An Improved Calibration for Satellite Estimation of Flared Gas Volumes from VIIRS Nighttime Data
Abstract
1. Introduction
2. Previous Calibrations
3. Data Collections and Analysis
3.1. John Zink Metered Flare Tests
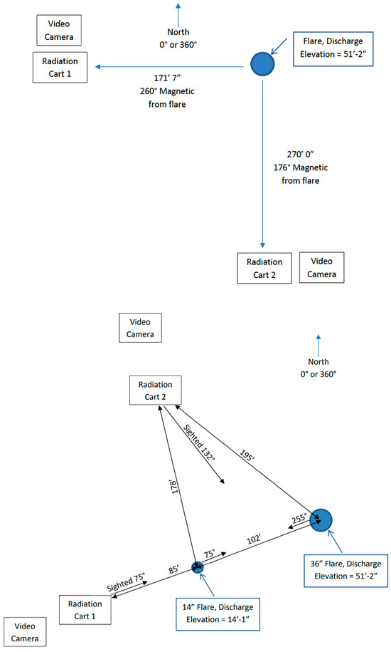
3.1.1. Experimental Setup for John Zink Test Flares
3.1.2. Ground-Based Spectroradiometer Collection on Flares
3.1.3. Conversion from Mass Flow to Flared Gas Volume
3.1.4. VIIRS Nightfire Satellite Data Processing
3.2. Metered Gas Flare Temporal Profiles from Upstream Flares
3.3. Comparison of Calibration and Atmospheric Transmissivity from a Single Day of VNF Data
4. Results
4.1. Flare Temporal Flutters in Near-Field Radiative Heat
4.2. Examination of Outliers
4.2.1. Multipixel Flare Detections
- RHmax = max(RH) the local maximum:
- RH75% = sum(RH, when RH > 75% RHmax);
- RH50% = sum(RH, when RH > 50% RHmax);
- RH25% = sum(RH, when RH > 25% RHmax);
- RHsum = sum(RH) for all the pixels with flare detection.
- Split of the signal from a flare between neighboring pixels due to the overlap of the pixel footprints, especially in the bowtie regions at the edge of scan.
- Atmospheric scattering, which adds a blurry multiple-pixel halo around a subpixel infrared emitter.
4.2.2. Wind and Scanline Azimuth Effects
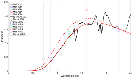
4.3. Comparison of Near-Field and Satellite Observed Planck Curves
4.4. John Zink Flared Gas Volume Calibrations
4.5. Comparison of the Calibrations and Detection Limit Analysis from Upstream Metered Flares
4.5.1. Detection Limit Analysis
4.5.2. Calibration Comparisons
4.6. Comparison of Results from a Single Day
Global M10 Transmissivity Grid
5. Discussion
5.1. Selection of RH-Based VNF v3 and v4 Calibrations
5.2. Single and Double Flares
5.3. Combining Radiant Heat from Multiple Adjacent Pixels
5.4. Examination of Atmospheric Corrections
5.5. Aggregating Flared Gas Volume Estimates from Instantaneous to Annual Data
- Temporal under-sampling: The VIIRS sensor integration time period for individual M-band pixels ranges from 2–3 milliseconds [37], and the VIIRS collections occur during a three-hour time slot from midnight to three in the morning. As a result, the VNF product does not capture short-term fluctuations or diurnal variability in flaring activity. This limitation can lead to errors in estimating annual flared volumes in cases where transient flaring spikes occur outside the brief observation period afforded by VIIRS. Improved characterization of flaring activity could be achieved by integrating data from multiple VIIRS sensors, incorporating daytime thermal detections (e.g., from Landsat), and applying advanced statistical models to account for observed flare variability.
- VNF detection limits: Radiant heat emissions from low-intensity or intermittent flares that fall below the VNF detection threshold (0.008 mmscmd) are recorded as zero in the annual summation of RH. To the extent that this happens, there is a systematic underestimation of flared volumes. This is likely the case in shale basins (e.g., the Bakken and Permian formations) where small-scale episodic flaring is prevalent. We are currently researching the extension of the flare detection limit for small flares using the low-light imaging day/night band (DNB). It is well established that in the 1200–2500 K range, the DNB detection limit drops far below that of the M-bands used in VNF [38]. The DNB is famously known for its role in the detection of electric lighting [39]. We plan to utilize the DNB radiance when flares are detected by VIIRS to define a trajectory, estimating flare temperature and flared gas volume from the DNB in observations lacking VNF, even in the presence of electric lighting at a facility. This approach was used to distinguish low-level flaring versus flare outages in a 2018 study [40].
5.6. Impact of Fuel Composition on Spectral Output and Heat Release
6. Conclusions
Author Contributions
Funding
Data Availability Statement
Acknowledgments
Conflicts of Interest
Glossary of Acronyms
| BCM | Billion Cubic Meters, a unit of gas volume used to quantify large-scale gas flaring or production. |
| mmscmd | Million Standard Cubic Meters per Day, a unit of gas flow rate commonly used in the oil and gas industry. |
| DMSP | Defense Meteorological Satellite Program, a series of satellites providing nighttime light data, used in early gas flaring studies. |
| VIIRS | Visible Infrared Imaging Radiometer Suite, a sensor on NOAA satellites used for imaging and measuring gas flaring activities. |
| VNF | Visible Infrared Imaging Radiometer Suite Nightfire, a method for detecting and characterizing nighttime combustion sources, including gas flares, using multispectral imagery from VIIRS sensor. |
| RH | Radiative Heat, a measure of the thermal energy emitted by gas flares, typically derived from satellite observations. |
| RH’ | Adjusted Radiative Heat, a corrected or normalized measure of radiative heat accounting for environmental or instrumental factors. |
| NIR | Near-Infrared, a wavelength range (approximately 0.7–1.4 µm) used in satellite imaging to detect gas flare emissions. |
| SWIR | Short-Wave Infrared, a wavelength range (approximately 1.4–3 µm) used for detecting high-temperature sources like gas flares. |
| MWIR | Mid-Wave Infrared, a wavelength range (approximately 3–8 µm) used for thermal imaging of gas flares. |
| LWIR | Long-Wave Infrared, a wavelength range (approximately 8–15 µm) used for detecting cooler thermal emissions in flaring studies. |
| DNB | Day/Night Band, a VIIRS sensor band sensitive to low-light conditions, used for detecting gas flares at night. |
References
- Elvidge, C.D.; Zhizhin, M.; Baugh, K.; Hsu, F.-C.; Ghosh, T. Methods for global survey of natural gas flaring from visible infrared imaging radiometer suite data. Energies 2015, 9, 14. [Google Scholar] [CrossRef]
- Peylin, P.; Law, R.M.; Gurney, K.R.; Chevallier, F.; Jacobson, A.R.; Maki, T.; Niwa, Y.; Patra, P.K.; Peters, K.; Rayner, P.J.; et al. Global Atmospheric Carbon Budget: Results from an Ensemble of Atmospheric CO2 Inversions. Biogeosciences 2013, 10, 6699–6720. [Google Scholar] [CrossRef]
- Sonibare, J.; Akeredolu, F. Natural gas domestic market development for total elimination of routine flares in Nigeria’s upstream petroleum operations. Energy Policy 2006, 34, 743–753. [Google Scholar] [CrossRef]
- Nwozor, A.; Olanrewaju, J.S.; Ake, M.; Aleyomi, M. Global Quest for Zero Routine Flaring: An Appraisal of Nigeria’s Legal and Regulatory Abatement Frameworks. Electron. Green J. 2020, 1, 44. [Google Scholar] [CrossRef]
- Wen, Y.; Xiao, J.; Peng, J. The effects of the ‘Zero Routine Flaring by 2030’ initiative: International comparisons based on generalized synthetic control method. Environ. Impact Assess. Rev. 2023, 100, 107095. [Google Scholar] [CrossRef]
- Cutler, J.; Bjorn, H.; Francisco, S. ‘Zero Routine Flaring by 2030’: A new global industry standard. APPEA J. 2018, 58, 533–537. [Google Scholar] [CrossRef]
- Petri, Y.; Juliza, H.; Humala, N. Technical and economic analysis of the use of flare gas into alternative energy as a breakthrough in achieving zero routine flaring. In IOP Conference Series: Earth and Environmental Science; IOP Publishing: Bristol, UK, 2018; Volume 126, p. 012132. [Google Scholar]
- Khalili-Garakani, A.; Iravaninia, M.; Nezhadfard, M. A review on the potentials of flare gas recovery applications in Iran. J. Clean. Prod. 2021, 279, 123345. [Google Scholar] [CrossRef]
- Sonia, Y.; Witcover, J.; Kessler, J. Status Review of California’s Low Carbon Fuel Standard—Spring 2013 Issue. In Research Report UCD-ITS-RR-13-06; Institute of Transportation Studies, University of California: Davis, CA, USA, 2013. [Google Scholar]
- Brandt, A.R.; Yeskoo, T.; McNally, M.S.; Vafi, K.; Yeh, S.; Cai, H.; Wang, M.Q. Energy intensity and greenhouse gas emissions from tight oil production in the Bakken formation. Energy Fuels 2016, 30, 9613–9621. [Google Scholar] [CrossRef]
- Masnadi, M.S.; El-Houjeiri, H.M.; Schunack, D.; Li, Y.; Englander, J.G.; Badahdah, A.; Monfort, J.-C.; Anderson, J.E.; Wallington, T.J.; Bergerson, J.A.; et al. Global carbon intensity of crude oil production. Science 2018, 361, 851–853. [Google Scholar] [CrossRef]
- Plant, G.; Kort, E.A.; Brandt, A.R.; Chen, Y.; Fordice, G.; Negron, A.M.G.; Schwietzke, S.; Smith, M.; Zavala-Araiza, D. Inefficient and unlit natural gas flares both emit large quantities of methane. Science 2022, 377, 1566–1571. [Google Scholar] [CrossRef]
- Cusworth, D.H.; Duren, R.M.; Thorpe, A.K.; Pandey, S.; Maasakkers, J.D.; Aben, I.; Jervis, D.; Varon, D.J.; Jacob, D.J.; Randles, C.A.; et al. Multisatellite imaging of a gas well blowout enables quantification of total methane emissions. Geophys. Res. Lett. 2021, 48, e2020GL090864. [Google Scholar] [CrossRef]
- Maasakkers, J.D.; Omara, M.; Gautam, R.; Lorente, A.; Pandey, S.; Tol, P.; Borsdorff, T.; Houweling, S.; Aben, I. Reconstructing and quantifying methane emissions from the full duration of a 38-day natural gas well blowout using space-based observations. Remote Sens. Environ. 2022, 270, 112755. [Google Scholar] [CrossRef]
- Lecarpentier, A. Natural Gas in the World—Cedigaz Annual Report; Editions Cedigaz: Rueil-Malmaison, France, 2010. [Google Scholar]
- Croft, T.A. Nighttime images of the Earth from space. Sci. Am. 1978, 239, 86–101. [Google Scholar] [CrossRef]
- Ghosh, T.; Baugh, K.E.; Elvidge, C.D.; Zhizhin, M.; Poyda, A.; Hsu, F.-C. Extending the DMSP nighttime lights time series beyond 2013. Remote Sens. 2021, 13, 5004. [Google Scholar] [CrossRef]
- Elvidge, C.D.; Ziskin, D.; Baugh, K.E.; Tuttle, B.T.; Ghosh, T.; Pack, D.W.; Erwin, E.H.; Zhizhin, M. A fifteen year record of global natural gas flaring derived from satellite data. Energies 2009, 2, 595–622. [Google Scholar] [CrossRef]
- Elvidge, C.D.; Zhizhin, M.; Hsu, F.-C.; Baugh, K.E. VIIRS nightfire: Satellite pyrometry at night. Remote Sens. 2013, 5, 4423–4449. [Google Scholar] [CrossRef]
- Wien, W.; Otto, L. Methode zur Prüfung des Strahlungsgesetzes absolut schwarzer Körper. Ann. Der Phys. 1895, 292, 451–456. [Google Scholar] [CrossRef]
- Planck, M. On the law of distribution of energy in the normal spectrum. Ann. Der Phys. 1901, 4, 1. [Google Scholar]
- Stefan, J. Uber die Beziehung zwischen der Wärmestrahlung und der Temperatur. Sitzungsberichte Der Mathe-Matischnaturwissenschaftlichen Cl. Der Kais. Akad. Der Wiss. 1879, 79, 391–428. [Google Scholar]
- Boltzmann, L. Ueber eine von Hrn. Bartoli entdeckte Beziehung der Wärmestrahlung zum zweiten Hauptsatze. Ann. Der Phys. 1884, 258, 31–39. [Google Scholar] [CrossRef]
- Tiller, F.M.; Garber, H.J. Infrared radiant heating. Ind. Eng. Chem. 1942, 34, 773–781. [Google Scholar] [CrossRef]
- ASME MFC-3M-2004; Measurement of Fluid Flow in Pipes Using Orifice, Nozzle, and Venturi. American Society of Mechanical Engineers: New York, NY, USA, 2004.
- Clapeyron, E. Mémoire sur la Puissance Motrice de la Chaleur. In Journal de l’École Royale Polytechnique; Vingt-troisième cahier, Tome XIV; De l’Imprimerie Royale: Paris, French, 1834; pp. 153–190. (In French) [Google Scholar]
- U.S. Government Publishing Office. Title 30, Code of Federal Regulations, Part 250, Subpart L—Oil and Gas Production Measurement, Surface Commingling, and Security, § 250.1201 Definitions. 2013. Available online: https://www.ecfr.gov/current/title-30/chapter-II/subchapter-B/part-250/subpart-L/section-250.1201 (accessed on 5 September 2025).
- Elvidge, C.D.; Zhizhin, M.; Hsu, F.C.; Sparks, T.; Ghosh, T. Subpixel analysis of primary and secondary infrared emitters with nighttime VIIRS data. Fire 2021, 4, 83. [Google Scholar] [CrossRef]
- Berk, A.; Anderson, G.P.; Bernstein, L.S.; Acharya, P.K.; Dothe, H.; Matthew, M.W.; Adler-Golden, S.M.; Chetwynd, J.H., Jr.; Richtsmeier, S.C.; Pukall, B.; et al. MODTRAN4 radiative transfer modeling for atmospheric correction. In Optical Spectroscopic Techniques and Instrumentation for Atmospheric and Space Research III; SPIE: Bellingham, WA, USA, 1999; Volume 3756, pp. 348–353. [Google Scholar]
- Whitaker, J.S.; Hamill, T.M.; Wei, X.; Song, Y.; Toth, Z. Ensemble data assimilation with the NCEP global forecast system. Mon. Weather Rev. 2008, 136, 463–482. [Google Scholar] [CrossRef]
- Westphal, D.L.; Curtis, C.A.; Liu, M.; Walker, A.L. Operational aerosol and dust storm forecasting. In IOP Conference Series: Earth and Environmental Science; IOP Publishing: Bristol, UK, 2009; Volume 7, p. 012007. [Google Scholar]
- Nelder, J.A.; Mead, R. A simplex method for function minimization. Comput. J. 1965, 7, 308–313. [Google Scholar] [CrossRef]
- Al-Abdeli, Y.M.; Masri, A.R. Turbulent swirling natural gas flames: Stability characteristics, unsteady behavior and vortex breakdown. Combust. Sci. Technol. 2007, 179, 207–225. [Google Scholar] [CrossRef]
- Iglewicz, B.; Hoaglin, D.C. Volume 16: How to Detect and Handle Outliers; Quality Press: Seattle, WA, USA, 1993. [Google Scholar]
- Fawcett, T. An introduction to ROC analysis. Pattern Recogn. Lett. 2006, 27, 861–874. [Google Scholar] [CrossRef]
- Zipf, G.K. Relative frequency as a determinant of phonetic change. Harv. Stud. Class. Philol. 1929, 40, 1–95. [Google Scholar] [CrossRef]
- NESDIS; NOAA. Joint Polar Satellite System (JPSS) VIIRS Geolocation Algorithm Theoretical Basis Document (ATBD); NESDIS; NOAA: Silver Spring, MD, USA, 2017. [Google Scholar]
- Elvidge, C.D.; Zhizhin, M.; Baugh, K.; Hsu, F.C.; Ghosh, T. Extending nighttime combustion source detection limits with short wavelength VIIRS data. Remote Sens. 2019, 11, 395. [Google Scholar] [CrossRef]
- Miller, S.D.; Straka, W.; Mills, S.P.; Elvidge, C.D.; Lee, T.F.; Solbrig, J.; Walther, A.; Heidinger, A.K.; Weiss, S.C. Illuminating the capabilities of the Suomi National Polar-Orbiting Partnership (NPP) visible infrared imaging radiometer suite (VIIRS) day/night band. Remote Sens. 2013, 5, 6717–6766. [Google Scholar] [CrossRef]
- Do, Q.-T.; Shapiro, J.N.; Elvidge, C.D.; Abdel-Jelil, M.; Ahn, D.P.; Baugh, K.; Hansen-Lewis, J.; Zhizhin, M.; Bazilian, M.D. Terrorism, geopolitics, and oil security: Using remote sensing to estimate oil production of the Islamic State. Energy Res. Soc. Sci. 2018, 44, 411–418. [Google Scholar] [CrossRef]
- Pittam, D.A.; Pilcher, G. Measurements of heats of combustion by flame calorimetry. Part 8.—Methane, ethane, propane, n-butane and 2-methylpropane. J. Chem. Soc. Faraday Trans. 1 Phys. Chem. Condens. Phases 1972, 68, 2224–2229. [Google Scholar] [CrossRef]






























| Collection 1 in January and February 2018, 12 single flares | |||||
| Satellite view angle | |||||
| Flare size | Flow rate lb/hr | Flared volume BCM/yr | Nadir | Medium | Side |
| Small | 750, later 1500 | 0.004, later 0.008 | 1 | 2 | 1 |
| Medium | 7500 | 0.04 | 1 | 2 | 1 |
| Large | 75,000 | 0.4 | 1 | 2 | 1 |
| Collection 2 in October 2018, 12 double-flares | |||||
| Satellite view angle | |||||
| Flare size | Flow rate lb/hr | Flared volume BCM/yr | Nadir | Medium | Side |
| Small + Small | 1500 + 1500 | 0.016 | 1 | 2 | 1 |
| Small + Medium | 1500 + 7500 | 0.05 | 1 | 2 | 1 |
| Medium + Medium | 7500 + 7500 | 0.08 | 1 | 2 | 1 |
| Collection 3 in August 2019, 12 single flares | |||||
| Satellite view angle | |||||
| Flare size | Flow rate lb/hr | Flared volume BCM/yr | Nadir | Medium | Side |
| 1/3 large | 25,000 | 0.13 | 2 | 2 | 2 |
| 2/3 large | 50,000 | 0.27 | 2 | 2 | 2 |
| RHmax | RH75% | RH50% | RH25% | RHsum | |
|---|---|---|---|---|---|
| R2 | 0.856 | 0.93 | 0.924 | 0.853 | 0.866 |
| F-statistics | 191 | 426 | 388 | 185 | 207 |
| b0 | −0.363 | −1.38 | −1.13 | −1.57 | −1.21 |
| p-value for b0 | 0.597 | 0.128 | 0.226 | 0.347 | 0.401 |
| b1 | 78.078 | 85.22 | 84.61 | 93.837 | 96.387 |
| p-value for b1 | 6.45 × 10−13 | 2.71 × 10−19 | 1.03 × 10−18 | 1.32 × 10−14 | 2.1 × 10−13 |
Disclaimer/Publisher’s Note: The statements, opinions and data contained in all publications are solely those of the individual author(s) and contributor(s) and not of MDPI and/or the editor(s). MDPI and/or the editor(s) disclaim responsibility for any injury to people or property resulting from any ideas, methods, instructions or products referred to in the content. |
© 2025 by the authors. Licensee MDPI, Basel, Switzerland. This article is an open access article distributed under the terms and conditions of the Creative Commons Attribution (CC BY) license (https://creativecommons.org/licenses/by/4.0/).
Share and Cite
Zhizhin, M.; Elvidge, C.D.; Sparks, T.; Ghosh, T.; Bazilian, M.; Hsu, F.-C. An Improved Calibration for Satellite Estimation of Flared Gas Volumes from VIIRS Nighttime Data. Energies 2025, 18, 4765. https://doi.org/10.3390/en18174765
Zhizhin M, Elvidge CD, Sparks T, Ghosh T, Bazilian M, Hsu F-C. An Improved Calibration for Satellite Estimation of Flared Gas Volumes from VIIRS Nighttime Data. Energies. 2025; 18(17):4765. https://doi.org/10.3390/en18174765
Chicago/Turabian StyleZhizhin, Mikhail, Christopher D. Elvidge, Tamara Sparks, Tilottama Ghosh, Morgan Bazilian, and Feng-Chi Hsu. 2025. "An Improved Calibration for Satellite Estimation of Flared Gas Volumes from VIIRS Nighttime Data" Energies 18, no. 17: 4765. https://doi.org/10.3390/en18174765
APA StyleZhizhin, M., Elvidge, C. D., Sparks, T., Ghosh, T., Bazilian, M., & Hsu, F.-C. (2025). An Improved Calibration for Satellite Estimation of Flared Gas Volumes from VIIRS Nighttime Data. Energies, 18(17), 4765. https://doi.org/10.3390/en18174765

