Abstract
This paper presents an evaluation and reduction of energy consumption during railway train movement on a straight track section with reduced freight wagon mass. A theoretical model was developed to simulate energy consumption based on input parameters, including train speed, track gradient, section length, travel time, and train mass. The results indicate that energy consumption increases by 18.9% as speed rises to 90 km/h and as gradients increase to 2.0‰, while energy consumption decreases by 14.5% on a descending gradient of 1.5‰, which corresponds to the expected dynamics of railway trains. These results are supported by experiments showing that the MAPE error does not exceed 1.9%, which can confirm the accuracy of the developed model. A comprehensive analysis of the potential reduction in energy consumption with reduced freight wagon mass was also conducted. Using a freight wagon design with a reduced mass of 2.3% allows for a reduction in energy consumption by 8–89 kW·h, depending on the length of the section and the speed of movement.
1. Introduction
The constantly increasing competition in the transportation market has long become an important component of the transport sector, influencing service quality [1,2], prices, innovations, and the overall development of the industry. The rapid growth of the transportation sector offers users worldwide more opportunities to choose optimal solutions in freight [3] and passenger transportation [1,4]. This leads to intensified competition in the transport services market, forcing companies to continuously improve their operations [2,5] and emphasize the advantages of each type of transport.
Rail transport, from its inception, has developed thanks to key advantages such as resistance to weather conditions, cost-effectiveness [6], large cargo capacity and efficiency [7], timely delivery [8], rapid development of transport networks, high level of safety, and protection of goods from theft [9], versatility in loading and unloading operations [9,10], and multimodality [11,12]. Additionally, rail transport demonstrates significant advantages when transporting oversized cargo and hazardous materials [12]. However, new priorities in the global economy [13,14], in particular the need to improve energy efficiency and environmental safety, pose new challenges for the railway sector.
Focusing on reducing specific aspects of energy consumption—such as rolling resistance, braking, and traction—when a railway train operates with loaded wagons can be crucial for enhancing the competitive advantages of rail transport. In this context, the development of both methods to improve the energy efficiency of railway rolling stock and modern methods for evaluating the energy consumption of a railway train while moving with loaded wagons on a straight section of track under different operating conditions becomes particularly relevant. This is evidenced by data from the International Energy Agency and the International Union of Railways [14].
2. Literature Review
Modern approaches to improving the energy efficiency of railway rolling stock focus on reducing electricity consumption [15,16], improving overall operational efficiency [17,18], and reducing environmental impact [19,20]. These strategies include various methods to achieve the stated goals, such as managing traction power and optimizing operational modes. An important aspect of reducing energy consumption is the optimal management of train movements. This study [15] explored the potential to reduce traction energy costs through modeling optimal train control modes. However, this research focused on subways, and adapting these approaches to freight rail transport is a complex task.
In work [21], mathematical models, methods of modeling and analysis, as well as energy management systems developed for railway energy systems in general, are discussed, but without focusing on rolling stock. As noted by the authors [22], one of the main causes of energy losses during train operation is the operator’s driving style and habits. Due to this, numerous studies have been dedicated to optimizing railway operations. The methods for reducing the energy consumption of electric locomotives described in the works [23,24,25,26,27,28,29,30,31,32,33,34] cover approaches such as regenerative braking and speed control. The methods used by the authors include optimization using ant colony algorithms [23,30], multi-criteria dynamic programming, where a heuristic algorithm is used to find optimal paths [24,27,31], the pseudospectral method [29,32], the particle swarm algorithm [25,33], as well as traction power control and dynamic programming [26,28]. The use of fuzzy logic-based methods is also known [24,34]. However, all these methods have limitations regarding their conditions of use and cannot be applied to other situations.
It should be noted that some methods can be adapted to freight rail transport to reduce overall energy consumption in combination with the implementation of new design solutions. For instance, reducing the weight of freight wagons can be crucial in lowering the energy costs of railway trains, especially when combined with optimal speed management and the use of regenerative braking.
Although the primary goal of developing and implementing automated control systems for electric locomotives was initially to reduce the impact of the human factor in railway transport, today, these tasks have expanded significantly. By interacting with infrastructure elements, these systems ensure timely responses to changes to maintain optimal speed and safety, as well as quickly adjust routes depending on the operating conditions. Thanks to the optimization of operational modes and train traffic management processes [35,36], they allow for precise schedule adherence, which contributes to increased transport efficiency and reduced electricity consumption. Additionally, they enhance safety by controlling the train’s speed and responding to hazardous situations in real time [37,38], thereby reducing the risk of accidents and incidents on the tracks.
Alongside the implementation of automated control systems, new opportunities are emerging to improve energy efficiency and safety and optimize operations in the railway industry through the use of Big Data and artificial intelligence technologies. By analyzing large volumes of data collected from sensors, monitoring systems, and other sources, it becomes possible to accurately predict energy consumption, improve maintenance management, reduce operational costs, minimize negative environmental impacts, and enhance safety levels. This also allows for more efficient route planning, the integration of rail transport with other modes of transportation, and the provision of personalized services to passengers, thereby increasing the industry’s competitiveness [39,40].
Undoubtedly, the discussed methods for evaluating railway train energy consumption during movement show significant potential for improving the energy efficiency of rail transport. However, their narrow specialization, particularly the dependence on specific operating conditions, type of rolling stock, or infrastructure, significantly limits the possibility of their wide application across the entire railway network. To achieve a large-scale reduction in energy consumption in railway transport, further adaptation of these methods to different types of transportation and working conditions is necessary, as well as integration with new design solutions for railway rolling stock.
A significant place in modern research dedicated to design solutions is occupied by the aerodynamic design of rolling stock. It plays a crucial role in reducing air resistance and, thus, in lowering energy consumption [41], especially at high speeds [42,43].
Another important area of research in the evaluation of railway train energy consumption during movement is the use of composite materials and lightweight alloys in rolling stock design. According to the authors [44,45], the use of composite materials is a promising direction that helps reduce the weight of freight wagons, increase energy efficiency, and improve operational performance. However, as noted in [46], despite the numerous advantages of using these materials to reduce the weight of rolling stock, full implementation of these materials in rail transport is still a long way off. In contrast, the use of lightweight alloys, particularly aluminum, contributes to reducing operating and maintenance costs, making them a promising choice for the railway industry in light of modern requirements for environmental sustainability and efficiency [47,48], though it significantly increases production costs.
In the search for energy-efficient solutions for railway transport, the authors of the works [49,50,51,52] do not take into account changes in the weight parameters of rolling stock. In contrast, in the works [53,54,55], weight optimization is a key aspect of reducing energy consumption in subways, quarry electric locomotives [56], and passenger transport [57,58].
Among the most common methods for evaluating energy consumption by rolling stock, a significant place is occupied by the use of various algorithms, such as the genetic algorithm (GA) [59], the particle swarm optimization algorithm (PSO), and their combined versions (GA-PSO) [60]. Most authors apply these approaches, which reduce train energy consumption in two directions: train speed control and schedule optimization. For instance, in the work [61], a comprehensive simulation model was developed using Numerical Simulations to determine optimal speed profiles. In the work [62], two Tabu Search algorithms were proposed for the energy-saving train problem, while [63] proposed an artificial neural network to address the energy-efficient driving problem with two objectives: minimizing energy consumption and passenger travel time. The energy-saving problem was formulated as a combinatorial optimization problem, which was then solved using ant colony optimization in [64].
Most of the considered methods, including genetic algorithms, particle swarm optimization, or Tabu search, focus on speed control and schedule optimization but do not sufficiently account for changes in weight parameters. The weight of a railway train significantly affects energy consumption, especially when moving under various loading conditions. The use of such algorithms requires adaptation to dynamic changes in the weight of the railway train, complicating their application for freight trains, where the mass can change significantly and irregularly. Additionally, the examples of applying genetic algorithms and neural networks are mainly used for passenger trains or subways, where weight parameters are stable. However, for freight trains, especially when the weight of the freight wagons changes, these methods require specific adaptation. In particular, when reducing the weight of a freight wagon, the algorithms must dynamically update their optimization targets, making the process highly complex.
In works where simulation models are used to optimize speed profiles, such as Numerical Simulations, the issue of validating these models in real conditions with different levels of loading remains. Simulation models do not always account for all external factors, such as weather conditions, track conditions, wear of train components, etc., which can significantly affect energy costs. Optimization methods, particularly genetic algorithms and Tabu search, are quite resource-intensive in terms of computational power. When evaluating the movement of a freight train with dynamically changing weight, calculations can take considerable time, limiting the possibility of using such algorithms for real-time and operational management.
The need to develop energy consumption models tailored to freight trains, factoring in fluctuating weights and real-time operational conditions, marks a critical research gap. Addressing these limitations will better position railway transport in an increasingly competitive and environmentally focused market.
For evaluating the energy consumption of a railway train moving with loaded wagons on a straight section of track, adapted mathematical models can be used, which need to be validated with experimental results. Engineering solutions aimed at reducing the weight of freight wagons can be employed to solve the problem of reducing energy consumption on railway networks.
This work aims to evaluate and reduce the energy consumption of railway train movement on a straight track section with reduced freight wagon mass.
To achieve this, the work provides a theoretical justification for evaluating the energy consumption of railway train movement on a straight track section; theoretical and experimental research results are presented. The results of reducing the energy consumption of railway train movement on a straight track section with decreased freight wagon mass are also provided.
3. Materials and Methods
3.1. Theoretical Background of the Railway Train Movement on a Straight Track Section
The theoretical background of the railway train movement on a straight track section is based on the physical laws of motion. The following expression can be written for the railway train movement:
where is the mass of the railway train, kg;
is the speed of the railway train, m/s;
is the time of railway train movement, s;
is the acceleration of the railway train, m/s2;
is a coefficient that takes into account the addition to the mass of the railway train due to the occurrence of inertia, which occurs due to the rotational movement of wheel pairs. This coefficient is in the numerical range from 1.00 to 1.15; i.e., it can increase the mass of the train due to the inertial forces of rotation of the wheel pairs.
is the traction force, the force of movement resistance, the force to overcome resistance to movement on an incline or braking force of a railway train, N.
The sum of the force, the force of movement resistance, and the braking force of the railway train can be represented as follows:
The traction force can be found by the expression:
where are the traction forces that arise from the accelerations of the translational and rotational motion of the railway train, N.
where is the acceleration of the railway train, m/s2;
are the moments of inertia of wheel pairs of freight wagons and engines of the railway train, respectively, kg·m2;
is the angular acceleration of the railway train, rad/s2;
is the radius of the wheelset wheel, m.
The moments of inertia can be found by the expressions:
where is the moment of inertia of one wheelset, kg·m2;
is the number of axles on the freight wagons;
is the moment of inertia of an engine, kg·m2;
is the number of engines on the railway train;
is the gear ratio of the gearbox.
The values of and are determined empirically in accordance with the reference literature, as well as in accordance with [61,62].
The force required to overcome the resistance to movement on an inclined plane 1000 m long can be determined by the expression:
where is the slope of the ascent or descent of the plane, ‰;
is the length of the section.
The resistance force to the movement of a railway train can be determined using the empirical formula [64,65,66]:
are experimental values of constants.
However, the values of the constants are different on the railways of each country.
In the works [65,66] different variations of expression (8) are considered, and a study is given for the following expression, which is used on Polish Railways:
where is the bearing type factor;
is the coefficient of frontal aerodynamic drag of the locomotive;
is the speed of a railway train, km/h;
is the coefficient that takes into account the conditions of train movement;
is the number of railway train axles;
is the factor of railway train type;
is the coefficient of aerodynamic drag of the train along its length;
is the number of freight wagons in the railway train.
The authors [66] claim that theoretical calculations in accordance with expression (9) and in comparison with experimental studies have an error of 2.36%. Therefore, expression (9) was adopted as the main one for modeling the resistance force to the railway train’s movement. However, a friction coefficient was added to expression (9). As a result, expression (9) in this work has the following form:
where is the speed of a railway train, m/s;
is the coefficient of friction for each axle of the railway train.
The friction coefficient for each axle of a railway train is introduced for logical reasons, since expression (9) takes into account the number of axles of the train and does not take into account the adhesion and slippage of the wheel pair relative to the rails.
All components of the forces of Equation (2) have been determined. Next, we will evaluate the energy consumption of a railway train on a straight-track section.
The total energy consumption for the movement of a railway train on a straight track section—including all forces required for acceleration, overcoming movement resistance, overcoming resistance on climbs, and braking on descents—can be calculated using the following expression:
The energy required to accelerate the railway train can be determined by the following expression:
or
where is the railway train’s movement on a certain section, m;
is the time interval of the railway train movement, s.
The energy required to overcome the resistance to the railway train’s movement can be determined by the following expression:
or
or
where is the length of the section to overcome the resistance to railway train movement, m;
is the railway train’s movement time on the section, s;
are the coefficients of acceleration and deceleration of the train movement, respectively, (m/s)/s.
The energy required overcoming resistance on ascents and braking on descents to the railway train’s movement can be determined by the following expression:
or
or
where is the length of the section overcoming resistance on ascents and braking on descents to the railway train’s movement, m.
3.2. Energy Consumption of Railway Train Movement Depending on the Mass of Freight Wagon
Energy consumption of railway train movement can be set by the following functional:
where is the length of the section;
is the interval of railway train movement on the section.
The gross mass of a railway train is determined by the formula:
where is the mass of the locomotive;
is the mass of the i-th freight wagon;
is the mass of the i-th cargo;
is the number of freight wagons.
Since the emphasis is on the mass of the freight wagon, then the functional (20) will take the form:
for which it is necessary to determine the functions at which the minimum energy consumption of railway train movement is achieved:
where is the class of distribution functions of the step type;
is a set of step-type distribution functions.
If we assume that the energy consumption of railway train movement proceeds according to a distributed law , and assume that there are functions of the numerator and denominator of the functional , as well as their extremes, then the minimum of the functional (23) can be achieved for any fixed , therefore:
The extremum of the functional is reached on the step functions:
where are the calculated values of the functions of the step functions;
, are the boundaries of the functions of the step functions.
A decrease in traction energy consumption (see Formulas (22) and (24)) occurs as the mass of the freight wagon decreases. Accordingly, the mass of the cargo and the number of freight wagons in the railway train remain unchanged.
The design of the wagon must be evaluated to reduce the mass of the freight wagon, and solutions to this issue should be proposed. Each element of the freight wagon is assessed using step functions, with the primary component selected based on its potential for mass reduction. This primary component undergoes optimization through methods such as reducing thickness and altering shape, leading to an overall reduction in wagon mass.
In [67], a freight wagon design with a reduced mass of over 2.3% has been proposed. The general appearance of this freight wagon is shown in Figure 1.
Figure 1.
General view of the freight wagon with reduced mass.
This freight wagon will be used for the study on reduction of energy consumption of railway train movement on a straight track section.
4. Results and Discussion
4.1. Results of Modeling the Evaluation of Energy Consumption of Railway Train Movement on a Straight Track Section
According to expressions (11)–(19), the energy consumption required for the railway train movement was modeled for different conditions. The railway train consisted of 40 loaded freight wagons of model 12-757 EI-2 (Kremenchuk, Ukraine). The mass of one loaded freight wagon is 90 tons. The number of axles of the freight wagon is 4. The mass of the electric locomotive was 192 tons; the number of axles was 12. The speed of the freight railway train was modeled in the range of 10–25 m/s (36–90 km/h). The length of the section was 1000–6000 m (1–6 km). The value of the ascent was taken equal to 0, 1.0, 1.5, 2.0‰; the value of the descent: −1.0, −1.5‰.
The following values of the coefficients are adopted in this work to perform calculations according to the expression (10): = 0.65; = 1.5; = 0.8; = 150; = 0.005; = 0.0625.
A program was written in Python 3.11.6 to perform the simulation of the evaluation of the energy consumption of railway train movement on a straight track section using expressions (11)–(19).
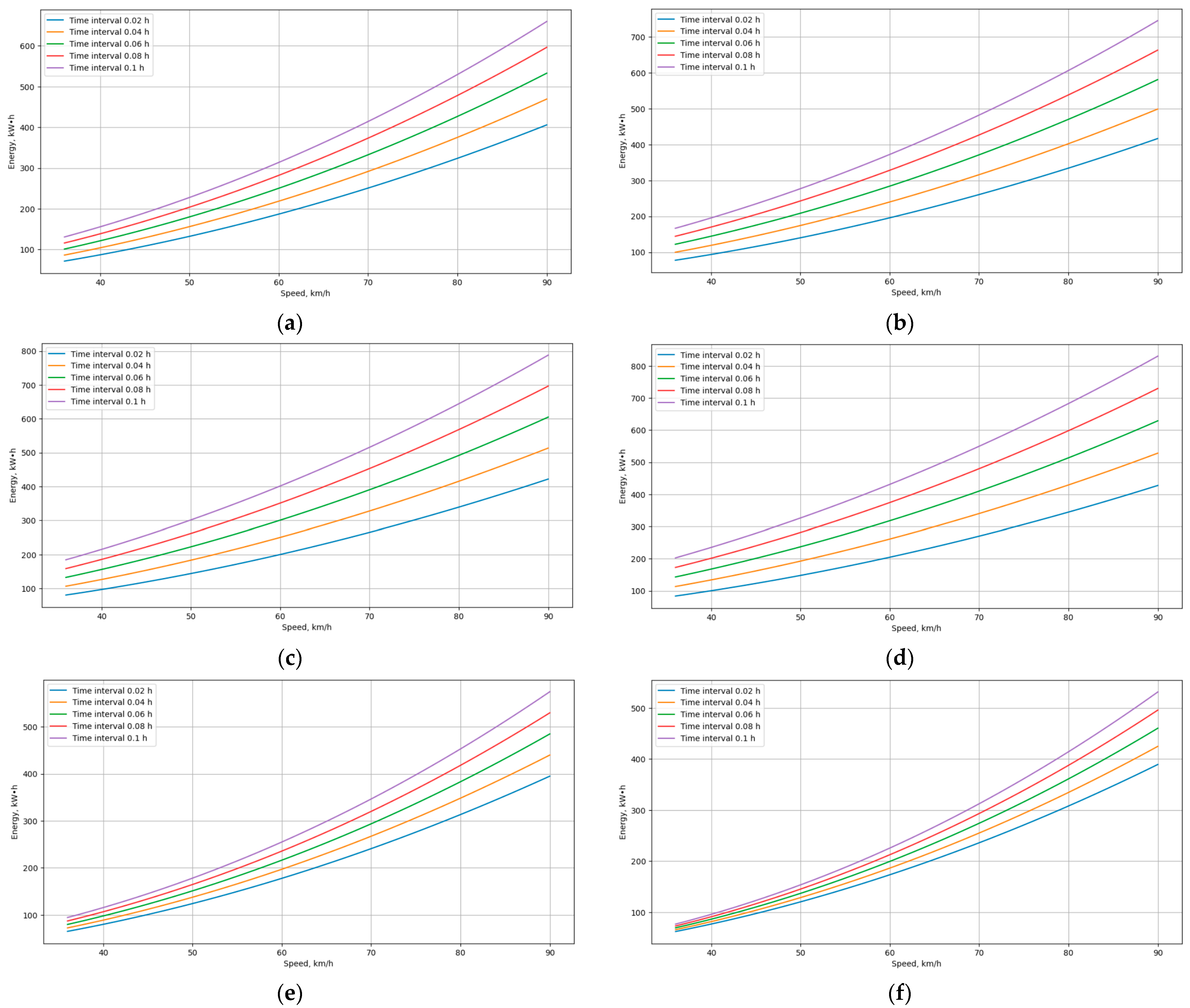
The results of modeling the evaluation of energy consumption of railway train movement on a straight track section depending on the speed are shown in Figure 2.
Figure 2.
Results of modeling the evaluation of energy consumption of railway train movement on a straight track section depending on the speed: (a) = 0‰; (b) = 1‰; (c) = 1.5‰; (d) = 2.0‰; (e) = −1‰; (f) = −1.5‰.
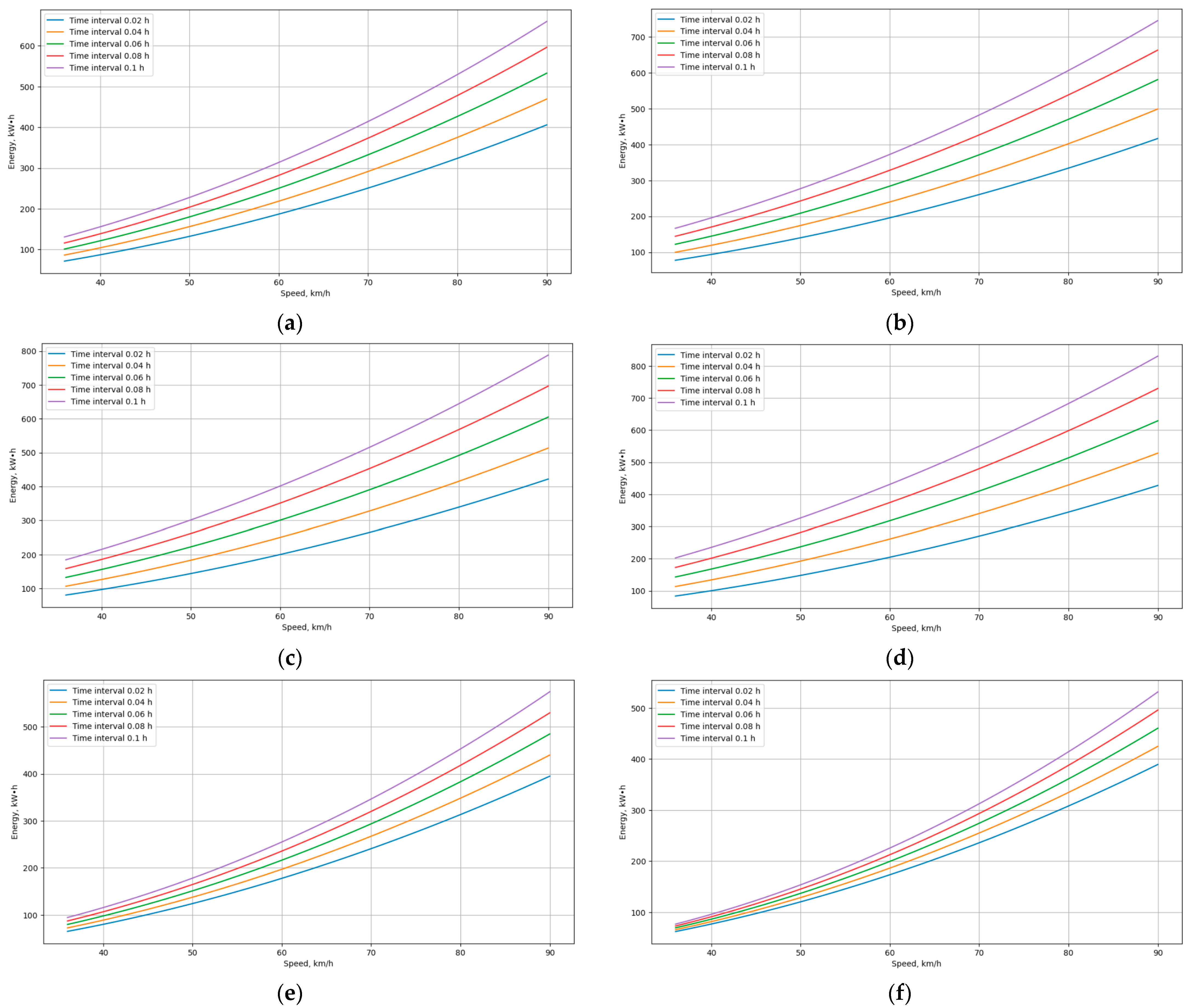
Figure 3 shows the results of modeling the evaluation of energy consumption of railway train movement on a straight track section depending on the speed (10–25 m/s (36–90 km/h)) for different time intervals: 72–360 s (0.02–0.1 h).
Figure 3.
Results of modeling the evaluation of energy consumption of railway train movement on a straight track section depending on the speed for different travel times: (a) = 0‰; (b) = 1‰; (c) = 1.5‰; (d) = 2.0‰; (e) = −1‰; (f) = −1.5‰.
The results shown in Figure 2 and Figure 3 indicate that energy consumption for railway train movement on a straight track section increases with both higher speeds and steeper ascent angles. Conversely, energy consumption decreases on descents, likely due to reduced energy demands for maintaining train movement.
At speeds between 36 and 90 km/h on straight track sections ( = 0‰), energy consumption rises with increasing speed up to 90 km/h. For instance, an increase in speed from 36 to 60 km/h results in a 30–40% rise in energy consumption, while further acceleration to 90 km/h may lead to a 50–70% increase.
In the track sections with an ascent ( = 1.0, 1.5, 2.0‰), energy consumption is notably higher. For a 1.0‰ ascent, energy consumption can increase by 15–25% at 36 km/h and by up to 35–50% at 90 km/h. On a 1.5‰ slope, energy consumption increases by 40–60% at lower speeds and by 70–90% at higher speeds. For a 2.0‰ slope, energy consumption can rise by 60–100% across the entire speed range.
In the descent sections, energy consumption is significantly lower. For = −1.0‰ slope, energy consumption may decrease by 20–30% compared to a straight section, while = −1.5‰ slope can result in a reduction of 35–50%.
4.2. Experimental Results and Validation of the Energy Consumption of Railway Train Movement on a Straight Track Section Modeling
Experimental studies of the energy consumption of railway train movement on a straight track section were conducted for a freight railway train consisting of 40 loaded freight wagons of model 12-757 EI-2 and the electric locomotive. The length of the railway train sections was 4.38–4.99 km. One section, 4.99 km long, had neither ascents nor descents, i.e., = 0‰. The second section, 4.85 km long, was characterized by an ascent, i.e., = 1.5‰. The third section of the railway train’s movement, 4.38 km long, was characterized by a descent, i.e., i = −1.0‰.
The experimental data of the energy consumption of railway train movement on a straight track section were obtained under identical environmental conditions. The temperature was 18–20 °C; the air humidity was in the range of 16–19%. As a result of experimental studies, oscillograms of energy consumption for the movement of a railway train on a straight track section were recorded based on the locomotive’s energy consumption system.
Oscillograms of energy consumption for the movement of a railway train on a straight track section are shown in Figure 4.
Figure 4.
Oscillograms of energy consumption for the movement of a railway train on a straight track section: (a) = 0‰; (b) = 1.5‰; (c) = −1.0‰.
To validate the theoretical and experimental studies on the energy consumption of a railway train in motion, we will compare the data obtained through modeling with the results from experimental studies.
On a straight section of the railway train’s route ( = 0‰) and 40 km/h speed, the energy consumption during modeling is 150.23 kW·h (the length of the section is 4 km). At a speed of 80 km/h, the energy consumption during modeling is 396.17 kW·h (the length of the section is 4 km).
Experimental results of studies on a straight section of the route ( = 0‰) and a railway train speed of 40 km/h show the energy consumption is 148.5 kW·h. At a speed of 80 km/h, the energy consumption of the railway train is 389.0 kW·h (the length of the section is 4 km).
The experimental results confirm the theoretical model. The MAPE error between the experimental and theoretical results of the railway train’s energy consumption on a straight section of the movement is less than 1.8%.
The MAPE error between the theoretical and experimental results for the energy consumption of a railway train when moving on a section of track with an incline ( = 1.5‰) is 1.2–1.9%. This deviation value confirms the adequacy of the proposed mathematical model for determining the energy consumption of a railway train when moving.
Experimental results confirm the reduction of railway train energy consumption when moving on a section of the track with a slope ( = −1.0‰), although the MAPE error with theoretical data can reach 1.3–1.9%, which is acceptable within the limits of the modeling error.
Experimental data generally confirm the theoretical results of modeling railway train energy consumption on various sections. The MAPE error between theoretical and experimental results is within 1.2–1.9%, which indicates acceptable accuracy of the theoretical model.
The consistency of theoretical and experimental results was also calculated using the Pearson Criterion:
where are observed (experimental) values;
are theoretical values.
As a result of the calculations, the following values were determined for the Pearson Criterion:
The obtained values for the Pearson Criterion confirm the consistency of the theoretical and experimental results. The difference between the theoretical and experimental results can be considered insignificant.
4.3. Results of Energy Consumption Reduction Modeling of Railway Train Movement on a Straight Track Section with Decreased Freight Wagon Mass
The conditions for simulating the energy consumption of railway train movement on a straight track section with reduced freight wagon mass are the same as in Section 4.1. The only variable is the train’s mass, as each loaded freight wagon weighs 87.950 tons. However, here we analyze the relationship between reduced energy consumption and decreased freight wagon mass for the train’s movement on a straight track. This reduction in energy consumption is calculated based on the difference in energy consumption values.
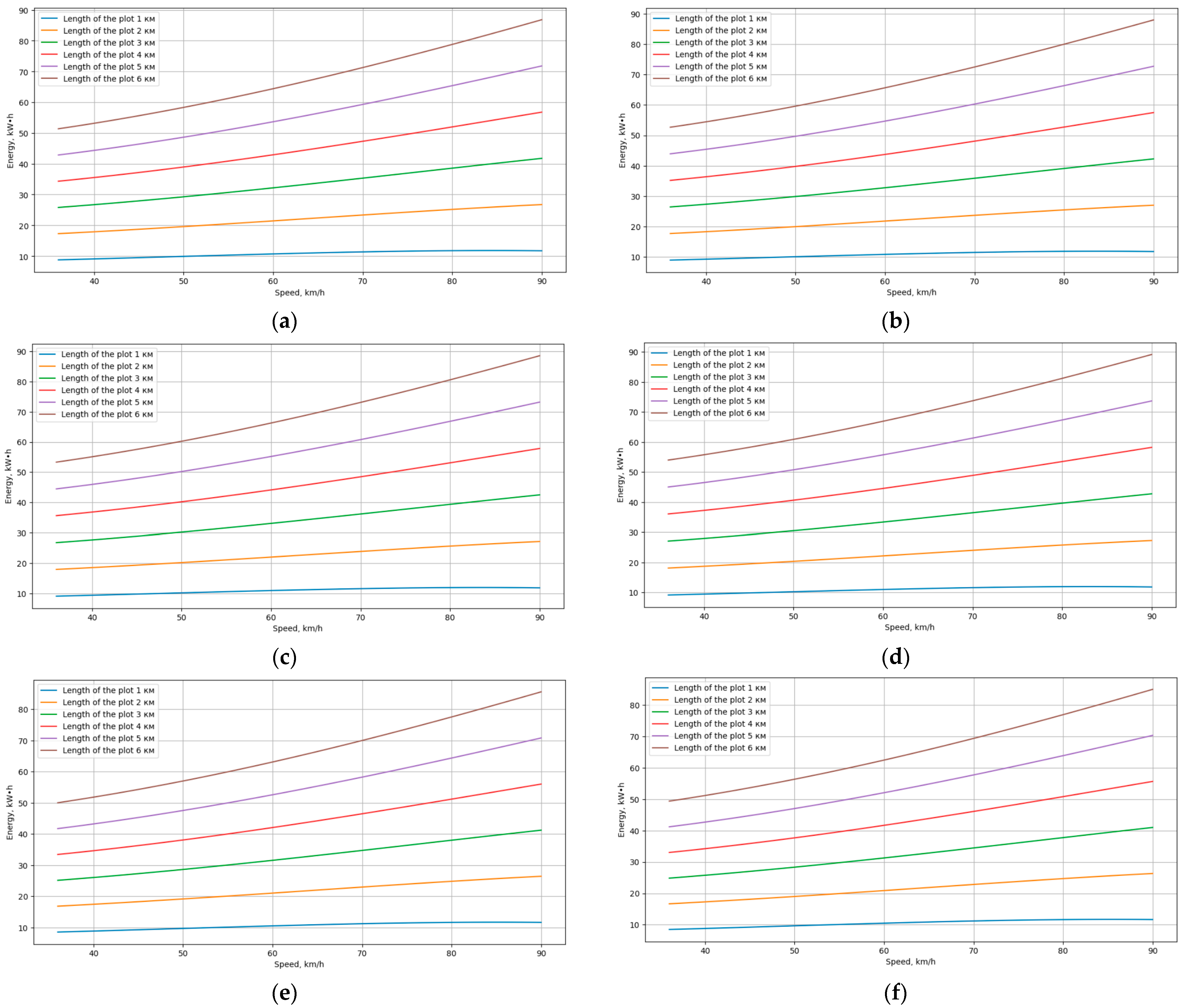
The results of energy consumption reduction modeling of railway train movement on a straight track section with decreased freight wagon mass are given in Figure 5.
Figure 5.
Results of energy consumption reduction modeling of railway train movement on a straight track section with decreased freight wagon mass: (a) = 0‰; (b) = 1‰; (c) = 1.5‰; (d) = 2.0‰; (e) = −1‰; (f) = −1.5‰.
The results of energy consumption reduction modeling of railway train movement on a straight track section with decreased freight wagon mass (Figure 5) show that by reducing the freight wagon mass by 2.3%, it is possible to reduce energy consumption by 8–89 kW·h depending on the length of the section and the speed of movement.
5. Conclusions
This paper presents a study of evaluating and reducing the energy consumption of railway train movement on a straight track section by 8–89 kW·h with reduced freight wagon mass by 2.3% for train speed 36–90 km/h, track gradient −1.5 to 2.0‰, section length 1.0–6.0 km, travel time 0.02–0.10 h. In this case, the energy consumption required for the railway train movement was modeled for different conditions. The railway train consisted of 40 loaded freight wagons of model 12-757 EI-2. The mass of one loaded freight wagon is 90 tons. The number of axles of the freight wagon is 4. The mass of the electric locomotive was 192 tons; the number of axles was 12. The speed of the freight railway train was modeled in the range of 10–25 m/s (36–90 km/h). The length of the section was 1000–6000 m (1–6 km). The value of the ascent was taken equal to 0, 1.0, 1.5, and 2.0‰; the value of the descent: −1.0, −1.5‰.
A theoretical model for the energy consumption of railway train movement on a straight track section has been developed. This model takes into account various forces, including traction force, resistance to movement, aerodynamic drag, forces required to overcome gradients, and braking forces. It is designed to evaluate energy consumption under varying speeds, gradients, section lengths, and travel times. Results show that energy consumption increases with higher speeds and steeper gradients while it decreases on descending sections. These findings align with general expectations of railway train dynamics and are now quantitatively supported by the model and validated through real experiments. However, the proposed theoretical model of railway train energy consumption of railway train movement on a straight track section did not take into account the influence of aerodynamic drag, which appears at higher train speeds.
The experimental studies confirmed the model’s predictions with a margin of the MAPE error between 1.2% and 1.9%, depending on the section and railway train speed. For instance, at a speed of 60 km/h, the energy consumption of railway train movement on a straight section was nearly identical between the modeled and experimental results. Even on inclined and descending sections, the differences between theoretical and experimental data remained small, further supporting the accuracy of the proposed model.
Experimental studies reinforced the model’s predictions, confirming that lightweight freight wagons are a viable solution for reducing energy consumption. The Pearson Criterion further verified the alignment of theoretical and experimental results, indicating the model’s reliability for diverse operational conditions. The findings underscore the feasibility of introducing lightweight wagon designs across existing railway networks with minimal disruption.
This research provides a comprehensive analysis of the potential to reduce energy consumption in freight railway train movement through decreased freight wagon mass. Using the freight wagon design with a 2.3% mass reduction allows energy consumption to be reduced by 8–89 kW·h, depending on the length of the section and the speed of movement.
This study demonstrates the effectiveness of reducing the mass of the freight wagon as a simple yet effective way to save energy in freight transportation.
The presented results of the study indicate an improvement in the environmental and economic performance of railway transport. Reducing energy consumption and introducing lightweight designs of freight wagons help reduce greenhouse gas emissions. This is consistent with global sustainable development goals and increases the competitiveness of railway transport in the market while reducing freight transportation costs.
The following recommendations can be made for railway transport:
- –
- The introduction of lightweight freight wagon designs can provide energy savings of 2–3% with minimal structural changes. In this case, the infrastructure should be prepared for the introduction of lightweight freight wagon designs;
- –
- By optimizing the speed values on the corresponding slopes, energy consumption can be reduced by up to 5%. To do this, it is necessary to optimize the speed values for the corresponding track profiles.
Future research will involve conducting experimental studies for different train speeds and on different track profiles and subsequent verification with the theoretical model. In addition, it is possible to modify the theoretical model to improve its accuracy.
Funding
This research received no external funding.
Data Availability Statement
Data is contained within the article.
Conflicts of Interest
The author declares no conflicts of interest.
References
- Lingaitis, L.P.; Mjamlin, S.; Baranovsky, D.; Jastremskas, V. Experimental Investigations on Operational Reliability of Diesel Locomotyves Engines. Eksploat. Niezawodn.—Maint. Reliab. 2012, 14, 6–11. [Google Scholar]
- Lingaitis, L.P.; Mjamlin, S.; Baranovsky, D.; Jastremskas, V. Prediction methodology of durability of locomotives diesel engines. Eksploat. Niezawodn.—Maint. Reliab. 2012, 14, 154–159. [Google Scholar]
- Baranovskyi, D.; Myamlin, S.; Podosonov, D.; Muradian, L. Determination of the filler concentration of the composite material to reduce the wear of the central bowl of the rail truck bolster. Ain Shams Eng. J. 2023, 12, 102232. [Google Scholar] [CrossRef]
- Baranovskyi, D.; Myamlin, S.; Kebal, I. Increasing the Carrying Capacity of the Solid-Body Rail Freight Car. Adv. Sci. Technol. Res. J. 2022, 16, 219–225. [Google Scholar] [CrossRef] [PubMed]
- Baranovskyi, D.; Myamlin, S. The criterion of development of processes of the self organization of subsystems of the second level in tribosystems of diesel engine. Sci. Rep. 2023, 13, 5736. [Google Scholar] [CrossRef] [PubMed]
- Jalolova, M.; Amirov, L.; Askarova, M.; Zakhidov, G. Territorial features of railway transport control mechanisms. Transp. Res. Procedia 2022, 63, 2645–2652. [Google Scholar] [CrossRef]
- Zhou, H.; Qi, J.; Yang, L.; Shi, J.; Pan, H.; Gao, Y. Joint optimization of train timetabling and rolling stock circulation planning: A novel flexible train composition mode. Transp. Res. Part B Methodol. 2022, 162, 352–385. [Google Scholar] [CrossRef]
- Szaciłło, L.; Jacyna, M.; Szczepański, E.; Izdebski, M. Risk assessment for rail freight transport operations. Maint. Reliab. 2021, 23, 476–488. [Google Scholar] [CrossRef]
- Yang, Y.; Sun, S.; He, S.; Jiang, Y.; Wang, X.; Yin, H.; Zhu, J. Research on the Multi-Equipment Cooperative Scheduling Method of Sea-Rail Automated Container Terminals under the Loading and Unloading Mode. J. Mar. Sci. Eng. 2023, 11, 1975. [Google Scholar] [CrossRef]
- Nandan, S.; Trivedi, R.; Kant, S.; Ahmad, J.; Maniraj, M. Design, analysis and prototype development of railway wagons on different loading conditions. Int. J. Eng. Appl. Sci. Technol. 2020, 4, 122–129. [Google Scholar]
- Zhang, H.; Li, Y.; Zhang, Q.; Chen, D. Route Selection of Multimodal Transport Based on China Railway Transportation. J. Adv. Transp. 2021, 1, 9984659. [Google Scholar] [CrossRef]
- Batarlienė, N. Improving safety of transportation of dangerous goods by railway transport. Infrastructures 2020, 5, 54. [Google Scholar] [CrossRef]
- Remyha, Y.; Zaiarniuk, O.; Lozova, T.; Trushkina, N.; Yakushev, O.; Korovin, Y. Energy-saving technologies for sustainable development of the maritime transport logistics market. IOP Conf. Ser. Earth Environ. Sci. 2023, 1126, 012037. [Google Scholar] [CrossRef]
- The Future of Rail. The International Energy Agency. Available online: https://www.uic.org/sustainability/energy-efficiency-and-co2-emissions/article/uic-iea (accessed on 31 October 2024).
- Su, S.; Tang, T.; Wang, Y. Evaluation of Strategies to Reducing Traction Energy Consumption of Metro Systems Using an Optimal Train Control Simulation Model. Energies 2016, 9, 105. [Google Scholar] [CrossRef]
- Nold, M.; Corman, F. Increasing realism in modeling energy losses in railway vehicles and their impact to energy-efficient train control. Railw. Eng. Sci. 2024, 32, 257–285. [Google Scholar] [CrossRef]
- Zhu, C.; Lu, J.; Li, X. Review of Studies on Energy-Efficient Train Operation in High-Speed Railways. IEEJ Trans. Electr. Electron. Eng. 2023, 18, 451–462. [Google Scholar] [CrossRef]
- Li, G.; Or, S.W.; Chan, K.W. Intelligent energy-efficient train trajectory optimization approach based on supervised reinforcement learning for urban rail transits. IEEE Access 2023, 11, 31508–31521. [Google Scholar] [CrossRef]
- He, D.; Zhang, L.; Guo, S.; Chen, Y.; Shan, S.; Jian, H. Energy-efficient train trajectory optimization based on improved differential evolution algorithm and multi-particle model. J. Clean. Prod. 2021, 304, 127163. [Google Scholar] [CrossRef]
- Rocha, A.; Araújo, A.; Carvalho, A.; Sepulveda, J. A New Approach for Real Time Train Energy Efficiency Optimization. Energies 2018, 11, 2660. [Google Scholar] [CrossRef]
- Arboleya, P.; Mayet, C.; Mohamed, B.; Aguado, J.A.; de la Torre, S. A review of railway feeding infrastructures: Mathematical models for planning and operation. eTransportation 2020, 5, 100063. [Google Scholar] [CrossRef]
- Fischer, S.; Szürke, S.K. Detection process of energy loss in electric railway vehicles. Facta Univ. Ser. Mech. Eng. 2023, 21, 081–099. [Google Scholar] [CrossRef]
- Naldini, F.; Pellegrini, P.; Rodriguez, J. Real-Time Optimization of Energy Consumption in Railway Networks. Transp. Res. Procedia 2022, 62, 35–42. [Google Scholar] [CrossRef]
- Vladov, S.; Scislo, L.; Sokurenko, V.; Muzychuk, O.; Vysotska, V.; Osadchy, S.; Sachenko, A. Neural Network Signal Integration from Thermogas-Dynamic Parameter Sensors for Helicopters Turboshaft Engines at Flight Operation Conditions. Sensors 2024, 24, 4246. [Google Scholar] [CrossRef] [PubMed]
- Vladov, S.; Shmelov, Y.; Yakovliev, R. Modified Searchless Method for Identification of Helicopters Turboshaft Engines at Flight Modes Using Neural Networks. IEEE 3rd KhPI Week Adv. Technol. 2022, 3, 257–262. [Google Scholar] [CrossRef]
- Chmielowiec, A.; Litwin, P. Efficient Inverted Index Compression Algorithm Characterized by Faster Decompression Compared with the Golomb-Rice Algorithm. Entropy 2021, 23, 296. [Google Scholar] [CrossRef] [PubMed]
- Chmielowiec, A. Algorithm for error-free determination of the variance of all contiguous subsequences and fixed-length contiguous subsequences for a sequence of industrial measurement data. Comput. Stat. 2021, 36, 2813–2840. [Google Scholar] [CrossRef]
- Vladov, S.; Yakovliev, R.; Vysotska, V.; Nazarkevych, M.; Lytvyn, V. The Method of Restoring Lost Information from Sensors Based on Auto-Associative Neural Networks. Appl. Syst. Innov. 2024, 7, 53. [Google Scholar] [CrossRef]
- Vladov, S.; Vysotska, V.; Sokurenko, V.; Muzychuk, O.; Nazarkevych, M.; Lytvyn, V. Neural Network System for Predicting Anomalous Data in Applied Sensor Systems. Appl. Syst. Innov. 2024, 7, 88. [Google Scholar] [CrossRef]
- Xing, Z.; Zhang, Z.; Guo, J.; Qin, Y.; Jia, L. Rail train operation energy-saving optimization based on improved brute-force search. Appl. Energy 2023, 330, 120345. [Google Scholar] [CrossRef]
- Aredah, A.; Fadhloun, K.; Rakha, H.A. Energy optimization in freight train operations: Algorithmic development and testing. Appl. Energy 2024, 364, 123111. [Google Scholar] [CrossRef]
- Wang, P.; Goverde, R.M.P. Multi-train trajectory optimization for energy-efficient timetabling. Eur. J. Oper. Res. 2019, 272, 621–635. [Google Scholar] [CrossRef]
- Zhou, W.; Huang, Y.; Deng, L.; Qin, J. Collaborative optimization of energy-efficient train schedule and train circulation plan for urban rail. Energy 2023, 263, 125599. [Google Scholar] [CrossRef]
- Pu, Q.; Zhu, X.; Liu, J.; Cai, D.; Fu, G.; Wei, D.; Sun, J.; Zhang, R. Integrated optimal design of speed profile and Fuzzy PID controller for train with multifactor consideration. IEEE Access 2020, 8, 152146–152160. [Google Scholar] [CrossRef]
- Wang, D.; Wu, J.; Wei, Y.; Chang, X.; Yin, H. Energy-saving operation in urban rail transit: A deep reinforcement learning approach with speed optimization. Travel Behav. Soc. 2024, 36, 100796. [Google Scholar] [CrossRef]
- Zhang, Q.; Wang, H.; Zhang, Y.; Chai, M. An adaptive safety control approach for virtual coupling system with model parametric uncertainties. Transp. Res. Part C Emerg. Technol. 2023, 154, 104235. [Google Scholar] [CrossRef]
- Kochan, A.; Daszczuk, W.B.; Grabski, W.; Karolak, J. Formal Verification of the European Train Control System (ETCS) for Better Energy Efficiency Using a Timed and Asynchronous Model. Energies 2023, 16, 3602. [Google Scholar] [CrossRef]
- Amendola, A.; Barbareschi, M.; De Simone, S.; Mezzina, G.; Moriconi, A.; Saragaglia, C.L.; De Venuto, D. A real-time vital control module to increase capabilities of railway control systems in highly automated train operations. Real-Time Syst. 2023, 59, 636–661. [Google Scholar] [CrossRef]
- Gaibnazarova, Z. Artificial Intelligence and Smart Railway Transport as a Tool to Accelerate the Transformation Process in Uzbekistan. In Digital Transformation: What Are the Smart Cities Today? Springer Nature: Cham, Switzerland, 2024; pp. 261–274. [Google Scholar] [CrossRef]
- Kljaić, Z.; Pavković, D.; Cipek, M.; Trstenjak, M.; Mlinarić, T.J.; Nikšić, M. An Overview of Current Challenges and Emerging Technologies to Facilitate Increased Energy Efficiency, Safety, and Sustainability of Railway Transport. Future Internet 2023, 15, 347. [Google Scholar] [CrossRef]
- Zhang, S. Analysis of the principle and applications of aerodynamics in high-speed railway. Highlights Sci. Eng. Technol. 2023, 72, 318–325. [Google Scholar] [CrossRef]
- Kaya, A.F.; Pedrazzi, S.; Muscio, A. Numerical Modeling and Simulation of a Small-Scale Locomotive Powered by Solid Oxide Fuel Cells. J. Phys. Conf. Ser. 2023, 2648, 012055. [Google Scholar] [CrossRef]
- Cui, H.; Chen, G.; Guan, Y.; Deng, W. Study on Aerodynamic Drag Reduction at Tail of 400 km/h EMU with Air Suction-Blowing Combination. Machines 2023, 11, 222. [Google Scholar] [CrossRef]
- Jagadeesh, P.; Puttegowda, M.; Oladijo, O.P.; Lai, C.W.; Gorbatyuk, S.; Matykiewicz, D.; Rangappa, M.; Siengchin, S. A comprehensive review on polymer composites in railway applications. Polym. Compos. 2022, 43, 1238–1251. [Google Scholar] [CrossRef]
- Reddy, B.S.; Ramamurth, P.C. Analysis of in-service composite insulators used in overhead railway traction. Eng. Fail. Anal. 2020, 108, 104227. [Google Scholar] [CrossRef]
- Saeedi, A.; Motavalli, M.; Shahverdi, M. Recent advancements in the applications of fiber-reinforced polymer structures in railway industry—A review. Polym. Compos. 2024, 45, 77–97. [Google Scholar] [CrossRef]
- Sun, X.; Han, X.; Dong, C.; Li, X. Applications of aluminum alloys in rail transportation. Adv. Alum. Compos. Alloys 2021, 9, 251–268. [Google Scholar]
- Tan, D.; Xia, S.; Yob, A.; Yang, K.; Yan, S.; Givord, M.; Liang, D. Evaluation of the wear resistance of aluminium-based hybrid composite brake discs under relevant city rail environments. Mater. Des. 2022, 215, 110504. [Google Scholar] [CrossRef]
- Kapetanović, M.; Núñez, A.; van Oort, N.; Goverde, R.M. Reducing fuel consumption and related emissions through optimal sizing of energy storage systems for diesel-electric trains. Appl. Energy 2021, 294, 117018. [Google Scholar] [CrossRef]
- Cipek, M.; Pavković, D.; Krznar, M.; Kljaić, Z.; Mlinarić, T.J. Comparative analysis of conventional diesel-electric and hypothetical battery-electric heavy haul locomotive operation in terms of fuel savings and emissions reduction potentials. Energy 2021, 232, 121097. [Google Scholar] [CrossRef]
- Zhang, D.; Tang, Y.-Y.; Peng, Q.-Y. A novel approach for decreasing driving energy consumption during coasting and cruise for the railway vehicle. Energy 2023, 263, 125615. [Google Scholar] [CrossRef]
- Fan, C.; Li, H.; Zhang, Z.; Pan, Y.; Wu, X.; Ahmed, A. An H-shaped coupler energy harvester for application in heavy railways. Energy 2023, 270, 126854. [Google Scholar] [CrossRef]
- Shang, F.; Zhan, J.; Chen, Y. Energy-Saving Train Regulation for Metro Lines Using Distributed Model Predictive Control. Energies 2020, 13, 5483. [Google Scholar] [CrossRef]
- Pan, D.; Zhao, L.; Luo, Q.; Zhang, C.; Chen, Z. Study on the performance improvement of urban rail transit system. Energy 2018, 161, 1154–1171. [Google Scholar] [CrossRef]
- Wang, X.; Xiao, Z.; Chen, M.; Sun, P.; Wang, Q.; Feng, X. Energy-Efficient Speed Profile Optimization and Sliding Mode Speed Tracking for Metros. Energies 2020, 13, 6093. [Google Scholar] [CrossRef]
- Goolak, S.; Kondratieva, L.; Riabov, I.; Lukoševičius, V.; Keršys, A.; Makaras, R. Research and Optimization of Hybrid On-Board Energy Storage System of an Electric Locomotive for Quarry Rail Transport. Energies 2023, 16, 3293. [Google Scholar] [CrossRef]
- Haanstra, W.; Martinetti, A.; Braaksma, J.; van Dongen, L. Design of a Framework for Integrating Environmentally Sustainable Design Principles and Requirements in Train Modernization Projects. Sustainability 2020, 12, 6075. [Google Scholar] [CrossRef]
- Jiang, B.; Tian, C.; Deng, J.; Zhu, Z. China’s railway train speed, density and weight in developing. Railw. Sci. 2022, 1, 131–147. [Google Scholar] [CrossRef]
- He, D.; Yang, Y.; Chen, Y.; Deng, J.; Shan, S.; Liu, J.; Li, X. An integrated optimization model of metro energy consumption based on regenerative energy and passenger transfer. Appl. Energy 2020, 264, 14770. [Google Scholar] [CrossRef]
- Pan, Z.; Chen, M.; Lu, S.; Tian, Z.; Liu, Y. Integrated timetable optimization for minimum total energy consumption of an AC railway system. IEEE Trans. Veh. Technol. 2020, 69, 3641–3653. [Google Scholar] [CrossRef]
- Domínguez, M.; Fernández, A.; Cucala, A.P.; Lukaszewicz, P. Optimal design of metro automatic train operation speed profiles for reducing energy consumption. Proc. Inst. Mech. Eng. Part F J. Rail Rapid Transit 2011, 225, 463–474. [Google Scholar] [CrossRef]
- Liu, S.; Cao, F.; Xun, J.; Wang, Y. Energy-efficient operation of single train based on the control strategy of ATO. In Proceedings of the IEEE 18th International Conference on Intelligent Transportation Systems, Las Palmas de Gran Canaria, Spain, 15–18 September 2015. [Google Scholar] [CrossRef]
- Chuang, H.J.; Chen, C.S.; Lin, C.H.; Hsieh, C.H.; Ho, C.Y. Design of optimal coasting speed for saving social cost in mass rapid transit systems. In Proceedings of the IEEE Third International Conference on Electric Utility Deregulation and Restructuring and Power Technologies, Nanjing, China, 6–9 April 2008. [Google Scholar]
- Ke, B.-R.; Lin, C.-L.; Yang, C.-C. Optimisation of train energy-efficient operation for mass rapid transit systems. IET Intell. Transp. Syst. 2012, 6, 58. [Google Scholar] [CrossRef]
- Haładyn, S. The Problem of Train Scheduling in the Context of the Load on the Power Supply Infrastructure. A Case Study. Energies 2021, 14, 4781. [Google Scholar] [CrossRef]
- Sawczuk, W.; Kołodziejski, S.; Rilo Cañás, A.M. Determination of the resistance to motion of a cargo train when driving without a drive. Combust. Engines 2024, 197, 64–70. [Google Scholar] [CrossRef]
- Bulakh, M.; Klich, L.; Baranovska, O.; Baida, A.; Myamlin, S. Reducing Traction Energy Consumption with a Decrease in the Weight of an All-Metal Gondola Car. Energies 2023, 16, 6733. [Google Scholar] [CrossRef]
Disclaimer/Publisher’s Note: The statements, opinions and data contained in all publications are solely those of the individual author(s) and contributor(s) and not of MDPI and/or the editor(s). MDPI and/or the editor(s) disclaim responsibility for any injury to people or property resulting from any ideas, methods, instructions or products referred to in the content. |
© 2025 by the author. Licensee MDPI, Basel, Switzerland. This article is an open access article distributed under the terms and conditions of the Creative Commons Attribution (CC BY) license (https://creativecommons.org/licenses/by/4.0/).




