Abstract
Mixtures of hydrogen with common hydrocarbon fuels are considered viable for reducing carbon footprint in modern industry, power production, and transportation. The addition of hydrogen alters the kinetics and thermophysical properties of the mixtures, as well as the composition and properties of combustion products, requiring detailed research into the features of flame propagation in hydrogen-enriched hydrocarbon–air mixtures. Of particular interest are also the safety aspects of such fuels. In this paper, experimental results are presented on the premixed laminar flame propagation in channels formed by two closely spaced plates (Hele-Shaw cell), with the internal straight walls forming a diverging (diffuser) channel with the opening angles between 5 and 25 degrees. Methane–hydrogen–air mixtures with the hydrogen relative contents of 0%, 25%, and 50% and global equivalence ratio of unity were ignited by a spark near the closed narrow end of the channel. Experiments were performed with the gap width of 3.5 mm; video recordings were processed in order to determine the quantitative features of the flame front propagation (leading and trailing point coordinate, coordinates of the cusps, cell sizes and shapes). The main features of flame propagation (fast initial expansion, development of cellular flame, self-induced longitudinal oscillations) are obtained and compared to clarify the effect of hydrogen contents in the fuel and channel geometry (gap width, opening angle).
1. Introduction
Interest in hydrogen as a fuel is naturally related to such attractive features, in comparison with commonly used hydrocarbon fuels, as zero carbon offprint, high energetics and reactiveness. Hydrogen is renewable and abundant, non-toxic, it is generally more powerful than fossil fuels and its fuel conversion efficiency is higher than for other fuels [1]. There is a worldwide trend towards the replacement of hydrocarbon energy carriers with hydrogen, and significant research efforts are focused on the development of relevant industries [2,3]. In particular, “green hydrogen” produced from renewable energy sources is increasingly seen as a solution to the problem of economy decarbonization and meeting the climate goals [4].
However, transition to the use of pure hydrogen as a fuel faces many problems, including required global changes in the fuel production, storage, and transportation [5]. Despite the development of several industrial technologies for hydrogen production, mainly from the fossil fuels and hydrocarbons, it remains an expensive fuel, not easily transported to large distances (unlike oil or natural gas). Its low density makes its storage problematic, requiring either cryogenic or high-pressure conditions [1,5]. Not surprisingly, significant differences in the physical and chemical properties would require a substantially different design of internal combustion engines, combustors, etc. Also, serious safety issues resulting from high reactivity and much wider flammability and detonation limits must be addressed adequately. Research into hydrogen safety and possible consequences of fires, explosions, vessel rupture is actively under way worldwide [6,7,8,9].
A more viable alternative being considered is to add hydrogen to conventional hydrocarbons, leveraging on its positive properties, while mitigating to some extent the associated difficulties and dangers [10]. In particular, methane, as the main component of natural gas, is the lightest of gaseous hydrocarbons, and its blends with hydrogen have long attracted research attention [11,12].
Hydrogen-enriched methane–air gas mixtures represent promising solutions with many practical applications. In the energy sector, the integration of hydrogen mixtures into gas turbines and heating units can significantly improve the thermodynamic efficiency of combustion processes and reduce carbon emissions, which is especially relevant for power plants aiming at decarbonization. In the transport sector, the use of hydrogen mixtures in combustion engines allows for the adaptation to more environmentally friendly energy sources without the need to completely replace internal combustion engines. For domestic use, natural gas (with methane being the prevalent component) can be blended with up to 15% of hydrogen [5].
Combustion characteristics of methane and hydrogen diverge significantly; therefore, much effort was focused on the proper quantification of the chemical kinetics of methane–hydrogen–air mixtures [13,14], and, especially, on the experimental and computational determination of laminar burning velocities of blended methane–hydrogen fuels at atmospheric and engine conditions [15,16,17,18,19,20]. A comprehensive review on the prospects of using methane–hydrogen blends [10] concludes that methane with addition of up to 20% of hydrogen may be the most promising for domestic and energy applications in the near future. However, combustion of mixtures with high hydrogen content must also be studied in detail, and safety issues for the transportation and storage of hydrogen blended natural gas (HBNG) must be fully studied and apprehended [21].
In the latter context, of definite interest become not just the combustion characteristic of methane–hydrogen blends per se (laminar burning velocity, flammability limits, combustion energetics and kinetics), but properties of premixed flames propagating in various geometries, their interaction with walls, obstacles etc. For example, flame ability to propagate in narrow slots and congested space is an important process that can determine fire safety or dangers in the case of methane–hydrogen fuel leakages during storage and transportation of blended fuels. On the other hand, combustion in narrow gaps can occur in various small-scale thrusters, combustors, micro-engines and other micro electro-mechanical systems (MEMS) [22]. Performance of such micro-devices depends significantly on mixture ignitability, laminar flame stability, effects of wrinkles and cells on flame front propagation speed. All these factors necessitate thorough studies of premixed combustion in narrow channels, in particular, in the Hele-Shaw cells.
The Hele-Shaw cell, consisting of two parallel transparent plates separated by a narrow gap, is known well in fluid dynamics; it was first used for visualization of water flows [23], but gained popularity in other areas, including combustion [24,25,26,27,28,29,30,31,32,33,34]. Success of Hele-Shaw cell arrangement in the context of laminar flame studies is related to much easier flame recording and analysis than in full three-dimensional geometry or even in the open space. Yet, despite the quasi-2D geometry (due to one channel dimension being much smaller than the other two), the flame remains three-dimensional because of inevitable velocity and temperature gradients developing across the channel width [24].
Numerous experimental studies of laminar flames propagation in Hele-Shaw cell were conducted for hydrocarbon–air mixtures (mainly, propane and methane), e.g., [25,26,27,28], with the intrinsic flame instability (Darrieus–Landau and thermal diffusive) mechanisms studied thoroughly. Hydrogen was also popular as the fuel or fuel component in such studies [29,30,31,32,33] because of its specific properties, namely, its much larger diffusion coefficient in comparison with hydrocarbon fuels. By changing the hydrogen content in the mixture, the Lewis number of the lean component (governing the thermal diffusive instability) was changed in [29] between 0.3 and 1.3, which allowed the effect of the Lewis number on the cellular flame structure to be studied explicitly. Studies are performed either in vertical Hele-Shaw cells at atmospheric pressure [30] or in a smaller-scale closed chamber [31]. Another trend in Hele-Shaw studies with hydrogen is related to lean combustion at concentrations close to the lower flammability limit [32,33]. In such conditions, the flame front tends to split into separate kernels that travel from the ignition point, leaving behind the water vapor condensation traces on the plates.
In traditional Hele-Shaw cell studies, flames are initialized by a point or linear source (one or several sparks) and are allowed to travel freely until they reach a closed channel end. Such studies are handy for the investigation of intrinsic flame instabilities, perturbation growth rate, comparisons with existing theories, and numerical solutions. However, from a practical point of view, the interaction of the flame with internal channel obstructions, walls, etc., is also of interest. While the topic of flame acceleration due to turbulization by obstacles in channels is studied intensively in the context of deflagration-to-detonation transition (DDT), e.g., [35,36], only few attempts that have focused on flame penetration through small openings are available [34].
The goal of the current work is to apply the Hele-Shaw arrangement and study the experimentally laminar combustion of stoichiometric methane–hydrogen–air mixtures in channels with widths varying along the channel length (so-called diffusers). The main novelty of this research is threefold. Firstly, we consider explicitly the effect of hydrogen addition on the flame propagation characteristics (leading point coordinate, visible speed, cell statistics) in comparable conditions, i.e., keeping the mixture global equivalence ratio equal to unity, but substituting some methane by hydrogen in a proportion of 0:100 to 50:50 by the molar fraction, [H2]/([H2] + [CH4]). Secondly, by changing the opening angle of the diverging channel, we evaluate the effect of channel geometry on the flame speed and its cellular structure, a point not studied in the current literature. Thirdly, by igniting the mixture near the closed (narrow) end of the channel, we study the effects of combustion product cooling by the affect of the channel walls on the visible flame propagation due to gas contraction. The latter point was motivated by the experimental observations gained in our previous experiments with methane–air mixtures, where significant low-frequency flame oscillations were observed under certain conditions.
2. Materials and Methods
2.1. Apparatus
Experiments were conducted in a facility shown in Figure 1. The combustion chamber is formed by two horizontal parallel glass plates (1) and acrylic side walls (2), fixed with clamp fasteners (3) at a prescribed angle , which varied in the range of 5° to 25°; the vertical distance between the plates (gap width) was fixed at = 3.5 mm. The channel opening angle was chosen not based on any practical considerations, but based on the need to study the influence of the opening angle in a wide range on the flame propagation process. For this reason, we studied the maximum possible range of channel opening angles (5°…25°), which may be of interest from a practical point of view. A further increase in the channel opening angle (>25°) actually leads to flame propagation under conditions of cylindrical symmetry, which was studied in detail, e.g., in [27].
Figure 1.
(a) Photo of experimental equipment; (b) schematic diagram of the experimental facility: (1) top and bottom glass plates; (2) side walls of the channel; (3) clamp fasteners; (4) flame front; (5) spark electrodes; (6) ignition coil; (7) inlet nozzle; (8) mixture supply hose; (9) gas volume meter; (10) valve; (11) methane gas tank; (12) hydrogen generator; (13) two-tank displacement gas meter; (14) high-speed video camera.
In the experiments, the channel was completely filled with a combustible gas mixture prepared in advance in the displacement gas meter (13). Mixture was supplied through the nozzle (7), hose (8), and gas flow meter RGS-2 (9) manufactured by Monitoring company from Saint Petersburg, Russia. The valve (10) ensured the required flow rate for filling the channel with the mixture.
When preparing the mixture in the two-tank displacement gas meter (13), components were supplied to its inlet sequentially. The gasses entered the gas meter through a narrow inlet, forming a high-speed turbulent jet to provide mixture homogeneity by intense mixing. In addition, before supplying the mixture to the channel, the mixture was allowed to settle in the gas meter for at least 5 min. The relative error in the mixture concentrations was less than 2%. For the preparation of the gas mixture, methane was supplied from a gas cylinder (11), while hydrogen was produced by electrolysis of water; the hydrogen generator Chromatek 6.140 (12) was manufactured by Chromatek company, Yoshkar-Ola, Mari El Region, Russia. During the generation process, hydrogen underwent several stages of purification to remove oxygen impurities.
After filling the channel with combustible gas mixture, ignition was performed at its closed narrow end using a high-voltage spark between the electrodes (5) connected to the ignition coil (6). As a result, a flame front (4) was formed, propagating towards the wide channel end. The spark discharge duration was 2.2 ms at a voltage of 35 kV. The spark energy was about 50 mJ, which is well below the combustion energy of the mixture.
Flame propagation was recorded at 240 FPS by the digital high-resolution GoPro HERO12 camera (14) manufactured by GoPro company in San Mateo, CA, USA; the camera was fixed above the transparent plates of the channel on a stationary stand.
2.2. Experimental Procedure
The channel geometry was set before each set of experiments conducted for a fixed opening angle, = 5°, 10°, 15°, 20°, and 25°. The angle between the channel walls was controlled using a protractor, which ensured the necessary accuracy and reliability of the data obtained. The distance between the glass plates was fixed at 3.5 mm in all the experiments, and it was equal to the height of the acrylic plates forming the side walls with an accuracy of up to 0.05 mm. The plates were pressed together by clamp fasteners, and the sagging of the thick (6 mm) glass plates was negligible due to the support of the internal channel walls.
At the beginning of the experiments, a methane–air mixture with hydrogen additives was prepared in a displacement gasometer with a total volume of 15 L. The required volumes of gasses were supplied to the gasometer in the following sequence: 10 L of air, followed by methane and hydrogen in the volumetric proportion necessary to form a stoichiometric mixture, and then the remaining volume was filled with air to reach a total volume of 15 L. The error in the composition of the gas mixtures obtained in the displacement gas meter was within 0.4%.
After preparing the mixture, the gas meter was connected via a hose to the inlet nozzle of the channel. The prepared mixture was supplied to the channel in a volume five times greater than the volume of the channel to ensure complete filling of the space between the plates with the mixture of required composition. The volume of the gas mixture fed to the plates of the Hele-Shaw cell was measured with an accuracy of ±1.5% using a gas flow meter; the average feed rate was 2.5–3.5 L/min.
To reduce the intensity of gas mixture dilution with ambient air, the open end of the channel was covered with a dense fabric. After filling the channel, the gas meter was disconnected from the inlet nozzle, and the inlet nozzle was closed.
Before the ignition, the mixture was held in the channel for up to 30 s to allow any movements that occurred during the filling process to cease. Prior to igniting the mixture, the wide end of the channel was opened, and video recording was started.
After completing an experiment and before conducting the next one, combustion products were removed from the channel by purging it with air. If necessary, the geometry of the channel was changed, and the whole procedure was repeated.
2.3. Video Processing
The position and shape of the flame front in each frame of the experimental video recordings were determined automatically using algorithms implemented in Python, v. 3.13 with the OpenCV (Open Source Computer Vision Library) library, v. 4.10 [37]. The video processing was conducted in several sequential steps to ensure the accurate extraction of the flame front characteristics.
Initially, to isolate the region of interest corresponding to the flame front within the channel, a trapezoidal-shaped logical mask was applied to each frame. This was achieved using a bitwise AND operation, which effectively removed all objects outside the channel, resulting in a blacked-out background while preserving the channel region. The bitwise_and function from the OpenCV library was utilized for this purpose.
Given that the videos were recorded under low-light conditions to enhance the contrast of the flame front, noise was a significant concern. To mitigate this, a median blur filter was applied to each frame using the medianBlur function from OpenCV library. The size of the filter aperture was manually optimized to balance noise reduction while maintaining the integrity of the flame front details.
Following the noise reduction, the images were converted to grayscale, allowing each pixel to be represented by a brightness value ranging from 0 to 255. A thresholding operation was then performed using the OpenCV threshold function, where pixels with brightness below a manually selected threshold were set to black, while those at or above the threshold remained unchanged. This step resulted in an image that highlighted the flame front against a dark background.
With the processed image prepared, the contours of the flame front were extracted using the findContours function from OpenCV. This function generated an array of sequential coordinates that outlined the shape of the flame front. The search for corner points was conducted on the trailing edge of the flame front. Corner points were determined using a modified version of the method described in [38], which was adjusted to detect only left or right turns along the curve, specifically targeting the folds of the flame front.
The longitudinal coordinate of the flame leading point, , was determined by identifying the point on the flame contour that was the farthest from the ignition point. The lengths of the leading and trailing edges of the flame, as well as the lengths of the front between the angular points (cusps) of the front, were calculated using the arcLength function from OpenCV library.
Figure 2 illustrates the identification of flame contours and corner points. The left plate shows the original flame front image, while the right plate displays the processed image. Pink dots mark the detected corner points, the blue dot represents the leading point of the flame; the yellow line denotes the trailing edge, and the light blue line shows the leading edge of the flame.
Figure 2.
Identification of flame contours and cusps: (a) original video frames for a diffuser with opening angle 25° (left: 25% H2, right: 50% H2 in the fuel); (b) left: original flame front image; right: extracted contours (lines) and cusps (dots), where the leading point is indicated by the larger blue dot.
An important question related to the determination of flame front shape and cusp positions pertains to the uncertainties arising due to finite video resolution, both spatial and temporal. With the video equipment used, a total of 2075 pixels covered the channel length of 1.2 m, so that each pixel represents an element of 0.58 mm in size. Some smearing of flame front occurred due to finite exposition time, and also due to the application of a smoothing filter medianBlur (see above). Altogether, the uncertainty in the positions of cusps and flame front can be estimated as ±1 mm.
To check the accuracy of the automatic procedure for finding the cusps and determining the leading flame point, random manual processing was carried out, which confirmed the correctness of the automatic procedure.
3. Results
3.1. Experimental Conditions
Experiments were performed for methane and its blends with hydrogen in different proportions, measured by the fraction of hydrogen in the methane–hydrogen mixture, , where the values in brackets are the molar concentrations of the respective species. When such a fuel is mixed with air, the global equivalence ratio is defined as the fuel-to-oxidizer concentration ratio, normalized by its stoichiometric value. In terms of these two mixture properties, the molar mixture composition is [11]
This expression allows one to obtain the mole fractions of all species easily. In the current work, only globally stoichiometric mixtures were studied (); the corresponding mole fractions for the cases to be considered are summed up in Table 1.
Table 1.
Molar fractions of species (%) in the experiments for globally stoichiometric mixtures.
3.2. Cellular Flame Features
The overall evolution of flame front during its propagation along a diverging channel is best visualized by overlapping multiple frames extracted from the video record and processed as described in Section 2.2. For clarity, the images are taken at a time step of = 25 ms. Corresponding overlapping flame fronts obtained for the methane–hydrogen mixture with and are presented in Figure 3, Figure 4 and Figure 5 for three channel opening angles: = 5°, 15°, and 25°. The time intervals between the sequential flame fronts are the same for all the frames presented; therefore, the distance traveled by the flame over the time step indicates the visible flame velocity.
Figure 3.
Overlapped flame fronts propagating in a diverging channel with an angle of 5°: mixture composition is (top plate) and (bottom plate).
Figure 4.
Overlapped flame fronts propagating in a diverging channel with an angle of 15°: mixture composition is (top plate) and (bottom plate).
Figure 5.
Overlapped flame fronts propagating in a diverging channel with an angle of 25°: mixture composition is (top plate) and (bottom plate).
It can be seen in Figure 3, Figure 4 and Figure 5 that higher hydrogen contents in the mixture (bottom plates in each figure) increase the flame speed, which is consistent with the increase in the normal flame speed. According to different authors [11,12,13,14,15,16,17,18,19,20], the addition of 25% hydrogen increases the normal flame speed to some 45 cm/s from 37 cm/s for stoichiometric methane–air flame speed, and with the addition of 50%, hydrogen further increases in the normal flame speed of up to some 60 cm/s (a more detailed comparison of flame speeds will be carried out in the following sections).
An important feature of the process is that for , the flame fronts are positioned uniformly over the channel length (of course, the flame shape changes due to cell inception and disappearance). However, for , significant non-uniformities in the flame positions become evident: relatively fast flame propagation is alternated with flame deceleration, visible as the bright regions (marked by arrows in Figure 3, Figure 4 and Figure 5) where the flame fronts at several consecutive instants are clustered. These non-uniformities indicate that low-frequency oscillations are developing, affecting the visible flame velocity propagating in a Hele-Shaw cell with side walls. The oscillations are seen in all the bottom plates of Figure 3, Figure 4 and Figure 5, i.e., they appear regardless of the channel opening angle . For clarity, in Figure 5 (bottom plate) the regions of fast and slow flame front propagation are marked with corresponding pointers. Also marked is the region of fast flame propagation due to the initial expansion of combustion products straight after ignition. Note that the same regions of fast and slow flame propagation are characteristic of all channel opening angles (bottom plates in Figure 3 and Figure 4).
It must be noted that in our recent experiments [39] performed for the stoichiometric methane–air mixture (with no hydrogen added, ) in the channels of the same geometry, but with variable gap width, oscillations only appeared in the channels with a wider gap width, exceeding 5 mm. For a gap width of 3.5 mm (used in the current paper), no flame oscillations were observed for methane–air mixtures. Evidently, faster propagating flames are more prone to these auto-induced oscillations. In the following sections, quantitative analysis of the flame propagation characteristics is performed.
3.3. Flame Propagation Speed
By processing each frame of video recordings as described in Section 2.2, the visible history of flame propagation in channels with different opening angles can be obtained. In Figure 6, the leading point longitudinal coordinate (measured from the ignition source position) is presented for all the experiments performed. The figures clearly demonstrate that two main stages of flame propagation are observed. Following the ignition, rapid gas expansion occurs, pushing the flame along the channel. At this initial expansion stage, gas cooling does not play any role because the time for heat exchange is too short. However, with the increase in the heat exchange area, the cooling becomes noticeable, the products are cooling down, and gas shrinkage behind the flame causes deceleration and stoppage of the outward gas flow, reflected by deceleration of the flame. The second stage of flame propagation in the channel is featured by significantly lower visible velocity, and nearly linear flame coordinate growth with time.
Figure 6.
Leading point coordinates for the stoichiometric methane–hydrogen–air flame propagating in Hele-Shaw cell with internal walls: (a) hydrogen contents in the fuel ; (b) hydrogen contents .
With the increase in the fraction of hydrogen in the fuel, larger-amplitude oscillations develop; see Figure 6b. Moreover, it can be seen that at some periods, the flame propagation is not only arrested, but it reverses direction. Of course, the flame itself cannot reverse its true propagation direction towards the non-reactive products; what is plotted in these graphs is the visible position of flame front that is affected by gas shrinking behind the flame due to the cooling of combustion products by the cold channel walls.
For each of the cases presented in Figure 6, the instantaneous visible flame propagation speed was calculated as (obtained by the numerical differentiation of the experimental data on the flame position , with data smoothing to reduce the numerical noise). Also, the average visible flame speed was calculated by fitting the flame coordinate–time data using a straight line at the time interval corresponding to steady flame propagation (excluding the initial expansion stage).
In Figure 7, the average flame speed obtained in the current experiments for different hydrogen fractions and channel opening angles is compared with the normal flame speeds for methane–hydrogen blends, taken from the literature [11,15,16,17,18]. It can be seen that the visible average flame speed obtained in the Hele-Shaw cell is close to the normal flame speed for pure methane–air flames (); however, it becomes higher with the increase in the hydrogen content in the fuel. For , the normal flame speed (average over works [11,15,16,17,18]) is 0.41 m/s, while our measurements in the Hele-Shaw channel give the visible flame speed from 0.50 to 0.58 m/s, depending on the channel opening angle. For , the difference is larger: while the experimental values of the normal flame speed are clustered around 0.60 m/s, the visible flame velocity in the Hele-Shaw channel reaches about 1 m/s. Note that these two velocities must not necessarily coincide: the theory [24] predicts that the steady-state visible flame velocity must be equal to the normal flame speed corrected for flame wrinkling and curvature altering the flame front surface (a theory explaining the visible flame speed dependence on the channel opening angle is presented below in Section 4). The results presented in Figure 6 indicate that hydrogen addition to methane increases the visible flame front velocity in a larger proportion than the normal flame speed grows. The exact reasons for this behavior have yet to be studied, but it can be assumed that hydrogen-enriched flames possess more sophisticated cellular structure due to the effects of thermal diffusive instability developing due to the presence of a component with high diffusivity.
Figure 7.
Dependence of the average visible flame speed on the hydrogen contents in the fuel . Data from Nilsson et al., 2017 [17], Halter et al., 2005 [15], Reyes et al., 2022 [18], Hu et al., 2009 [11], and Shen et al., 2017 [16] are shown by dots.
3.4. Flame Front Properties and Cell Statistics
In order to obtain quantitative data on the flame front properties, including the statistical properties of its cellular structure, the database obtained from the video recordings in all experiments was further analyzed. The following flame characteristics were calculated for each frame:
- The number of cells on the flame front, ;
- The cell width , defined as the distance between the angular points (cusps) delimiting the i-th cell;
- The cell arc length , obtained as the length of the actual flame front within the current i-th cell;
- The actual flame length, ;
- The flame length, defined by the polyline connecting all cell angles, ;
- The ratio of the actual and polyline flame lengths, .
The latter quantity describes the development of wrinkles on the flame front (for a flat front, it would be equal to unity).
The flame property data obtained for different hydrogen contents are plotted in Figure 8 (25% H2) and Figure 9 (50% H2). In each figure, results are presented for the smallest and largest channel opening angles, 5° and 25°. In the left graphs, the actual flame length is plotted by dots, while in the right graphs, the flame leading point coordinate is shown together with the ratio of the actual and polyline flame lengths . Also, on both graphs, the visible flame speed is plotted by the solid line, allowing one to match the changes in flame properties with its steady propagation or oscillations.
Figure 8.
Time histories of the absolute () and relative () flame lengths, leading point coordinate () and speed () for oscillating flame, : (a) ; (b) . The dashed line corresponds to .
Figure 9.
Time histories of the absolute () and relative () flame lengths, leading point coordinate () and speed () for oscillating flame, : (a) ; (b) . The dashed line corresponds to .
The data presented in Figure 8 for the lower hydrogen fraction (25% H2) show that the most stable flame speed is observed for the smallest opening angle of the channel; see Figure 8a. The corresponding overlaid flame fronts are shown in Figure 2. Apart from the initial stage lasting for 0.1 s, both the flame position and length grow linearly with time. For the channel opening angle = 25°, a single long-period oscillation of the visible flame speed is seen in Figure 8b between 0.4 and 1 s, with the corresponding growth and decrease in the flame length; these deviations can be considered the slow deformation of the flame front caused by the inception and decay of large-scale (of the order of channel width) curved elements (macro-cells) visible in Figure 3, causing long-wave front meandering.
Much more pronounced and regular oscillations of the flame front speed are observed for the higher hydrogen contents (50%), see Figure 9, especially in the channel with a smaller opening angle (Figure 9a). There exists a clear correlation between the visible flame speed and flame length , also present in Figure 9b.
An interesting flame front feature characterizing its wrinkliness and amplitude of cells is the ratio of the actual flame length and length of the polyline connecting the cell corner points . Figure 8 and Figure 9 (right-hand graphs) show that, despite all the differences in the propagation mode, channel geometry, and fuel contents, this ratio stays very stable, fluctuating somewhat about the average value of (shown by the dashed lines). Our previous experiments have shown that the same applies to stoichiometric methane–air flames (without the addition of hydrogen); moreover, the quoted value is independent of the gap width. Therefore, it must reflect the geometrical similarity (on average) of all the cells formed on the flame front and requires further analysis of cell inception, growth, and termination.
In order to quantify the statistical properties of the methane–hydrogen cellular flames and evaluate their dependence on the hydrogen contents, the database of flame properties obtained in the experiments was further analyzed. For each channel opening angle, the cell sizes corresponding to all flame fronts recorded were calculated, and the distribution functions were built for the whole collection of cell sizes (i.e., for the whole process of flame propagation over the channel).
The distribution functions obtained for the same hydrogen contents but for different channel opening angles are presented in Figure 10. The distribution functions are close to each other, and they are approximated quite well by the gamma distribution, shown by the solid curve. For each hydrogen content, parameters of the gamma distribution were obtained by the best fit to the whole set of distribution functions.
Figure 10.
Experimental probability density functions for the cell size on the flame front and their approximation by gamma distribution: (a) hydrogen contents in the fuel ; (b) hydrogen contents .
The fact that the flame cell size distributions obey the gamma distribution functions was established before in [26] on the basis of theoretical analysis and experimental results obtained in a wide vertical Hele-Shaw burner for propane–air flames; here, we confirmed this property of cellular flames for methane–hydrogen mixtures and different channel geometries. Therefore, this statistical property is quite general; it applies to the random generation and merging of cells present in the propagating flames.
With the distribution functions obtained, one can calculate the average properties of the cell collection existing over the whole time of methane–hydrogen flame propagation in the diverging Hele-Shaw channel. In Figure 11, the mean cell size, root mean square (RMS) cell size, and most probable cell size are shown for the pure methane and methane–hydrogen blends (stoichiometric mixtures with air). It can be seen that the addition of hydrogen to methane gives rise to larger (up to 50%) cells than those observed in pure methane–air mixtures (for the same gap width).
Figure 11.
Average properties of cells over the whole flame propagation period (mean, root mean square, the most probable cell size) for different contents of hydrogen in a methane–hydrogen mixture. Lines are the polynomial approximations.
As was stated in Section 2.3, the estimated uncertainty in the position due to finite pixel size and the blurring filter is ±1 mm. However, the majority of cells, as follows from Figure 10, are much larger than this value: with a gap size of = 3.5 mm, the most probable cell size is mm. Perhaps some small-scale cells were missed in our processing, but such cells will be picked up by the algorithm when they increase with time. Close “manual” inspection of the flame fronts (raw and processed data) did not reveal any cells smaller than the gap size, reflected by the size distributions presented in Figure 10.
4. One-Dimensional Theory of Flame Propagation in Diverging Hele-Shaw Channel
Close inspection of Figure 6a,b shows that even in the case of steady (linear) flame propagation, its visible speed increases with the channel opening angle. In order to reveal the reason for this dependence, a theory can be developed, extending the known theory of one-dimensional flame propagation in Hele-Shaw cell [24] to the case where the side walls of the channel are available. In this section, such a theory is presented for the channel geometry sketched in Figure 12 and corresponding to the experimental conditions: the narrow end of the channel has a finite width (2 cm in the experiments), and its side walls diverge at the total opening angle .
Figure 12.
Sketch of diverging Hele-Shaw channel with finite-width narrow end.
The flame is considered a discontinuity propagating over the fresh mixture at some constant speed . Note that this speed can be different from the fundamental quantity, the normal flame speed, because of the actual flame front curvature, the presence of cells, etc.; the same approach is taken in the original theory [24].
It is convenient to consider the propagating flame in the coordinate system originating at the intersection point of the side wall extension (virtual origin), located at a distance behind the narrow channel end; the current distance passed by the flame from the narrow end is denoted by .
Let be the gas velocity, discontinuous at the flame front. The visible flame speed is related to its coordinate by
while the mass flux continuity across the flame front gives
Here, is the density, subscripts 0 and B denote the fresh mixture and the burnt gas, respectively. The gas temperature T is also discontinuous at the flame front, changing abruptly from (in the fresh mixture) to (flame temperature). In the isobaric approximation, the ideal gas law takes the form
The volume of combustion products (per unit length in the direction across the gap) is related to the current position of the flame front and the history of product cooling by
where
is the mass of a portion of combustion products burnt on the time interval ; is the density at time of the combustion products formed at the time . Density variation in time occurs due to gas cooling. For a Lagrangian gas particle formed at the combustion front at time , temperature variation obeys the energy equation
where is the heat exchange coefficient, considered here a constant quantity. Substituting the density on the left-hand side from the ideal gas law, , and integrating (7) with the initial condition , one obtains
Expressing density as a function of temperature (8) from the ideal gas law and substituting it into the right-hand side of (5), one obtains an integral equation for the flame coordinate :
One can then introduce the non-dimensional variables
Performing partial integration in the right-hand side and rearranging the left-hand side, one can rewrite (9) in the non-dimensional form
where is the gas expansion ratio (typical values are ).
The integral equation, Equation (11), must be solved numerically in order to obtain the dependence , after which the visible flame speed can be obtained. However, some conclusions can be drawn from (11) by analyzing the limiting cases.
First of all, recall that is the virtual origin of the channel (see Figure 12) related to the width of its narrow end and the opening angle by
In the limit , the channel tends to a rectangular one; therefore, , and (the same applies to the respective non-dimensional quantities denoted by the overbar). Dividing (11) through by and taking the limit , one can obtain the flame coordinate and visible speed in a channel with parallel walls:
Relationship (13) coincides with the findings of one-dimensional theory [24]: initially, the flame is propagating at a speed ; with time, it assumes the speed , coinciding with the flame speed in the free space.
On the other hand, when the flame travels far enough from the narrow end of a diverging channel (), its propagation is governed by the integral equation following from (11) and taking the form
also predicting linear increase in the flame coordinate with time and . Note that neither (13) nor (14) contain the channel opening angle .
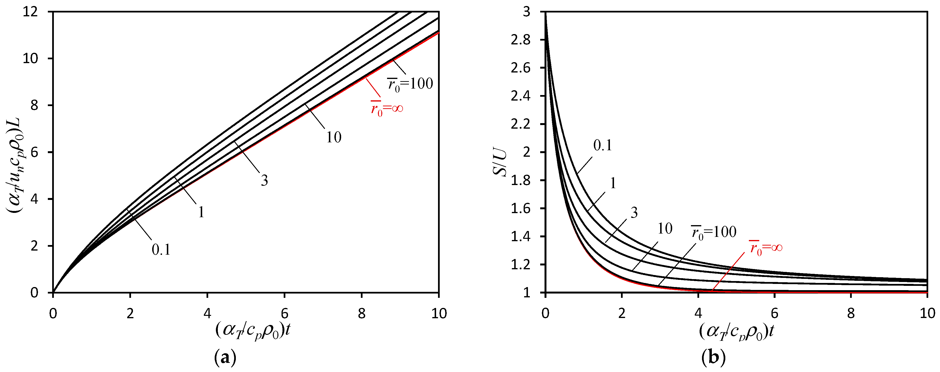
In the intermediate cases of comparable and , numerical solutions to the integral Equation (11) were obtained by an iterative procedure. The results obtained for the expansion ratio , relevant to hydrogen-enriched methane flames, are presented in Figure 13. For reference, the limiting case of is also plotted, illustrating the differences between the flame propagation in diverging and rectilinear channels.
Figure 13.
Flame propagation in a diverging Hele-Shaw channel (non-dimensional variables): (a) flame coordinate; (b) visible velocity. Curves are plotted for different opening angles characterized by the non-dimensional virtual origin position . For reference, flame coordinate and speed are also plotted for a parallel-wall channel ().
It can be seen that the theory predicts larger initial flame speeds in wider-angle channels (smaller correspond to larger , see (12)). This conclusion agrees well with the experimental observations: see Figure 6a. An important conclusion following from this is that the differences are not connected with any change in the properties of the flames themselves; they are of purely geometrical nature. At large enough times, the visible flame speed reaches some value independent of the channel opening angle.
5. Discussion
The experimental and theoretical results of the current paper are not only of academic value; they can be of practical significance in the design of various narrow-slot combustion chambers. The oscillatory flame propagation regimes can affect the operation efficiency and safety of micro-devices, and the addition of hydrogen, as was demonstrated, extends the boundaries in the parameter space where the onset of oscillations may occur.
Experimental and theoretical studies of combustion of hydrogen-enriched methane–air gas mixtures in narrow gaps, such as Hele-Shaw cells, also provide important data for improving combustion safety. The addition of hydrogen results in an increase in combustion rate, which requires more careful control and monitoring to prevent the potential risks associated with increased process reactivity.
The experiments described in this article revealed the occurrence of flame oscillations in narrow channels at certain hydrogen concentrations in the gas mixture, which affect global combustion instability. Understanding the causes of these oscillations can help in developing safer methods for controlling the combustion process in narrow gaps of burner devices and engines, and in developing recommendations for designing equipment and systems to reduce the likelihood of emergency situations.
In this work, stoichiometric mixtures were considered; further research is necessary in order to establish the effect of fuel composition and equivalence ratio on the flame propagation and stability in the channels of Hele-Shaw geometry. Also, theoretical considerations and numerical modeling will be handy in explaining the observed non-monotonic behavior of the average cell size with hydrogen contents in the fuel.
The existing experimental facility does not allow us to study the flame structure across the gap (in the direction). In fact, no such experimental studies are available in the literature, which can be explained by the difficulties in arranging direct measurements of temperature or velocity distributions in the narrow gap. The most promising in this respect is numerical modeling in full three-dimensional problem formulation. Such studies, complementing the experiments described in the present paper, are under way now; they will certainly clarify the effect of the transverse flame structure on the visible flame propagation speed and on the flame oscillations observed experimentally.
6. Conclusions
The experimental and theoretical results presented in the current paper give an insight into the process of hydrogen-enriched methane–air mixture combustion in narrow gaps (Hele-Shaw cells), with the lateral dimensions limited by diverging walls. The following main conclusions can be drawn from the results obtained:
- Stoichiometric hydrogen-enriched methane–air flames propagating in diverging Hele-Shaw cells for the most part behave similarly to methane–air flames, albeit with few quantitative differences;
- Hydrogen addition increases the laminar burning velocity of fuel-air mixture, which is reflected by the visible cellular flame speed; however, the visible speed grows faster than the normal flame speed;
- Hydrogen-enriched methane–air flames possess a larger average cell size than stoichiometric methane–air mixtures;
- Hydrogen addition facilitates the onset of flame oscillations upon propagation from the closed narrow channel end: in the 3.5 mm gap, methane–air and methane–hydrogen–air at hydrogen contents of up to 25% propagate at a constant or slowly varying speed; however, at 50% hydrogen content in the fuel, significant flame velocity oscillations are observed. A similar onset of oscillations was observed in our previous experiments for methane–air flames propagating in diverging Hele-Shaw channels with a gap width of 5 mm and wider;
- The visible flame speed oscillations are of a non-acoustic nature because their frequency (about 5–10 Hz) is well below the frequency of sound waves traveling between the closed and open channel ends (about 1 kHz). These self-induced oscillations are of a relaxation type, caused by the feedback between gas expansion (due to heat release in the flame) and contraction (due to cooling by channel walls). These oscillations are specific to ignition near the closed channel end, and they are absent in the case of a flame propagating from the open towards the closed channel end, where combustion products flow out freely behind the flame;
- The exact reasons for the onset of flame oscillations in our experiments have yet to be studied in detail by theoretical or numerical analysis. Few possible reasons can be suggested: (i) hydrogen addition decreases the output of carbon dioxide, diminishing the viscosity of the combustion products, and weakening the stabilizing role of viscous friction; (ii) steam condensation on cold channel walls can play some role by changing the composition of combustion products; (iii) increase in the expansion ratio (ratio of densities in front of and behind the flame) increases the perturbation growth rate due to Darrieus–Landau instability, resulting in faster development of cellular flame structure.
- Theoretical considerations of non-oscillating flame propagation reveal the reasons for the dependence of visible flame speed on the channel opening angle: it is shown that a larger visible flame speed in wider channels is not related to lower heat losses or drag, but is explained by purely geometrical considerations.
Author Contributions
Conceptualization and methodology, S.Y., S.R., O.S. and M.A.; experiments, O.S. and M.A.; visualization, O.S. and M.A.; data analysis, S.R., O.S. and M.A.; writing—original draft preparation, S.R., O.S. and M.A.; writing—review and editing, S.Y. and S.R. All authors have read and agreed to the published version of the manuscript.
Funding
This research was funded by the Ministry of Science and Higher Education of Russia, agreement No. 075-15-2024-543 of 24 April 2024.
Data Availability Statement
The original contributions presented in this study are included in the article. Further inquiries can be directed to the corresponding author.
Conflicts of Interest
The authors declare no conflicts of interest. The funders had no role in the design of this study; in the collection, analyses, or interpretation of the data; in the writing of the manuscript; or in the decision to publish the results.
References
- Sundén, B. Hydrogen. In Hydrogen, Batteries and Fuel Cells; Elsevier: Amsterdam, The Netherlands, 2019; Chapter 3; pp. 37–55. ISBN 9780128169506. [Google Scholar]
- Hydrogen Council. Available online: https://hydrogencouncil.com/en/ (accessed on 20 November 2024).
- Migliavacca, G.; Carlini, C.; Domenighini, P.; Zagano, C. Hydrogen: Prospects and Criticalities for Future Development and Analysis of Present EU and National Regulation. Energies 2024, 17, 4827. [Google Scholar] [CrossRef]
- Chirosca, A.; Rusu, E.; Minzu, V. Green Hydrogen—Production and Storage Methods: Current Status and Future Directions. Energies 2024, 17, 5820. [Google Scholar] [CrossRef]
- Clarke, M.C. Can the Hydrogen Economy Concept Be the Solution to the Future Energy Crisis? Aust. J. Multi-Discip. Eng. 2022, 18, 70–84. [Google Scholar] [CrossRef]
- Molkov, V.; Kashkarov, S.; Sivaraman, S.; Makarov, D. Hazards and Associated Risks of Hydrogen Vehicles in Underground Traffic Infrastructure. Chem. Eng. Trans. 2023, 105, 43–48. [Google Scholar] [CrossRef]
- Cirrone, D.; Makarov, D.; Molkov, V. Rethinking “BLEVE Explosion” after Liquid Hydrogen Storage Tank Rupture in a Fire. Int. J. Hydrogen Energy 2023, 48, 8716–8730. [Google Scholar] [CrossRef]
- Makarov, D.; Shentsov, V.; Kuznetsov, M.; Molkov, V. Hydrogen Tank Rupture in Fire in the Open Atmosphere: Hazard Distance Defined by Fireball. Hydrogen 2021, 2, 134–146. [Google Scholar] [CrossRef]
- Molkov, V.V.; Cirrone, D.M.C.; Shentsov, V.V.; Dery, W.; Kim, W.; Makarov, D.V. Dynamics of Blast Wave and Fireball after Hydrogen Tank Rupture in a Fire in the Open Atmosphere. Int. J. Hydrogen Energy 2021, 46, 4644–4665. [Google Scholar] [CrossRef]
- Makaryan, I.A.; Sedov, I.V.; Salgansky, E.A.; Arutyunov, A.V.; Arutyunov, V.S. A Comprehensive Review on the Prospects of Using Hydrogen–Methane Blends: Challenges and Opportunities. Energies 2022, 15, 2265. [Google Scholar] [CrossRef]
- Hu, E.; Huang, Z.; He, J.; Jin, C.; Zheng, J. Experimental and Numerical Study on Laminar Burning Characteristics of Premixed Methane–Hydrogen–Air Flames. Int. J. Hydrogen Energy 2009, 34, 4876–4888. [Google Scholar] [CrossRef]
- Boushaki, T.; Dhué, Y.; Selle, L.; Ferret, B.; Poinsot, T. Effects of Hydrogen and Steam Addition on Laminar Burning Velocity of Methane–Air Premixed Flame: Experimental and Numerical Analysis. Int. J. Hydrogen Energy 2012, 37, 9412–9422. [Google Scholar] [CrossRef]
- Ji, C.; Wang, D.; Yang, J.; Wang, S. A Comprehensive Study of Light Hydrocarbon Mechanisms Performance in Predicting Methane/Hydrogen/Air Laminar Burning Velocities. Int. J. Hydrogen Energy 2017, 42, 17260–17274. [Google Scholar] [CrossRef]
- Kim, H.Y.; Kim, N. Il Optimized Global Reaction Mechanisms for H2, CO, CH4, and Their Mixtures. Int. J. Hydrogen Energy 2023, 48, 24101–24112. [Google Scholar] [CrossRef]
- Halter, F.; Chauveau, C.; Djebaïli-Chaumeix, N.; Gökalp, I. Characterization of the Effects of Pressure and Hydrogen Concentration on Laminar Burning Velocities of Methane–Hydrogen–Air Mixtures. Proc. Combust. Inst. 2005, 30, 201–208. [Google Scholar] [CrossRef]
- Shen, X.; Xiu, G.; Wu, S. Experimental Study on the Explosion Characteristics of Methane/Air Mixtures with Hydrogen Addition. Appl. Therm. Eng. 2017, 120, 741–747. [Google Scholar] [CrossRef]
- Nilsson, E.J.K.; van Sprang, A.; Larfeldt, J.; Konnov, A.A. The Comparative and Combined Effects of Hydrogen Addition on the Laminar Burning Velocities of Methane and Its Blends with Ethane and Propane. Fuel 2017, 189, 369–376. [Google Scholar] [CrossRef]
- Reyes, M.; Sastre, R.; Giménez, B.; Sesma, C. Experimental, Kinetic Modeling and Morphologic Study of the Premixed Combustion of Hydrogen/Methane Mixtures. Energies 2022, 15, 3722. [Google Scholar] [CrossRef]
- Wang, Y.; Movaghar, A.; Wang, Z.; Liu, Z.; Sun, W.; Egolfopoulos, F.N.; Chen, Z. Laminar Flame Speeds of Methane/Air Mixtures at Engine Conditions: Performance of Different Kinetic Models and Power-Law Correlations. Combust. Flame 2020, 218, 101–108. [Google Scholar] [CrossRef]
- Ren, F.; Chu, H.; Xiang, L.; Han, W.; Gu, M. Effect of Hydrogen Addition on the Laminar Premixed Combustion Characteristics the Main Components of Natural Gas. J. Energy Inst. 2019, 92, 1178–1190. [Google Scholar] [CrossRef]
- Ren, S.; Huang, J.; Ban, J.; Long, J.; Wang, X.; Liu, G. Research on the Dynamic Leaking and Diffusion Law of Hydrogen-Blended Natural Gas under the Soil–Atmosphere Coupled Model. Energies 2024, 17, 5035. [Google Scholar] [CrossRef]
- Ju, Y.; Maruta, K. Microscale Combustion: Technology Development and Fundamental Research. Prog. Energy Combust. Sci. 2011, 37, 669–715. [Google Scholar] [CrossRef]
- Hele-Shaw, H.S. The Flow of Water. Nature 1898, 58, 34–36. [Google Scholar] [CrossRef]
- Joulin, G.; Sivashinsky, G.I. Influence of Momentum and Heat Losses on the Large-Scale Stability of Quasi-2D Premixed Flames. Combust. Sci. Technol. 1994, 98, 11–23. [Google Scholar] [CrossRef]
- Sarraf, E.A.; Almarcha, C.; Quinard, J.; Radisson, B.; Denet, B. Quantitative Analysis of Flame Instabilities in a Hele-Shaw Burner. Flow Turbul. Combust. 2018, 101, 851–868. [Google Scholar] [CrossRef]
- Almarcha, C.; Radisson, B.; Al Sarraf, E.; Villermaux, E.; Denet, B.; Quinard, J. Interface Dynamics, Pole Trajectories, and Cell Size Statistics. Phys. Rev. E 2018, 98, 030202. [Google Scholar] [CrossRef]
- Alexeev, M.M.; Semenov, O.Y.; Yakush, S.E. Experimental Study on Cellular Premixed Propane Flames in a Narrow Gap between Parallel Plates. Combust. Sci. Technol. 2018, 191, 1256–1275. [Google Scholar] [CrossRef]
- Chang, J.; Zhu, W.; Kang, X. An Experimental Study on Premixed Methane–Air Flame Propagation with Intrinsic Instabilities in a Hele-Shaw Chamber at Various Inclined Angles. Combust. Sci. Technol. 2024, 1–23. [Google Scholar] [CrossRef]
- Wongwiwat, J.; Gross, J.; Ronney, P.D. Flame Propagation in Narrow Channels at Varying Lewis Number. In Proceedings of the 25th ICDERS, Leeds, UK, 2–7 August 2015; pp. 3–8. [Google Scholar]
- Kuznetsov, M.; Grune, J. Experiments on Combustion Regimes for Hydrogen/Air Mixtures in a Thin Layer Geometry. Int. J. Hydrogen Energy 2019, 44, 8727–8742. [Google Scholar] [CrossRef]
- Elyanov, A.; Golub, V.; Volodin, V. Premixed Hydrogen–Air Flame Front Dynamics in Channels with Central and Peripheral Ignition. Int. J. Hydrogen Energy 2022, 47, 22602–22615. [Google Scholar] [CrossRef]
- Veiga-López, F.; Kuznetsov, M.; Martínez-Ruiz, D.; Fernández-Tarrazo, E.; Grune, J.; Sánchez-Sanz, M. Unexpected Propagation of Ultra-Lean Hydrogen Flames in Narrow Gaps. Phys. Rev. Lett. 2020, 124, 174501. [Google Scholar] [CrossRef] [PubMed]
- Moskalev, P.V.; Denisenko, V.P.; Kirillov, I.A. Classification and Dynamics of Ultralean Hydrogen–Air Flames in Horizontal Cylindrical Hele–Shaw Cells. J. Exp. Theor. Phys. 2023, 137, 104–113. [Google Scholar] [CrossRef]
- Yakush, S.; Semenov, O.; Alexeev, M. Premixed Propane–Air Flame Propagation in a Narrow Channel with Obstacles. Energies 2023, 16, 1516. [Google Scholar] [CrossRef]
- Ugarte, O.J.; Bychkov, V.; Sadek, J.; Valiev, D.; Akkerman, V. Critical Role of Blockage Ratio for Flame Acceleration in Channels with Tightly Spaced Obstacles. Phys. Fluids 2016, 28, 093602. [Google Scholar] [CrossRef]
- Feng, X.; Huang, X. Influence of Variable Blocking Ratio on DDT Process. Energies 2022, 15, 7706. [Google Scholar] [CrossRef]
- OpenCV: Open Source Computer Vision Library. Available online: https://opencv.org (accessed on 26 November 2024).
- Nain, N.; Laxmi, V.; Bhadviya, B.; Gopal, A. Corner Detection Using Difference Chain Code as Curvature. In Proceedings of the 2007 Third International IEEE Conference on Signal-Image Technologies and Internet-Based System, Shanghai, China, 16–18 December 2007; pp. 821–825. [Google Scholar]
- Alexeev, M.M.; Semenov, O.Y.; Rashkovskiy, S.A.; Yakush, S.E. Stoichiometric Methane–Air Flame Propagation in a Diverging Hele-Shaw Channel. Combust. Sci. Technol. 2024, 1–28. [Google Scholar] [CrossRef]
Disclaimer/Publisher’s Note: The statements, opinions and data contained in all publications are solely those of the individual author(s) and contributor(s) and not of MDPI and/or the editor(s). MDPI and/or the editor(s) disclaim responsibility for any injury to people or property resulting from any ideas, methods, instructions or products referred to in the content. |
© 2025 by the authors. Licensee MDPI, Basel, Switzerland. This article is an open access article distributed under the terms and conditions of the Creative Commons Attribution (CC BY) license (https://creativecommons.org/licenses/by/4.0/).












