Next Article in Journal
Techno-Economic Analysis of Renewable Energy, Storage, and Electric Vehicles for Sustainable Development
Previous Article in Journal
Analyses of PO-Based Fuzzy Logic-Controlled MPPT and Incremental Conductance MPPT Algorithms in PV Systems
Previous Article in Special Issue
Using Urban Building Energy Models for the Development of Sustainable Island Energy Systems
 
 
Font Type:
Arial Georgia Verdana
Font Size:
Aa Aa Aa
Line Spacing:
Column Width:
Background:
Article

Alternatives for Decarbonising High-Temperature Heating Facilities in Residential Buildings

European Commission, Joint Research Centre (JRC), Petten, The Netherlands
*
Authors to whom correspondence should be addressed.
Energies 2025, 18(2), 235; https://doi.org/10.3390/en18020235
Submission received: 14 November 2024 / Revised: 16 December 2024 / Accepted: 2 January 2025 / Published: 7 January 2025
(This article belongs to the Collection Feature Paper Collection: Energy and Buildings)

Abstract

The European Union aims to become carbon-neutral by 2050 and to reduce CO2 emissions by at least 55% by 2030 compared to 1990 levels. The buildings sector accounts for about 40% of its total energy consumption and is responsible for 36% of the total CO2 emissions. For this reason, decarbonising the heat consumed in buildings is key to meeting these targets. CO2 emission reduction in buildings typically involves upgrading heating facilities to enable heat supply at lower temperatures, or renovating buildings, both of which can be challenging for end users. This paper analyses reducing emissions from residential buildings using high-temperature or hybrid heat pumps that can produce water at the same temperature as condensing boilers. This enables a significant reduction in emissions from buildings for owners who cannot afford or do not want to undertake a full renovation or upgrade of their current hydronic facility. The methodology followed makes use of a simplified hourly energy model based on ISO 52016-1:2017. The results indicate that, depending on the EU region, reducing CO2 emissions in buildings through these types of systems is feasible, leading to CO2 emission reductions of 40% to 70%.

1. Introduction

Buildings account for 40% of the EU’s energy consumption and are responsible for 36% of its greenhouse gas (GHG) emissions [1]. For this reason, CO2 emission reduction in buildings will play a key role in meeting the European Green Deal targets, including carbon neutrality in 2050. An essential element of building decarbonisation lies in the energy carriers selected to provide the energy needed. In terms of heating, the majority of new space heating installations in residential buildings are still gas and oil boilers in the EU. In most Member States (MSs) of the EU, electric heat pumps would be a significantly cleaner heat source than gas or oil boilers in terms of CO2 emissions. For this reason, electrifying the heating demand can be considered a pathway to decarbonising fuel-based heating systems in buildings.
Taking into account policy aspects, the European Commission launched the REPowerEU Plan [2] in 2022, which aims to make the EU independent of Russian fossil fuels before 2030. In addition, the Energy Performance of Buildings Directive [3] (EPBD) is designed to decarbonise the building stock through the use of efficient systems and renewable energies. Furthermore, the Renewable Energy Directive [4] (RED) incentivises the decarbonisation of the energy system, including the building stock. For instance, the RED targets a contribution of at least 42.5% of renewable energy by 2030. Lastly, the Energy Efficiency Directive [5] (EED) aims to reduce the EU’s energy consumption and increase energy efficiency levels.
Using more efficient systems which incorporate renewable energy could be an ideal solution to reach all the targets. According to [6], energy taken from heat sources by heat pumps can be considered renewable under certain conditions. These systems can extract more heat from their heat source than electricity consumed, so they can be considered energy-efficient systems using renewable energy sources such as ambient energy. However, installing heat pumps in existing buildings with fossil-based heating facilities already installed is not always straightforward for different reasons, such as the level of temperature they provide for heating.
Gas boilers produce heat at much higher temperatures than heat pumps. For example, non-condensing boilers work with water supply temperatures of 80–70 °C. In condensing boilers, this temperature could be around 65 °C. Conventional heat pumps produce water at 45 °C or 50 °C on average. The heat is delivered at lower temperatures with heat pumps, which can be a challenge for existing buildings with poor thermal insulation. In existing buildings, hydronic facilities are sized to work at the temperatures of the installed high-temperature heating system, for example a gas or oil boiler. The pipe diameters are chosen according to the transportation of water at good levels of speed, and radiators are sized to exchange sufficient amounts of heat from the heat generator (80–65 °C) to the room (19–21 °C). If the water supply temperature is lower, then more water flow and a larger radiator surface are needed to exchange the same amount of heat. This means that if a heat pump replaces a fossil fuel-based boiler, the hydronic installation would not work properly unless it was originally oversized. Several studies suggest that some hydronic facilities are oversized due to a lack of information or the use of conservative calculation margins [7,8,9]. Furthermore, indoor units connected to a hydronic facility like embedder pipes can facilitate the integration of heat pumps in buildings. The review performed by [10] shows a comprehensive overview of heating and cooling systems that make use of this type of indoor units.
Building renovations can facilitate the installation of conventional heat pumps. They reduce the heating demand of the building, allowing the hydronic facility to work at lower temperatures than the design temperatures if the heating demand decreases sufficiently [11,12]. Furthermore, they allow for better indoor conditions and increase the final user’s quality of life. This type of energy efficiency measure is not taken into account in this study, as we only apply energy efficiency measures focused on heating systems.
In our previous study [11], we analysed how to decarbonise buildings using regular air/water heat pumps and what should be taken into account when lowering the water supply temperature in heating systems. But what are the options if there is no oversized heating facility and the building cannot be renovated?
This paper aims to answer these questions. We introduce heat pump systems that work at the same temperature level as condensing boilers. Hence, there are no requirements for upgrading the hydronic facility or renovating the building. These systems are high-temperature heat pumps and hybrid heat pumps.
High-temperature heat pumps use the same technology as conventional heat pumps but can deliver water at higher temperatures, albeit with lower efficiency. In a previous study [13], the authors concluded that these systems can reduce CO2 emissions by 30–90% in multifamily buildings in five different ASHRAE (American Society of Heating, Refrigerating and A-C Engineers) climate zones. The high temperatures can be achieved by using, for example, two refrigerant loops that work at different pressure levels. A low-pressure circuit delivers heat to the high-pressure one, achieving a higher final condensing temperature in the system. This can be achieved by using, for example, a loop with R410a (low pressure) and another with R134a (high pressure).
Hybrid heat pumps work at the same temperature level as regular air/water heat pumps, but when the hydronic facility demand exceeds a certain water temperature, the back-up system boosts the heat pump so it can meet it. This back-up system could be, for example, a condensing boiler. According to some studies, these types of systems can reduce CO2 emissions by, on average, 74% relative to conventional oil-fired boilers [14].

2. Methodology

This section outlines how we evaluated the buildings included in the study. It provides an overview of how we calculated the energy balance of the buildings and estimated the CO2 and cost impact of every fossil-free solution.
First, we present the databases used for weather and building geometries. Then, we introduce our calculation and how we model the buildings and obtain a heating demand. Then, we calculate the energy use of the buildings taking into account the different heating systems proposed. Once we know the energy use of the buildings, we can estimate the CO2 emissions and running costs of every heating solution proposed. Figure 1 summarises this methodology.

2.1. Buildings and Climate

We selected different building typologies from EU Member States. The building typologies come from the TABULA WebTool [15], which contains typical residential buildings’ typologies across the EU.
Once the buildings were selected, the climate conditions were obtained from the PVGIS database [16]. The climate conditions represent a typical meteorological year (tmy). It is a fictitious year that represents the most common climate conditions of one specific location.
It was assumed that all the buildings selected initially used a condensing boiler as a heating system. We then compared the CO2 emissions, costs, or energy use if a high-temperature or hybrid heat pump were installed.
The buildings selected for the study are single-family houses (SFHs) built in the 1970s. They are located in Germany, the Netherlands, Sweden, Spain, and Poland. As described in the previous chapter, we are not considering renovations of the selected buildings. Table 1 shows the building geometry characteristics. As we can see in the data collected, all the houses have between 100 and 170 m2 of heating floor area. On the other hand, depending on the MS, the U-values of the building envelope vary quite significantly.

2.2. Heating Demand Estimation

We analysed the heating demand of the buildings selected by calculating energy balances, taking into account losses and gains. The model used to develop the energy balances of the buildings is a simplified hourly energy model based on ISO 52016-1:2017 [17], which provides the heating demand with an hourly resolution. The losses considered were conduction through the building envelope, ventilation, and radiation. Conduction losses are the ones that appear when the interior of the building is at a different temperature than the exterior, losing heat through the building envelope. Ventilation takes into account the ventilation rate of the building. The new air entering the building needs to be heated to the indoor level. Finally, radiation losses consider the losses that the building envelope has due to the effect of being at a different temperature than the sky.
ϕ l o s s e s = ϕ c o n d + ϕ v e n t + ϕ r a d
ϕ l o s s e s = A i · U i · b i · T b T e x t + n a i r · V · C p · T b T e x t + F s k y · h r e · T s k y
where ϕ l o s s e s are the total losses of the building in kWh; ϕ c o n d , ϕ v e n t , and ϕ r a d are conduction, ventilation, and radiation losses in kWh. A i is the area of the building envelope element i in m2, U i is the U-value of the building envelope element i in W/m2·K, and b i is the factor soil of the building envelope element i, without units. T b and T e x t are the interior temperature of the building and the exterior temperature, respectively, both in °C. n a i r is the renovation rate of air in the building in 1/h. V and C p are the volume of air conditioned and the air-specific heat coefficient in m3 and W/m3·K, respectively. F s k y is the sky factor; the value is 1 for the horizontal envelope and 0.5 for the vertical envelope. h r e is the radiative heat transfer coefficient in W/K and T s k y is the difference in temperature between the building envelope and the sky. As suggested by ISO 52016-2017, 11 K is used.
In the energy balance, as mentioned before, we also include the heat gains of the building. We consider as gains the solar gains through the building envelope (transparent and opaque elements) and the interior gains, which come from occupation, lighting, and building appliances. Equations (3)–(5) represent these heat gains:
ϕ g a i n s = ϕ s o l a r + ϕ i n t
ϕ s o l a r = F s h · 1 F F · F W · g g l , n · A w , j · I j + F o b · α o p · R s e · U i , j · A i , j · I j
ϕ i n t = φ i n t · A c
where ϕ g a i n s is the total gains, ϕ s o l a r is the solar gains (opaque and transparent elements), and ϕ i n t is the interior gains in the building, all of them in kWh. F s h is the factor of external shading, F F is the fraction of the frame in the window, F W is a reduction factor which takes into account the effect of perpendicular radiation on the glazing, and g g l , n is the total solar energy transmittance, or the more commonly named “solar factor”, of the glass. All these factors are unitless. A w , j is the area of windows with orientation j in m2. F o b is the form factor between the buildings and the sky, and α o p is the absorption coefficient of the opaque envelope, which assumed to equal 0.6 as it represents the average colours of buildings. R s e is the external thermal surface resistance, which assumed to be 0.04 m2·K/W according to ISO 6946 [18]. U i is the is the U-value of the building envelope element i in W/m2·K with orientation j. A i , j is the area of the opaque element i with orientation j in m2. I j is the average global irradiation on surfaces with orientation j in W/m2. φ i n t represents the internal heat gain due to occupation and internal appliances in W/m2. Finally, A c is the heated floor area of the building.
Finally, the building inertia is taken into account in the calculation. The building inertia represents how much energy is needed to increase or decrease the temperature of the building. Equation (6) represents how it is considered in the model.
Q h e a t i n g = ϕ l o s s e s ϕ g a i n s + C b · d T b d t
where Q h e a t i n g is the energy to be provided by the heating system to maintain the interior conditions selected. In the calculation, we consider that the building should be at 20 °C during all the heating season. C b is the effective heating capacity of the building in kWh/K, which means how much energy is needed to increase the temperature of the building in 1 °C. The value per m2 selected is the one used in the TABULA database, which is 45 Wh/(m2·K). This value is multiplied by the conditioned area of the building ( A c ) to obtain the effective heating capacity of the building.
Applying Equations (1)–(6) allows us to estimate the hourly heating demand needed in that specific hour to maintain the indoor conditions (Tb). We make this calculation in all the hours of the heating season. The yearly heating demand is calculated by summing all the hourly results and applying an utilization factor of the heating facility based on TABULA methodology [15]. We apply this factor because the results obtained by applying the methodology explained above are considered theoretical. The final use of the heating facility depends on the final user behavior, which can differ from the theoretical assumption considered.
The theoretical heating demand is adapted using an utilization factor Uf [-], which is obtained based on the energy use of the building. This factor is calculated according to Equation (7):
U f = 1.07262 0.0013 · ϕ u s e
where ϕ u s e is the yearly energy used in the building in kWh/m2. Figure 2 shows the order of magnitude of the Uf. Finally, the real heating demand is calculated by multiplying this factor by the theoretical heating demand calculated in Equation (6). Equation (8) shows this approach:
Q h e a t i n g ,   r e a l = U f · Q h e a t i n g
where Q h e a t i n g is the yearly heating demand calculated in Equation (6).

2.3. Definition of the Heating Systems

The heating systems considered in this paper are modelled using their performance curves, which could depend on one or two variables. When the equation includes one variable, we consider the performance curve a polynomial. If it includes two variables, the curves are considered biquadratic.
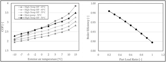
The heat pump efficiency, in this case for air/water heat pumps, was modelled with two different equations that represent their efficiency: Capacity and Coefficient of Performance (COP) as functions of the exterior air temperature and water supply temperature (Equations (9) and (10)). The efficiency of the boiler depends on the water supply temperature and the part load ratio (PLR) conditions (part load conditions refer to conditions in which the heating system is providing less heat than its nominal capacity). Assuming a constant water supply temperature from the boiler, its efficiency would only depend on its PLR conditions (Equation (11)). PLR is a coefficient calculated by dividing the heat provided by the maximum heat the boiler can provide in those conditions.
C A P f T e x t = a + b · T w a t e r + c · T w a t e r 2 + d · T a i r + e · T a i r 2 + f · T w a t e r · T a i r
C O P f T e x t = a + b · T w a t e r + c · T w a t e r 2 + d · T a i r + e · T a i r 2 + f · T w a t e r · T a i r
E f f f P L R = a + b · P L R + c · P L R 2
where a, b, c, d, e and f are coefficients obtained from applying linear regression to manufacturers’ data. T w a t e r represents the water supply temperature and T a i r the exterior air temperature in °C.
We calculate the maximum capacity of the heat pump in each condition taking into account Equation (9). The result of Equation (9) is a coefficient of around 1, and it multiplies the nominal capacity of the air/water heat pump. The nominal capacity of an air/water heat pump is obtained when the heat pump supplies water at 35 °C and the heat source, which is air in this case, is at 7 °C [19]. Since the actual working conditions can vary significantly, calculating the real capacity for more accuracy is advisable.
For both types of technologies, it is assumed that if the heating demand is lower than 10–15% of the nominal capacity, the heating system cannot deliver heat at that moment as there is a limit on the minimum heating demand it can provide.
Figure 3 shows the performance curves of the heating systems studied. This figure enables the comparison of the efficiencies of the different heat pumps considered for the study. It shows how the efficiency can vary from less than 2.5 to more than 3 in most exterior conditions. It can be noted that, at the same temperature level, a standard heat pump can have higher COPs in warmer conditions than a high-temperature heat pump. This is due to the configurations of the internal elements of the heat pump such as the compressor types used, the refrigerant, and how many refrigerant loops are included. At lower temperatures, this COP is better for high-temperature heat pumps. This is partly because they are designed to work when the temperatures of the heat sources and the temperature of the water supply have a greater difference.
When we model a hybrid heat pump, we must consider the performance curves and the control strategies. We modelled the hybrid heat pump based on three states: state 1 is when the heat pump cannot work, and only the boiler can provide the heating demand. This state occurs when the exterior temperature is lower than the minimum exterior temperature at which the heat pump can work. If we want the heat pump to work as much as possible without using gas, this temperature should be around the minimum temperature at which the heat pump (Toff) can operate, which usually could be −10 °C or −20 °C. In this study, we assume that only the boiler works if the exterior temperature is below −10 °C, only the boiler will work; the working system state is 1. In state 2, the heat pump and the gas boiler work together. In this state, the exterior temperature is higher than Toff but the radiators need a higher temperature than the heat pump can deliver. The maximum water temperature that we consider the heat pump to be able to deliver is 50 °C, so if the radiators demand 60 °C, the boiler should complement the heat pump; the working state is 2. In state 3, the heat pump provides all heating, and the boiler is not working. In state 3, the exterior temperature is above −10 °C and the required radiator temperature is below 50 °C. Figure 4 summarises this control.

2.4. Hydronic Facility

We assume that the current hydronic facility was designed to provide the maximum heating demand at the temperature level of a condensing boiler. The working temperatures of the boiler are 65–55 °C, so the hydronic facility has a ∆Tnom of 10 °C in the coldest winter conditions, and it supplies the water to the radiators at 65 °C.
We assume that the boiler works with a constant water flow and always produces the water at 65 °C. This means the facility will work with a lower ∆T when the heating demand is lower than the maximum heating demand expected. In order to work out the new ∆T, we use Equation (12), assuming a constant mass flow and equations from EN 442 standard [20].
Q ˙ = m ˙ · C p · T
Q ˙ = K m · T r a d T r o o m n
T r a d = T s u p + T r e t 2
where Q ˙ is the heat delivered in kWh, m ˙ is the water flow in kg/s, K m and n are unitless factors that depend on the radiator, T s u p is the water supply temperature in °C, T r e t is the return water temperature in °C, and T r a d is the average temperature of the radiator. Assuming that the water flow is constant and the properties of the radiators do not change ( m ˙ = c t e ,   K m = c t e   &   n = c t e ) , we realise that the T and the T s u p depend on the heating demand. Equations (15) and (16) show how to calculate the T and the water supply temperature in different conditions than the nominal conditions:
T = Q ˙ Q ˙ n o m · T n o m
T s u p = T 2 + T r o o m + T s u p , n o m T n o m 2 T r o o m Q ˙ n o m Q ˙ n
This enables an estimation of the heat supplied by a heat pump if installed in a hydronic facility meant to work at higher temperatures. A regular air/water heat pump, as mentioned above, can deliver water at 45 °C or 50 °C at a wide range of exterior temperatures. In this study, the capacity of the heat pump is calculated using the exterior conditions that allow delivering heat at 50 °C in a hydronic facility designed to work at 65 °C. First, we assume the ∆T that allows it to operate at 50 °C, which will be lower than the nominal. With this ∆T, we can estimate the capacity ( Q ˙ ) of the hydronic facility (Equation (12)). Knowing the new ∆T and Q ˙ , we go to Equation (16) and verify the supply temperature that allows exchanging the same amount of heat. If we want to supply the heating demand at 50 °C with the same hydronic facility, the capacity will be 60% of the nominal capacity at 65 °C with ∆T of 10 °C. For instance, if the hydronic facility has been calculated to provide 20 kW, supplying the water at 65 °C with a ∆T of 10 °C, and we want to install a heat pump, which can only supply heat up to 50 °C, the capacity of the heat pump would be 12 kW. For heating demands higher than 12 kW, a water supply temperature higher than 50 °C is required; a boiler must supply the difference.

3. Results

In this section, we present the results of applying the methodology described above. First, we show an overview of the heating demand of all the houses selected and then the CO2 emission results of applying different heating systems. This provides an understanding of the heating supply required by the buildings. Then, we show the results of energy use in the buildings selected by applying the heating systems explained above. Finally, we compare the CO2 emissions obtained with the proposed systems and the impact on the annual running costs.

3.1. Heating Demand Results

The heating demand of the different houses was obtained by applying the energy balance described in Section 2. The houses selected have similar characteristics concerning the annual heating demand: they are higher than 150 kWh/m2. We assume the hydronic facility is not oversized if the heating demand exceeds that value. As the heating systems proposed in this study work at the same level of temperatures as a condensing boiler, the hydronic facility is not considered an obstacle to the decarbonisation of the buildings selected. Figure 5 shows the heating demand for the different houses.
The results in Figure 5 show that the heating demand in the selected buildings is between 160 and more than 200 kWh/m2 a year. The heating demand depends not only on the exterior conditions but also on the level of insulation of the building. The buildings from Spain and Sweden have similar heating demands even though the Swedish climate is much colder. On the other hand, the building from Sweden has a higher-quality envelope characteristic than the rest of the buildings.
The current heating system installed in the five houses is a condensing gas boiler with a capacity of 20 kW. The new heating systems were calculated using a percentile of 1% of exterior temperatures, meaning that the possibility of facing lower temperatures is 1%. Once the capacity in these conditions is calculated, it is corrected to nominal conditions by using Equation (9). This step is carried out because an air/water heat pump of 10 kW cannot provide 10 kW at, for example, −5 °C. The nominal capacity of 10 kW can be provided at an air temperature of 7 °C and at a supply water temperature of 35 °C, not in other conditions. Table 2 shows the results of the capacities of the heating systems selected.

3.2. Energy Use Results

The energy used to supply the heating demand varies depending on the heating system selected. We performed the calculations for the five different buildings, applying a hybrid heat pump and a high-temperature heat pump to substitute the current gas condensing boiler of the houses. In this way, we can compare the initial gas consumption with the electricity consumption of the high-temperature heat pump, or with the gas and electricity consumption of the hybrid heat pump. Results are shown in Figure 6.
Applying the methodology of the hybrid heat pump explained in Section 2, we conclude that for the five houses, around 30% of the heating demand is supplied by the back-up system; see Figure 7.
We observe a higher contribution of the condensing boiler in the Netherlands and in Sweden. The condensing boiler only works if the exterior temperature is lower than −10 °C or if the hydronic facility needs more than 50 °C. The building envelope for the building located in the Netherlands has very low quality compared with the other buildings, and often, the hydronic facility connected to the radiators needs more than 50 °C. In Sweden, the exterior temperatures can be very low in winter, so the heat pump will be switched off for security reasons. Spain has the lowest boiler contribution, as the building has average U-values compared with the other buildings, and the climate is mild, which gives more opportunities to operate the heat pump.
Regarding use of the high-temperature heat pump, we only compare the electricity consumption of the heat pump with the gas consumption of the boiler. We see that in all the scenarios, the final energy consumption (FEC) is reduced by more than 60%. In terms of efficiency, this is positive, as we need much less energy to supply the same amount of heating. Figure 8 shows the results of FEC when a high-temperature heat pump is the heat generator.
However, even if we consume much less gas or if we consume electricity instead, the FEC reduction does not show how much we have decarbonised the building. We have to measure the decarbonisation of a building with the CO2 emissions of the heating systems proposed. Once the FEC of the heating systems is known, we apply conversion factors of CO2 to estimate how much CO2 is emitted to cover the heating demand of the building. For gas, we assume 202 g/kWh. The factor for electricity varies per Member State. Table 3 shows the factors used.
Table 3 shows the CO2 emissions produced on average for generating 1 kWh of electricity in each Member State. For example, Sweden has a high contribution of renewables and nuclear energy for electricity production, which means that the electricity grid is almost CO2-free, as these technologies do not emit CO2 to produce electricity. Poland, on the other hand, uses 70% solid fossil fuels to produce electricity.

3.3. CO2 Emission Results

The decarbonisation of the buildings selected was carried out using different approaches depending on the building. As seen in Figure 9, the electrification of and reduction in gas consumption lead to lower CO2 emissions in almost all the buildings.
For instance, Germany and the Netherlands have very close CO2 emissions results when comparing hybrid and high-temperature heat pumps, which represent around 40% and 60% CO2 emission reductions, respectively. The difference is more pronounced in Spain (50% reduction with a hybrid heat pump and 70% with a high-temperature heat pump) and much more so in Sweden, where the electrification of the heating generation produces a solution that is close to carbon-neutrality. In Poland, the electrification of heating with a hybrid heat pump results in increased CO2 emissions due to its large share of electricity produced from coal.
The decarbonisation results strongly depend on how much the electricity generation is decarbonised. For this reason, in Member States like Spain or Sweden with low CO2 emission factors, if we electrify 100% of the heat using a high-temperature heat pump, the CO2 emissions are lower than if we use a hybrid heat pump. Moreover, when the CO2 emissions are at intermediate levels, as in Germany and the Netherlands, high-temperature heat pumps and hybrid heat pumps have similar amounts of CO2 emissions (with the former being slightly lower). As mentioned above, Poland has a high CO2 emission factor, which negatively impacts the electrification of the heating demand in buildings. For this specific case of Poland, we added a comparison with a coal boiler, due to the large share of this type of heating technology in Polish residential buildings [22]. The CO2 emission factor assumed for coal is 354 g/kWh. We considered the same performance curve for the boiler but changed the energy carrier. So, the energy use is the same, but now, the energy carrier of the boiler is coal and not natural gas for this specific case. We can see in Figure 9 that even if the electrification of heating through heat pumps in Poland is not a decarbonisation option, it is still better than providing heating with coal boilers.
In terms of costs, the approach is different. In Table 4, we show the price of the energy carriers taken into account in the analysis. The prices come from VaasaETT [23], which provides monthly energy price information from the capital cities of EU Member States. The prices are the average from January 2022 to August 2023.
We applied these prices to the energy use of the different heating solutions (reference and two alternative systems). Figure 10 shows the energy consumption costs of the current condensing gas boiler installed and the two high-temperature heating systems proposed. The approach has a different tendency depending on the Member State analysed.
In Member States like Germany and Spain, even though the electricity consumption from the heat pump is much lower than the gas consumed by the gas boiler, the yearly energy costs are quite similar. This is because the difference in price between gas and electricity, with gas price being the lowest, is higher than the improvement in the efficiency of the system by using a heat pump. In countries like the Netherlands and Sweden, the situation is very different, as the consumption of electricity by a heat pump, hybrid or high-temperature, leads to cost savings of around 60–75% at the end of the year. However, in the case of Poland, the electrification of heating offers no economic benefit based on data used in this study and in the current context, as the yearly energy costs will increase.

4. Discussion

The results show that decarbonising the current building stock is possible through high-temperature heating systems like hybrid or high-temperature heat pumps.
The level of decarbonisation depends on how clean the electricity generation in each Member State is. Electricity has a higher CO2 emission factor than gas in most Member States, but when we electrify the heating using heat pumps, we consume much less electricity than gas. This overcomes the effect of higher CO2 emission factors with electricity. Despite that, as observed in Section 3 in the case of Poland, the electrification of the heat increases CO2 emissions in countries with large shares of coal in power production. Hence, a threshold level can guide us in determining if it is possible to decarbonise buildings using high-temperature heat pumps.
According to the results, changing from a condensing gas boiler to a high-temperature heat pump reduces the FEC by around 2/3 in all the cases studied. As all these cases are from different climate regions in the EU, this approach can be extrapolated to all Member States. Figure 11 shows the relation between the electricity consumption of a high-temperature heat pump and the fuel consumption of a condensing boiler when they supply the same heating demand per country.
The average reduction in FEC in the buildings selected is 0.317. Considering this and knowing that the CO2 emission factor of gas for all the Member States is 202 gr/kWh, we can estimate when electricity is cleaner than gas in terms of CO2 emissions. Equation (17) shows how to obtain it:
C O 2 f a c t o r g a s = R e l E n e r g y U s e · C O 2 f a c t o r e l e c
where C O 2 f a c t o r g a s is the CO2 emission factor of gas (202 gr/kWh), and R e l E n e r g y U s e is the relation between the FEC of a high-temperature heat pump and a condensing gas boiler (0.317). The C O 2 f a c t o r e l e c represents the CO2 emission factor that makes high-temperature heat pumps and condensing gas boilers have the same CO2 emissions.
In addition, this relationship in energy use should only be applied when taking into account a heat pump and a boiler that operate at the same level of efficiency as the ones in Figure 3. This relationship in the FEC could vary for different efficiencies, as we are not comparing systems with the same efficiencies. Nevertheless, the order of magnitude should not change.
Solving Equation (17), we obtain the CO2 emission factor at which high-temperature heat pumps emit more CO2 than condensing boilers, which is 637.57 gr CO2/kWh. Taking into account the CO2 emission factors of all the Member States provided by [21], we can identify the Member States where a full electrification of the heating system is inadvisable in terms of CO2 gas emissions.
According to Figure 12, the full electrification of heating through high-temperature heat pumps reduces CO2 emissions in all Member States, with the exception of Poland. Estonia and Cyprus are borderline, and for Poland, using high-temperature heat pumps increases emissions until such time as power production is cleaner. Decarbonising buildings through electrification with high-temperature heat pumps would be more effective in Member States such as Austria, Finland, France, and Luxembourg, as their electricity grids have the lowest CO2 emission factors.
Even where full electrification is shown to be the best solution to decarbonise a building, bottlenecks such as grid overload can arise. Some buildings are not prepared to support this increase in the electricity demand as the installed electricity facility was not dimensioned for electric heating. For this reason, the full electrification of heating can lead to the replacement of the main electricity supply in the building. This can be achieved by changing the electrical cable section and protections and related distribution system elements including transformers. Whether this can be achieved depends on the applicable legislation. Although the EU can afford the installation of 30 million heat pumps at the Member State level as outlined in the REPowerEU Plan [12], all areas should be studied on a case-by-case basis, as some may present problems that need to be addressed if the power load increases [24,25]. The solutions depend on the region in which they appear. For instance, if only one user in a neighbourhood wants to change their power facility, it can be acceptable from the side of the grid owner. On the other hand, if there are several requests to increase the power capacity, the grid owner can ask for bigger cables, an additional transformation centre, etc.
The impact on the power system will be lower if the heating demand is reduced, for example by renovating the buildings. However, building renovations can be difficult for owners to realise and not economically viable in some cases [26]. Building renovations are not covered in this study, as we estimate the results only by applying energy efficiency measures on the heating systems.
Other types of air water heat pumps, which produce water at lower temperature levels, are not covered in this study as this work is focused on systems able to provide high-temperature heating. Low-temperature heat pumps also contribute to the decarbonisation of buildings, but more issues need to be taken into account. For example, it is not guaranteed that the current hydronic facility installed could work at lower temperatures, which implies changing radiators or pipes in the system, which sometimes can be an expensive upgrade depending on the geometry of the buildings. Our previous study [11] explains how these issues could be overcome and what type of opportunities low-temperature heating systems bring in the decarbonisation of buildings.
Air/air heat pumps are not categorised as high- or low-temperature. They can have the indoor units mounted on walls or a false roof with a duct system providing air at the desired indoor conditions. Sometimes, the lack of space in the roof of existing buildings to install long refrigerant pipes or duct systems can be an issue for their integration. However, this type of system can be considered an easy way to overcome failures in hydronic systems and prevent corrective maintenance operations.
The recommendations regarding the energy costs can be different, depending on the energy carrier selected and where the building is located. Electricity is usually more expensive than gas, but if heat pumps consume it, the electricity operating cost would be much lower than for gas consumption, which can bring lower final energy costs. If gas is much cheaper than electricity, the operating costs can be lower even though the heat pump is more efficient, as in the case of Germany and Poland.
Regarding the price of gas, as of 2027, the costs of gas boilers will be influenced by the new EU Emission Trading System (ETS) (https://climate.ec.europa.eu/eu-action/eu-emissions-trading-system-eu-ets/ets2-buildings-road-transport-and-additional-sectors_en) (accessed on 5 July 2024), which will cover the CO2 emissions from fuel combustion in buildings. This means that the costs of gas could increase due to the addition of this levy. According to [27], for a house in Spain that has a yearly heating demand of 170 kWh/m2 and a levy of 80 EUR /ton, the ETS impact could reach 4% of the house’s income.

5. Conclusions

This paper analyses the decarbonisation potential of high-temperature heating systems. It presents findings on the impact of replacing condensing gas boilers with hybrid or high-temperature heat pumps in typical low-efficiency buildings located in the EU. The results show that these actions can yield significant CO2 emission reductions without the need for building envelope renovations or upgrades to their hydronic facilities, actions that can be hard to perform in some buildings. Depending on the region within the EU, CO2 reduction levels can reach between 40% and 70%.
These systems present a competitive alternative when renovating low-efficiency buildings is not possible, and provide a viable option to accelerate decarbonisation, particularly in low-efficiency buildings. These systems do not present the same efficiency levels as low-temperature heat pumps, but they side-step heat transfer issues and the need to renovate the hydronic facility of the building.
Taking into account the results obtained, they can be considered an alternative for decarbonising the building stock, helping to meet the targets set by the European Green Deal.

Author Contributions

Conceptualisation and methodology, J.C.R.R., J.V. and J.C.; data curation, J.C.R.R. and A.T.; writing—original draft preparation, J.C.R.R.; writing—review and editing, J.V. and J.C. All authors have read and agreed to the published version of the manuscript.

Funding

This research received no external funding.

Data Availability Statement

The raw data supporting the conclusions of this article will be made available by the authors on request.

Conflicts of Interest

The authors declare no conflicts of interest.

Disclaimer

The information and views set out are those of the authors and do not necessarily reflect the official opinion of the European Commission.

References

  1. In Focus: Energy Efficiency in Buildings. European Commission, 17 February 2020. [Online]. Available online: https://commission.europa.eu/news/focus-energy-efficiency-buildings-2020-02-17_en (accessed on 2 September 2024).
  2. REPowerEU, European Commission, 2022. [Online]. Available online: https://commission.europa.eu/strategy-and-policy/priorities-2019-2024/european-green-deal/repowereu-affordable-secure-and-sustainable-energy-europe_es (accessed on 2 September 2024).
  3. Energy Performance of Buildings Directive, [Online]. Available online: https://energy.ec.europa.eu/topics/energy-efficiency/energy-efficient-buildings/energy-performance-buildings-directive_en (accessed on 2 September 2024).
  4. Renewable Energy Directive, [Online]. Available online: https://energy.ec.europa.eu/topics/renewable-energy/renewable-energy-directive-targets-and-rules/renewable-energy-directive_en (accessed on 2 September 2024).
  5. Energy Efficiency Directive, [Online]. Available online: https://energy.ec.europa.eu/topics/energy-efficiency/energy-efficiency-targets-directive-and-rules/energy-efficiency-directive_en (accessed on 2 September 2024).
  6. Decision, E.C. Establishing the guidelines for Member States on calculating renewable energy from heat pumps from different heat pump technologies pursuant to Article 5 of Directive 2009/28/EC of the European Parliament and of the Council. Off. J. Eur. Union 2013. [Online]. Available online: https://eur-lex.europa.eu/legal-content/EN/TXT/?uri=CELEX%3A32013D0114 (accessed on 20 August 2024).
  7. Østergaard, D.; Svendsen, S. Are typical radiators over-dimensioned? An analysis of radiator dimensions in 1645 Danish houses. Energy Build. 2018, 178, 206–215. [Google Scholar] [CrossRef]
  8. Pothof, I.; Vreeken, T. Field measurements on lower radiator temperatures in existing buildings. Tjerk Field Meas. Low. Radiator Temp. Exist. Build. 2022. [Online]. Available online: https://www.warmingup.info/documenten/11205149-hye-001_field-measurements-on-lower-radiator-temperatures-in-existing-buildings_def.pdf (accessed on 19 July 2024).
  9. Ljunggren, P. Optimum performance of radiator space heating systems connected to achieve low as possible DH return temperature. In Proceedings of the 10th International Symposium on District Heating and Cooling, Hanover, Germany, 3–5 September 2006. [Google Scholar]
  10. Chen, Z.; Li, J.; Tang, G.; Zhang, J.; Zhang, D.; Gao, P. High-efficiency heating and cooling technology with embedded pipes in buildings and underground structures: A review. Renew. Sustain. Energy Rev. 2024, 192, 114209. [Google Scholar] [CrossRef]
  11. Roca Reina, J.C.; Toleikyte, A.; Volt, J.; Carlsson, J. Alternatives for upgrading from high-temperature to low-temperature heating systems in existing buildings: Challenges and opportunities. Energy Build. 2024, 323, 114798. [Google Scholar] [CrossRef]
  12. Toleikyte, A.; Roca Reina, J.C.; Volt, J.; Carlsson, J.; Lyons, L.; Gasparella, A.; Koolen, D.; De Felice, M.; Tarvydas, D.; Czako, V.; et al. The Heat Pump Wave: Opportunities and Challenges; Publications Office of the European Union: Luxembourg, 2023. [Google Scholar]
  13. Kim, J.; James, N.; Maquire, J. Investigation of a high-temperature combination heat pump for lower-cost electrification in multifamily buildings. Appl. Energy 2024, 376, 124225. [Google Scholar] [CrossRef]
  14. Saffari, M.; Keogh, D.; De Rosa, M.; Finn, D. Technical and economic assessment of a hybrid heat pump system as an energy retrofit measure in a residential building. Energy Build. 2023, 295, 113256. [Google Scholar] [CrossRef]
  15. EPISCOPE and TABULA Website, [Online]. Available online: https://episcope.eu/welcome/ (accessed on 10 September 2024).
  16. Huld, T.; Müller, R.; Gambardella, A. A new solar radiation database for estimating PV performance in Europe and Africa. Sol. Energy 2012, 86, 1803–1815. [Google Scholar] [CrossRef]
  17. International Organization for Standardization, ISO 52016-1:2017: Energy Performance of Buildings—External and Internal Environment—Part 1: Calculation of the Energy Needs for Heating and Cooling, 2017. [Online]. Available online: https://www.iso.org/standard/65696.html (accessed on 2 July 2024).
  18. International Organization for Standardization, ISO 6946:2017: Building Components and Building Elements—Thermal Resistance and Thermal Transmittance—Calculation Methods, 2017. [Online]. Available online: https://www.iso.org/standard/65708.html#:~:text=ISO%206946%3A2017%20provides%20the,which%20air%20is%20designed%20to (accessed on 2 July 2024).
  19. EN14511-1. Air Conditioners, Liquid Chilling Packages and Heat Pumps for Space Heating and Cooling and Process Chillers, with Electrically Driven Compressors. 2022 [Online]. Available online: https://www.une.org/encuentra-tu-norma/busca-tu-norma/norma?c=N0071361 (accessed on 2 July 2024).
  20. EN 442-1&2:2014 Radiators and Convectors, International Energy Agency, 17 May 2021. [Online]. Available online: https://www.iea.org/policies/7036-en-442-122014-radiators-and-convectors (accessed on 11 September 2024).
  21. Greenhouse Gas Emission Intensity of Electricity Generation in Europe, European Environment Agency, [Online]. Available online: https://www.eea.europa.eu/en/analysis/indicators/greenhouse-gas-emission-intensity-of-1 (accessed on 20 September 2024).
  22. Bertelsen, N.; Mathiesen, B.V. EU-28 Residential Heat Supply and Consumption: Historical Development and Status. Energies 2020, 13, 1894. [Google Scholar] [CrossRef]
  23. vaasaETT Enlightening Energy Markets, [Online]. Available online: https://vaasaett.com/ (accessed on 1 July 2024).
  24. Fesefeldt, M.; Capezzali, M.; Bozorg, M.; Karjalainen, R. Impact of Heat Pump and Cogeneration Integration on Power Distribution Grids Based on Transition Scenarios for Heating in Urban Areas. Sustainability 2023, 15, 4985. [Google Scholar] [CrossRef]
  25. Knittel, T.; Palmer-Wilson, K.; McPherson, M.; WIld, P.; Rowe, A. Heating electrification in cold climates: Invest in grid flexibility. Appl. Energy 2024, 356, 122333. [Google Scholar] [CrossRef]
  26. Kranzl, L.; Casamassima, L. Exploring insulation levels to enable low-temperature heating in selected buildings in two European climate zones. Energy Build. 2024, 316, 114324. [Google Scholar]
  27. Roca Reina, J.C.; Volt, J.; Toleikyte, A.; Carlsson, J. Impact of the New Eu Emissions Trading System on Households. In Proceedings of the CYTEF 2024—XII Congreso Ibérico y X Congreso Iberoaméricano (Proceedings), Alicante, Spain, 26–28 June 2024. [Google Scholar]
Figure 1. Methodology followed in the calculation.
Figure 1. Methodology followed in the calculation.
Energies 18 00235 g001
Figure 2. Utilisation factor obtained from TABULA methodology [15].
Figure 2. Utilisation factor obtained from TABULA methodology [15].
Energies 18 00235 g002
Figure 3. Performance curves used in the model.
Figure 3. Performance curves used in the model.
Energies 18 00235 g003
Figure 4. Modelling of a hybrid heat pump.
Figure 4. Modelling of a hybrid heat pump.
Energies 18 00235 g004
Figure 5. Heating demand of the different buildings.
Figure 5. Heating demand of the different buildings.
Energies 18 00235 g005
Figure 6. Final energy consumption of hybrid heat pumps in the buildings selected.
Figure 6. Final energy consumption of hybrid heat pumps in the buildings selected.
Energies 18 00235 g006
Figure 7. Heat pump and back-up contribution to the yearly heating demand.
Figure 7. Heat pump and back-up contribution to the yearly heating demand.
Energies 18 00235 g007
Figure 8. Final energy consumption of high-temperature heat pumps in the buildings selected.
Figure 8. Final energy consumption of high-temperature heat pumps in the buildings selected.
Energies 18 00235 g008
Figure 9. CO2 emission results.
Figure 9. CO2 emission results.
Energies 18 00235 g009
Figure 10. Energy costs of the different technologies proposed.
Figure 10. Energy costs of the different technologies proposed.
Energies 18 00235 g010
Figure 11. Energy use relationship—high-temperature heat pump and gas boiler.
Figure 11. Energy use relationship—high-temperature heat pump and gas boiler.
Energies 18 00235 g011
Figure 12. CO2 emission factor of electricity from different Member States.
Figure 12. CO2 emission factor of electricity from different Member States.
Energies 18 00235 g012
Table 1. General characteristics of the buildings.
Table 1. General characteristics of the buildings.
GermanyNetherlandsSpainSwedenPoland
Conditioned areaConditioned areaConditioned areaConditioned areaConditioned area
m2m2m2m2m2
173135170106131
Heating demandHeating demandHeating demandHeating demandHeating demand
kWh/m2·yearkWh/m2·yearkWh/m2·yearkWh/m2·yearkWh/m2·year
157135170164180
SurfUSurfUSurfUSurfUSurfU
m2W/m2·Km2W/m2·Km2W/m2·Km2W/m2·Km2W/m2·K
Walls17811052.323121.332000.311051.03
Roof1830.5791.16634.171250.21770.5
Floor1520.86605.88900.851250.32701.6
Windows342.8322.912.64.59222.3232.6
Heated
floor area
173-135 170-106-131-
Roof 1Flat roof with 6 cm insulationPitched roofVentilated pitched roof, wooden frame, and suspended ceilingHorizontal windPitched roof insulated on ceilings
Roof 2-Flat roof---
Wall 1MasonryOnly U-value providedcavity wall: brick, air cavityOnly U-value providedHollow blocks
Wall 2-----
Floor 1Concrete ceiling with 2 cm insulationOnly U-value providedFlooring on the groundConcrete slabSolid ground floor
Floor 2Concrete ceiling with 2 cm insulation----
WindowsWooden window with dual-pane glazingSingle glassMetal frame, single glazed, no thermal breakOnly U-value providedWood frame, double glazed, air-filled (7.5 mm gap)
Table 2. Capacities of the heating systems proposed.
Table 2. Capacities of the heating systems proposed.
High-Temperature Heat PumpHybrid Heat Pump 1
kWkW
DE1510
NL128
ES1912
SE107
PL1911
1 Note that this capacity is boosted by a condensing boiler of 20 kW.
Table 3. CO2 emission factors for electricity [21].
Table 3. CO2 emission factors for electricity [21].
SwedenGermanySpainNetherlandsPoland
gCO2/kWh8314177333710
Table 4. Electricity and gas prices.
Table 4. Electricity and gas prices.
Elec. PriceGas. Price
EUR/kWhEUR/kWh
DE0.40.13
NL0.30.2
ES0.30.12
SE0.240.24
PL0.20.05
Disclaimer/Publisher’s Note: The statements, opinions and data contained in all publications are solely those of the individual author(s) and contributor(s) and not of MDPI and/or the editor(s). MDPI and/or the editor(s) disclaim responsibility for any injury to people or property resulting from any ideas, methods, instructions or products referred to in the content.

Share and Cite

MDPI and ACS Style

Roca Reina, J.C.; Carlsson, J.; Volt, J.; Toleikyte, A. Alternatives for Decarbonising High-Temperature Heating Facilities in Residential Buildings. Energies 2025, 18, 235. https://doi.org/10.3390/en18020235

AMA Style

Roca Reina JC, Carlsson J, Volt J, Toleikyte A. Alternatives for Decarbonising High-Temperature Heating Facilities in Residential Buildings. Energies. 2025; 18(2):235. https://doi.org/10.3390/en18020235

Chicago/Turabian Style

Roca Reina, Juan Carlos, Johan Carlsson, Jonathan Volt, and Agne Toleikyte. 2025. "Alternatives for Decarbonising High-Temperature Heating Facilities in Residential Buildings" Energies 18, no. 2: 235. https://doi.org/10.3390/en18020235

APA Style

Roca Reina, J. C., Carlsson, J., Volt, J., & Toleikyte, A. (2025). Alternatives for Decarbonising High-Temperature Heating Facilities in Residential Buildings. Energies, 18(2), 235. https://doi.org/10.3390/en18020235

Note that from the first issue of 2016, this journal uses article numbers instead of page numbers. See further details here.

Article Metrics

Back to TopTop