Fuzzy Logic Estimation of Coincidence Factors for EV Fleet Charging Infrastructure Planning in Residential Buildings
Abstract
1. Introduction
- We develop coincidence factor estimations based on simulated EV user behavior for multi-dwelling residential contexts, extending beyond the single-dwelling and public charging focus of earlier studies.
- We analyze optimization strategies (minimization and maximization) and quantify their impact on infrastructure sizing.
- We design a fuzzy inference model that dynamically adapts Cf values to realistic scenarios, allowing expert input at the planning stage while avoiding the need for detailed behavioral datasets.
- We demonstrate substantial practical benefits, including feeder size reductions up to 86% and optimized breaker sizing, translating to lower installation costs and improved infrastructure planning.
2. Methodology
2.1. Coincidence Factor Concept
2.2. Methodology Overview
2.3. EV Charging Simulations
- Initial State-of-Charge (SoC): Randomly assigned within realistic daily operational ranges (typically between 20 and 80%).
- Desired SoC: Determined daily based on expected commuting patterns and typical usage behavior. Also accounts and checks for the previous threshold (20–80%), typically within the range that users report charging to protect the battery.
- Battery Capacity: Set according to industry-standard EV battery sizes (20–100 kWh).
- Charging Current Limit: Defined at 16 A per phase, representing typical residential slow-charging infrastructure.
2.4. Optimization Scenarios
- Minimization Scenario: The algorithm, developed in [23], allocates the minimum possible electrical current to achieve the desired SoC by the scheduled unplugging time. This scenario represents conservative, cost-effective infrastructure sizing where peak demands are minimized.
- Maximization Scenario: Charging is optimized to deliver the maximum available power instantaneously, potentially achieving desired SoC levels well before scheduled unplugging. This reflects scenarios where power availability or charging speed is prioritized over cost constraints.
2.5. Simulation Approach
2.6. Coincidence Factor Estimation from Simulation Results
- Maximum Observed Current: Highest total charging current recorded during simulations for each fleet size.
- Fleet Size: Number of EVs simulated.
- Maximum Current per EV: Defined as 16 A per phase.
2.7. Coincidence Factor Model Development
2.8. Fuzzy Logic Inference Model
- Demand Level: A qualitative estimate of the fleet’s average charging needs is characterized as Low, Medium, or High.
- Optimization Level: The level of control and demand management offered by the charging infrastructure (e.g., unmanaged, load-balanced, predictive), also categorized as Low, Medium, or High.
- If demand is high and optimization is low, then FCC is high;
- If demand is low and optimization is high, then FCC is low;
- If both are medium or contradicting, then FCC is medium.
3. Results
3.1. Coincidence Factor Estimation—Allocated Current Under Minimization Problem
3.2. Coincidence Factor—Allocated Current Under Maximization Problem
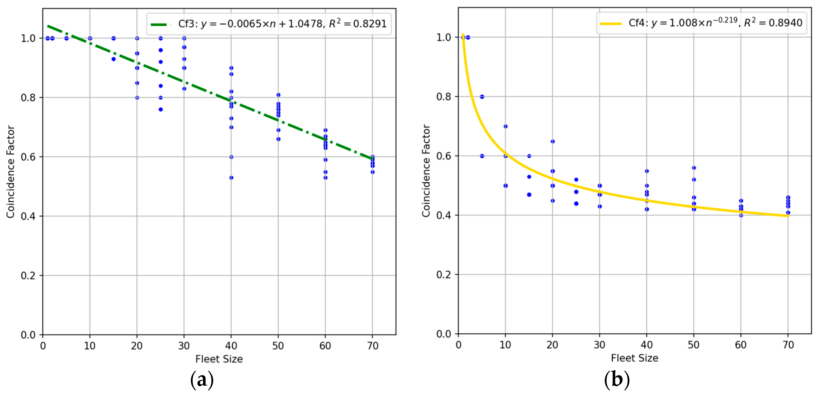
3.3. Average Coincidence Factor Estimation
3.4. Fuzzy Coincidence Factor Estimation
3.5. Electrical Feeder Analysis
3.6. Circuit Breakers and Fuses Analysis
4. Discussion
4.1. Analysis of Results
4.2. Validation and Comparative Analysis of Results
5. Limitations of the Current Work
- (1)
- The model relies on real inputs like fleet size, energy demand, and system optimization level. However, it does not incorporate empirical validation from real-world charging behavior. Although the fuzzy inference system is designed to approximate behavioral diversity, the absence of calibration with actual charging event data introduces uncertainty in how well the proposed coincidence factors reflect localized usage patterns. However, as demonstrated, CFs presented in other works in the field tend to align with the values proposed in this study, while following different approaches. Nevertheless, they do tend to lack the high interpretability presented in the current work and the concrete recommendations for electrical infrastructure planning stages.
- (2)
- The simulations assume ideal electrical installation and operation conditions, such as balanced phase distribution and unconstrained access to the electrical grid. Real-world constraints, including voltage drops, cable capacity, and equipment aging, are not explicitly modeled. Additionally, the methodology abstracts away from spatial factors such as charging location clustering, topological layout, or feeder configuration, which may influence simultaneity in practice. Still, it is important to note that the simulations are based on a previously presented and validated charging algorithm that accounts for phase balancing and the limitations of energy supply.
- (3)
- The optimization levels considered are conceptual and based on qualitative expert-informed categories. While useful for modeling a range of demand management sophistication, these levels are not derived from quantitative field measurements and may not capture all intermediate behaviors seen in hybrid or semi-automated systems. However, this limitation can be accounted for by assuming a more risk-averse profile in the planning stage by considering lower optimization and higher demand levels.
- (4)
- While this study does not directly model spatial load distribution or feeder topologies, it focuses on providing a generalizable estimation framework for planners at the building or substation level. Spatial diversity is indirectly captured in the demand diversity embedded in fleet size and optimization level parameters, though future extensions could couple this approach with spatial clustering or geographic demand allocation tools.
- (5)
- Finally, the proposed methodology is targeted at multi-dwelling residential buildings, specifically at existing buildings that may require an infrastructure overhaul to integrate EV charging in the parking spots. This in itself presents an issue, as currently, EV penetration has not yet reached a state where these scenarios are widespread or even occurring at rates that allow for data gathering to occur. Therefore, the reliance on simulated data is, in fact, one of the key limitations of the current study. Nonetheless, efforts were made in order to validate the results based on other published work and reports, as well as expert input.
6. Conclusions and Future Work
6.1. Conclusions
- Comprehensive Coincidence Factor Reference: Established a set of coincidence factor values (with associated equations) for EV fleet sizes up to 70 vehicles, derived under an optimized charging strategy and worst-case daily demand conditions. These results enable designers to replace the overly conservative Cf = 1 with data-driven Cf values tailored to realistic usage scenarios, avoiding unnecessary over-design of infrastructure.
- Fuzzy Logic Inference Model: Developed a fuzzy logic inference model that provides a systematic method to calculate the appropriate Cf as a function of the EV fleet size and the level of charging optimization employed. This model offers a flexible planning tool, allowing infrastructure designers to adjust Cf according to different building scenarios and smart charging strategies, thereby adding methodological rigor to the planning process.
- Reduced Infrastructure Sizing: Demonstrated a methodology to maximize economic benefits by significantly reducing the required electrical feeder capacity by as much as a factor of seven relative to conventional sizing, while still reliably meeting EV charging demand. This quantifiable reduction in cable sizing and related infrastructure translates into substantial cost and material savings without compromising service quality or future expansion needs.
6.2. Future Work
Author Contributions
Funding
Data Availability Statement
Conflicts of Interest
Abbreviations
| Abs | Absolute |
| Avg | Average |
| Cf | Coincidence Factor |
| EV | Electric Vehicle |
| LoL | Loss-of-Life |
| Max | Maximum |
| Min | Minimum |
| SoC | State of Charge |
Appendix A
| Inputs | Then Correction Factor … | |
|---|---|---|
| If Demand … | and Optimization … | |
| Low | High | Low |
| Medium | Medium | Medium |
| High | Low | High |
| Low | Medium | Medium |
| Medium | Low | High |
| High | High | Medium |
| Low | Low | Medium |
| Medium | High | Medium |
| High | Medium | Medium |

References
- Direção Geral da Energia Parte 5/Secção 51. In Regras Técnicas de Instalações Eléctricas de Baixa Tensão; Imprensa Nacional-Casa da Monedal: Lisboa, Portugal, 2000; pp. 1–736.
- National Fire Protection Association Section 220. In National Electrical Code; IEEE: New York, NY, USA, 2023.
- Jonas, T.; Daniels, N.; Macht, G. Electric Vehicle User Behavior: An Analysis of Charging Station Utilization in Canada. Energies 2023, 16, 1592. [Google Scholar] [CrossRef]
- Rastad, A.A.; Busengdal, H.S.; Hiep, E. Report on Consumer Behaviour; European Comission: Arnhem, The Netherlands, 2023. [Google Scholar]
- Almaghrebi, A.; James, K.; Al Juheshi, F.; Alahmad, M. Insights into Household Electric Vehicle Charging Behavior: Analysis and Predictive Modeling. Energies 2024, 17, 925. [Google Scholar] [CrossRef]
- Unterluggauer, T.; Hipolito, F.; Klyapovskiy, S.; Andersen, P.B. Impact of Electric Vehicle Charging Synchronization on the Urban Medium Voltage Power Distribution Network of Frederiksberg. World Electr. Veh. J. 2022, 13, 182. [Google Scholar] [CrossRef]
- Ramsebner, J.; Hiesl, A.; Haas, R. Efficient Load Management for BEV Charging Infrastructure in Multi-Apartment Buildings. Energies 2020, 13, 5927. [Google Scholar] [CrossRef]
- Turoń, K. Car-Sharing Systems in Smart Cities: A Review of the Most Important Issues Related to the Functioning of the Systems in Light of the Scientific Research. Smart Cities 2023, 6, 796–808. [Google Scholar] [CrossRef]
- Lokhandwala, M.; Cai, H. Siting Charging Stations for Electric Vehicle Adoption in Shared Autonomous Fleets. Transp. Res. D Transp. Environ. 2020, 80, 102231. [Google Scholar] [CrossRef]
- Ma, T.Y.; Fang, Y. Survey of Charging Management and Infrastructure Planning for Electrified Demand-Responsive Transport Systems: Methodologies and Recent Developments. Eur. Transp. Res. Rev. 2022, 14, 36. [Google Scholar] [CrossRef]
- Patil, P.; Kazemzadeh, K.; Bansal, P. Integration of Charging Behavior into Infrastructure Planning and Management of Electric Vehicles: A Systematic Review and Framework. Sustain. Cities Soc. 2023, 88, 104265. [Google Scholar] [CrossRef]
- Kumar, M.; Panda, K.P.; Naayagi, R.T.; Thakur, R.; Panda, G. Comprehensive Review of Electric Vehicle Technology and Its Impacts: Detailed Investigation of Charging Infrastructure, Power Management, and Control Techniques. Appl. Sci. 2023, 13, 8919. [Google Scholar] [CrossRef]
- Hong, S.-K.; Lee, S.G.; Kim, M. Assessment and Mitigation of Electric Vehicle Charging Demand Impact to Transformer Aging for an Apartment Complex. Energies 2020, 13, 2571. [Google Scholar] [CrossRef]
- Quiros-Tortos, J.; Ochoa, L.F.; Lees, B. A Statistical Analysis of EV Charging Behavior in the UK. In Proceedings of the 2015 IEEE PES Innovative Smart Grid Technologies Latin America (ISGT LATAM), Montevideo, Uruguay, 5–7 October 2015; pp. 445–449. [Google Scholar]
- Calearo, L.; Thingvad, A.; Suzuki, K.; Marinelli, M. Grid Loading Due to EV Charging Profiles Based on Pseudo-Real Driving Pattern and User Behavior. IEEE Trans. Transp. Electrif. 2019, 5, 683–694. [Google Scholar] [CrossRef]
- Flammini, M.G.; Prettico, G.; Julea, A.; Fulli, G.; Mazza, A.; Chicco, G. Statistical Characterisation of the Real Transaction Data Gathered from Electric Vehicle Charging Stations. Electr. Power Syst. Res. 2019, 166, 136–150. [Google Scholar] [CrossRef]
- Aunedi, M.; Woolf, M.; Strbac, G.; Babalola, O.; Clark, M. Characteristic Demand Profiles of Residential and Commercial EV Users and Opportunities for Smart Charging. In Proceedings of the Internation Conference on Electricity Distribution (CIRED), Lyon, France, 16–18 June 2015; p. 1088. [Google Scholar]
- Tong, X.; Guo, C.; Yang, X.; Chen, C. Research on Characteristics of Electric Vehicle Charging Load and Distribution Network Supportability. In Proceedings of the 2016 IEEE PES Asia-Pacific Power and Energy Engineering Conference (APPEEC), Xi’an, China, 25–28 October 2016; pp. 1539–1542. [Google Scholar]
- Thie, N.; Junge, E.; Hillenbrand, S.; Konermann, M. Evaluation of Grid Compatible Load Management Concepts for E-Mobility in Distribution Grids. In Proceedings of the 2019 54th International Universities Power Engineering Conference (UPEC), Bucharest, Romania, 3–6 September 2019; pp. 1–5. [Google Scholar]
- Palomino, A.; Parvania, M. Probabilistic Impact Analysis of Residential Electric Vehicle Charging on Distribution Transformers. In Proceedings of the 2018 North American Power Symposium (NAPS), Fargo, ND, USA, 9–11 September 2018; pp. 1–6. [Google Scholar]
- Bollerslev, J.; Andersen, P.B.; Jensen, T.V.; Marinelli, M.; Thingvad, A.; Calearo, L.; Weckesser, T. Coincidence Factors for Domestic EV Charging from Driving and Plug-In Behavior. IEEE Trans. Transp. Electrif. 2022, 8, 808–819. [Google Scholar] [CrossRef]
- Huaman-Rivera, A.; Calloquispe-Huallpa, R.; Luna Hernandez, A.C.; Irizarry-Rivera, A. An Overview of Electric Vehicle Load Modeling Strategies for Grid Integration Studies. Electronics 2024, 13, 2259. [Google Scholar] [CrossRef]
- Carvalhosa, S.; Ferreira, J.R.; Araújo, R.E. Electric Vehicle Charging Method for Existing Residential Condominiums. IEEE Access 2024, 12, 166537–166552. [Google Scholar] [CrossRef]
- Helmus, J.R.; Lees, M.H.; van den Hoed, R. A Data Driven Typology of Electric Vehicle User Types and Charging Sessions. Transp. Res. Part. C Emerg. Technol. 2020, 115, 102637. [Google Scholar] [CrossRef]
- Berg, K.; Löschenbrand, M. Data Set of a Norwegian Energy Community. Mendeley Data 2023. [Google Scholar] [CrossRef] [PubMed]
- Opstad, A.; Bakken, B.H.; Doorman, G.; Nygard, H.S.; Sevdari, K. CSE N°35 December 2024; CIGRE: Paris, France, 2024. [Google Scholar]
- Jokinen, I.; Lehtonen, M. Modeling of Electric Vehicle Charging Demand and Coincidence of Large-Scale Charging Loads in Different Charging Locations. IEEE Access 2023, 11, 114291–114315. [Google Scholar] [CrossRef]
- Fani, H.; Hashmi, M.U.; Deconinck, G. Impact of Electric Vehicle Charging Simultaneity Factor on the Hosting Capacity of LV Feeder. Sustain. Energy Grids Netw. 2024, 40, 101581. [Google Scholar] [CrossRef]













| Work | Charging Power [kW] | Fleet | Typology | Optimized Charging |
|---|---|---|---|---|
| [20] | 6.6, 19.2, 12.9 | 6 EVs | Single dwelling | No |
| [14] | 3.6 | 200 EVs | Residential Areas | No |
| [15] | 3.7, 11.0 | 20 EVs | Single Dwelling | No |
| [16] | 12.0 | Not specified | Charging Stations | No |
| [18] | 2, 6, 3, 15 | 1000 EVs | Residential Areas | No |
| [17] | 3.7, 14.0 | 54 EVs | Charging Stations | No |
| [19] | Not specified | 10 EVs | Residential Areas | No |
| [21] | 3.7, 11.0, 22.0 | 100 EVs | Single Dwelling | No |
| Current | From 3.68 to 12.8 | 70 EVs | Multi Dwelling | Yes |
| Feeder [Active Conductor Section in mm2] | Maximum Allowed Current—Iz | ||
|---|---|---|---|
| Copper—PVC | Aluminum—PVC | Type | |
| 2.5 | 25 A | 19.5 A | Multi conductor |
| 4 | 34 A | 26 A | |
| 6 | 43 A | 33 A | |
| 10 | 60 A | 46 A | |
| 16 | 80 A | 61 A | |
| 25 | 131 A | 84 A | Single conductor |
| 35 | 137 A | 105 A | |
| 50 | 167 A | 128 A | |
| 70 | 216 A | 166 A | |
| 95 | 264 A | 203 A | |
| 120 | 308 A | 237 A | |
| 150 | 356 A | 274 A | |
| 185 | 409 A | 315 A | |
| EV Fleet Size | Cf = 1 | Current Calculation | Feeder [Cu] | ||
| Cf1 | Maximum Current | Per Phase | |||
| n = 1 | 16 A | 1 1 | 14.4 | 16 2 | 2.5 |
| 2 | 32 A | 0.78 | 25.1 | 16 2 | 2.5 |
| 5 | 80 A | 0.65 | 52.1 | 17.37 | 2.5 |
| 10 | 160 A | 0.57 | 90.5 | 30.17 | 4 |
| 15 | 240 A | 0.52 | 125.0 | 41.7 | 6 |
| 20 | 320 A | 0.49 | 157.2 | 52.4 | 10 |
| 25 | 400 A | 0.47 | 187.8 | 62.6 | 16 |
| 30 | 480 A | 0.45 | 217.1 | 72.37 | 16 |
| 40 | 640 A | 0.43 | 273.1 | 91.03 | 25 |
| 50 | 800 A | 0.41 | 326.2 | 108.73 | 25 |
| 60 | 960 A | 0.39 | 377.3 | 125.76 | 25 |
| 70 | 1120 A | 0.38 | 426.6 | 142.2 | 50 |
| EV Fleet Size | Cf = 1 | Current Calculation | Feeder [Cu] | ||
| Cf2 | Maximum Current | Per Phase | |||
| n = 1 | 16 A | 1 1 | 10.5 | 16 2 | 2.5 |
| 2 | 32 A | 0.56 | 17.9 | 16 2 | 2.5 |
| 5 | 80 A | 0.46 | 36.5 | 16 2 | 2.5 |
| 10 | 160 A | 0.39 | 62.5 | 20.83 | 2.5 |
| 15 | 240 A | 0.36 | 85.6 | 28.53 | 4 |
| 20 | 320 A | 0.33 | 107.0 | 35.67 | 6 |
| 25 | 400 A | 0.32 | 127.2 | 42.40 | 6 |
| 30 | 480 A | 0.31 | 146.6 | 48.87 | 10 |
| 40 | 640 A | 0.29 | 183.2 | 61.07 | 16 |
| 50 | 800 A | 0.27 | 217.9 | 72.63 | 16 |
| 60 | 960 A | 0.26 | 251.0 | 83.67 | 25 |
| 70 | 1120 A | 0.25 | 282.9 | 94.30 | 25 |
| In—Stipulated Current | I2—Triggering Current | Protects up to Section 1 [Cu] |
|---|---|---|
| 10 A | 14 A | All |
| 16 A | 23 A | All |
| 20 A | 29 A | >2.5 mm2 |
| 25 A | 36 A | >4 mm2 |
| 32 A | 46 A | >6 mm2 |
| 40 A | 58 A | >10 mm2 |
| 50 A | 72 A | >16 mm2 |
| 63 A | 91 A | >25 mm2 |
| 80 A | 116 A | >25 mm2 |
| 100 A | 145 A | >50 mm2 |
| 125 A | 181 A | >70 mm2 |
| EV Fleet Size | Cf = 1 | Current Calculation | Circuit Breaker | |||
|---|---|---|---|---|---|---|
| Cf | Maximum Current | Per Phase—IB | ||||
| Cf1 | n = 1 | 16 A | 1 1 | 14.4 | 16 2 | 20 |
| 2 | 32 A | 0.78 | 25.1 | 16 2 | 20 | |
| 5 | 80 A | 0.65 | 52.1 | 17.37 | 20 | |
| 10 | 160 A | 0.57 | 90.5 | 30.17 | 32 | |
| 15 | 240 A | 0.52 | 125.0 | 41.7 | 50 | |
| 20 | 320 A | 0.49 | 157.2 | 52.4 | 63 | |
| 25 | 400 A | 0.47 | 187.8 | 62.6 | 63 3 | |
| 30 | 480 A | 0.45 | 217.1 | 72.37 | 80 | |
| 40 | 640 A | 0.43 | 273.1 | 91.03 | 100 | |
| 50 | 800 A | 0.41 | 326.2 | 108.73 | 125 | |
| 60 | 960 A | 0.39 | 377.3 | 125.76 | - | |
| 70 | 1120 A | 0.38 | 426.6 | 142.2 | - | |
| Cf2 | n = 1 | 16 A | 1 1 | 10.5 | 16 2 | 20 |
| 2 | 32 A | 0.56 | 17.9 | 16 2 | 20 | |
| 5 | 80 A | 0.46 | 36.5 | 16 2 | 20 | |
| 10 | 160 A | 0.39 | 62.5 | 20.83 | 25 | |
| 15 | 240 A | 0.36 | 85.6 | 28.53 | 32 | |
| 20 | 320 A | 0.33 | 107.0 | 35.67 | 40 | |
| 25 | 400 A | 0.32 | 127.2 | 42.40 | 50 | |
| 30 | 480 A | 0.31 | 146.6 | 48.87 | 50 | |
| 40 | 640 A | 0.29 | 183.2 | 61.07 | 63 | |
| 50 | 800 A | 0.27 | 217.9 | 72.63 | 80 | |
| 60 | 960 A | 0.26 | 251.0 | 83.67 | 100 | |
| 70 | 1120 A | 0.25 | 282.9 | 94.30 | 100 | |
| N | Cf1 | In [A] | Feeder [mm2] | Iz [A] | Section Increment |
|---|---|---|---|---|---|
| 1 | 1 1 | 20 | 2.5 1 or 4 | 25 | 0 |
| 2 | 0.78 | 25 | 0 | ||
| 5 | 0.65 | 25 | 0 | ||
| 10 | 0.57 | 32 | 4 | 34 | 0 |
| 15 | 0.52 | 50 | 10 | 60 | +1 |
| 20 | 0.49 | 63 | 16 | 80 | +1 |
| 25 | 0.47 | 80 | 0 | ||
| 30 | 0.45 | 80 | 80 | 0 | |
| 40 | 0.43 | 100 | 25 | 131 | 0 |
| 50 | 0.41 | 125 | 131 | 0 | |
| 60 | 0.39 | 160 2 | 70 | 167 | +2 |
| 70 | 0.38 | 167 | +1 |
| Charging Start Probability [%] | Charging Duration [h] | |||||||
|---|---|---|---|---|---|---|---|---|
| Hour | λ | Maximum | Minimum | λ | Maximum | Minimum | ||
| Spring | weekday | 00–04 | 2.08 | 7.69 | 0 | 2.34 | 14.3 | 0 |
| 04–08 | 2.47 | 7.69 | 0 | 2.98 | 105.74 | 0 | ||
| 08–12 | 2.43 | 14.29 | 0 | 2.71 | 29.87 | 0 | ||
| 12–16 | 2.04 | 30.77 | 0 | 2.33 | 44.7 | 0 | ||
| 16–20 | 1.62 | 38.46 | 0 | 2.01 | 69.94 | 0 | ||
| 20–24 | 1.37 | 23.08 | 0 | 2.02 | 61.46 | 0 | ||
| Fleet Size | Baseline Uniform | Baseline Exponential | Cf2 (Lower Bound) | Cf3 (Higher Bound) |
|---|---|---|---|---|
| 1 | 1.00 | 1 | 1 | 1 |
| 2 | 0.89 | 0.94 | 0.560 | 1 |
| 5 | 0.75 | 0.83 | 0.456 | 0.975 |
| 10 | 0.63 | 0.73 | 0.391 | 0.907 |
| 20 | 0.56 | 0.66 | 0.334 | 0.844 |
| 30 | 0.53 | 0.63 | 0.305 | 0.809 |
| 40 | 0.51 | 0.61 | 0.286 | 0.785 |
| 50 | 0.49 | 0.60 | 0.272 | 0.767 |
| 60 | 0.48 | 0.59 | 0.261 | 0.753 |
| 70 | 0.48 | 0.58 | 0.253 | 0.741 |
Disclaimer/Publisher’s Note: The statements, opinions and data contained in all publications are solely those of the individual author(s) and contributor(s) and not of MDPI and/or the editor(s). MDPI and/or the editor(s) disclaim responsibility for any injury to people or property resulting from any ideas, methods, instructions or products referred to in the content. |
© 2025 by the authors. Licensee MDPI, Basel, Switzerland. This article is an open access article distributed under the terms and conditions of the Creative Commons Attribution (CC BY) license (https://creativecommons.org/licenses/by/4.0/).
Share and Cite
Carvalhosa, S.; Ferreira, J.R.; Araújo, R.E. Fuzzy Logic Estimation of Coincidence Factors for EV Fleet Charging Infrastructure Planning in Residential Buildings. Energies 2025, 18, 4679. https://doi.org/10.3390/en18174679
Carvalhosa S, Ferreira JR, Araújo RE. Fuzzy Logic Estimation of Coincidence Factors for EV Fleet Charging Infrastructure Planning in Residential Buildings. Energies. 2025; 18(17):4679. https://doi.org/10.3390/en18174679
Chicago/Turabian StyleCarvalhosa, Salvador, José Rui Ferreira, and Rui Esteves Araújo. 2025. "Fuzzy Logic Estimation of Coincidence Factors for EV Fleet Charging Infrastructure Planning in Residential Buildings" Energies 18, no. 17: 4679. https://doi.org/10.3390/en18174679
APA StyleCarvalhosa, S., Ferreira, J. R., & Araújo, R. E. (2025). Fuzzy Logic Estimation of Coincidence Factors for EV Fleet Charging Infrastructure Planning in Residential Buildings. Energies, 18(17), 4679. https://doi.org/10.3390/en18174679

