Performance Analysis of a Novel Hybrid Ejector Refrigeration System Driven by Medium- to High-Temperature Industrial Waste Heat
Abstract
1. Introduction
2. Materials and Methods
2.1. System Description
2.1.1. Conventional Single-Stage ERS
2.1.2. Proposed NHERS
- Generator Exergy Transfer: The liquid refrigerant from the condenser (state point 1) is pressurized by the refrigerant pump (state point 2) and heated by medium-pressure steam in the generator, where it vaporizes into superheated vapor (state point 3);
- Primary Ejector Mixing: The superheated refrigerant vapor from the generator serves as the primary fluid for the primary ejector, which entrains the refrigerant from the secondary ejector outlet (state point 8). The two streams are mixed within the primary ejector;
- Secondary Ejector Mixing: The refrigerant from the primary ejector (state point 4) acts as the primary fluid for the secondary ejector, entraining the low-pressure refrigerant vapor from the evaporator (state point 7) and the two streams mixing again within the secondary ejector;
- Split of the Mixed Fluid: The refrigerant vapor from the secondary ejector (state point 5) splits into two streams: one stream returns to the primary ejector as secondary fluid, while the other steam enters the condenser, where it is condensed into liquid refrigerant (state point 1) by cooling water;
- Split of Liquid Refrigerant from Condenser: The liquid refrigerant from the condenser is also divided into two streams: one stream flows through the expansion valve to the evaporator, taking heat away from chilled water (state point 6), and the other stream is pressurized by the pump and fed to the generator (state point 2). This completes the refrigeration cycle.
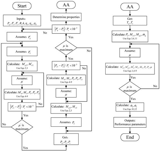
2.2. Thermodynamic Model
2.2.1. Ejector Model
- The fluids in the ejector are all saturated gases. The gas flow process is adiabatic and isentropic, and the initial velocities of the primary fluid and the secondary fluid are neglected;
- The refrigerant vapor in the ejector is regarded as an ideal gas, and the adiabatic expansion index can vary;
- Frictional losses within the ejector are defined by the nozzle efficiency , mixing efficiency , and diffuser efficiency . In this paper, the nozzle efficiency, mixing efficiency, and diffuser efficiency are set to 0.85, 0.85, and 0.95, respectively;
- The ejector is one-dimensional, with steady-state flow conditions.
- Entrainment ratio:
- The Mach number of the primary fluid at section 2:
- The Mach number of the secondary fluid at section 2:
- The critical Mach number of the mixture at section 4:
- Relationship between actual Mach number and critical Mach number:
- The Mach number of the hybrid fluid at section 5:
- Pressure rise of the hybrid fluid after the shock wave:
- Pressures in sections 2, 3, and 4 are equal:
- Back pressure of ejector:
2.2.2. Models of Other System Components
- During operation, the system continuously maintains stable and continuous operating conditions;
- The heat losses and superheat in the heat transfer processes of the evaporator, generator, and condenser are neglected, and it is assumed that the fluids at their outlets are all in saturated states;
- The heat and pressure losses of the refrigerant during pipeline flow are neglected.
- Evaporator cooling capacity:
- The heat input to the generator:
- Condenser heat rejection:
- Pump power consumption:
- Expansion Valve Model:
2.2.3. Performance Evaluation Model
- COP of refrigeration cycle systems:
- According to the definition of exergy, the exergy value of a fluid at a certain state point is as follows [12]:where represents the mass flow rate at the desired state point, and “” and “” denote specific enthalpy and specific entropy, respectively. The subscript “0” indicates the reference state point, where the temperature is 303.15 K and the pressure is 101.325 kPa.
- The product exergetic efficiency is defined as the ratio of product exergy to input exergy [27]:
2.3. Model Validation
3. Results and Discussion
3.1. Performance Under Design Conditions
3.2. Performance Under Off-Design Conditions
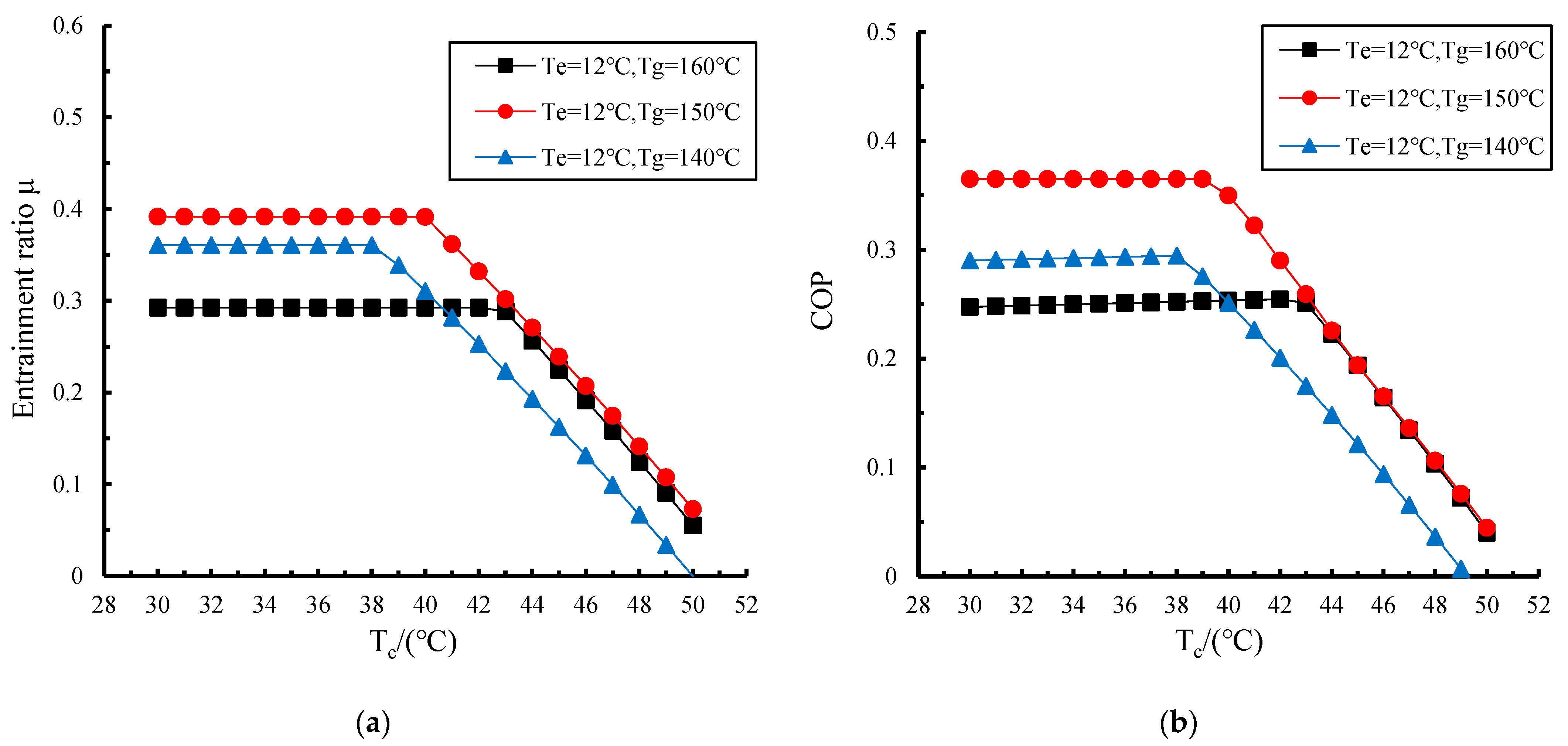
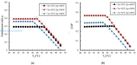
3.2.1. Effects of Condensation Temperature on Performance of Proposed NHERS
3.2.2. Effects of Generation Temperature on Performance of Proposed NHERS
3.2.3. Effects of Evaporation Temperature on Performance of Proposed NHERS
4. Conclusions
- (1)
- Compared to the traditional single-stage ejector system, the proposed NHERS integrates two-stage ejector modules in series. While inheriting the advantages of the traditional ejector refrigeration system, such as simple structure, small size, and low cost, increasing the entrainment ratio of the ejector enables a more rational distribution of available energy, significantly reducing irreversible losses in medium- to high-temperature waste heat utilization and enhancing exergetic efficiency.
- (2)
- Under design conditions, the proposed NHERS demonstrates improved entrainment ratio, COP, and exergetic efficiency to varying degrees. Specifically, the COP can approach 0.35, approximately 1.27 times that of the conventional ERS. Thus, the NHERS would be a better alternative for refrigeration using medium- to high-temperature waste heat steam.
- (3)
- Performance analysis of the proposed NHERS under off-design conditions indicates that system performance remains stable below the critical condensation temperature range, while the entrainment ratio and COP decline sharply beyond this threshold; increasing the generation temperature raises this critical temperature and enhances system robustness; the entrainment ratio and COP first increase and then decrease with rising generation temperature; dynamic regulation can maintain high efficiency when heat source parameters deviate from design conditions; and raising the evaporation temperature significantly improves refrigeration performance, enabling flexible cooling load matching through evaporation temperature adjustment to meet diverse industrial refrigeration demands.
- (4)
- This paper is primarily based on theoretical models and simulation analysis. In the future, we will verify the system performance under actual operating conditions through experiments, deploy industrial-grade experimental equipment in industrial waste heat scenarios, and further promote the transformation from theoretical models to engineering applications. Additionally, further investigations can explore the effects of different refrigerants (including environmentally friendly refrigerants like R1234yf, R245fa, or natural refrigerants) on hybrid systems and optimize ejector geometric parameters to achieve broader industrial adaptability.
Author Contributions
Funding
Data Availability Statement
Acknowledgments
Conflicts of Interest
Nomenclature
| [kJ/kg] | Specific heat capacity at constant pressure | |
| Cv | [kJ/kg] | Specific heat capacity at constant volume |
| Ex | [kJ] | Exergy |
| k | [-] | Adiabatic index |
| h | [kJ/kg] | Specific enthalpy |
| M | [-] | Mach number |
| m | [kg/s] | Mass flow rate |
| p | [kPa] | Pressure |
| Q | [kW] | Heat flow rate |
| T | [K] | Temperature |
| W | [kW] | Power |
| Greek letters | ||
| μ | [-] | Entrainment ratio |
| η | [-] | Efficiency |
| Abbreviations | ||
| ERS | Ejector refrigeration system | |
| NHERS | Novel hybrid ejector refrigeration system | |
| COP | Coefficient of performance | |
| ARS | Absorption refrigeration system |
References
- Liu, B.; Jia, M.; Liu, Y. Estimation of industrial waste heat recovery potential in China: Based on energy consumption. Appl. Therm. Eng. 2024, 236, 121513. [Google Scholar] [CrossRef]
- Brückner, S.; Liu, S.; Miró, L.; Radspieler, M.; Cabeza, L.F.; Lävemann, E. Industrial waste heat recovery technologies: An economic analysis of heat transformation technologies. Appl. Energy 2015, 151, 157–167. [Google Scholar] [CrossRef]
- Rahbari, H.R.; Elmegaard, B.; Bellos, E.; Tzivanidis, C.; Arabkoohsar, A. Thermochemical technologies for industrial waste heat recovery: A comprehensive review. Renew. Sustain. Energy Rev. 2025, 215, 115598. [Google Scholar] [CrossRef]
- Xia, L.; Liu, R.; Zeng, Y.; Zhou, P.; Liu, J.; Cao, X.; Xiang, S. A review of low-temperature heat recovery technologies for industry processes. Chin. J. Chem. Eng. 2019, 27, 2227–2237. [Google Scholar] [CrossRef]
- Chunnanond, K.; Aphornratana, S. Ejectors: Applications in refrigeration technology. Renew. Sustain. Energy Rev. 2004, 27, 2227–2237. [Google Scholar] [CrossRef]
- Xu, A.; Xu, M.; Xie, N.; Liang, J.; Zeng, K.; Kou, G.; Liu, Z.; Yang, S. Performance analysis of a cascade lithium bromide absorption refrigeration/dehumidification process driven by low-grade waste heat for hot summer and cold winter climate area in China. Energy Convers. Manag. 2021, 228, 113664. [Google Scholar] [CrossRef]
- Jaradat, M.; Al-Addous, M.; Albatayneh, A.; Dalala, Z.; Barbana, N. Potential study of solar thermal cooling in sub-mediterranean climate. Appl. Sci. 2020, 10, 2418. [Google Scholar] [CrossRef]
- Zhang, Z.; Feng, X.; Tian, D.; Yang, J.; Chang, L. Progress in ejector-expansion vapor compression refrigeration and heat pump systems. Energy Convers. Manag. 2020, 207, 112529. [Google Scholar] [CrossRef]
- Cai, J.; Zhang, F.; Ji, J. Comparative analysis of solar-air dual source heat pump system with different heat source configurations. Renew. Energy 2020, 150, 191–203. [Google Scholar] [CrossRef]
- Liang, Y.; Ye, K.; Zhu, Y.; Lu, J. Thermodynamic analysis of two-stage and dual-temperature ejector refrigeration cycles driven by the waste heat of exhaust gas. Energy 2023, 278, 127862. [Google Scholar] [CrossRef]
- Besagni, G.; Mereu, R.; Inzoli, F. Ejector refrigeration: A comprehensive review. Renew. Sustain. Energy Rev. 2016, 53, 373–407. [Google Scholar] [CrossRef]
- Megdouli, K.; Tashtoush, B.M.; Nahdi, E.; Elakhdar, M.; Mhimid, A.; Kairouani, L. Performance analysis of a combined vapor compression cycle and ejector cycle for refrigeration cogeneration. Int. J. Refrig. 2017, 74, 517–527. [Google Scholar] [CrossRef]
- Tashtoush, B.M.; Moh’d A, A.N.; Khasawneh, M.A. A comprehensive review of ejector design, performance, and applications. Appl. Energy 2019, 240, 138–172. [Google Scholar] [CrossRef]
- Munday, J.T.; Bagster, D.F. A new ejector theory applied to steam jet refrigeration. Ind. Eng. Chem. Process Des. Dev. 1977, 16, 442–449. [Google Scholar] [CrossRef]
- Huang, B.J.; Chang, J.M.; Wang, C.P.; Petrenko, V.A. A 1-D analysis of ejector performance. Int. J. Refrig. 1999, 22, 354–364. [Google Scholar] [CrossRef]
- Zhu, Y.; Jiang, P. Hybrid vapor compression refrigeration system with an integrated ejector cooling cycle. Int. J. Refrig. 2012, 35, 68–78. [Google Scholar] [CrossRef]
- Selvaraju, A.; Mani, A. Experimental investigation on R134a vapour ejector refrigeration system. Int. J. Refrig. 2006, 29, 1160–1166. [Google Scholar] [CrossRef]
- Selvaraju, A.; Mani, A. Analysis of a vapour ejector refrigeration system with environment friendly refrigerants. Int. J. Therm. Sci. 2004, 43, 915–921. [Google Scholar] [CrossRef]
- Ma, X.; Zhang, W.; Omer, S.A.; Riffat, S.B. Experimental investigation of a novel steam ejector refrigerator suitable for solar energy applications. Appl. Therm. Eng. 2010, 30, 1320–1325. [Google Scholar] [CrossRef]
- Anan, B.M.; Kassem, M.A.; Hamed, A. Comparison and performance analysis of single and double-stage in-series ejector refrigeration systems using various refrigerants. Energy Convers. Manag. 2024, 313, 118606. [Google Scholar] [CrossRef]
- Yu, J.; Chen, H.; Ren, Y.; Li, Y. A new ejector refrigeration system with an additional jet pump. Appl. Therm. Eng. 2006, 26, 312–319. [Google Scholar] [CrossRef]
- Dai, Z.; Chen, X.; Chen, Q.; Zhang, X.; Zhang, H. Energy and exergy analysis of a novel two-stage ejector refrigeration cycle using binary zeotropic mixturesres. Int. J. Refrig. 2024, 168, 178–189. [Google Scholar] [CrossRef]
- Megdouli, K.; Tashtoush, B.; Cinnella, P. Application of machine learning to enhance the performance of a two-stage, two-temperature ejector cycle driven by the waste heat of exhaust gas. Energy Convers. Manag. 2024, 302, 118091. [Google Scholar] [CrossRef]
- Bellos, E.; Tzivanidis, C. Optimum design of a solar ejector refrigeration system for various operating scenarios. Energy Convers. Manag. 2017, 154, 11–24. [Google Scholar] [CrossRef]
- Chen, H.; Zhu, J.; Lu, W. Optimized selection of one-and two-stage ejectors under design and off-design conditions. Energy Convers. Manag. 2018, 173, 743–752. [Google Scholar] [CrossRef]
- He, S.; Li, Y.; Wang, R.Z. Progress of mathematical modeling on ejectors. Renew. Sustain. Energy Rev. 2009, 13, 1760–1780. [Google Scholar] [CrossRef]
- Modesto, M.; Nebra, S.A. Exergoeconomic analysis of the power generation system using blast furnace and coke oven gas in a Brazilian steel mill. Appl. Therm. Eng. 2009, 29, 2127–2136. [Google Scholar] [CrossRef]
- Thongtip, T.; Aphornratana, S. An alternative analysis applied to investigate the ejector performance used in R141b jet-pump refrigeration system. Int. J. Refrig. 2015, 53, 20–33. [Google Scholar] [CrossRef]
- Jing, H.; Yuan, Z.; Gao, J.; Chen, W.; Chong, D. Prediction of adjustable steam ejectors performance through Integration of numerical simulation and theoretical model. Appl. Therm. Eng. 2025, 267, 125841. [Google Scholar] [CrossRef]









| Category | Input Exergy | Product Exergy |
|---|---|---|
| ERS | ||
| NHERS |
| Refrigerant | Generation Temperature/°C | Evaporation Temperature/°C | Condensation Temperature/°C |
|---|---|---|---|
| R141b | 90, 100, 110, 120 | 6, 10 | 32 |
| Category | Condensation Temperature/°C | Generation Temperature/°C | Evaporation Temperature/°C |
|---|---|---|---|
| ERS (0.8 MPa) | 40 | 150 | 12 |
| ERS (0.2 MPa) | 40 | 100 | 12 |
| NHERS (0.8 MPa) | 40 | 150 | 12 |
| Category | Input Exergy (kW) | Product Exergy (kW) | Product Exergetic (%) |
|---|---|---|---|
| ERS (0.8 MPa) | 213.4 | 8.1 | 3.8 |
| ERS (0.2 MPa) | 165.7 | 12.2 | 7.4 |
| NHERS (0.8 MPa) | 156.3 | 14.7 | 9.4 |
| Condensation Temperature/°C | Generation Temperature/°C | Evaporation Temperature/°C |
|---|---|---|
| 40 | 130~160 | 8, 12, 16 |
| 35, 40, 45 | 150 | 0~20 |
| 30~50 | 140, 150, 160 | 12 |
Disclaimer/Publisher’s Note: The statements, opinions and data contained in all publications are solely those of the individual author(s) and contributor(s) and not of MDPI and/or the editor(s). MDPI and/or the editor(s) disclaim responsibility for any injury to people or property resulting from any ideas, methods, instructions or products referred to in the content. |
© 2025 by the authors. Licensee MDPI, Basel, Switzerland. This article is an open access article distributed under the terms and conditions of the Creative Commons Attribution (CC BY) license (https://creativecommons.org/licenses/by/4.0/).
Share and Cite
Sun, F.; Ma, C.; Wang, Z. Performance Analysis of a Novel Hybrid Ejector Refrigeration System Driven by Medium- to High-Temperature Industrial Waste Heat. Energies 2025, 18, 2706. https://doi.org/10.3390/en18112706
Sun F, Ma C, Wang Z. Performance Analysis of a Novel Hybrid Ejector Refrigeration System Driven by Medium- to High-Temperature Industrial Waste Heat. Energies. 2025; 18(11):2706. https://doi.org/10.3390/en18112706
Chicago/Turabian StyleSun, Fangtian, Chenyang Ma, and Zhicheng Wang. 2025. "Performance Analysis of a Novel Hybrid Ejector Refrigeration System Driven by Medium- to High-Temperature Industrial Waste Heat" Energies 18, no. 11: 2706. https://doi.org/10.3390/en18112706
APA StyleSun, F., Ma, C., & Wang, Z. (2025). Performance Analysis of a Novel Hybrid Ejector Refrigeration System Driven by Medium- to High-Temperature Industrial Waste Heat. Energies, 18(11), 2706. https://doi.org/10.3390/en18112706
