Optimization Model of Time-of-Use Electricity Pricing Considering Dynamical Time Delay of Demand-Side Response
Abstract
1. Introduction
- (1)
- The load adjustment process is driven by the electricity price, and changes in temperature and moisture that are irrelevant to the cost. The load variation due to these factors overlaps with that caused by the time delay effect, and changes the time delay of the demand-side response.
- (2)
- The existing electricity price elasticity matrix considers the time delay, but is fixed; thus, it cannot show the dynamic time delay of the demand-side response.
- (3)
- The time delay of user response causes dynamic variation in peak–valley load differences and users’ satisfaction, and may be changed by adjusting the time-of-use price, which is a multi-objective optimization problem, and has not been defined.
2. Time-Varying Price Elasticity Matrix and Its Parameter Estimation
2.1. Price Elasticity Matrix
2.2. Time Delay Determined by User Response Stability
2.3. Time-Varying Price Elasticity Matrix
3. Multi-Objective Electricity Pricing Model Considering Dynamic Time Delay Characteristics of Demand-Side Response
3.1. Objective Functions of the Optimization Model
3.2. Constraints of the Optimization Model
4. Solution of Multi-Objective Pricing Model Based on Improved NSGA-II
4.1. Improved NSGA-II Algorithm Design and Multi-Objective Optimization Solution
4.2. Model Development and Solution
- (1)
- Collect historical load data from a provincial power grid in China. Apply sliding window preprocessing to the historical load data to filter out outliers. Use the STL decomposition method to eliminate seasonal fluctuations from the data.
- (2)
- Iteratively determine the user response time delay through analysis. Select load data that exceed the duration of the determined time delay for subsequent analysis.
- (3)
- Fit the time-varying price elasticity matrix using Equation (19) based on the selected load data.
- (4)
- Construct a multi-objective electricity pricing model with the optimization targets of user satisfaction and peak–valley load difference.
- (5)
- Use typical daily load data from the region as inputs and optimize the load curve through the established pricing
- (1)
- Parameter initialization and population generation: Set population size, crossover probability, mutation probability, and maximum evolution generations. Generate the initial population using logistic chaotic mapping.
- (2)
- Objective evaluation and population sorting: Calculate objective function values for all individuals. Perform non-dominated sorting based on these values.
- (3)
- Parent selection: Adopt binary tournament selection strategy, combining non-dominated ranking and crowding distance metrics to select high-quality parents.
- (4)
- Genetic operations: Execute simulated binary crossover to generate offspring and apply mutation operators to diversify the population.
- (5)
- Population merging and selection: Merge parent and offspring populations. Re-perform non-dominated sorting and crowding distance calculation. Select the new generation based on Pareto dominance and diversity metrics.
- (6)
- Termination check: If current iterations are less than maximum generations, return to Step (2); otherwise, output optimization results.
- (7)
- Select the optimal solution: Extract the non-dominated solution set from the final population. Determine the optimal TOU pricing scheme using entropy weight method combined with TOPSIS.
5. Case Analysis
5.1. Load Response to Time-of-Use Price
5.2. Fitting of the Time-Varying Price Elasticity Matrix
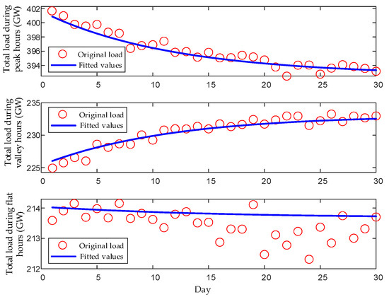
5.3. Optimization Results to Time-of-Use Price
6. Conclusions
- (1)
- The proposed time-varying price elasticity matrix model can effectively describe the dynamic response process of users and better reflect the variation of electricity demand with price changes.
- (2)
- The proposed TOU pricing strategy considering users’ delay response significantly reduces the peak–valley load difference. Without reducing user satisfaction, the peak load is reduced by 4.0%, and the valley load is increased by 9.5%. Compared with conventional TOU pricing methods without considering the time delay, the peak–valley load difference is further reduced by 27.5%. The load change using the proposed pricing strategy is smoother than that using the existing methods and ignoring the time delay.
Author Contributions
Funding
Data Availability Statement
Conflicts of Interest
References
- Li, S.H.; Wang, Z. Suppression of low-frequency oscillations in power systems based on multi-step optimization and constraint boundary adjustment of DFIG-MBSDC parameters. Acta Energiae Solaris Sin. 2025, 46, 530–540. [Google Scholar]
- Yang, S.X.; Nie, T.Q.; Li, C.C. Research on the contribution of regional energy internet emission reduction considering time-of-use tariff. Energy 2022, 239, 122170. [Google Scholar] [CrossRef]
- Li, S.; Liu, W.; Ye, J.; Gong, J. Analysis of Torsional Oscillation Characteristics of Voltage-Control Type Doubly -Fed Induction Generator Based on Decoupled Damping Torque Coefficient. South. Power Syst. Technol. Early Access. Available online: http://kns.cnki.net/kcms/detail/44.1643.TK.20250325.1445.006.html (accessed on 18 April 2025).
- Zeng, Y.; Xu, Y.; Shen, X.; Sun, H. Optimal time-of-use pricing for renewable energy-powered microgrids: A multi-agent evolutionary game theory-based approach. CSEE J. Power Energy Syst. 2024, 10, 162–174. [Google Scholar]
- Wang, B.; Wang, L.; Ma, Y.; Hou, D.; Sun, W.; Li, S. A short-term load forecasting method considering multiple factors based on VAR and CEEMDAN-CNN-BILSTM. Energies 2025, 18, 1855. [Google Scholar] [CrossRef]
- Hou, D.; Wang, L.; Ma, Y.; Lyu, L.; Liu, W.; Li, S. Joint optimal scheduling of power grid and internet data centers considering time-of-use electricity price and adjustable tasks for renewable power integration. Sustainability 2025, 17, 3374. [Google Scholar] [CrossRef]
- Zhong, W.; Dai, Z.; Lin, X.; Pan, G. Study on time-of-use pricing method for steam heating system considering user response characteristics and thermal storage capacity. Energy 2024, 296, 131056. [Google Scholar] [CrossRef]
- Lee, W.; Koo, Y.; Kim, Y. Environmental time-of-use scheme: Strategic leveraging of financial and environmental incentives for greener electric vehicle charging. Energy 2024, 309, 133174. [Google Scholar] [CrossRef]
- Li, S.; Li, Y. Suppression of commutation failure of UHVDC in hierarchical connection mode with synchronous condenser by enhancing post-fault system strength. IEEE Trans. Power Deliv. 2025, 40, 864–877. [Google Scholar] [CrossRef]
- Afzalan, M.; Jazizadeh, F. A machine learning framework to infer time-of-use of flexible loads: Resident behavior learning for demand response. IEEE Access 2020, 8, 111718–111730. [Google Scholar] [CrossRef]
- Haghighat, H.; Wang, W.; Zeng, B. Robust unit commitment with decision-dependent uncertain demand and time-of-use pricing. IEEE Trans. Power Syst. 2024, 39, 2854–2865. [Google Scholar] [CrossRef]
- Liu, J.; Singh, R.; Pal, B.C. Distribution system state estimation with high penetration of demand response enabled loads. IEEE Trans. Power Syst. 2021, 36, 3093–3104. [Google Scholar] [CrossRef]
- Yang, H.; Gao, Y.; Ma, Y.; Zhang, D. Optimal modification of peak-valley period under multiple time-of-use schemes based on dynamic load point method considering reliability. IEEE Trans. Power Syst. 2022, 37, 3889–3901. [Google Scholar] [CrossRef]
- Sasaki, K.; Aki, H.; Ikegami, T. Application of model predictive control to grid flexibility provision by distributed energy resources in residential dwellings under uncertainty. Energy 2022, 239, 122183. [Google Scholar] [CrossRef]
- Liang, B.; Yang, J.; Hou, B.; He, Z. A pricing method for distribution system aggregators considering differentiated load types and price uncertainty. IEEE Trans. Power Syst. 2021, 36, 1973–1983. [Google Scholar] [CrossRef]
- Zhang, Z.; Shi, J.; Yang, W.; Song, Z.; Chen, Z.; Lin, D. Deep reinforcement learning based bi-layer optimal scheduling for microgrids considering flexible load control. CSEE J. Power Energy Syst. 2023, 9, 949–962. [Google Scholar]
- Dou, X.; Zhou, T.; Zhang, T.; Xu, S. Economic optimization dispatching strategy of microgrid for promoting photoelectric consumption considering cogeneration and demand response. J. Mod. Power Syst. Clean Energy 2020, 8, 557–563. [Google Scholar] [CrossRef]
- Wang, Y.; Li, W.; Ming, S.; Wang, S. Deep reinforcement learning method for demand response management of interruptible load. IEEE Trans. Smart Grid 2020, 11, 3146–3155. [Google Scholar] [CrossRef]
- Feng, Y.; Wang, K.; Zheng, Q.; Chen, Q. Smart meter data-driven customizing price design for retailers. IEEE Trans. Smart Grid 2020, 11, 2043–2054. [Google Scholar] [CrossRef]
- Bao, Z.; Hu, Z.; Kammen, D.M.; Su, Y. Data-driven approach for analyzing spatiotemporal price elasticities of EV public charging demands based on conditional random fields. IEEE Trans. Smart Grid 2021, 12, 4363–4376. [Google Scholar] [CrossRef]
- Lee, J.-H.; Park, J.-Y.; Sim, H.-S.; Lee, H.-S. Multi-residential energy scheduling under time-of-use and demand charge tariffs with federated reinforcement learning. IEEE Trans. Smart Grid 2023, 14, 4360–4372. [Google Scholar] [CrossRef]
- Ren, H.; Han, D.; Ren, X.; Liang, X. Multi-objective deep valley electricity pricing model based on time-varying price elasticity matrix. Power Syst. Technol. 2024, 48, 958–969. [Google Scholar]
- Gao, Y.; Lv, M.; Liang, H.; Zhang, J. Power demand price elasticity matrix based on discrete attraction model. Autom. Electr. Power Syst. 2014, 38, 103–107. [Google Scholar]
- Hung, Y.-C.; Michailidis, G. Modeling and optimization of time-of-use electricity pricing systems. IEEE Trans. Smart Grid 2019, 10, 4116–4127. [Google Scholar] [CrossRef]
- Ruan, J.; Liang, G.; Zhao, J.; Lei, S.; He, B.; Qiu, J. Graph deep-learning-based retail dynamic pricing for demand response. IEEE Trans. Smart Grid 2023, 14, 4385–4397. [Google Scholar] [CrossRef]
- Schneider, I.; Roozbehani, M.; Dahleh, M. An online learning framework for targeting demand response customers. IEEE Trans. Smart Grid 2022, 13, 293–301. [Google Scholar] [CrossRef]
- Yao, J.; Liu, J.; Liu, Y.; Yang, X.; Tang, Y. An approach to divide customer price response modes taking comprehensive sensitivity of the time delay index into account. Power Syst. Technol. 2010, 34, 30–36. [Google Scholar]
- Lee, J.T.; Henriquez-Auba, R.; Poolla, B.K.; Callaway, D.S. Pricing and energy trading in peer-to-peer zero marginal-cost microgrids. IEEE Trans. Smart Grid 2022, 13, 702–714. [Google Scholar] [CrossRef]
- Kani, S.A.P.; Wild, P.; Saha, T.K. Improving predictability of renewable generation through optimal battery sizing. IEEE Trans. Sustain. Energy 2020, 11, 37–47. [Google Scholar] [CrossRef]
- Zhou, S.; Zhang, W.; Chen, L.; Xu, M. Robust least squares projection twin SVM and its sparse solution. J. Syst. Eng. Electron. 2023, 34, 827–838. [Google Scholar] [CrossRef]
- Gao, Y.; Ai, Q. Demand-side response strategy of multi-microgrids based on an improved co-evolution algorithm. CSEE J. Power Energy Syst. 2021, 7, 903–910. [Google Scholar]
- Muthirayan, D.; Baeyens, E.; Chakraborty, P.; Poolla, K.; Khargonekar, P.P. A minimal incentive-based demand response program with self reported baseline mechanism. IEEE Trans. Smart Grid 2020, 11, 2195–2207. [Google Scholar] [CrossRef]
- Zhang, G.; Yan, Y.; Zhang, K.; Li, P.; Li, M.; He, Q. Time-of-use pricing model considering wind power uncertainty. CSEE J. Power Energy Syst. 2022, 8, 1039–1047. [Google Scholar]
- Liang, Z.; Bao, M.; Ding, Y.; Hou, Y.; Song, Y. A two-stage framework for exploiting the multi-elasticity of multi-energy demands in integrated electricity and gas markets. IEEE Trans. Power Syst. 2024, 39, 3196–3210. [Google Scholar] [CrossRef]
- Wang, H.Y.; Wang, J.S.; Wang, G. Combination evaluation method of fuzzy C-Mean clustering validity based on hybrid weighted strategy. IEEE Access 2021, 9, 27239–27261. [Google Scholar] [CrossRef]
- Zhong, T.; Zhang, H.-T.; Li, Y.; Liu, L.; Lu, R. Bayesian learning-based multi-objective distribution power network reconfiguration. IEEE Trans. Smart Grid 2021, 12, 1174–1184. [Google Scholar] [CrossRef]
- Yang, H.; Wang, L.; Ma, Y. Optimal Time of Use Electricity Pricing Model and Its Application to Electrical Distribution System. IEEE Access 2019, 7, 123558–123568. [Google Scholar] [CrossRef]
- Besançon, M.; Anjos, M.F.; Brotcorne, L.; Gómez-Herrera, J.A. A bilevel approach for optimal price-setting of time-and-level-of-use tariffs. IEEE Trans. Smart Grid 2020, 11, 5462–5465. [Google Scholar] [CrossRef]







| Peak Period | Flat Period | Valley Period | |
|---|---|---|---|
| Peak period | 0.130 × e−0.104t − 0.206 | −0.027 × e−0.0721t + 0.0509 | −0.012 × e−0.063t + 0.036 |
| Flat period | −0.027 × e−0.072t + 0.051 | 0.123 × e−0.116t − 0.195 | −0.024 × e−0.099t + 0.048 |
| Valley period | −0.012 × e−0.063t + 0.036 | −0.024 × e−0.099t + 0.048 | 0.099 × e−0.090t − 0.199 |
| Period | Initial Price/(CNY·(kW·h)−1) | Price Range/(CNY·(kW·h)−1) |
|---|---|---|
| Peak period | 0.8 | 0.8–1.2 |
| Flat period | 0.5 | 0.3–0.75 |
| Valley period | 0.3 | 0.15–0.3 |
| Index | Before Implementation | 7th Day After Implementation | 30th Day After Implementation |
|---|---|---|---|
| Maximum load/(GW) | 38.485 | 37.373 | 36.927 |
| Minimum load/(GW) | 30.078 | 32.171 | 32.931 |
| Peak–valley difference/(GW) | 8.407 | 5.203 | 3.395 |
| Load fluctuation rate | 8.1% | 4.3% | 3.1% |
| Satisfaction indicator on electricity cost expenditure | 1 | 0.965 | 0.950 |
| Satisfaction indicator on electricity consumption patterns | 1 | 0.995 | 1.005 |
Disclaimer/Publisher’s Note: The statements, opinions and data contained in all publications are solely those of the individual author(s) and contributor(s) and not of MDPI and/or the editor(s). MDPI and/or the editor(s) disclaim responsibility for any injury to people or property resulting from any ideas, methods, instructions or products referred to in the content. |
© 2025 by the authors. Licensee MDPI, Basel, Switzerland. This article is an open access article distributed under the terms and conditions of the Creative Commons Attribution (CC BY) license (https://creativecommons.org/licenses/by/4.0/).
Share and Cite
Ma, Y.; Wang, P.; Hou, D.; Yu, Y.; Li, S.; Gao, T. Optimization Model of Time-of-Use Electricity Pricing Considering Dynamical Time Delay of Demand-Side Response. Energies 2025, 18, 2637. https://doi.org/10.3390/en18102637
Ma Y, Wang P, Hou D, Yu Y, Li S, Gao T. Optimization Model of Time-of-Use Electricity Pricing Considering Dynamical Time Delay of Demand-Side Response. Energies. 2025; 18(10):2637. https://doi.org/10.3390/en18102637
Chicago/Turabian StyleMa, Yanru, Pingping Wang, Dengshan Hou, Yue Yu, Shenghu Li, and Tao Gao. 2025. "Optimization Model of Time-of-Use Electricity Pricing Considering Dynamical Time Delay of Demand-Side Response" Energies 18, no. 10: 2637. https://doi.org/10.3390/en18102637
APA StyleMa, Y., Wang, P., Hou, D., Yu, Y., Li, S., & Gao, T. (2025). Optimization Model of Time-of-Use Electricity Pricing Considering Dynamical Time Delay of Demand-Side Response. Energies, 18(10), 2637. https://doi.org/10.3390/en18102637
