,12], solar energy [13,14], hydroelectric dams [15,16,17], and hydrogen production [18,19].
By 2050, FOWTs are projected to play a critical role in global decarbonization efforts, with cumulative capacity potentially exceeding 200 GW globally, significantly contributing to net-zero energy goals.
1.2. Wind–Wave Misalignment
Wind–wave misalignment has been examined by several researchers, across differing countries, in the past. Bachynski et al. [2] found that misaligned conditions resulted in increased motion of the floating spar-type turbine both parallel and perpendicular to wave direction [2]. However, it was concluded that this would only cause minor fatigue in the turbine base. Li et al. [20] examined the effect of wind–wave misalignment on yaw misalignment. It was concluded that wind–wave misalignment had little effect on the overall power generation of the turbine; however, it did have a significant impact on the tower motion and structural loads. Barj et al. [21] concluded that most support structures experienced their highest extreme and fatigue loads when wind and waves were aligned. The study was specific to the spar-type platform; however, it was expected to mirror the performance of other structures. It was concluded that in the design phase, if only aligned wind and wave conditions were considered, it led to an underestimation of the tower base side-to-side bending moment by approximately 50% and an overestimation of the tower base fore–aft bending moment by about 5% [21]. Verma et al. [22] examined the effects of misalignment on the mating of turbine blades during monopile turbine installation. This misalignment could eventually lead to the impact of the mating blades’ root guide pin during the assembly [22]. It was found that misalignment values of 90∘ proved the most damaging.
One of the most significant barriers to installing and using monopile wind turbines is high installation costs and associated complications with assembly. As fixed-base wind turbines become larger, these issues are increasing, and the issues and safety concerns regarding assembly risks are becoming more significant. Floating offshore turbines can be constructed onshore and towed to the desired installation location [23]. This renders floating wind more suited to areas where misalignment occurs, as it removes the risk of damaging the guide pin during monopile assembly and de-risks the possible threat of injury during installation.
1.3. Wind–Wave Misalignment in an Irish Context
Ireland’s location in the North Atlantic exposes it to volatile weather, including hurricanes from the Atlantic [24]. The lag between changes in wind and wave direction often leads to misalignment, as wind can change rapidly while waves do so more slowly, this misalignment is particularly evident in storm conditions, where wind shifts are slow to affect wave direction [25]. Offshore wind structures are typically designed assuming aligned wind and wave loading, but this may overlook significant loads from misaligned conditions [25]. Given the decreasing tower stiffness in modern turbines and the potential for increased misalignment with reduced wind speeds, it is crucial to assess misalignment’s impact on turbine dynamics before installing large offshore arrays in Ireland. Limited studies have investigated misalignment in this context. Gaughan and Fitzgerald analysed wind–wave correlation and misalignment using the Irish Weather Buoy Network [26], and Fitzgerald and Baisthakur assessed its effect on wind turbine dynamics [27]. Their study of the IEA 15 MW turbine with a monopile foundation under misaligned conditions found that misaligned wave loading amplified the turbine’s dynamic response. Koukoura et al. [28] examined cross-wind fatigue in misaligned conditions at the Walney Offshore Wind Farm, concluding that the turbine may experience higher loads than accounted for in its design. This aligns with Barj et al.’s findings [21], highlighting the importance of considering misalignment in design.
1.4. Climate Reanalysis Data
As renewable energy continues to penetrate the energy market, the variability in its output and our ability to predict it are being constantly investigated and improved upon. There are two primary sources of data to predict energy output or expected output. These can be defined as either observational data (using sensors and physical equipment) or reanalysis data (a model blending weather observations with short-range forecasting). Reanalysis data provide the user with a model of large geographical spread, allowing for a time-efficient and economic weather analysis. As expected, the weakness of reanalysis data is its accuracy. This accuracy can also vary depending on location and environmental characters; certain reanalysis sets may be more suited to certain areas than others.
Many studies have been done to qualify reanalysis data as being fit for purpose for academic and/or commercial use. There are two main reanalysis sets used today. These are ERA5 and MERRA-2. ERA5 is the most advanced reanalysis set run, operated, and maintained by the ECMWF (European Center for Medium range Weather Forecasting). Olauson et al. [29] compared the accuracy of these two models in the context of aggregated wind generation across five different countries and wind power generation for 1051 onshore turbines in Sweden. Each model was compared against measured data. The ERA5 model outperformed MERRA-2 in all cases. It achieved higher correlations and lower mean absolute RMS errors (20% lower for ERA5). The study found that using one year of sampled data from ERA5 could achieve approximately the same accuracy as a two-year sample of MERRA2 [29]. Doddy Clark et al. [30] performed an error analysis in an Irish context. Measurements across seven different onshore stations were compared to reanalysis sets. It was discovered that the 10 m average wind speed error and correlation coefficient for ERA5, respectively, were m/s and . These were stronger and more accurate than those of MERRA-2 and MEŔA (a high-resolution reanalysis set).
1.4.1. Assessment of Wave Data Within Reanalysis Sets
Shi et al. [31] examined the accuracy of wave height and period data from ERA5 across six buoy locations around China. The ERA5 set proved far more accurate in deeper than shallow water. This is expected, as local wave conditions, which are more difficult to predict, are more prominent in shallow locations. The shallow buoys registered errors from approximately m to m, whereas the deep buoys registered m to m. On average, in benign conditions, it was seen that ERA5 overestimated the wave height. Naseef et al. used ERA5 to estimate climatology trends in the Indian Ocean [32]. Similar to studies completed by Shi et al. [31], the ERA5 data in coastal areas were found to be less accurate than in deep water. Naseef et al. also observed an underestimation of both average and maximum wave height in storm conditions. Wang et al. [33] conducted a comprehensive analysis of significant wave height using data from the NDBC network, which consist of buoys located in the North American Atlantic and Pacific regions. That study represented the first extensive evaluation of wave height parameters for ERA5. The results revealed a generally favourable agreement, with a strong correlation coefficient of observed for wave height. The study concluded that ERA5 exhibited satisfactory accuracy under typical sea conditions ( m < SWH m) [33].
1.4.2. Assessment of Wind Data Within Reanalysis Sets
ERA5 is fast becoming the industry standard for wind analysis, solar analysis, and long-term climate projection. As a result, there is a growing effort to qualify the error of such data and calibrate ERA5 to improve its accuracy across different areas. Campos et al. completed such a calibration using satellite data across the Atlantic Ocean to verify the accuracy of ERA5 wind data. The results indicated that ERA5 provided high-quality data for non-extreme conditions, with a robust correlation in the Atlantic’s eastern half (European half). However, it was also concluded that the errors in the reanalysis were essentially site-dependent, with severe underestimation of wind speeds found in tropical latitudes and areas with warm, unchanging ocean currents. Similar to wave data, the wind data had low accuracy in low-pressure cyclonic systems, where it achieved a root-mean-square (RMS) error above 5 m/s [34].
2. Methodology and Results
The primary objective of this study was to investigate the suitability of ERA5 reanalysis data for climate analysis in the Irish context and to examine the effects of wind–wave misalignment on the dynamics of floating offshore wind turbines (FOWTs) in Irish waters, including in extreme hurricane conditions.
2.1. Initial Data Selection and Retrieval
First, environmental conditions from the ECMWF ERA5 reanalysis set were used to characterise climatic conditions around Ireland. Wind–wave misalignment were then be characterised around the Irish coast. A test site and sample size were defined in order to gather data. The 200 m contour, shown in Figure 1, was identified as a suitable delineator, as this has been suggested to be the maximum depth for installing floating offshore turbines. The ECMWF’s Copernicus Toolbox [35] was used to gain access to ERA5 data and perform computations. Outputs from Copernicus can be seen in Figure 2.
Figure 2.
Heat maps created using the Copernicus toolbox. (a) Average annual wave height. (b) Average annual wind speed.
Wind and wave data were retrieved from Copernicus at a resolution of . A dataset was created containing 40 years of reanalysis data, taken at 4 h intervals at 129 locations around Ireland, with a spatial definition of between points; see Figure 3 for locations of the data points. The data from the ERA5 set were taken from 1 January 1980 at 00:00 to 31 December 2020 at 20:00. Parameters such as (100 m wind vector), (100 m wind vector), (significant height of combined waves and swell, ), (mean wave period), and (mean wave direction) were extracted from the ERA5 dataset.
Figure 3.
Red asterisks indicate locations of 129 ERA5 data points located around the Irish Coast.
The raw data from the ECMWF server output wind characteristics in a vector format, with U and V vectors, i.e., wind speed in orthogonal directions, in different files. Wind direction, , was converted to degrees true, and wind speed, , to meters per second in this study. Equations (1) and (2) provide details on these conversions. Note that the wind direction must be shifted relative to the north rather than being relative to the positive axis; hence, the angle must be subtracted from .
Wind–wave misalignment was calculated by subtracting the wave direction from the wind. Angle wrap was then accounted for to ensure that the misalignment angles lay in the domain of to , with denoting true north.
Data Processing—Extraction and Quantification of Turbulence Data
Turbulence is of great importance in predicting both the power output and the structural response of wind turbines. Turbulence can be considered random fluctuations in wind speed, as it deviates from the mean across short periods. Unfortunately, ERA5 does not contain turbulence data; therefore, other sources were consulted for this study. The Global Wind Atlas [36] was used to download a vector image describing turbulence data around Ireland. This vector heat map was overlayed over a map containing the locations of each data point used in this study; see Figure 4.
Figure 4.
Wind turbulence data across Ireland.
The average turbulence was then calculated for each area by examining the number of data points in the area and the turbulence at each point. By using a method of bins, each area (A-H) was grouped. Depending on where the data points fell (onshore or offshore), they were each assigned either a value of (onshore) or (offshore, interpolated between the data’s upper and lower bands). The average of each area was then taken by summing the assigned value of each data point and dividing it by the number of points in the area. This method’s accuracy was verified against a recent study by wind analysts from Prevailing Analyses [37]. The turbulence data from two wind farms off the west coast of England were seen to have average turbulence intensities of between and , which agrees closely with this study’s data. The results of the turbulence data, along with an overview of the most weather characteristics, can be found in Table 1.
Table 1.
Average environmental conditions across each area.
2.2. Data Qualification
The ERA5 dataset generated was then validated against real recorded data gathered from the Irish Marine Data Buoy Observation Network (IMDBON). The IMDBON is a network of buoys at various locations off the coast of Ireland which provide real-time and observational data regarding ocean and climate conditions. The network consists of JFC Marine SG-3000 data buoys, these are labelled as M2-M6 on the map provided in Figure 5. The wind speed is recorded using a Young Ultrasonic Anemometer, with measurements taken every 10 min. The wave data, recorded by the Oceanor Wavesence sensor, are averaged over periods of min [26]. Buoy M6 was not used in this study as it is located in an area of over 2000 m depth off the Rockall Trough, which is out of the selected sample space for this study; see Figure 5 for the buoy’s location off the Irish coast. The buoy data were downloaded from the Irish Marine Institute’s IMOS server.
Figure 5.
(Left) Map indicating the location of weather buoys around Ireland. (Right) A third-generation Irish weather buoy weighing over 6 tonnes [38].
When comparing ERA5 data to recorded buoy measurements one has to account for wind shear. Wind shear, as seen in Equation (3), arises due to the surface roughness, and therefore friction, of the ocean on the wind. This friction decreases as elevation increases; therefore, the wind speed is greater at higher altitudes. The surface roughness length of water was taken as m [39]. For this calculation, it was assumed that the buoy wind speed was recorded at a height of 2 m, and this was compared to the ERA5 wind at 100 m. Finally, all data in the ERA5 set were rounded to an accuracy matching the definition of the buoy readings.
where is wind speed in m/s at any height z m above ground, is the reference height at which wind speed data were recorded, and is the surface roughness length.
Results of Error Analysis
An error study was performed across four different buoy locations off the east, southeast, southwest, and northwest coast of Ireland. These were compared against four data points from the ERA5 set, identified on Figure 3. Figure 6 illustrates the results of the the error analysis for Buoy M2. The data points selected were the closest available to each buoy. There was a maximum distance from the ERA5 point to the buoy location of under 30 km and an average distance of approximately km.
Figure 6.
Correlation plots for data at buoy M2.
The number of resulting data points remaining after removing data can be seen below in Table 2. For each buoy, the quantity of data used satisfied a minimum of a confidence interval with an error of . This was calculated using Cochran’s sample size formulae; see Equations (4) and (5).
where n is the sample size in an unlimited population, is the sample size in a finite population, z is the z-score, is the population proportion, is the margin of error (confidence interval), and N is the population size.
Table 2.
Accuracy assessment of ERA5 reanalysis data.
The minimum required number of data points to create that confidence interval was 3267, assuming weather data were gathered at 4 h intervals over 40 years.
2.3. Interpreting Reanalysis Data
Across the analysis of data sets in this study, heat maps and histograms were generated to display characteristics regarding the location and spread of data across Ireland. There are broadly two different ways of examining average wind–wave misalignment, namely, absolute misalignment and biased misalignment.
By directly taking the mean value of misalignment, one is not accounting for the fact that misalignment is positive and negative on either side of on the compass rose. Therefore, when an average is taken, the result will measure whether there is a misalignment between the average wind direction and the average wave direction in a given area and is therefore referred to as biased misalignment. This will distort and underestimate the values of instantaneous misalignment at any one time. To account for this and calculate absolute misalignment, the absolute value of each data point must be taken before taking the dataset’s mean. The difference in the outputs of each of these conventions can be seen in Figure 7. This preserves the instantaneous magnitude of the data.
Figure 7.
(Left) Misalignment around Ireland examining bias. (Right) Instantaneous magnitude of misalignment.
To calculate the mean data for each location, the set was indexed by latitude and longitude. The resulting values were then plotted across a geographical map of Ireland. As well as the misalignment data, other plots were produced using similar methods, for example, Figure 8 examines wind speed. Histograms of all data were also developed to examine the characteristics and spread of different characteristics.
Figure 8.
An Examination of mean wind speed across Ireland.
2.3.1. Examining Environmental Characteristics of Individual Sectors
The large dataset encompassing the entire country was divided into eight sectors. These were all different sizes; however, each grouping represented a bandwidth of misalignment. To achieve this, the average value for misalignment was taken at each data point, rounded to the nearest ten degrees and then grouped, as seen in Figure 9. Areas sharing similar geographical features or fetch lengths were grouped.
Figure 9.
(Left) Rounded absolute misalignment. (Right) Geographical areas sectored by misalignment.
Areas A and C contained the largest number of data points, as seen in Figure 9. Area A accounted for much of the area to the country’s south and Area C to the west. These were likely the largest areas of grouped data due to the unobstructed southwesterly fetch which they faced. Eight different datasets were produced, each representing a single sector, and the characteristics of each sector were examined. As with the large dataset, histograms of differing climate variables were output for each area, as shown in the figure in Section 3.3.4. Parameters of misalignment, wind direction, wind speed, wave height, wave direction, wave period, and Weibull distribution were examined for each. It should be noted that the misalignment was recalculated for each sector, and the heavily rounded value used for differentiating between areas was not used in further computations.
2.3.2. Weibull Analysis
The Weibull distribution is a statistical distribution that can represent skewed data such as wind speed. Unlike the Normal distribution, which is symmetrical across the mean, the Weibull distribution possesses a shape control parameter which can be adjusted to reflect the naturally occurring shape of the data. Examining the shape of the distribution is of great importance and can inform one about the frequency and stability of wind. It can also inform one about the likelihood of extreme events occurring in a given location.
The Raleigh distribution is a common form of the Weibull distribution, which applies to many test sites. The Raleigh distribution has a fixed shape factor of two. This can often either be used as a data-fitting mechanism when an insufficient quantity of data is gathered or as a method of comparison. These computations were performed across each sector of the study, as seen in Table 3, and the data’s shape was found to be well represented by the Raleigh distribution.
Table 3.
Weibull distribution across different locations in Ireland.
2.4. Examination of Environmental Correlations
In this paper, we examined the relationship between wind speed and misalignment for the Irish offshore environment. To do this, correlation plots were developed, studying absolute misalignment and wind speed. It was initially found that misalignment and wind speed shared an inverse relationship. As wind speed increased, misalignment decreased.
This paper also explored the relationship between misalignment and wind direction in order to try and discern whether the path from which the weather approached, which is affected by wind direction, affected the amount of misalignment. To achieve this, the first step was to examine the large dataset for the whole country. Rounding the mean wind direction to the nearest quadrant (north, northeast, east, southeast, south, southwest, west, northwest) allowed the values to be indexed by these directions and subsequently binned. Average misalignment could then be calculated for each directional bin. This process was then repeated for each sector, and the results are displayed in Table 4.
Table 4.
Examining differing levels of misalignment depending on wind direction.
It is known that wind–wave misalignment is due to a lag between the change in the direction of the wind and the time taken for the said change to propagate to a wave. Over a long distance or fetch length, the weather front travels more quickly through the air than the sea. This relationship was examined in an Irish context, and a single point was selected off the west coast. The west coast was chosen as it is open to weather systems approaching from the west and southwest. A higher resolution dataset was required for hourly interval measurements. To achieve this, hourly data were taken from 2010 to 2011 for a point at 55 N 9.5 W. Only U100 wind, V100 wind, and mean wave direction characteristics were required for that data point.
Both average and absolute misalignment values were then calculated and recorded. The mean wave direction was then shifted up by one row or hour. This meant that when computing misalignment, the wind direction would be one hour ahead of the wave direction. By repeating this process 15 times and recording values throughout, one could examine how a time lag affected misalignment. It was discovered that the minimum misalignment was found after approximately 7 h. This means that, on average, when a weather system approaches, it takes approximately 7 h for the wave direction to react to the new wind direction. The results of that examination can be seen in Table 5.
Table 5.
Examining correlations between misalignment and approaching weather fronts.
3. Analysis of Environmental Data
3.1. Data Qualification
There was evidence in the literature of data qualification being completed to estimate the uncertainty and accuracy of ERA5 across different geographical areas and environmental conditions. Many of the data across Irish waters echoed the strengths and weaknesses of ERA5 as discussed previously.
Several different error metrics were used to characterise wind direction. The absolute error is the error seen in any one reading, and the average wind direction error across all points measures systematic bias. Considering this, the absolute magnitude of wind direction error was quite steady at approximately on average across the buoys. There was, however, a slight systematic bias of approximately to the east (meaning the ERA5 was east of the recorded data). This dataset overall had a strong linear correlation (with recorded buoy data) of [40].
The wave direction was the most erroneous data across all plots. At buoy M2, there was an absolute average error of over , with the error tending to be that the recorded wave was oriented to the west of the ERA5 wave. In this situation, at buoy M2, the ERA5 data point used was almost 19 km away from the buoy. In addition, it was further north and closer to the coast, which could mean that it may be slightly more in the lee of the Irish Coast in westerly swells.
The average correlation coefficient across all buoy locations for the wave direction set was the lowest at . This is still considered a strong correlation [40]; however, buoy data had only a moderate correlation at .
The ERA5 wind speed was seen to be accurate to approximately of the value. This error was split relatively evenly, meaning there was not a strong relationship, suggesting that the wind was under- or overestimated. This high absolute error or uncertainty can therefore be put down to randomness. If there was a suggestion that the ERA5 data were either strongly underestimating or overestimating the wind speed, measures could be taken to offset the model; however, this was not the case.
The correlation coefficient of the wind speed was high, with an average correlation of , similar to results obtained by Doddy Clark et al. [30]. The correlation was slightly higher at lower wind speeds. This may be expected, as higher wind speeds can often be linked with volatile weather, which is more challenging to forecast. The inaccuracy of ERA5 wind data at higher wind speeds was similarly documented by Campos et al. [34].
The wave height data were the most accurate across the ERA5 model and the data with the lowest uncertainty. It had an average absolute error of just over , evenly distributed positively and negatively across the mean. Buoy had the highest level of uncertainty, recording an average absolute error of . This was consistent with the error seen at that location for the wave direction. Therefore, this was due to the slightly different area of the ERA5 data point and the weather buoy at that site. The literature confirms this hypothesis by discussing the high dependence of wave formation on local conditions in the Irish Sea [28].
The wave data’s correlation coefficient was the highest across the sets. The correlation can be greater at lower wave heights, with data points becoming increasingly less correlated as the wave height increases. The poor correlation at higher wave heights is seen systematically across ERA5, as noted by Shi et al. [31] and Naseef et al. [32] previously.
3.2. Examining Environmental Characteristics Across Ireland
Misalignment was examined using two methods as outlined previously. The biased misalignment had far lower absolute values than the absolute model, as seen in Figure 7. An interesting observation was made when examining the biased misalignment data: many more data points measured a positive misalignment than a negative. It is known that misalignment decreases with increasing wind speed, however, interestingly, the average wind speed off the west coast of Ireland was greater than the east, and the degree of misalignment was higher, see Figure 10. This brings to light an interesting point that wind speed is not the only factor affecting wave direction and, by association, misalignment.
Figure 10.
Examining the relationship between misalignment and wind speed.
It should be noted that due to the way in which the misalignment was calculated, a positive misalignment indicated that the wave direction was to the right of the wind direction, and a negative suggested that the wind was to the left as seen in Figure 11. This means there was a tendency for the wave direction to be, on average, almost to the east of the wind direction. This bias can be seen to be stronger off the country’s west coast than the east. This general offset in wave direction off the western seaboard is a result of several factors occurring offshore, including wave refraction due to ocean currents and swell propagation from Mid-Atlantic storm systems. Off the west coast of Ireland, the warm North Atlantic Current flows northwards as it travels from the Mid-Atlantic to Norway. This current could be refracting the wave direction, causing the offset in misalignment; this is further discussed in Section 4.3. The exposed nature of the sea area off the west coast and the common development of cyclonic depressions in the North Atlantic result in misalignment due to the lag between swell and wind propagation in approaching weather fronts; see Section 4.2 for more information regarding misalignment due to approaching weather fronts.
Figure 11.
Misalignment with regard to sign convention.
Across both the bias and absolute misalignment heat maps, spikes can be seen in coastal areas of Ireland’s west and northwest coasts and, notably, one off the southwest tip of Great Britain, as seen in Figure 7.
In Donegal Bay, the area is sheltered from the prevailing wind and swell conditions; therefore, the formation of wind waves is less likely. This hypothesis is supported by the wind speed map produced in Figure 8. A sharp decrease in average wind speed can be seen along the northwest coast of Ireland and in Donegal Bay. A landmass can also affect the prevailing wave conditions, preventing swell propagation. This, coupled with changes in bathymetry, causes significant wave refraction as the waves approach the coast, as seen in Figure 12. These factors cause significant misalignment in the area, and similar factors affect the data off the coast of Great Britain.
Figure 12.
(Left) Examination of wave direction, displaying the location of the Rockall Trough. (Right) Standard deviation of directional wave data.
The correlation coefficient, , was calculated in Section 2.4 to examine the correlation between wind speed and misalignment. This tells us that at lower wind speeds, misalignment should be higher. This proves true to logic, as at low wind speeds, the wind has less energy to enact a change on the direction of the waves. However, it is also known that misalignment can be caused by the lag between the change in direction of swell due to weather systems generated in the mid-ocean; this is examined in detail later in Section 4.2. Reflecting on this, we hypothesise that the misalignment off the west coast of Ireland is most likely due to swells and larger waves which have travelled greater distances. Conversely, the misalignment in the relatively sheltered Irish Sea is due to the lack of sustained strong winds and sufficient fetch length to develop large swells or significantly alter the direction of waves, as discussed by Koukoura et al. [28].
A swell can usually be identified by possessing an increased wave period. There is no strict definition as to what wave period constitutes a swell as it is dependent also on the wavelength; however, multiple sources suggest that a period of approximately 8 s or more signifies a swell [41]. It can be seen in Figure 13 that in the Irish Sea, the wave period was approximately 4 s, whereas off the west coast of the country, it was approximately 8–8.5 s. This proves that the hypotheses set out in both [27,28] apply to sea areas off the west and east coasts, respectively.
Figure 13.
A display of steadily increasing wave period from east to west across Irish waters.
3.3. Examining Environmental Characteristics and Misalignment Across Individual Sectors
Gathering and dividing the data by misalignment allowed us to examine each area’s characteristics and understand how and why misalignment occurs. Ireland and its seas, geographically, have several unique features which can result in the development of several different oceanic climates.
The country’s west coast is exposed to swells from the North Atlantic, and in the northwest, the coast’s proximity to the North Atlantic shelf allows for the development of large ocean waves as they approach the coast. The comparatively sheltered Irish Sea is far more isolated from ocean swells; however, it can be subject to large currents, which could result in mooring fatigue for floating structures, and the development of considerable wind waves.
The shape of the Irish Sea, being largely bulbous in the middle and slender at each end, results in the development of significant tidal currents (more than 4 knots or m/s during spring tide conditions) in both St George’s Channel and the North Channel between Belfast and Portpatrick (Scotland). To examine the development of waves around the country, and what features or factors cause their development, it was necessary to examine the mean wave direction and compare it to the standard deviation of said mean, as seen in Figure 12.
The mean wave direction in the Irish Sea was southerly, for the most part, which was expected as this was the only direction from which swell can easily propagate and travel. A more interesting conclusion can be drawn from examining the standard deviation. As seen in Figure 12, the standard deviation was far higher in the Irish Sea than off the Atlantic coast, meaning that the waves were less likely to be caused by a strong prevailing swell. This strengthened our hypothesis that the misalignment in the Irish Sea was caused primarily by a lack of available fetch length. High tidal currents could further refract wave direction in the Irish Sea, increasing misalignment. As shown in Figure 12, this volatility in direction was highest in the North Channel. The North Channel is an area of strong current and low available fetch length, greatly limiting the effect of wind on local wave conditions, resulting in wave directions heavily influenced by tidal streams.
3.3.1. Ocean Wave Effects Due to the Rockall Trough
It can be seen from the data presented in Figure 12 that the Rockall Trough had an effect on refracting wave direction. Our selected data covered a section of the Rockall Trough off the northwest coast. The Trough is an area of great oceanic depth close to the Irish coastline and has a rapid depth change of approximately 2500 m to 150 m depth. This represents a sea trough with a depth of more than twice the height of Carrauntoohil, the tallest mountain in Ireland. This rapid change in water depth could be causing the refraction of ocean swells, resulting in wave direction changes and therefore influencing misalignment [42]. This can be seen by coincidence in a change in misalignment and depth at the location of the Trough in Figure 12. This is further supported by the change in wave direction as the depth increases around the Trough in Figure 12.
3.3.2. Misalignment Due to Local Coastal Features
High misalignment can occur when coastal features interact with prevailing wind and wave conditions. Data points in coastal areas off the southwest and west of the country, in Area D, as well as points in Area B, off the southwest coast of Great Britain, can be seen to share similarly high misalignment compared to their surrounding, exposed data points. Almost all data points in these locations are on the leeward side of a headland or landmass, sheltered from the prevailing southwesterly wind and wave directions. The increased misalignment in these areas is due to one or a combination of three reasons. Firstly, as a result of fetch length limitations; secondly, due to refraction and diffraction of waves as they approach headlands or land masses or, finally, a result of the alteration of wind direction as it interacts with a headland. As wind approaches a point, wind at the surface of the sea/land boundary slows due to increased friction, resulting in increased wind shear vertically. This increased wind shear can cause winds to bend around headlands. Eddies and increased levels of turbulence are also formed, and the interaction between the coast and air can become complex.
To examine which of these factors might be affecting the misalignment, it was necessary to investigate both the wind and the wave direction to see which feature was more affected by the headland. Reviewing Figure 12 and Figure 14, it can be seen that coastal features had a more significant effect on the wave direction than wind, causing the change in misalignment. The highly sheltered nature of these locations, lack of exposure to swells, and the lack of fetch length over which prevailing winds can generate wind waves, are the most likely causes of this wave direction instability.
Figure 14.
Average wind direction around Ireland.
3.3.3. Histogram Analysis—Misalignment
Histograms were produced for each Area – to examine the shape and spread of misalignment, wind direction, and wave direction across each area. These provide visual representations of the distribution of the data and allow one to make comparisons and conclusions regarding data volatility and spread about the mean.
Figure 15 shows an example of how different distributions of data can affect output, highlighting the importance of examining data spread during climatic analysis. Misalignment values for all areas studied off the Irish coast are presented. Areas F and D were of particular interest. These areas represented distributions with the most dramatic shapes. Interestingly, they coincided with the dataset’s areas of lowest and highest average misalignment. Area D, which encompassed the coastal data points off the west coast of Ireland, had a large misalignment of . Area F, on the other hand, located in the North Irish Sea, had the lowest average misalignment of . The spread of these data can inform us about the validity of the numerical outcomes and the possible causes of the aligned/misaligned conditions. Area F had a standard deviation of , and Area D had a standard deviation of . From examining these data and comparing the histograms, one can draw a number of conclusions regarding the misalignment in these areas.
Figure 15.
Comparison of misalignment distribution of all areas.
The data presented for Area D strengthened our hypothesis that the misalignment in that area resulted from local geographic features affecting the propagation of prevailing winds and swells. The data in Area C, which was directly offshore of Area D, had a lower standard deviation at . This area should experience the same swells due to the prevailing wind direction and direction from which the weather approaches. Therefore, the differing factor must be the intervening land masses.
A detailed comparison of wave height distribution in areas F and G is provided in Figure 16. Area F was located in the middle of the Irish Sea. Interestingly, this was the lowest area of misalignment and the one with the lowest standard deviation. This means that the data were tightly gathered around the mean. The misalignment was low, and the data were tightly grouped due to the open area surrounding the points and the strong prevailing wind direction. Being located in the middle of the Irish Sea, this area was unaffected by coastal features, such as headlands or changing bathymetry, refracting the prevailing wind and wave directions. The prevailing wind in the Irish Sea is south–southwesterly, and the prevailing swell direction is southerly. The co-directionality of these factors, combined with the depth of the north–south Bristol Channel, has the effect of funnelling and maintaining southerly swells as they travel up the Irish Sea, preventing directional refraction.
Figure 16.
Comparison of wave height distribution of Areas F (Left) and G (Right).
Similarly to misalignment, the shapes of the wave height data were examined to understand the distribution and stability of the data about their mean. In that case, the two areas selected for comparison were Area F, in the North Irish Sea, and Area G, which sat off the northwest coast of the country (at the edge of the Rockall Trough).
The shape of the data in each area was evaluated. These data were asymmetric, unlike the misalignment data, which were largely symmetrical about the mean. For this reason, the skewness of the data was computed; Area F had a skewness of , whereas Area G had a skewness of . Each value is positive, indicating that the data were skewed to the left, with a longer tail to the right. This stands true to logic, as low waves are far more likely to occur than large storm swells. Area F was slightly more skewed than Area G, meaning that the mean of Area F sat lower in its range than that of Area G. Area G is subject to steady oceanic swells, resulting in only an infrequent occurrence of entirely flat water. Area F, however, is only open to oceanic swells propagating from the south and, therefore, experiences smaller wave heights in many circumstances.
The standard deviation of each set also varied significantly. The standard deviation in Area F was much lower than the data in Area G. The tightly grouped data in Area F, with a standard deviation of m, agreed with the developing hypothesis regarding the stability of weather in the region. Area G, on the other hand, had a far greater spread of data with a standard deviation of . This is due to the high occurrence of storms and extreme swell conditions in that area of open ocean.
The Rockall Trough could further intensify the height of the swell in Area G. The maximum wave height in Area F was m, with the largest of waves having an average height of m. In Area G, however, the maximum wave height was m (the largest across the whole dataset), with the highest having a height of m. According to Stewart [43], a sharp decrease in depth causes the wavelength to decrease, slowing the wave, and also increasing the wave height [43].
3.3.4. Histogram Analysis—Wind Speed and Weibull Analysis
As seen in Figure 17, the distributed shape of the wind speed was very consistent. This is a common feature of wind speed data, and therefore the Weibull distribution, and Raleigh in particular, can be used to compare the finite shape and scale of the data. In Table 3, the shape and scale factor of the Weibull distribution can be found. We compared the two areas at either end of the range of distributions shown in Table 3 and examined which features might affect their distributions.
Figure 17.
Histograms of wind speed around Ireland maintaining steady distribution and shape.
Area F had the highest shape factor (2.22), and Area D had the lowest (2.12). These, while both still well represented by the Rayleigh distribution, each individually fortified developing conclusions drawn from the data in these areas.
Area F, located in the North Irish Sea, displayed strong, high-confidence results statistically across a range of different characteristics. Characteristics of strong grouping about the mean data were evident when studying the wave heights and misalignment data in that area. This is most likely due to the open, unobstructed nature of the location from the prevailing wind and swell directions, coupled with the sheltered nature of the Irish Sea. The prevailing winds in the area are south–southwesterly; see Figure 17. The flow of air approaching the area is unobstructed by landmasses or other obstructions, which may alter the flow and cause higher variations in wind speed. The Island of Ireland also acts as a buffer for storms approaching from the Mid-Atlantic. In this way, the area is sheltered from extremely high storm winds, reducing the upper end of the range.
Area D was located in coastal areas of the west of Ireland. The data points were not clumped together but represented four coastal locations. The shape factor was low due to the variability in the wind as it interacted with the coast. In this area, the prevailing wind is south–southwesterly; this could result in increased variability due to two reasons. Firstly, as a body of air approaches a landmass, the land can force the air to change direction, resulting in a dramatic change in the velocity of the air mass, see Section 3.3.2. Secondly, local thermal effects due to the difference in temperature between the land and the sea can cause fluctuations in wind speed.
The scale factor of a Weibull distribution signifies the range across which the data are spread and the location of the mean wind speed. Generally, the higher the scale factor of a Weibull distribution, the higher the mean wind speed in the area. Across the data, this rule was well reflected. Ranked from smallest to largest, the scale factor aligned with mean wind speed data computed for each area. Notably, the maximum mean wind speed and greatest shape factor were seen in Area G off the west coast of Ireland. Area G had a shape factor of 12.32 and mean wind speed of 10.92 m/s. This area and the areas to its east, off the country’s north coast, are commonly recognised for their rich wind energy potential and high wind power density. The rich wind resources in that area are due to the ability of weather systems to travel uninhibited from depressions and low-pressure systems which develop in the North Atlantic. The area with the lowest average wind speed was Area D due to its coastal proximity and sheltering from prevailing wind conditions. Looking at the dataset as a whole, it can be seen that the average wind speed and Weibull scale factor were lower in the Irish Sea.
3.4. Storm Swells
Storm swells are larger off the west coast due to the direction from which storms track in the North Atlantic. There are two main areas from which storms can usually approach Ireland, the first is from the middle of the Atlantic Ocean, and the second is from the Bay of Biscay. Storms generated in the Mid-Atlantic propagate east as they approach Ireland, therefore arriving unobstructed off the country’s west coast. This means the swell has an extremely long fetch length (4000 km) over which it can develop. On the other hand, in the Irish Sea, these swells most likely propagate from weather systems developing in the Bay of Biscay and therefore have a far shorter fetch length over which they can develop (600 km).
To attempt to prove this with the data at hand, the mean wave direction of the highest 1% of waves in Area G was calculated, which was 257∘ (west–southwest). The standard deviation of that set was also computed as 34∘. Comparing this standard deviation to the standard deviation of all wave data in the area, which was 75∘, proved that the data were closely aligned and that these waves were originating from the same direction.
Completing the same analysis on Area F (Irish Sea) did not result in as strong a standard deviation. The top 1% of wave heights had a mean direction of 196∘ (southerly), suggesting that they were swells propagating from the Bay of Biscay. However, the standard deviation of the data was 52∘, which, when compared to the standard deviation of the wave direction for all waves in that area (83∘), was not as refined. This means that most waves in this area develop due to strong tidal currents and local wind conditions in the Irish Sea.
4. Meteorological Correlations
4.1. Misalignment and Wind Speed
The literature shows that misalignment and wind speed share an inverse relationship. Most studies are in agreement on the relationship between wind speed and misalignment. Wind–wave misalignment is said to decrease with increasing wind speed. Fischer et al. [44] reasoned that wind–wave alignment is high at high wind speeds because high winds are often combined with fully developed sea states and weather systems. A counterargument to this was suggested by Fitzgerald et al. [27], who suggested a change in wave speed or direction usually travelled slower than a change in wind characteristics, thus creating misalignment.
In the Irish Sea, waves are generally created by local wind conditions. Due to the confined area in which waves are created, the propagation of swells is limited, and therefore, misalignment is generally low [26,44]. Koukoura et al. highlighted that misalignment was expected to be small in the Irish Sea due to the short fetch length available. The sheltered nature of the Irish Sea means that waves are highly dependent on local wind conditions [28]. In general, misalignment is expected to be higher off the west coast of Ireland, where longer fetch lengths are available over which a misalignment can propagate [26].
In this study, the correlation coefficient between wind speed and misalignment was found to be −0.41. This means that as wind speed increased, the angle of misalignment decreased. This is due to the effect of increasing wind speed on the development of wind waves.
Wind waves are generated by the transfer of energy from the wind to the water’s surface. As the amount of energy in the wind increases, so does the transfer of such energy to the water, resulting in larger, more aligned waves. Factors such as current, swell from far-off weather systems and seabed geometry can more easily refract and alter the wave direction at lower wind speeds.
The magnitude of the correlation coefficient was not particularly strong. However, the dataset’s size must also be considered. This was not computed at a single point but across all data points over 40 years. This means the correlation was between two variables, each containing 11,591,424 data points; therefore, the chance that the correlation coefficient was a result of the random nature of the dataset was very low.
Misalignment in Hurricane Conditions
At lower wind speeds, a lack of sufficient energy in the wind to alter small waves results in misalignment, as shown by the negative correlation coefficient discussed above. However, other meteorological circumstances, such as storm systems, can lead to misalignment.
As a storm system approaches the coast, the greater speed with which the storm can travel through the air results in a delay between the wind and the swell from that system reaching a specific point. This challenges the received wisdom that misalignment decreases with increasing wind speed. For this reason, an exercise was undertaken to examine the correlation between wind speed and misalignment as wind speed increased. To do this, the wind speed was filtered to steadily increasing levels, therefore studying the correlation coefficients for weather systems with increasing storm-like characteristics.
These results can be seen in Figure 18. The correlation coefficients could be seen to change sign at approximately 32–34 m/s. This indicated that from this point on, increasing wind speed led to further increasing misalignment. Interestingly, this was not a result of the time lag in approaching weather fronts, as initially thought, but was an inherent feature of hurricanes.
Figure 18.
Misalignment in storm/hurricane conditions in Irish waters.
In hurricane conditions, misalignment commonly develops due to the tightly curved shape of the rotating wind, combined with the transitional movement of the system [45]. This phenomenon leads to a change in the direction of the relationship, as seen in Figure 18. The significance of this may not be immediately evident; however, this could result in misaligned wind conditions in extreme storm environments, leading to wind turbine dynamic responses that are beyond the designed limits of the structure.
For example, one of the points with the highest sustained wind speed (more than 10 h) across the 40-year dataset also had a considerable misalignment. This occurred on 3 January 1998 and was generated by a windstorm, nicknamed “The Boxing Day Storm”, in the North Atlantic, which made landfall over the north of Ireland. In this instance, data points off the south of Ireland displayed sustained conditions of hurricane-force winds (40 m/s), 12 m waves with a misalignment of 30∘. Note that these numbers do not reflect gust or rogue waves, which, again, may be larger. Observational reports from a helicopter involved in a rescue on the day in question observed waves up to 21 m high [46]. Misalignment in these conditions could lead to damage of wind turbine structural components.
4.2. Misalignment and Approaching Weather Fronts
In most circumstances, misalignment decreases with increasing wind speed, mainly due to the effect of the wind on the generation of wind waves in a particular location. In that instance, we endeavoured to prove that misalignment was due to the propagation of offshore weather systems, and the resulting time lag between a change in wind and wave direction.
That example required the examination of a dataset at a higher temporal resolution than had been initially processed for the large, country-wide test site. A single data point was selected as it was desired to gather information about the movement of weather systems as they approached one location. Had a larger area been utilised, these effects may have been diluted and decreases in misalignment may not have appeared as dramatically when averaged across a number of data points.
The point was selected as it was in a relatively open area off the country’s west coast, unaffected by coastal features. The misalignment at the point was measured before shifting the mean wave direction data backwards by one hour. This process was repeated, and the data at each point were recorded, as shown in Table 5.
In Figure 19, the minimum misalignment was seen after shifting the data by 7 h. This means that, on average, it took approximately 7 h for an altered wind direction to alter the direction of waves. This could be due to one of two reasons: The first was that a new wind direction took approximately 7 h to build wind waves. The second was that the weather front from a depression in the Atlantic travelled quicker through the air than the associated new swell in the sea, and the lag between the sea and the wind in these conditions was 7 h.
Figure 19.
(a) Asterisk in the image denotes the location of the data point selected for the examination of misalignment and approaching weather systems. (b) Graph showing the results of time-shifting the mean wave direction with regards to misalignment.
The change in misalignment across the data may seem small, less than 2.5∘ overall over 7 h. However, the smoothness of the curve representing the data proved the claim’s validity.
We attempted to prove that the results from that exercise were due to swell propagation and not due to the slow formation of wind waves. In order to do this, we repeated the exercise for a point off the east coast, i.e., in the Irish Sea. This point was far from land and in an area with relatively low average misalignment. The point was at 53.5 N, 6 W, and the same processes as outlined above was completed to analyse the results.
Two interesting differences could be seen between the data taken from the Irish Sea, Figure 20, and the data from the Atlantic, Figure 19. On average, in the Irish Sea, it took approximately 4.5 h for the wind–wave direction to react fully to a change in the wind, and the extent of that reaction was greater, meaning that the decrease in misalignment was greater. This is because the waves in the Irish Sea are mostly generated by local wind effects rather than far-off storms causing swells, and therefore are smaller and more reactive to change. This can be proved by examining the frequency and standard deviation of the mean wave direction, as discussed in Section 3.3. In the Atlantic, however, the waves result from swell propagation, as seen in Section 3.3; therefore, the average wave height is higher and requires more energy and time to produce a change.
Figure 20.
The effect of time shifting wave direction on misalignment for a point in the Irish Sea.
4.3. Misalignment and Wind Direction
The examination of the effects of wind direction on misalignment resulted in some interesting results, as seen in Table 4. Throughout this study, one thing that became evident was the large number of factors that affect the different climates around Ireland. These factors can be local to the subject location, such as topological geography and local currents, or generated by pressure systems in the North Atlantic and transported to the coast via the Gulf Stream or North Atlantic Current. When examining the directional data, a few key insights can be drawn.
The first is to note the general trend of the high occurrence of misalignment from easterly and southeasterly winds. In the country’s western half, these winds are blowing offshore, and in the Irish Sea, they are travelling from the coast of Wales and Scotland. In the east, the combination of a short fetch length, and the fact that these winds are blowing in the opposite direction to prevailing swell systems brought to Ireland by the North Atlantic Current, makes it difficult for this wind to have a great effect on waves, leading to misalignment. In Area F (North Irish Sea), this theory was proven by higher misalignment resulting from wind in the northeasterly direction. Wind from the northeast in that area originates directly from the Scottish coast and therefore has an extremely limited fetch length to affect wave direction.
It is widely known that the Gulf Stream has an effect on Irish weather. For the most part, it assists in maintaining a comparatively mild climate year-round across the country. It also has an effect on swell systems as they travel across the Atlantic. Wave systems are generally pushed eastward due to the Gulf Stream. This is reflected in the study data; almost all areas are most aligned during westerly winds. This means that the wind, due to local effects or storm systems, aligns with the swells generated by the Gulf Stream. This is not the case, however, in the Irish Sea. Area F was most aligned in southerly conditions due to the wind’s alignment with swells generated in the Bay of Biscay, which travel up the Irish Sea.
5. Structural Dynamics of Floating Offshore Wind Turbines Subjected to Misaligned Wind–Wave Loading in Irish Waters
In the previous sections, we characterised climatic conditions around Ireland and used real metocean data from weather buoys and reanalysis sets from ECMWF to understand the causes of misaligned wind and waves in Irish waters. Using the datasets we developed, the effects of wind–wave misalignment on the structural dynamics of floating offshore wind turbines (FOWTs) in Irish waters are now examined.
OpenFAST [47] was used in this study to model the structural dynamics of FOWTs. OpenFAST is an open-source wind turbine modelling software, developed by the National Renewable Energy Laboratory (NREL) in the United States, to model the structural dynamics of wind turbines operating under different environmental conditions. NREL’s 5 MW OC3-Hywind spar-type floating offshore reference wind turbine was modelled in OpenFAST for use in this study. This FOWT is defined in [48], while the spar platform is defined in [49]. The main properties of the FOWT model are provided for reference in Table 6. Table 7 summarises the floating platform structural properties, and Table 8 summarises the mooring system properties used in the numerical simulations in this section. The turbulent wind fields were generated using the TurbSim package distributed by NREL. It has the capability of generating turbulent 3-D wind field taking into account wind shear and spatial coherence. The Kaimal spectrum was used to model the atmospheric turbulence. The stochastic sea was modelled using the Pierson–Moskowitz spectrum.
Table 6.
Properties of NREL 5-MW OC3-Hywind spar-type FOWT [48,50].
Table 7.
Structural properties of floating platform for NREL 5-MW OC3-Hywind spar-type FOWT [49].
Table 8.
Hydrodynamic properties of floating platform for NREL 5-MW OC3-Hywind spar-type FOWT [49].
5.1. Structural Analysis by Sector in Averaged Conditions in Irish Waters
Structural dynamic modelling, using OpenFAST v3.5.1, was undertaken to mimic conditions specific to individual locations around the Irish coast, defined by differing levels of misalignment. Across each of these locations, the average environmental characteristics were examined. This study examined the response of the NREL 5MW FOWT to the wide variety of climates seen across Irish Waters. As previously stated, the numerical simulations presented in this study were conducted using NREL’s 5 MW OC3-Hywind spar-type floating offshore reference wind turbine; see details of the geometry of this turbine in Figure 21. The coordinate systems are also visible in the figure. The X-axis points horizontally along the still water line (SWL), the Y-axis is perpendicular to the X-axis in the horizontal plane at the SWL, and the Z-axis is vertical, pointing upwards and perpendicular to the SWL.
Figure 21.
Illustrations of the NREL 5-MW wind turbine on the OC3-Hywind spar [49].
While the specific dynamics of the spar-type FOWT were considered in this numerical study, the overall misalignment analysis was valid for all offshore wind turbine types. The specific dynamics of semi-submersible and tension-leg platforms will differ from spar-type FOWTs, but the general principles of wind–wave misalignment and its impact on structural dynamics remain valid.
The input conditions chosen for this study reflected the average conditions across each sector defined by misalignment. Eight simulations were carried out, each representing a different sector, as defined by Table 1, which provided information on the input conditions for each simulation run.
The first 100 s of each set of time-history results were neglected to remove the effect of starting transients on the dynamic response. The tower side-to-side and fore–aft deflections were analysed for each sector. It was hypothesised that increased misalignment would result in increased side-to-side deflection of the tower. Root-mean-square, mean, maximum peak-to-peak, and absolute maximum values were calculated to evaluate each output characteristic. In each case, the output files were structured in the order of increasing misalignment, with Area F being the least misaligned and Area D the most.
All of these data were collated and are presented in Table 9; it can be seen that all results were well within normal and safe operating conditions for the turbine. The greatest deflection occurred in Area H, measuring the maximum deflection of 0.2 m. Areas G and A, however, displayed the maximum mean and RMS deflections, respectively. Misalignment and side-to-side deflection showed the strongest correlation across all correlations concerning misalignment (0.177). Consistent with expectations, the results showed that increased levels of misalignment led to increased deflection in the side-to-side direction, highlighting the importance of considering misalignment effects in FOWT design.
Table 9.
Results of structural dynamic analysis by each sector in averaged environmental conditions in Irish waters.
For the purposes of illustration, Figure 22 compares results from the area of maximum misalignment (Area D) directly with those from the area of minimum misalignment (Area F).
Figure 22.
Comparing areas of greatest and least misalignment across Ireland: (a) fore–aft deflection, (b) side-to-side deflection.
Wave Characteristics and Their Effects on Turbine Dynamics
The period of the wave is an important characteristic when examining the frequency response of an offshore wind turbine. Dynamic magnification of loads and possible resonance can occur if the loading frequency due to waves is close to the natural frequency of the wind turbine tower/support structure. It can be seen in Table 6, that the natural frequency of the NREL 5 MW floating offshore wind turbine tower in the side-to-side direction was Hz, corresponding to a resonant wave period of approximately s. Bearing this in mind, the wave period data were filtered to examine, throughout the dataset, how many data points fell close to that specific frequency.
The results suggested that approximately of the data resulted in wave periods in the resonant frequency range of the turbine. The data were indexed to produce the three locations for which this problem was greatest. The data points appeared in a cluster in the North Irish Sea, as shown in Figure 23. In that area, across the data points, wave periods fell within this resonance-inducing bracket of the time, corresponding to approximately 100 hours of loading at these damaging wave periods per year. The average wave height during that loading was under m. This is quite low, and considering the size, mass, and resulting high moment of inertia of the floating structures, it is believed that these conditions would not pose threats to the integrity of the structure.
Figure 23.
Asterisks indicate the most likely locations to result in turbine tower resonance issues.
From the literature, it is clear that the primary area of concern when examining the effect of misalignment on turbine dynamics is deflection in the side-to-side direction. The main factor causing this increased deflection is reduced aerodynamic damping in this direction. This increased tower deflection is more evident in floating turbines, which are more susceptible to wave-loading conditions than fixed-base systems.
5.2. Structural Analysis in Storm Conditions in Irish Waters
To correctly represent the effect of the effects of wind–wave misalignment on the structural dynamics of FOWTs in Irish waters, it was necessary to investigate the dynamic response in extreme metocean conditions. For this reason, the dataset was indexed to generate two extreme conditions with differing degrees of misalignment. Only characteristics that were sustained, meaning that the isolated trend occurred over a range of at least three data points (12 h), were selected. This mitigated the risk of highlighting outliers or anomalies from the reanalysis sets.
5.2.1. Selected Storm Events
The two sets of environmental data selected were based on two storms (Table 10). The first set, “Storm 1”, was chosen due to the fact that it was the period with the highest sustained wind speed possessing misalignment. It was described previously, in Section 4.1, as the “Boxing Day Storm”, resulting from a hurricane in the Mid-Atlantic Ocean in 1998. It should be noted that there was a discrepancy between the wave characteristics output by the data and observational data reported by verified sources from the time. ERA5 reported a 12 m wave height, whereas observational data reported waves up to 21 m high [46]. ERA5 often underestimates wave height, as seen in Section 1.4.1, and therefore it was decided to increase the wave height to 18 m with a period of 17 s. The misalignment, as reported by ERA5, throughout this event was 30∘.
Table 10.
Storm conditions representing extreme environmental input conditions.
The second dataset (“Storm 2”) was selected by indexing misalignment angles close to 90∘ and extreme wind speeds. A misalignment angle of 90∘ was chosen as it represents a direct side-on wave loading conditions to the turbine. Barj et al. highlighted the dangers of 90∘ misalignment concluding that it was the angle inducing the greatest side-on loading condition to the turbine tower [21]. A set of data points with a sustained period of 30 m/s wind speed and a wave height of 10 m over 12 h were isolated. Interestingly, these conditions were found in a similar location, south–southwest of the country far offshore.
5.2.2. Structural Dynamic Analysis in Storm Conditions
Dynamic simulations of NREL’s 5MW FOWT were run again in OpenFAST with the storm conditions described in Section 5.2.1 as input. The mean wind speed in both storm conditions was considerably above the cut-out wind speed, 25 m/s, and therefore, the FOWTs were modelled in a cut-out state with the blades feathered to 90∘. Control simulations were run, against which simulated misaligned conditions could be compared in each case. This control possessed the same input characteristics; however, the wave direction was altered to align with the wind. Note that these storms occurred in Area A. Therefore, the baseline turbine response, as previously calculated using the average daily environmental input characteristics (Table 9), was used to understand the effects of storm conditions on the turbine.
The turbine tower deflections, as seen in Figure 24 and Figure 25, display the effects of wind–wave misalignment in storm conditions on the dynamic response of FOWTs in Irish waters. Misalignment caused significant amplification of the side-to-side deflection of the turbine tower in storm conditions.
Figure 24.
Comparison of aligned and misaligned wave loading conditions, by the metrics of fore–aft deflection (a) and side-to-side deflection (b) in “Storm 1” conditions.
Figure 25.
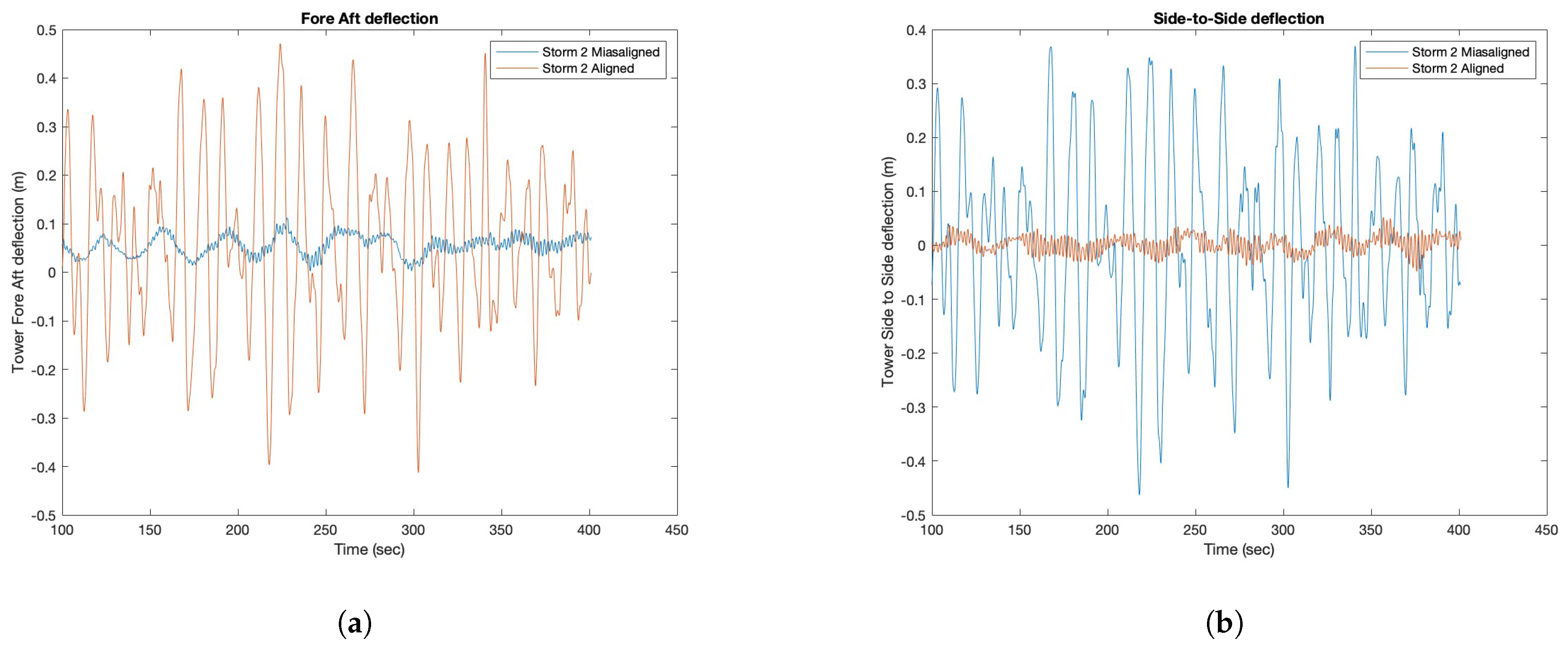
Comparison of aligned and misaligned wave loading conditions, by the metrics of fore–aft deflection (a) and side-to-side deflection (b) in “Storm 2” conditions.
Examining the peak-to-peak amplitude of tower deflections displayed the most dramatic effects of misalignment. Under normal operating conditions, the peak-to-peak displacement amplitude for a turbine in this area was m in the side-to-side direction and m fore–aft (see Table 9). Under storm conditions, the peak-to-peak of the side-to-side deflection in “Storm 2” was m in misaligned conditions, and the fore–aft peak-to-peak deflection in aligned conditions in “Storm 1” was m.
Interestingly, the most extreme conditions considering deformation in any direction were consistently in the fore–aft direction. In the misaligned conditions outlined by “Storm 1”, which was characterised by extremely high waves, a slight misalignment of 30∘ slightly decreased the large fore–aft deflections. The side-to-side deflection increased due to misalignment; this increase was large considering the slight misalignment angle.
In “Storm 2”, the wind speed and wave height were lower. However, the misalignment angle was higher, representing a direct side-on the loading condition. In this instance, the side-to-side and fore–aft loading could be seen to be mirrored across the two states, as seen in Figure 25. The fore–aft deflection in the aligned direction was still slightly greater due to the combined forces of the wind and the waves in this direction.
5.3. A Brief Examination of Design Standards
The previously published literature has highlighted the possibility of underestimation of the effects of wind–wave misalignment on wind turbine dynamics in the design and testing phases, particularly in extreme metocean conditions. Barj et al. concluded that not considering misaligned conditions could result in an underestimation of the tower base’s side-to-side bending moment by approximately 50% and an overestimation of the tower base’s fore–aft bending moment by about 5% [21]. Koukoura et al. similarly concluded that an installed turbine in the Walney Offshore Wind Farm was experiencing increased loading due to an underestimation of misalignment in the design phase [28]. Our dynamic analysis, in Section 5.2.2, also showed that there was a substantial increase in tower fore–aft and side-to-side displacement in storm conditions in Irish waters. In this section, we briefly examine available guidance for wind turbine designers on misalignment and its implications for practice.
The most widely adopted design code for offshore wind turbines is the IEC 61400-3-2 [51] design standard. In line 793 of the standard, it is stated that a 90∘ misaligned loading condition should be considered if the designer sees fit, as it represents the loading condition with the least aerodynamic damping. The large effect of a 90∘ misalignment on turbine side-to-side deflections was highlighted by Barj et al. [21], and also in the analysis of “Storm 2” in Section 5.2.2 of this study. In this respect, IEC 61400-3-2 accurately represents misaligned loading conditions and provides reasonable guidance to designers.
IEC 61400-3-2 also recommends modelling turbines in parked or stalled conditions, as was undertaken above in Section 5.2.2. In Section 7.4.7 of IEC 61400-3-2, it states that in parked conditions, and with the absence of information on site-specific conditions, “the misalignment within a range of 30∘ that results in the highest loads acting on the FOWT support structure shall be considered” [51]. As shown in Section 5.2.2, it is possible to have a misalignment of over 30∘, while also operating a turbine in parked or stall conditions due to the cut-out wind speed being exceeded. Therefore, this could lead to an underestimation of the effect of misalignment on parked or stalled turbines in high wind conditions.
In lines 1959 to 1961, the IEC 61400-3-2 standard discusses the reduction in wave height due to misalignment. The standard reads: “If this misalignment exceeds 30∘, the extreme wave height may be reduced due to the decay in severity of the sea state over the period associated with the change in wind direction which causes the misalignment” [51]. As demonstrated in Section 4.1, hurricane-force winds can often contain misaligned wave conditions of 30∘, which are sustained throughout the hurricane and therefore do not lead to a reduction in extreme wave heights. This was borne out by the dataset we built for Irish waters; see Figure 18. IEC 61400-3-2 may be referring to the reduction in wave heights due to the reluctance of approaching weather fronts to develop swells, as discussed in Section 4.2. However, this guidance could similarly lead to an underestimation of wave height in misaligned hurricane conditions with implications for designers and structural safety.
While the findings of this numerical study in Section 5 were based on the analysis of a spar-type FOWTs, the general principles regarding the impact of wind–wave misalignment on the structural dynamics of FOWTs are expected to be applicable to other FOWT configurations, such as semi-submersible and tension-leg platforms. However, the specific dynamic responses and the effectiveness of the control strategies may vary depending on the FOWT type. Future research could explore the implications of wind–wave misalignment in Irish waters for a broader range of FOWT designs, potentially through the development of more comprehensive models that account for the unique characteristics of different platform types.
6. Conclusions
In conclusion, this study demonstrated that misalignment significantly exacerbated turbine deflection, particularly in Irish metocean conditions and during hurricane events. The findings revealed a pronounced amplification of deflection under misalignment, a phenomenon whose implications extend to industry standards and design practices. Crucially, the investigation exposed a potential underestimation of misalignment’s severity in extreme conditions, highlighting a critical gap in current standards.
Notably, the study pioneered the examination of misalignment’s impact on floating offshore wind turbines, leveraging reanalysis data as a cornerstone of the analysis—a methodological innovation.
The exploration into the causes of misalignment in Irish waters uncovered a wide variety of contributing factors previously overlooked. From tidal wave refraction to wind curvature in hurricane systems, the comprehensive analysis underscored the multifaceted nature of misalignment dynamics in offshore environments.
While the focus primarily centred on environmental conditions, industry standards were also scrutinised, revealing a gap in the assessment of misalignment’s effects during storm events. This knowledge deficit underscores the need for enhanced testing protocols during turbine design phases, informed by a deeper understanding of misalignment’s impact.
Furthermore, the study demonstrated the suitability of ERA5 data for climate analysis in Irish waters. Using the ERA5 reanalysis dataset validated against Irish Marine Data Buoy Observation Network measurements, the results showed a satisfactory accuracy with an average wind speed error of m/s and a strong correlation coefficient of . Wind–wave misalignment was found to be inversely correlated with wind speed (correlation coefficient: ), with minimum misalignment occurring approximately seven hours after a change in wind direction. The study revealed that misalignment could exceed during hurricanes, contradicting standard assumptions of alignment under extreme conditions. The investigation highlighted that in western coastal areas, the average misalignment could reach , while sheltered Irish Sea regions experienced lower values, such as . Numerical simulations confirmed that these misalignment values amplified side-to-side turbine deflections significantly. This research underscores the need to incorporate misalignment effects into industry testing standards and suggests that current methodologies may underestimate fatigue loads by up to 50%. This work emphasizes improved design and testing protocols for FOWTs in complex marine environments and highlights the suitability of ERA5 for climate analysis in Ireland.
We acknowledge several important limitations of this work that should be considered in future studies. Firstly, while the ERA5 reanalysis dataset was found suitable for climate analysis in the Irish context, it has limitations in accurately depicting storm conditions, particularly during extreme hurricane events. Further refinement and validation of reanalysis datasets will be needed to fully capture the complexities of offshore wind environments. Additionally, the scope of the misalignment analysis focused primarily on environmental factors, while industry standards and design practices also play a critical role. More research is required to fully quantify the implications of misalignment on turbine performance and certification procedures. The generalizability of the results may also be constrained by the specific environmental conditions and turbine characteristics of the Irish seas, warranting further validation across different regional offshore wind markets. Finally, the numerical work was limited to spar buoy-type floating offshore wind turbines, and future studies should expand the analysis to include a broader range of FOWT designs and configurations. Addressing these limitations through continued research efforts will help advance the understanding of wind–wave misalignment effects and inform the development of more robust design standards and certification procedures for the floating offshore wind industry.
In summary, the study advances understanding of misalignment’s effects on floating offshore wind turbines and also highlights the need for updated standards and future research in the field.
Author Contributions
Conceptualization, T.S. and B.F.; Methodology, T.S. and B.F.; Software, T.S.; Formal analysis, T.S. and B.F.; Investigation, T.S.; Data curation, T.S.; Writing—original draft, T.S.; Writing—review & editing, B.F. All authors have read and agreed to the published version of the manuscript.
Funding
This work is supported by Sustainable Energy Authority of Ireland (SEAI) grant no. 19/RDD/601.
Data Availability Statement
The original contributions presented in this study are included in the article. Further inquiries can be directed to the corresponding author.
Conflicts of Interest
The authors declare that they have no known competing financial interests or personal relationships that could have appeared to influence the work reported in this paper.
References
- Fitzgerald, B.; McAuliffe, J.; Baisthakur, S.; Sarkar, S. Enhancing the reliability of floating offshore wind turbine towers subjected to misaligned wind-wave loading using tuned mass damper inerters (TMDIs). Renew. Energy 2023, 211, 522–538. [Google Scholar] [CrossRef]
- Bachynski, E.E.; Kvittem, M.I.; Luan, C.; Moan, T. Wind-Wave Misalignment Effects on Floating Wind Turbines: Motions and Tower Load Effects. J. Offshore Mech. Arct. Eng. 2014, 136, 041902. [Google Scholar] [CrossRef]
- Carnevali, G. Navionics. 2022. Available online: https://webapiv2.navionics.com/index.html (accessed on 1 November 2024).
- Sergiienko, N.; Da Silva, L.; Bachynski-Polić, E.; Cazzolato, B.; Arjomandi, M.; Ding, B. Review of scaling laws applied to floating offshore wind turbines. Renew. Sustain. Energy Rev. 2022, 162, 112477. [Google Scholar] [CrossRef]
- Papi, F.; Bianchini, A. Technical challenges in floating offshore wind turbine upscaling: A critical analysis based on the NREL 5 MW and IEA 15 MW Reference Turbines. Renew. Sustain. Energy Rev. 2022, 162, 112489. [Google Scholar] [CrossRef]
- Fitzgerald, B.; Basu, B. A monitoring system for wind turbines subjected to combined seismic and turbulent aerodynamic loads. Struct. Monit. Maint. 2017, 4, 175–194. [Google Scholar]
- Sarkar, S.; Fitzgerald, B.; Basu, B. Nonlinear model predictive control to reduce pitch actuation of floating offshore wind turbines. IFAC-Pap. 2020, 53, 12783–12788. [Google Scholar] [CrossRef]
- Baisthakur, S.; Pakrashi, V.; Bhattacharya, S.; Fitzgerald, B. Impact of Sources of Damping on the Fragility Estimates of Wind Turbine Towers. ASCE-ASME J. Risk Uncertain. Eng. Syst. Part B Mech. Eng. 2024, 10, 041202. [Google Scholar] [CrossRef]
- Hong, S.; McMorland, J.; Zhang, H.; Collu, M.; Halse, K.H. Floating offshore wind farm installation, challenges and opportunities: A comprehensive survey. Ocean. Eng. 2024, 304, 117793. [Google Scholar] [CrossRef]
- Díaz, H.; Serna, J.; Nieto, J.; Guedes Soares, C. Market needs, opportunities and barriers for the floating wind industry. J. Mar. Sci. Eng. 2022, 10, 934. [Google Scholar] [CrossRef]
- Zhou, Y.; Ning, D.; Chen, L.; Mayon, R.; Zhang, C. Experimental investigation on an OWC wave energy converter integrated into a floating offshore wind turbine. Energy Convers. Manag. 2023, 276, 116546. [Google Scholar] [CrossRef]
- Zhang, D.; Chen, Z.; Liu, X.; Sun, J.; Yu, H.; Zeng, W.; Ying, Y.; Sun, Y.; Cui, L.; Yang, S.; et al. A coupled numerical framework for hybrid floating offshore wind turbine and oscillating water column wave energy converters. Energy Convers. Manag. 2022, 267, 115933. [Google Scholar] [CrossRef]
- López, M.; Rodríguez, N.; Iglesias, G. Combined floating offshore wind and solar PV. J. Mar. Sci. Eng. 2020, 8, 576. [Google Scholar] [CrossRef]
- Bi, C.; Law, A.W.K. Co-locating offshore wind and floating solar farms–effect of high wind and wave conditions on solar power performance. Energy 2023, 266, 126437. [Google Scholar] [CrossRef]
- Icaza-Alvarez, D.; Jurado, F.; Tostado-Véliz, M. Smart energy transition with the inclusion of floating wind energy in existing hydroelectric reservoirs with a view to 2050. Ecuadorian case study. Energy Rep. 2023, 10, 2804–2816. [Google Scholar] [CrossRef]
- Alkhalidi, A.; Abuothman, A.; Abbas, H.; Al-Duqqah, B.; Nofal, T.; Amano, R.S. Cantilever wind turbines installation to harvest accelerated wind in dams (hybrid floating PV–Wind system). Renew. Energy Focus 2022, 40, 39–47. [Google Scholar] [CrossRef]
- Borba, P.C.S.; Júnior, W.C.S.; Shadman, M.; Pfenninger, S. Enhancing drought resilience and energy security through complementing hydro by offshore wind power—The case of Brazil. Energy Convers. Manag. 2023, 277, 116616. [Google Scholar] [CrossRef]
- Ibrahim, O.S.; Singlitico, A.; Proskovics, R.; McDonagh, S.; Desmond, C.; Murphy, J.D. Dedicated large-scale floating offshore wind to hydrogen: Assessing design variables in proposed typologies. Renew. Sustain. Energy Rev. 2022, 160, 112310. [Google Scholar] [CrossRef]
- Wang, Z.; Wang, H.; Sant, T.; Zhao, Z.; Carriveau, R.; Ting, D.S.; Li, P.; Zhang, T.; Xiong, W. Subsea energy storage as an enabler for floating offshore wind hydrogen production: Review and perspective. Int. J. Hydrogen Energy 2024, 71, 1266–1282. [Google Scholar] [CrossRef]
- Li, X.; Zhu, C.; Fan, Z.; Chen, X.; Tan, J. Effects of the yaw error and the wind-wave misalignment on the dynamic characteristics of the floating offshore wind turbine. Ocean. Eng. 2020, 199, 106960. [Google Scholar] [CrossRef]
- Barj, L.; Jonkman, J.M.; Robertson, A.; Stewart, G.M.; Lackner, M.A.; Haid, L.; Matha, D.; Stewart, S.W. Wind/Wave Misalignment in the Loads Analysis of a Floating Offshore Wind Turbine. In Proceedings of the 32nd ASME Wind Energy Symposium, National Harbor, MD, USA, 13–17 January 2014. [Google Scholar] [CrossRef]
- Verma, A.S.; Jiang, Z.; Ren, Z.; Gao, Z.; Vedvik, N.P. Effects of Wind-Wave Misalignment on a Wind Turbine Blade Mating Process: Impact Velocities, Blade Root Damages and Structural SafetyAssessment. J. Mar. Sci. Appl. 2020, 19, 218–233. [Google Scholar] [CrossRef]
- Chitteth Ramachandran, R.; Desmond, C.; Judge, F.; Serraris, J.J.; Murphy, J. Floating offshore wind turbines: Installation, operation, maintenance and decommissioning challenges and opportunities. preprint, Operation, condition monitoring, and maintenance. Wind. Energy Sci. Discuss. 2021, 25, 1–32. [Google Scholar] [CrossRef]
- Andersen, M.R.; de Eyto, E.; Dillane, M.; Poole, R.; Jennings, E. 13 Years of Storms: An Analysis of the Effects of Storms on Lake Physics on the Atlantic Fringe of Europe. Water 2020, 12, 318. [Google Scholar] [CrossRef]
- Wei, K.; Arwade, S.R.; Myers, A.T.; Valamanesh, V.; Pang, W. Impact of Hurricane Wind/Wave Misalignment on the Analyses of Fixed-Bottom Jacket Type Offshore Wind Turbine; Virginia Tech.: Blacksburg, VA, USA, 2015. [Google Scholar]
- Gaughan, E.; Fitzgerald, B. An assessment of the potential for Co-located offshore wind and wave farms in Ireland. Energy 2020, 200, 117526. [Google Scholar] [CrossRef]
- Baisthakur, S.; Fitzgerald, B. A study of wind-wave misalignment for the Irish coastline and its effect on the wind turbine response. In Proceedings of the Civil Engineering Research in Ireland 2022: Conference Proceedings (CERI 2022), Dublin, Ireland, 25–26 August 2022. [Google Scholar]
- Koukoura, C.; Brown, C.; Natarajan, A.; Vesth, A. Cross-wind fatigue analysis of a full scale offshore wind turbine in the case of wind-wave misalignment. Eng. Struct. 2016, 120, 147–157. [Google Scholar] [CrossRef]
- Olauson, J. ERA5: The new champion of wind power modelling? Renew. Energy 2018, 126, 322–331. [Google Scholar] [CrossRef]
- Doddy Clarke, E.; Griffin, S.; McDermott, F.; Monteiro Correia, J.; Sweeney, C. Which Reanalysis Dataset Should We Use for Renewable Energy Analysis in Ireland? Atmosphere 2021, 12, 624. [Google Scholar] [CrossRef]
- Shi, H.; Cao, X.; Li, Q.; Li, D.; Sun, J.; You, Z.; Sun, Q. Evaluating the Accuracy of ERA5 Wave Reanalysis in the Water Around China. J. Ocean. Univ. China 2021, 20, 1–9. [Google Scholar] [CrossRef]
- Muhammed Naseef, T.; Sanil Kumar, V. Climatology and trends of the Indian Ocean surface waves based on 39-year long ERA5 reanalysis data. Int. J. Climatol. 2020, 40, 979–1006. [Google Scholar] [CrossRef]
- Wang, J.; Wang, Y. Evaluation of the ERA5 Significant Wave Height against NDBC Buoy Data from 1979 to 2019. Mar. Geod. 2022, 45, 151–165. [Google Scholar] [CrossRef]
- Campos, R.M.; Gramcianinov, C.B.; de Camargo, R.; da Silva Dias, P.L. Assessment and Calibration of ERA5 Severe Winds in the Atlantic Ocean Using Satellite Data. Remote Sens. 2022, 14, 4918. [Google Scholar] [CrossRef]
- Dunikowski, C. Copernicus Climate Change Service. 2022. Available online: https://cds.climate.copernicus.eu/ (accessed on 1 January 2023).
- Larsén, X.G.; Davis, N.; Hannesdóttir, Á.; Kelly, M.; Svenningsen, L.; Slot, R.; Imberger, M.; Olsen, B.T.; Floors, R. The Global Atlas for Siting Parameters project: Extreme wind, turbulence, and turbine classes. Wind. Energy 2022, 25, 1841–1859. [Google Scholar] [CrossRef]
- Marek, P.; Grey, T.; Hay, A. A Study of the Variation in Offshore Turbulence Intensity Around the British Isles; Prevailing Ltd.: Glasgow, UK, 2016. [Google Scholar]
- Nic Guidhir, M.; Kennedy, D.; Berry, A.; Christy, B.; Clancy, C.; Creamer, C.; Westbrook, G.; Gallagher, S. Irish Wave Data—Rogues, Analysis and Continuity. J. Mar. Sci. Eng. 2022, 10, 1073. [Google Scholar] [CrossRef]
- Ragheb, M. Wind Shear, Roughness Classes and Turbine Energy Production. p. 15. Available online: http://www.ragheb.co/NPRE%20475%20Wind%20Power%20Systems/Wind%20Shear%20Roughness%20Classes%20and%20Turbine%20Energy%20Production.pdf (accessed on 1 November 2024).
- Ratner, B. The correlation coefficient: Its values range between +1/−1, or do they? J. Target. Meas. Anal. Mark. 2009, 17, 139–142. [Google Scholar] [CrossRef]
- US Department of Commerce, National Oceanic and Atmospheric Administration. What’s New at the NDBC Web Site? National Oceanic and Atmospheric Administration: Washington, DC, USA, 2014.
- Munk, W.H.; Traylor, M.A. Refraction of Ocean Waves: A Process Linking Underwater Topography to Beach Erosion. J. Geol. 1947, 55, 1–26. [Google Scholar] [CrossRef]
- Stewart, R.H. Introduction to Physical Oceanography; Texas A & M University: College Station, TX, USA, 2008. [Google Scholar]
- Fischer, T.; Rainey, P.; Bossanyi, E.; Kühn, M. Study on control concepts suitable for mitigation of loads from misaligned wind and waves on offshore wind turbines supported on monopiles. Wind. Eng. 2011, 35, 561–574. [Google Scholar] [CrossRef]
- Zhou, L.m.; Wang, A.f.; Guo, P.f. Numerical simulation of sea surface directional wave spectra under typhoon wind forcing. J. Hydrodyn. Ser. B 2008, 20, 776–783. [Google Scholar] [CrossRef]
- O’Brien, L.; Renzi, E.; Dudley, J.M.; Clancy, C.; Dias, F. Catalogue of extreme wave events in Ireland: Revised and updated for 14 680 BP to 2017. Nat. Hazards Earth Syst. Sci. 2018, 18, 729–758. [Google Scholar] [CrossRef]
- Jonkman, J.M.; Buhl, M.L., Jr. Fast User’s Guide-Updated August 2005; Technical Report; National Renewable Energy Laboratory (NREL): Golden, CO, USA, 2005.
- Jonkman, J.M.; Butterfield, S.; Musial, W.; Scott, G. Definition of a 5-MW Reference Wind Turbine for Ofshore System Development; National Renewable Energy Laboratory: Golden, CO, USA, 2009.
- Jonkman, J. Definition of the Floating System for Phase IV of OC3; Technical Report; National Renewable Energy Laboratory (NREL): Golden, CO, USA, 2010.
- Sarkar, S.; Fitzgerald, B. Use of kane’s method for multi-body dynamic modelling and control of spar-type floating offshore wind turbines. Energies 2021, 14, 6635. [Google Scholar] [CrossRef]
- IEC 61400-3-2; Wind Energy Generation Systems—Part 3-2: Design Requirements for Floating Offshore Wind Turbines. International Electrotechnical Commission: London, UK, 2019.
Disclaimer/Publisher’s Note: The statements, opinions and data contained in all publications are solely those of the individual author(s) and contributor(s) and not of MDPI and/or the editor(s). MDPI and/or the editor(s) disclaim responsibility for any injury to people or property resulting from any ideas, methods, instructions or products referred to in the content. |
© 2025 by the authors. Licensee MDPI, Basel, Switzerland. This article is an open access article distributed under the terms and conditions of the Creative Commons Attribution (CC BY) license (https://creativecommons.org/licenses/by/4.0/).
























