Abstract
The electrification of energy systems is essential for carbon reduction and sustainable energy goals. However, current network asset ratings and the poor thermal efficiency of older buildings pose significant challenges. This study evaluates the impact of heat pump and electric vehicle (EV) penetration on a UK residential distribution network, considering the highest coincident electricity demand and worst weather conditions recorded over the past decade. The power flow calculation, based on Python, is performed using the pandapower library, leveraging the actual distribution network structure of the Hillingdon area by incorporating recent smart meter data from a distribution system operator alongside historical weather data from the past decade. Based on the outcome of power flow calculation, the transformer loadings and voltage levels were assessed for existing and projected heat pump and EV adoption rates, in line with national policy targets. Findings highlight that varied consumer density and diverse usage patterns significantly influence upgrade requirements.
1. Introduction
The rapid evolution of electric vehicle (EV) charging technologies and grid integration is marked by advancements in smart chargers, distributed control, and grid services. Sevdari et al. highlighted significant progress in phase switching and autonomous control, improving grid reliability and functionality [1,2].
While heat pumps effectively reduce emissions, their economic viability relies on lower operational costs and strategic grid integration [3]. Seasonal and geographic factors heavily influence grid reinforcement needs due to peak winter demands correlated with population density [4]. Extreme weather conditions, like freezing temperatures, add complexity due to additional defrosting energy demands on heat pumps [5,6]. Studies by Sharma et al. (2021) and Thorve et al. (2023) underscore the need for assessing heat pump impacts on grids during severe weather [7,8].
Increased heat pump usage significantly impacts electricity demand, especially during peak times, necessitating infrastructure adaptations in the UK [9,10].
EVs are critical to the UK’s 2050 net-zero target, with goals including 300,000 public chargers by 2030 and full adoption of zero-emission vehicle sales by 2035 [11,12]. This electrification aims to significantly reduce fossil fuel dependency and emissions [13]. Public acceptance and accessible charging infrastructure strongly influence EV adoption rates, thus aiding the UK’s emission goals [14]. Integrating EV and heat pump technologies requires a unified energy strategy for sustainability and grid stability.
Consumer behaviour uncertainties pose challenges to local grids, prompting Nazari-Heris et al. (2022) to recommend EV aggregators for better market participation [15]. Deterministic, stochastic, and hybrid methods evaluate grid capacities, with studies emphasizing smart charging and vehicle-to-grid (V2G) technologies to mitigate stress [16,17].
Thormann and Kienberger (2020) analysed potential grid congestion through static load assessments, recommending comprehensive data for effective planning [18]. Barbosa et al. (2020) identified undervoltage as the primary limitation for LV grid hosting through extensive Monte Carlo simulations [19]. Silva et al. (2021) and Fachrizal et al. (2021) suggested coordinated EV charging and smart management to improve hosting capacities and manage peak demands effectively [20,21].
Sandström et al. (2023) and Prasad et al. (2024) proposed controlled charging strategies and innovative optimization methods to increase hosting capacities and grid flexibility, despite practical challenges [22,23]. Khalid (2024) highlighted necessary systematic upgrades to integrate renewable energies and manage increased load from EVs and heat pumps [24,25]. Capper et al. (2024) suggested leveraging flexibility to delay network investments strategically, enhancing operational and financial efficiency [26].
Using four real-world Dutch low-voltage (LV) feeders, the bottom-up physical-simulation study conducted by Damianakis et al. (2023) embedded detailed HP, EV-charger, and PV models and ran hourly power-flow analyses for each season, reporting overload and voltage-deviation metrics; a parallel top-down run with national aggregates was used to expose scale bias [27]. Becker et al. (2025) applied a data-driven probabilistic sampling technique, namely, Monte-Carlo design draws 42 089 quarter-hour smart-meter profiles in order to create synthetic feeders of 10–250 connections, thereby enabling the authors to estimate the feeder-size dependence of the marginal peak-load contribution of extra heat pumps or electric vehicles [28]. Real-world load statistics were coupled with Monte-Carlo power-flow by Lama et al. (2024) to derive empirical probability distributions for EV behaviour and heat pumps/no heat pumps households, these profiles were sampled 1 000 times and OpenDSS load-flows were solved on a mapped Mid-Western primary–secondary feeder to count transformer-overload hours over the four seasons [29]. Combining laboratory charger experiments with dynamic feeder modelling, Steffen et al. (2024) investigated Germany’s new 4.2 kW curtailment rule, embedding efficiency look-up curves for two BEVs in a rural LV system, and quantified how curtailment increases annual energy consumption and reactive-power draw [30]. Using eight archetype buildings in six climate zones, validated on 2020 weather, Zhang et al. (2022) constructed a hybrid building-physics/energy-system model for the UK at national scale to project hourly heat demand and the generating/storage capacity required under “high-warming” versus “no-warming” scenarios [4]. In addition, Arboleya et al. (2021) proposed a narrative regulatory evaluation of LV-flexibility markets, listing technological characteristics and ICT constraints for distributed resources like HPs and EVs [31].
Nonetheless, the recent studies infrequently account for the worst-case scenario with the simultaneous occurrence of peak domestic base load needs, electrification load, and severe weather conditions that could potentially increase additional energy demand. This gap undermines the dependability of current peak-capacity estimates for planning transformers, cables, and flexibility schemes, highlighting an urgent need for study to effectively accommodate electrification in alignment with national net-zero targets.
The proposed study assesses the capacity of Hillingdon’s 11 kV and 0.4 kV residential networks to accommodate current and future EV and heat pump adoption aligned with UK 2035 electrification targets. It evaluates potential voltage violations and transformer loading, considering historical peak loads and lowest temperatures to prepare for rare, severe conditions, guiding effective short-term strategies and long-term decarbonisation policies with the objective to measure the readiness of currently operated distribution network assets for decarbonisation plan implementation and inform the policymakers, government, energy planners, and respective stakeholders
According to census data from the Office for National Statistics (2021), Hillingdon borough, in West London, has a higher incidence of households with four to five occupants compared to most other London areas, as well as a larger number of infants and similar numbers of elder residents as in the other regions, suggesting potentially higher energy consumption [32]. Further, the borough has a weaker public transport system compared to inner London boroughs, and residents rely more heavily on private vehicles, with car ownership in Hillingdon being the highest among all London boroughs [33]. This group’s characteristics make the area a suitable test case. The investigation aims to technically advise distribution system operators and policymakers in future-proofing the infrastructure in expectation that more vehicles will become electric in this area. This component is prioritised to ensure the network’s readiness for future energy needs and to achieve net-zero electrification.
The suggested research advances the area in four different directions:
- Quartile-resolved base benchmark: Across all recognised day types (working weekday, Saturday, Sunday/holiday), voltage violations and domestic transformer loadings for the lower quartile, median, upper quartile, and absolute maximum of domestic-only demand are calculated. This gives system designers not only a single “typical” or “extreme” week but also a complete statistical envelope.
- Policy-linked horizon scanning: By providing a statistically rigorous yet visually appealing picture of the whole voltage and domestic transformer loading landscape, the analysis thoroughly analyses the end-user network assets such as electrical buses and transforms the future scenario of 2035 national penetration target for heat pumps and EVs, so translating high-level policy ambitions into concrete LV-grid reinforcement metrics fifteen years ahead of schedule—something neither feeder-scale studies nor national projections have attempted in tandem.
This study aims to help practitioners understand the deterministic worst-case impacts of heating and mobility electrification and statutory adoption targets as well as the probabilistic dispersion of daily operation. However, it can expose some proportion of potential bias as the consumer behaviour on domestic load consumption is based on a 1 year period due to the constraints in data availability for domestic load. In any case, the analysis on electrification loads such as heat pumps and electric vehicle covers both current and future scenarios, and those electrified loads more significantly influence on the distribution network loading. The study presupposes a 100% coincidence between the lowest recorded ambient temperatures and maximum domestic electricity consumption over the past 10 years of historical meteorological data in order to account for extreme and unpredictable conditions. The aim is to assist policymakers in the reevaluation of short-term strategies and the development of long-term decarbonisation objectives. Although the simultaneous occurrence of all worst-case scenarios is improbable on a daily basis, it is impossible to effectively manage unforeseen circumstances without taking severe conditions into account in advance.
2. Data Preparation
In order to support the analysis, the preparation and processing were carried out for electricity consumption profile, day type data (working day or holiday), seasonal data (winter, spring, summer, autumn), power network data, and weather data (ambient temperature profile).
The main data source used for this analysis was sourced from residential electricity consumption data collected through the open data portal of the Scottish Southern Electricity Network (SSEN) [34] which was launched on 12 February 2024. In order to assist the analysis of consumption patterns based on seasons, the data are divided into specific time period from February 2024 to January 2025 based on the availability. The seasonal data are classified into four main groups: winter (December, January, February), spring (March, April, May), summer (June, July, August) and autumn (September, October, November).
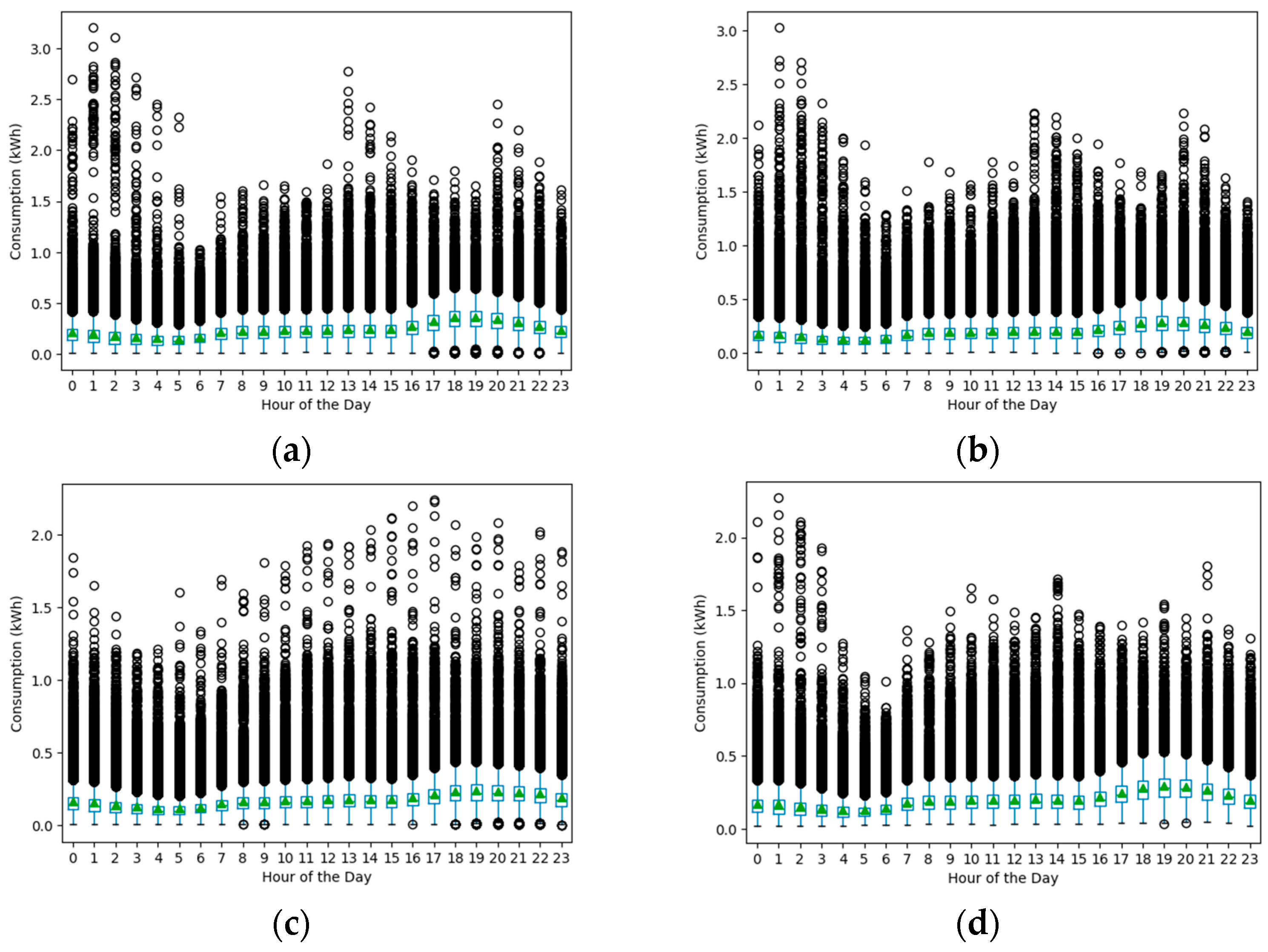
This study identifies two main classifications for types of days: working days (normally Monday to Friday excluding bank holidays) and holidays (Saturday, Sunday, and bank holidays). The distribution of domestic load consumption in each time of day (half-hourly step) based on different seasons and day types is as depicted in Figure 1 and Figure 2.
Figure 1.
Single consumer’s half-hourly domestic load consumption distribution during working day of (a) winter, (b) spring, (c) summer, and (d) autumn in all LV buses.
Figure 2.
Single consumer’s half-hourly domestic load consumption distribution during holidays of (a) winter, (b) spring, (c) summer, and (d) autumn in all LV buses.
As illustrated by the box plots, a large number of outliers were found above the quantile boxes for all types of day in all of the different seasons. The box plot is accountable for visualising a summary of the data’s distribution, highlighting the median, quartiles (Q1, Q3), and any potential outliers. The green arrows in each of the boxes show the point of mean consumption data at each data point.
The majority of consumption values are confined below 0.5 kWh on average in all day types and seasons, as shown in Figure 3 and Figure 4, following an analysis of the distribution of consumption values. In general, the greatest concentration of consumption values is higher during working days than during holidays. In comparison to the other seasons and days, the data distribution is examined to ensure that it is more equitable during the autumn holiday and working day.
Figure 3.
Histogram showing distribution of different consumption values during working days of (a) winter, (b) spring, (c) summer, and (d) autumn.
Figure 4.
Histogram showing distribution of different consumption values during holidays of (a) winter, (b) spring, (c) summer, and (d) autumn.
Figure 5 demonstrates a substantial frequency of consumption values exceeding the upper quartile.
Figure 5.
Frequency of the occurrence of consumption values above their upper quartile range.
Despite the existence of large quantities of consumption values that lie below 1, the box plot shows a considerable number of points above the upper quartile of consumption values. This apparent discrepancy arises from the data’s right-skewed nature as evidenced by the high skewness value around 2.5 and above. A right-skewed distribution often compresses the bulk of the data into a relatively narrow range (creating the steep peak), but still a significant subset of the high values extends the tail.
3. Methodology
The key steps of calculation, simulation, and analysis in this study are summarised in Figure 6. The voltage profile and loadings of domestic transformers were analysed, focusing solely on domestic loads prior to the integration of heat pumps and electric vehicles. This analysis was conducted for both weekdays and weekends across all four seasons, with the resulting bus voltages and transformer loadings summarised by their lower quartile, median, upper quartile, and absolute maximum values. This statistical framework delineates the standard operational range for evaluating the effects of electricity.
Figure 6.
Process of technical analysis.
Secondly, the analysis was repeated during the hour of peak home demand, incorporating the existing penetration levels of heat pumps and electric vehicles. By aligning the domestic peak with today’s supplementary electrified loads, this action exposes the current assets’ capability of hosting electrified loads in each LV bus and its associated transformer.
The analysis assessed bus voltage profiles and transformer loadings to evaluate the technical readiness of existing distribution network assets for the projected integration of heat pumps and electric vehicles in accordance with the 2035 scenario, aimed at achieving national targets. The three stages collectively convert basic load-growth assumptions into a distinct, comparative representation of network performance from the present until 2035.
3.1. Electric Vehicle Consumption Estimation
The electric vehicle (EV) profile for this study was based on Low Carbon London data about the trials of electric vehicle consumption in [35]. In this study, the Type II charger 7 kW EV charger is considered because of its higher power demand compared to the Type I charger. The nominal profile is reconstructed based on the probability density values of EV consumption in per-unit values at each of the 24 h with 0.5 h step as depicted in Figure 7. The detail procedure of EV profile construction is according to Algorithm 1 and the constructed nominal consumption profile for the electric vehicle is as depicted in Figure 8.
| Algorithm 1. Procedure of EV profile consumption. | |||
| Procedure Construction_of_Electric_Vehicle_Profile() | |||
| For each hour i from 0 to 23 do | |||
| PD_sum = 0 | |||
| For each EV consumption value c in per-unit do | |||
| -Calculate Probability Density (PD) for EV consumption value at hour i | |||
| -Add PD value to get PD_sum | |||
| End For | |||
| For each EV consumption value c in per-unit do | |||
| -Divide PD value of each EV consumption value c by PD_sum and get PD_c/PD_sum | |||
| -Multiply PD_c/PD_sum by respective consumption value | |||
| End For -Sum all multiplication results and get the nominal EV consumption value at hour i | |||
| End For | |||
| End Procedure | |||
Figure 7.
Nominal EV consumption profile during (a) working days and (b) holidays of all seasons with 7 kW base value.
Figure 8.
Lowest temperature profiles in all four seasons [36].
During working days, the highest consumption of electric vehicle chargers occurred during the evening peak while the consumption is generally the lowest in the early morning between around 1:30 AM and 5:30 AM according to Figure 7a. However, the EV consumption profile follows the most similar pattern within a narrow range during holidays of all four seasons as depicted in Figure 7b. In any case, the summer days show the highest EV charging consumption in both day types.
3.2. Heat Pump Consumption Calculation
Rather than referring to a consumption profile, the heat pump consumption data are calculated based on a 24 h temperature profile based on Open-Meteo data [36]. To cover the worst-case scenario, the lowest temperatures at each time of day in each season from historical temperature (covering January 2015 to December 2024) from Open-Meteo data are extracted to be used as input to the heat pump power consumption calculation. The lowest temperature profiles of all four seasons are as depicted in Figure 8.
The specification data pertaining to the buildings encompass thermal transmittance (U-values) as well as the surface areas of the walls, roof, floor, and windows. These data are derived from [37]. Upon the categorization of building dispersion across various age bands, 31% of the buildings fall within Band A,B, indicating the lower energy efficiency, 54% fall within Band C,D, suggesting a moderate level of efficiency while 15% fall within Band E,F [38]. It is worth noting that a substantial majority, roughly 98%, of the structures incorporate double-glazed windows, thus augmenting the reduction in thermal loss via window panes.
This study aims to evaluate the power network by calculating the electricity consumption of heat pumps based on heat loss across buildings in the whole area, rather than focusing on the individual building measurements and the average heat energy loss (wall, roof, floor, windows of residential buildings at the focused area) per °C is roughly around 400 W/K based on the surface areas and building material types. Hot water consumption is also a significant impact on heating load and the initial water temperature is taken as 5 °C. The calculation of heat and electricity consumption for heat pumps are according to Equations (1)–(3).
where
- = total expected heat loss from building
- = U value of floor of building
- = U value of floor of roof
- = U value of wall of building
- = U value of window
- = typical floor area of building
- = typical roof area of building
- = total wall area of building
- = heat loss due to ventilation
- = air change rate per hour
- = volume of building
- = difference between set and outdoor temperature
- = heat demand per temperature difference
- = coefficient of performance of heat pump
The coefficient of performance can be calculated according to Equation (4).
where
- = coefficient of performance of heat pump
- = thermostat setting temperature in Kelvin (hot side)
- = ambient temperature in Kelvin (cold side)
According to the recommendation of Public Health England, the major health risks for building occupants can be avoided if room temperatures are sustained within the range from 18 °C to 24 °C [39], while British Gas state that room temperature at or above 24 °C increases the risk of strokes or heart attack [40].
In order to estimate the maximal consumption of heat pump without violating the recommended limit in [39,40], the original setting temperature for space heating of heat is assumed as 23 °C. Then, the electricity consumption of space heating is calculated according to Equation (5). Defrosting has a negative impact on heat pump efficiency during cold days, as additional energy has to be consumed for it to maintain proper operation [41]. In addition to this, the installed heat exchanger configuration can also impact the heat pump efficiency [42]. Thus, the possible decline in efficiency drops was also considered in calculating heat pump electricity consumption based on the previous studies.
where
- = coefficient of performance of heat pump
- = thermostat setting temperature in Kelvin (hot side)
- = ambient temperature in Kelvin (cold side)
- = defrosting efficiency = 0.6 [41]
- = compressor efficiency = 0.7 [43]
- = heat exchanger efficiency = 0.5 [42]
- = occupancy at home (in Figure 9, averaged according to [44])
Figure 9. Average occupancy rate at home in both working day and holiday (averaging the scenarios of being not at home, at home sleeping, and at home not sleeping during the night in [38]). - = electrical power consumption of space heating
For domestic hot water (DHW), the hourly consumed litters for dwellings available at [45] and the DHW usage of households which have the same number of occupants with the ones in the case study are selected and are averaged in Figure 9, and the heat pump consumption for DHW and total electricity consumption for heat pump are mathematically expressed in Equations (6) and (7), respectively.
where
- = electricity consumption of domestic water heating
- = electrical power consumption of heat pump
- = set temperature − initial water temperature
- = specific heat capacity of water = 4.18 kJ/kg·K
The bus demand at a particular bus for power flow calculation is described in Equation (8). In terms of domestic load, each of the profiles from Figure 2 and Figure 3 respective to the respective bus are then multiplied by the total number of consumers connected to that bus. For the heat pump, the lowest temperature profile of the respective season is input to calculate the heat pump’s demand which is multiplied with the number of consumers at each of the buses to obtain the total consumption of heat pump at that particular bus. Similarly, the normalised electric vehicle consumption in pu (Figure 7) is multiplied by the base value (7 kW) and the total number of consumers at the respective bus.
where
- = electric vehicle consumption = 7 kW × total consumers × EV consumption in pu (Figure 7)
- = total consumers × Heat Pump energy consumption (Equation (7))
3.3. Power Flow Analysis
The base power network for this study is the 11 kV circuit of Hillingdon substation (33/11 kV, 40 MVA) obtained from Scottish and Southern Energy Networks (SSEN) which can be categorised into 9 main zones (feeders) depicted in Figure 10. Detailed network diagrams can be accessed as described in the Data Access Statement.
Figure 10.
Main incomer part of base power network.
The power flow calculation was conducted by means of Newton–Raphson method using the pandapower python tool in [46]. In terms of reactive power, the SSEN data were used for domestic load but the constant power factor 0.95 was used for heat pump, electric vehicle, and flexible load consumption.
To follow the typical topology of UK distribution networks, the on-load tap changer (OLTC) is installed only at 33/11 kV transformers, while 11/0.433 kV transformers have off-load tap-changers. The specifications for 11 kV bus, 0.4 kV bus, and main transformer’s OLTC are according to Table 1, while the OLTC operation is according to Figure 11.
Table 1.
Specifications for power system analysis.
Figure 11.
Operation of 33/11 kV transformers’ tap-changer in Figure 10.
4. Results
4.1. Base Case Without Heat Pumps and EVs
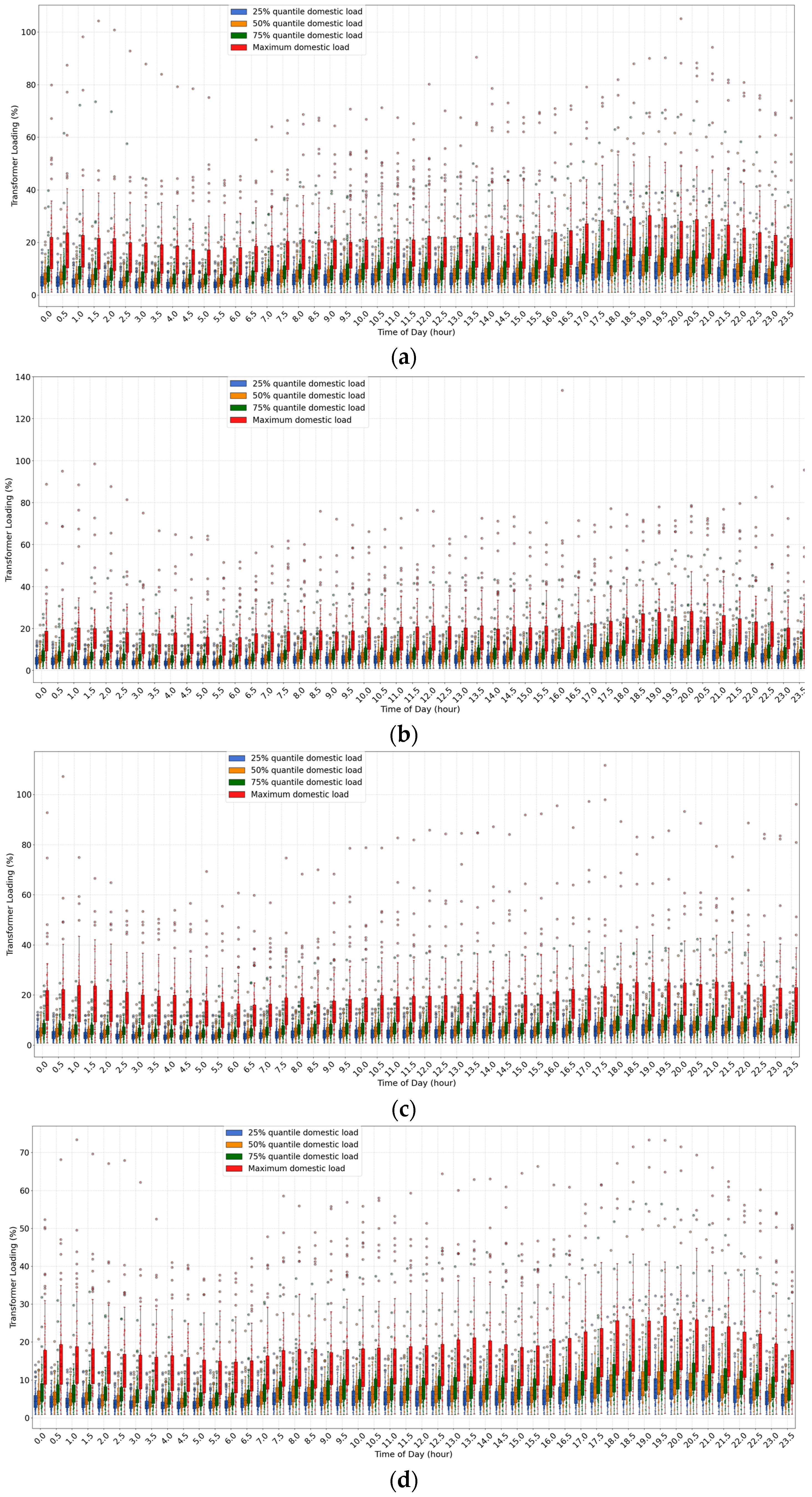
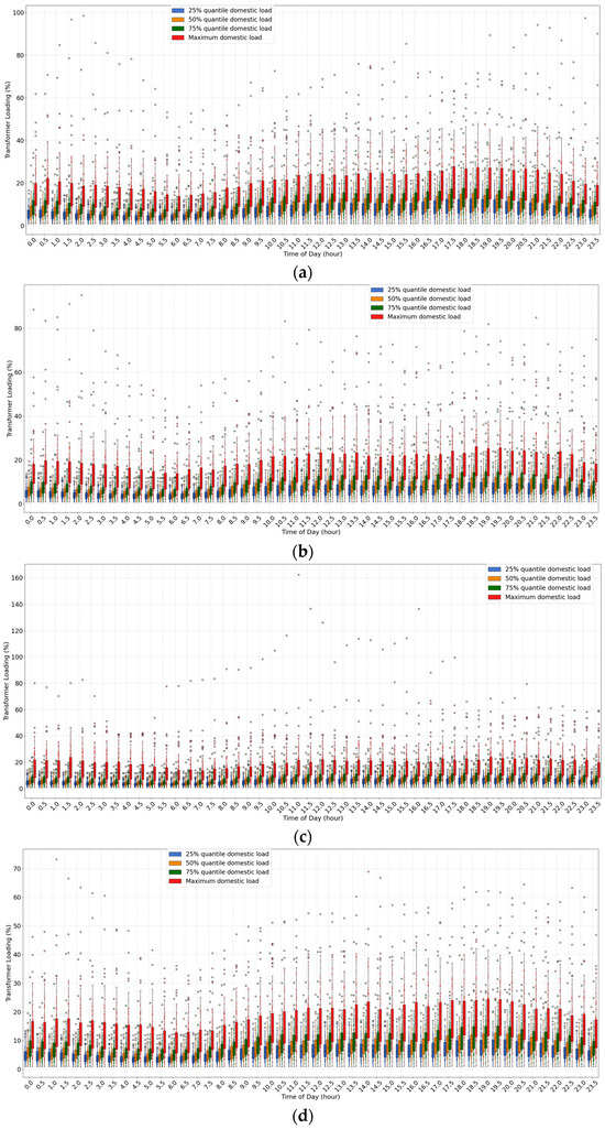
Without the integration of heat pumps and electric vehicles, the distribution of 11/0.433 kV transformers’ loadings and minimum bus voltage profiles with 25%, 50%, and 75% quantiles and maximum domestic load demand are depicted in Figure 12, Figure 13 and Figure 14, respectively, for both working days and holidays in all four seasons. According to Figure 12 and Figure 13, the transformer loadings with 25%, 50%, and 75% of domestic load demand did not go beyond the maximum threshold limit of 90% in all day types in all four seasons.
Figure 12.
Loadings of transformers with 25%, 50%, and 75% quantiles and maximum domestic load demand at working days of (a) winter, (b) spring, (c) summer, and (d) autumn.
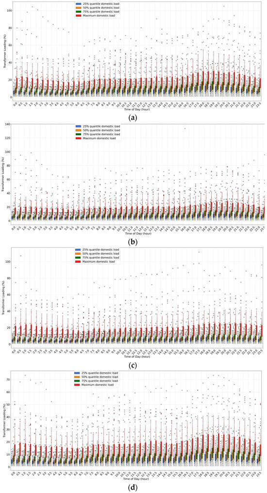
Figure 13.
Loadings of transformers with 25%, 50%, and 75% quantiles and maximum domestic load demand at holidays of (a) winter, (b) spring, (c) summer, and (d) autumn.
Figure 14.
Profiles of lowest voltages in all day types in all four seasons with (a) 25% quantile, (b) 50% quantile, (c) 75% quantile, and (d) maximum values of domestic load consumption.
Similarly, the typical transformer loading range at the coincidence condition of maximum domestic load demand (indicated in red box in Figure 12 and Figure 13) also stay within the threshold limit despite the existence of a few outliers going above the threshold limit.
Figure 13c indicates that typical transformer loadings are the lowest during summer days across all seasons. However, there is notably greater variability between typical and outlier loadings in summer, particularly during holidays, with peaks potentially reaching 160%. Winter exhibits the highest typical transformer loading, followed by spring, autumn, and summer for both working and holiday days. On working days, transformer loadings peak significantly in the evening (17:00–22:00). Conversely, on holidays and non-working days, loadings between afternoon (10:00–16:30) and evening periods show minimal differences across seasons. According to Figure 14, bus voltage minimums remain within acceptable limits during all day types and seasons.
The analysis of the penetration of electric vehicles and heat pumps was conducted at maximum domestic load demand to precisely evaluate the potential impact on transformer loading and voltage violation and to ensure reliable operation and planning in the event of the worst-case scenario.
4.2. Analysis of Voltage and Transformer Violation with Existing Integration of Heat Pumps and EVs
The UK’s current level of heat pump integration is considerably low, accounting for less than 1% of the total number of households. In particular, heat pumps have been installed in approximately 179,000 of the 28.4 million homes, which indicates a significant potential for growth in this industry [49]. In contrast, the adoption of electric vehicles (EVs) has been more robust, with a current integration rate of approximately 14.05% of vehicles on UK roads [50]. It is important to note that approximately 75% of electric vehicle charging takes place at home, as reported by the National Energy System Operator (NESO) [51]. In this analysis, the power flow simulation was conducted with 1% penetration and 14.05% penetration for heat pumps and electric vehicles, respectively, by assuming the same distribution of heat pumps and electric vehicles in the local area. As illustrated in Figure 15 and Figure 16, the typical ranges of bus voltages exhibit a stable profile with negligible fluctuation, consistently maintained within acceptable operational parameters, specifically at or above 0.94 pu and below 1.06 pu with the existing heat pumps and electric vehicles within network. Similar to the base case, the voltage violation is not investigated in all buses, but a few outlier bus voltages stay on the margin at the value of 0.94 pu during working days of winter, spring, and autumn (Figure 15a,b,d) while there are significant rooms above the margin point 0.94 pu within the holidays of those three seasons (Figure 16a,b,d). For summer, the voltage dip occurred at the late evening at around 22:00 hr during the working day as illustrated in Figure 15c, while it is evident at around 10:30 hr before the increment of on-load tap during holidays according to Figure 16c and Figure 17b.
Figure 15.
Both 11 kV and 0.4 kV voltage profile distribution within working days of (a) winter, (b) spring, (c) summer, and (d) autumn with the existing penetration of 1% for heat pumps and 14.05% for electric vehicles.
Figure 16.
Both 11 kV and 0.4 kV voltage profile distribution within holidays of (a) winter, (b) spring, (c) summer, and (d) autumn with the existing penetration of 1% for heat pumps and 14.05% for electric vehicles.
Figure 17.
Main OLTC tappings during (a) working days and (b) holidays of all four seasons with the existing penetration of 1% for heat pumps and 14.05% for electric vehicles.
In terms of the transformer tapping variation in Figure 17, the tapping-up function is triggered mostly in the evening time when the highest peak demands accumulate during the working day, but the reliable voltage was managed to be maintained at zero tap-position in the other time of the working day. Alternatively, the voltage compensation was successfully carried out at the zero tap-position of main transformer’s on-load tap-changer during the holidays of winter, spring, and autumn but the tapping hiked up from 0 to (+2) position during summer holidays reflecting the hiking-up demand in the afternoon period of summer holidays. Overall, the bus voltages could be maintained to be within both upper and lower threshold limits with the existing penetration of heat pumps and electric vehicles.
With the increased demand of heat pump and EV charging, the upper limit of the typical range of transformer loading increased by 20% to 40% compared to the scenario with only maximum domestic demand without heat pump and EV integration according to Figure 18 and Figure 19. In any case, the typical loading ranges of transformers do not go beyond the upper threshold limit of 90% despite the existence of outliers which have been far more than 90% even before integrating heat pumps and EV chargers to the distribution network.
Figure 18.
11/0.433 kV transformer loading distribution within working days of (a) winter, (b) spring, (c) summer, and (d) autumn with the existing penetration of 1% for heat pumps and 14.05% for electric vehicles.
Figure 19.
11/0.433 kV transformer loading distribution within holidays of (a) winter, (b) spring, (c) summer, and (d) autumn with the existing penetration of 1% for heat pumps and 14.05% for electric vehicles.
In contrast to the base case scenario—maximum domestic load demand without heat pumps and electric vehicles—the typical transformer loadings during summer days surpass that of autumn days, mainly due to markedly elevated electric vehicle charging demands noted in summer, as illustrated in Figure 7. Nevertheless, winter and spring consistently exhibit the largest normal loading ranges among all seasons for distribution transformers. Alternatively, the primary 33/11 kV transformer shows maximum loading within winter weekdays, indicating that overall network demand is highest during winter weekdays, despite the existence of localised surges in certain 11/0.433 kV distribution transformers as illustrated in Figure 20.
Figure 20.
33/11 kV main transformer loading distribution within both day types of all four seasons at the existing penetration of 1% for heat pumps and 14.05% for electric vehicles.
4.3. Analysis of Voltage and Transformer Violation with Future Predicted Integration of Heat Pumps and EVs Due to National Electrification Target
The prospective incorporation of heat pumps and electric vehicles (EVs) into the UK’s electrical distribution networks poses considerable issues concerning voltage stability and transformer capacity infringements. Current forecasts indicate that by 2035, roughly 23% of houses in the UK are anticipated to have implemented heat pump technology. This figure is based on projections suggesting that heat pumps will be built at an annual pace of 600,000 units [52], resulting in approximately 6.6 million households during an 11-year span, considering there are now about 28.4 million households in the UK [53].
The incorporation of electric vehicles is anticipated to achieve 100% of new vehicle sales by 2035, in accordance with national statutory objectives requiring the transition to zero-emission vehicles [12]. The National Energy System Operator (NESO) estimates that approximately 75% of electric vehicle charging will take place at home. The prevalent practice of home charging, coupled with the substantial use of heat pumps, may intensify voltage swings and elevate the risk of transformer overloads and capacity infringements. Consequently, proactive initiatives and network reinforcement measures will be crucial to alleviate potential grid stability concerns and guarantee a stable energy supply as the nation moves towards extensive electrification. Power flow calculations demonstrate convergence solely for situations featuring 90% electric vehicle penetration alongside 23% heat pump penetration and thus, the analysis is performed in accordance with this operational constraint. The simulation results for voltage profiles are depicted in Figure 21, Figure 22, Figure 23 and Figure 24 while the transformer tappings are shown in Figure 25 and the transformer loadings are shown in Figure 26, Figure 27 and Figure 28.
Figure 21.
Both 11 kV bus voltage profile distribution within working days of (a) winter, (b) spring, (c) summer, and (d) autumn with the future predicted penetration of 23% for heat pumps and 90% for electric vehicles according to 2035 scenario.
Figure 22.
Both 0.4 kV bus voltage profile distribution within working days of (a) winter, (b) spring, (c) summer, and (d) autumn with the future predicted penetration of 23% for heat pumps and 90% for electric vehicles according to 2035 scenario.
Figure 23.
Both 11 kV bus voltage profile distribution within holidays of (a) winter, (b) spring, (c) summer, and (d) autumn with the future predicted penetration of 23% for heat pumps and 90% for electric vehicles according to 2035 scenario.
Figure 24.
Both 0.4 kV bus voltage profile distribution within holidays of (a) winter, (b) spring, (c) summer, and (d) autumn with the future predicted penetration of 23% for heat pumps and 90% for electric vehicles according to 2035 scenario.
Figure 25.
Main OLTC tappings during (a) working days and (b) holidays of all day types in all four seasons with the future predicted penetration of 23% for heat pumps and 90% for electric vehicles.
Figure 26.
Both 11/0.433 kV transformer loading distribution within working days of (a) winter, (b) spring, (c) summer, and (d) autumn with the future predicted penetration of 23% for heat pumps and 90% for electric vehicles.
Figure 27.
Both 11/0.433 kV transformer loading distribution within holidays of (a) winter, (b) spring, (c) summer, and (d) autumn with the future predicted penetration of 23% for heat pumps and 90% for electric vehicles.
Figure 28.
Both 33/11 kV main transformer loading distribution within both day types of all four seasons at the future predicted penetration of 37% for heat pumps and 70% for electric vehicles.
During working days of winter, spring, and autumn, the typical voltage ranges for 11 kV buses vary from around 0.975 pu to 1.052 pu, while those of 0.4 kV buses vary from around 0.88 pu to 1.08 pu in Figure 21 and Figure 22. Alternatively, the maximum voltage values of 11 kV buses and 0.4 kV buses during summer working days go up to around 1.057 pu and 1.09 pu, respectively, during the afternoon period. It is apparent that the transformer tapping in the afternoon period of summer working days is at a higher position compared to those of the working days in the rest of the season according to Figure 25a. However, a larger number of outlier points which are significantly lower than the threshold limit of 0.94 pu are investigated in the future scenario compared to the existing penetration of heat pumps and electric vehicles.
According to Figure 24, the typical 0.4 kV bus voltages during holidays in all seasons are found to be slightly better than those during working days, while large quantities of outlier voltage are significantly violated. The typical range of 11 kV bus voltages during holidays follow the similar range as those of the working days but the minimum outlier points accumulate around 0.92 pu, while those on working days go below 0.9 pu.
Generally, the loading on 11/0.433 kV transformers during working days (Figure 26), encompassing both standard values and anomalies, exceeds that of holidays (Figure 27), when peak demand is allocated between the afternoon and evening intervals. Figure 26a,b and Figure 27a,b indicate that transformer loadings throughout winter and spring exhibit comparable normal ranges for working days and holidays, with outliers attaining up to 400% in both instances. During autumn, the standard loading range across working days and holidays exhibits minimal fluctuations; however, the maximum weekday outlier surpasses 400% (Figure 26d), while it marginally exceeds 350% on holidays (Figure 27d).
On summer working days, transformer loading maxima are similar to those in higher-demand seasons like winter and spring; however, summer holidays show the lowest loading compared to holidays in the other three seasons. Transformer loading at buses in this scenario is primarily affected by EV charging, due to the 90% penetration rate and higher values of EV charging power compared to residential loads. Figure 7 demonstrates that summer days exhibit the highest electric vehicle charging rates across all four seasons, leading to transformer loadings during seasons with elevated heat pump consumption due to lower temperatures. Nonetheless, the primary 33/11 kV transformer endures the largest global peak demand on winter weekdays, despite having lower localised peaks of 5 AM–10 AM and 10 AM–3 PM compared to other seasonal days as illustrated in Figure 28. The investigations from this study are summarised in Table 2.
Table 2.
Summary of Findings.
5. Conclusions
According to the findings from this investigation, a limited number of distribution transformers have been identified as outliers, as they cannot support the coincident condition of peak domestic load, even without extra electrified loads. Nonetheless, these instances constitute a negligible fraction of the total transformers inside the network. The majority of local distribution transformers exhibit adequate ability to handle current operational conditions. Bus voltages stay within permissible limits at instances of concurrent maximum residential demand and current levels of heat pump and electric car integration. The findings indicate that, currently and in the foreseeable future, extensive enhancements to distribution network assets are unnecessary. A restricted quantity of transformers may require replacement or strengthening, constituting a minimal portion of the total infrastructure.
However, significant upgrades to distribution lines and transformers will be essential to accommodate the projected levels of heat pump and electric vehicle adoption targeted by the UK government for 2035. Moreover, several current network assets may attain the conclusion of their operational lifespan irrespective of the complete integration of projected electrified loads, underscoring the necessity for prompt asset renewal and proactive infrastructure planning.
Based on the results from the previous section, the following conclusions can be drawn:
- The lower ambient temperature and the existence of a higher number of older buildings can significantly impact on end-user distribution network assets in implementing electrification and greenhouse gas emission policy which can be more prominent in winter days.
- If conditions require attaining a much higher adoption rate of heat pumps substituting more than the desired portion (23%) of conventional gas boilers, it will require significant enhancements to transformer capacity and a decrease in line impedance to accommodate the increased electrical load and ensure system dependability.
- While the present circumstances may preclude substantial enhancements to the distribution network assets, the preliminary execution of the asset upgrade plan should commence to provide resilience against dynamic political, economic, social, and technological trends.
6. Outlook for Readiness to Decarbonisation Progress
According to the currently set target, the electric vehicle has the highest impact on the loading of distribution network due to its higher penetration than that of heat pumps. The United Kingdom is presently experiencing a substantial natural gas crisis, mainly due to diminishing domestic output and a growing reliance on imported gas. This circumstance has resulted in significant cost escalations throughout the preceding years [54,55]. This is a significant obstacle to the UK’s objective of attaining net-zero emissions, particularly as natural gas has been the primary source of domestic heating [56], and furthermore, the dependence on natural gas impacts energy price stability and subjects the nation to geopolitical risks associated with gas supply, where supply changes may lead to wider economic consequences [54,55].
In this case, adopting alternative heating technologies, such as electric heat pumps, is becoming an essential strategy. Heat pumps serve as a feasible alternative to traditional gas boilers in residential environments, facilitating a transition towards decarbonisation and enhanced energy efficiency.
Based on the investigations from the proposed analysis, the following recommendations could be made for policymakers, government, and stakeholders of energy market:
- The proactive strategy aimed at critical sectors with an expected swift adoption of electric vehicles and heat pumps will be more economical and less disruptive than addressing capacity deficiencies reactively.
- Incorporating planned retirements and replacements of network assets into comprehensive decarbonisation strategies will optimise costs and labour, and this dual approach—merging asset renewal with capacity improvements—will facilitate continuous, resilient service.
- Distributed energy resources (DERs) can diminish net demand on essential distribution assets. Supportive policy frameworks must be developed to facilitate shared community energy systems where applicable, enhancing resilience and reducing the necessity for additional network expansion.
- The UK government’s net-zero initiative requires explicit milestones and funding strategies for effective assistance. Collaborating with stakeholders to establish phased objectives for electric vehicles and heat pumps will enable Distribution Network Operators and investors to assess the magnitude, timing, and geographic distribution of the required enhancements.
- Permit procedures for network enhancements, asset substitutions, and the implementation of new technologies should be streamlined and expedited. National and local authorities must cooperate to eliminate unnecessary administrative obstacles, facilitating prompt infrastructure implementation.
Reaching the decarbonisation ambitions for the UK need for a coherent, forward-looking approach to guarantee the LV distribution network can sustainably host increasing numbers of heat pumps and electric vehicles. Although a small portion of transformers today struggle to support peak demand and electrified loads, the preventive actions are crucial for the long term to prevent general restrictions in the near future. Targeted asset reinforcement and modernisation along with legislative changes and demand flexibility programs will help to create a robust and reasonably priced path to low-carbon heat and transport. Without acknowledging such policies in a timely manner, it may run the potential risk of weakening service dependability, increasing geopolitical energy risks, and undermining net-zero goals. Policymakers and energy system operators can guarantee a stable, efficient, and future-proof distribution network supporting the more general objectives for sustainability and energy independence by acting forcefully now.
Author Contributions
Conceptualisation, T.P.T. and I.P.; methodology, T.P.T., I.P. and O.C.; validation, T.P.T.; formal analysis, T.P.T.; investigation, T.P.T. and O.C.; writing—original draft, T.P.T.; writing—review and editing, I.P. and O.C.; supervision, I.P. and O.C.; project administration, I.P. All authors have read and agreed to the published version of the manuscript.
Funding
This research was partly funded by UKRI grant no. EP/Y023846/1 and partly by an International Science Partnerships Fund (ISPF) Institutional Support Grant (ODA) 2024/25 Pump priming Award.
Data Availability Statement
The schematic diagrams for the network topology can be accessed at https://brunel.figshare.com/ (accessed on 22 September 2024), DOI 10.17633/rd.brunel.28765127. Underlying datasets for the study can be made available upon request to the authors.
Acknowledgments
We thank Scottish and Southern Energy Networks for providing smart meter data, network assets and topology data under Creative Commons licenses at https://creativecommons.org/licenses/by/4.0/ (accessed on 22 September 2024).
Conflicts of Interest
The authors declare no conflicts of interest.
References
- Sevdari, K.; Calearo, L.; Andersen, P.B.; Marinelli, M.; Rønnow, L. Autonomously distributed control of electric vehicle chargers for grid services. In Proceedings of the 2021 IEEE PES Innovative Smart Grid Technologies Europe (ISGT Europe), Espoo, Finland, 18–21 October 2021. [Google Scholar]
- Sevdari, K.; Calearo, L.; Andersen, P.B.; Marinelli, M. Ancillary services and electric vehicles: An overview from charging clusters and chargers technology perspectives. Renew. Sustain. Energy Rev. 2022, 167, 112666. [Google Scholar] [CrossRef]
- Shamoushaki, M.; Koh, S.C.L. Net-zero life cycle supply chain assessment of heat pump technologies. Energy 2024, 309, 133124. [Google Scholar] [CrossRef]
- Zhang, M.; Millar, M.; Yu, Z.; Yu, J. An assessment of the impacts of heat electrification on the electric grid in the UK. Energy Rep. 2022, 8, 14934–14946. [Google Scholar] [CrossRef]
- Xu, Z.; Li, H.; Xu, W.; Shao, S.; Wang, Z.; Gou, X.; Zhao, M.; Li, J. Investigation on the efficiency degradation characterization of low ambient temperature air source heat pump under partial load operation. Int. J. Refrig. 2022, 133, 99–110. [Google Scholar] [CrossRef]
- Milev, G.; Al-Habaibeh, A.; Fanshawe, S.; Siena, F.L. Investigating the effect of the defrost cycles of air-source heat pumps on their electricity demand in residential buildings. Energy Build. 2023, 300, 113656–113674. [Google Scholar] [CrossRef]
- Sharma, D.; Rehu, J.; Känsälä, K.; Ailisto, H. An automatic aggregator of power flexibility in smart buildings using software based orchestration. Sensors 2021, 21, 867. [Google Scholar] [CrossRef]
- Thorve, S.; Baek, Y.Y.; Swarup, S.; Mortveit, H.; Marathe, A.; Vullikanti, A.; Marathe, M. High resolution synthetic residential energy use profiles for the United States. Nature 2023, 10, 76. [Google Scholar] [CrossRef]
- Gupta, R.; Zahiri, S. Field study of energy and environmental performance of ground source heat pumps retrofitted in a cluster of UK social housing dwellings. J. Phys. Conf. Ser. 2023, 2600, 062004. [Google Scholar] [CrossRef]
- Borsboom, W.; Mossallam, B.; Linden, R. Reducing peak load of renewable energy at district level with predictive twins. IOP Conf. Ser. Earth Environ. Sci. 2022, 1085, 012007. [Google Scholar] [CrossRef]
- Sun, J.; Chen, B.; Hu, Y. Network-integrated evolutionary analysis for electric vehicle charging infrastructure deployment in the UK. In Proceedings of the International Conference on Energy, Ecology and Environment 2023 (ICEEE2023), London, UK, 14–18 August 2023. [Google Scholar]
- Pathway for Zero Emission Vehicle Transition by 2035 Becomes Law. Available online: https://www.gov.uk/government/news/pathway-for-zero-emission-vehicle-transition-by-2035-becomes-law#:~:text=80%25%20of%20new%20cars%20and,increasing%20to%20100%25%20by%202035.&text=The%20UK%20now%20has%20the,today%20(3%20January%202024) (accessed on 1 November 2024).
- Castle, J.; Hendry, D. Can the UK achieve net zero greenhouse gas emissions by 2050? Natl. Inst. Econ. Rev. 2023, 266, 11–21. [Google Scholar] [CrossRef]
- Hafezi, S.; Morimoto, R. How the presence of public charging infrastructure can impact the adoption rate of electric vehicles in the UK. In Proceedings of the 6th International Conference on Clean Energy and Technology, Penang, Malaysia, 7–8 June 2023. [Google Scholar]
- Nazari-Heris, M.; Abapour, M.; Mohammadi-Ivatloo, B. An Updated Review and Outlook on Electric Vehicle Aggregators in Electric Energy Networks. Sustainability 2022, 14, 15747. [Google Scholar] [CrossRef]
- Khan, M.O.; Kirmani, S.; Rihan, M. Impact assessment of electric vehicle charging on distribution networks. Renew. Energy Focus 2024, 50, 100599–100607. [Google Scholar] [CrossRef]
- Nutkani, I.; Toole, H.; Fernando, N.; Andrew, L.P.C. Impact of EV charging on electrical distribution network and mitigating solutions—A review. IET Smart Grid 2024, 7, 485–502. [Google Scholar] [CrossRef]
- Thormann, B.; Kienberger, T. Evaluation of Grid Capacities for Integrating Future E-Mobility and Heat Pumps into Low-Voltage Grids. Energies 2020, 13, 5083. [Google Scholar] [CrossRef]
- Barbosa, T.; Andrade, J.; Torquato, R.; Walmir Freitas, W.; Trindade, F.C.L. Use of EV hosting capacity for management of low-voltage distribution systems. IET Gener. Transm. Distrib. 2020, 14, 2620–2629. [Google Scholar] [CrossRef]
- Silva, E.C.D.; Melgar-Dominguez, O.D.; Romero, A.R. Simultaneous Distributed Generation and Electric Vehicles Hosting Capacity Assessment in Electric Distribution Systems. IEEE Access 2021, 9, 110927–110939. [Google Scholar] [CrossRef]
- Fachrizal, R.; Ramadhani, U.H.; Munkhammar, J.; Widén, J. Combined PV–EV hosting capacity assessment for a residential LV distribution grid with smart EV charging and PV curtailment. Sustain. Energy Grids Netw. 2021, 26, 100445–100459. [Google Scholar] [CrossRef]
- Sandström, M.; Huang, P.; Bales, C.; Dotzauer, E. Evaluation of hosting capacity of the power grid for electric vehicles—A case study in a Swedish residential area. Energy 2023, 284, 129293–129305. [Google Scholar] [CrossRef]
- Prasad, D.; Suresh, G.; Gopila, M. Distribution-Driven Optimization for Heat Pump and EV Hosting Capacity in LV Networks. IETE J. Res. 2024, 70, 6882–6892. [Google Scholar] [CrossRef]
- Khalid, M. Smart grids and renewable energy systems: Perspectives and grid integration challenges. Energy Strategy Rev. 2024, 51, 101299–101324. [Google Scholar] [CrossRef]
- Khalid, M.; Thakur, J.; Bhagavathy, S.M.; Topel, M. Impact of public and residential smart EV charging on distribution power grid equipped with storage. Sustain. Cities Soc. 2024, 104, 105272–105285. [Google Scholar] [CrossRef]
- Capper, T.; Kuriakose, J.; Sharmina, M. Facilitating domestic demand response in Britain’s electricity system. Util. Policy 2024, 89, 101768–101777. [Google Scholar] [CrossRef]
- Damianakis, N.; Mouli, G.R.C.; Bauer, P.; Yunhe Yu, M. Assessing the grid impact of Electric Vehicles, Heat Pumps & PV generation in Dutch LV distribution grids. Appl. Energy 2023, 352, 121878–121892. [Google Scholar]
- Becker, T.; Smetc, R.; Macharisc, B.; Vanthournout, K. Effect of electric vehicles, heat pumps, and solar panels on low-voltage feeders: Evidence from smart meter profiles. Sustain. Energy Grids Netw. 2025, 42, 101705–101725. [Google Scholar] [CrossRef]
- Lama, P.; Maharjan, S.; Kimber, A.; Wang, Z. Evaluating the Impact of EVs and Heat Pumps on Primary-Secondary Distribution Systems Using Real-World Data. In Proceedings of the 2024 56th North American Power Symposium (NAPS), El Paso, TX, USA, 13–15 October 2024. [Google Scholar]
- Steffen, T.; Wiegel, B.; Baboli, P.T.; Becker, C. Impacts of Distribution Grid Congestion Management on Charging Efficiency of Private Electric Vehicles. In Proceedings of the NEIS 2024, Conference on Sustainable Energy Supply and Energy Storage Systems, Hamburg, Germany, 16–17 September 2024. [Google Scholar]
- Arboleya, P.; Kippke, M.A.; Kerscher, S. Flexibility management in the low-voltage distribution grid as a tool in the process of decarbonization through electrification. In Proceedings of the 8th International Conference on Energy and Environment Research ICEER 2021, Roma, Italy, 13–17 September 2021. [Google Scholar]
- UK Census Data. Available online: https://www.ons.gov.uk/census/planningforcensus2021/ukcensusdata (accessed on 12 November 2024).
- Healthy Street Score Cards. Available online: https://www.healthystreetsscorecard.london/results/results_outcome_indicators/#ResultsCarOwnership (accessed on 12 November 2024).
- SSEN Distribution Data Portal. Available online: https://data.ssen.co.uk/ (accessed on 31 January 2025).
- Low Carbon London Electric Vehicle Load Profiles. Available online: https://data.london.gov.uk/dataset/low-carbon-london-electric-vehicle-load-profiles (accessed on 16 October 2024).
- Open-Meteo. Available online: https://open-meteo.com/ (accessed on 24 October 2024).
- Standard Assessment Procedure (SAP 2012)—BRE Group. Available online: https://bregroup.com/sap/standard-assessment-procedure-sap-2012/ (accessed on 1 November 2024).
- Energy Performance of Buildings Data England and Wales. Available online: https://epc.opendatacommunities.org/ (accessed on 1 November 2024).
- Public Health England. Minimum Home Temperature Thresholds for Health in Winter—A Systematic Literature Review; Public Health England: London, UK, 2014; pp. 10–26. [Google Scholar]
- British Gas—What Is the Ideal Home Temperature? Available online: https://www.britishgas.co.uk/the-source/no-place-like-home/whats-the-ideal-home-temperature.html (accessed on 11 September 2024).
- Zhang, W.; Hrnjak, P. The Experimental Study of Defrosting Energy of an Air-source Heat Pump System Under Various Conditions. In Proceedings of the 19th International Refrigeration and Air-Conditioning Conference, West Lafayette, IN, USA, 10–14 July 2022. [Google Scholar]
- Fakheri, A. Heat Exchanger Efficiency. J. Heat Mass Transf. 2007, 129, 1268–1276. [Google Scholar] [CrossRef]
- Islam, M.R. Chapter 7: Field Guidelines. In Reservoir Development: Sustainable Oil and Gas Development, 2nd ed.; Hammon, K., Ed.; Elsevier: London, UK, 2007; pp. 737–843. [Google Scholar]
- Aragon, V.; Gauthier, S.; Warren, P.; James, P.A.B.; Ben Anderson, A. Developing English domestic occupancy profiles. Build. Res. Inf. 2017, 47, 375–393. [Google Scholar] [CrossRef]
- Ahmed, K.; Pylsy, P.; Kurnitski, J. Hourly consumption profiles of domestic hot water for different occupant groups in dwellings. Sol. Energy 2016, 137, 516–530. [Google Scholar] [CrossRef]
- Thurner, L.; Scheidler, A.; Schäfer, F.; Menke, J.; Dollichon, J.; Meier, F.; Meinecke, S.; Braun, M. Pandapower—An Open-Source Python Tool for Convenient Modeling, Analysis, and Optimization of Electric Power Systems. IEEE Trans. Power Syst. 2018, 33, 6510–6521. [Google Scholar] [CrossRef]
- Western Power Distribution. Project NETWORK EQUILIBRIUM Voltage Limits Assessment Discussion; National Grid: London, UK, 2016; pp. 6–8. [Google Scholar]
- SP Energy Networks. Available online: https://www.spenergynetworks.co.uk/pages/voltage_changes.aspx#:~:text=In%20the%20UK%2C%20the%20declared,216.2%20volts%20to%20253.0%20volts (accessed on 1 November 2024).
- English Housing Survey 2021 to 2022: Energy. Available online: https://www.gov.uk/government/statistics/english-housing-survey-2021-to-2022-energy/english-housing-survey-2021-to-2022-energy#:~:text=Heat%20pumps%20make%20use%20of,too%20small%20to%20report%20on (accessed on 22 September 2024).
- REVEALED: The UK’s Electric Vehicle Numbers, Ranked Best to Worst by Town. Available online: https://fleetcover.co.uk/greenest-transport-towns/ (accessed on 22 September 2024).
- Electric Vehicles. Available online: https://www.neso.energy/energy-101/net-zero-explained/electric-vehicles (accessed on 22 September 2024).
- Sarsentis, D.; Orso, L. How the UK Compares to the Rest of Europe on Heat Pump Uptake; NESTA: London, UK, 2023; pp. 1–38. [Google Scholar]
- Families and Households in the UK: 2023. Available online: https://www.ons.gov.uk/peoplepopulationandcommunity/birthsdeathsandmarriages/families/bulletins/familiesandhouseholds/2023#:~:text=There%20were%208.4%20million%20people,all%20people%20living%20in%20households (accessed on 12 November 2024).
- Acquah-Andoh, E.; Ifelebuegu, A.; Theophilus, S. Brexit and UK energy security: Perspectives from unconventional gas investment and the effects of shale gas on UK energy prices. Energies 2019, 12, 600. [Google Scholar] [CrossRef]
- Althaqafi, M. The impact of natural gas prices on electricity tariffs in the UK. Int. J. Energy Econ. Policy 2023, 13, 86–91. [Google Scholar] [CrossRef]
- Bennett, G.; Elwell, C.; Oreszczyn, T. Space heating operation of combination boilers in the UK: The case for addressing real-world boiler performance. Build. Serv. Eng. Res. Technol. 2018, 40, 75–92. [Google Scholar] [CrossRef]
Disclaimer/Publisher’s Note: The statements, opinions and data contained in all publications are solely those of the individual author(s) and contributor(s) and not of MDPI and/or the editor(s). MDPI and/or the editor(s) disclaim responsibility for any injury to people or property resulting from any ideas, methods, instructions or products referred to in the content. |
© 2025 by the authors. Licensee MDPI, Basel, Switzerland. This article is an open access article distributed under the terms and conditions of the Creative Commons Attribution (CC BY) license (https://creativecommons.org/licenses/by/4.0/).



























