Effect of the Heterogeneity of Coal on Its Seepage Anisotropy: A Micro Conceptual Model
Abstract
1. Introduction
2. Mathematical Models
- (1)
- The coal sample is characterized as a heterogeneous, linear elastic material exhibiting small strains;
- (2)
- The system maintains isothermal conditions, with gas flowing through the coal pores being treated as an ideal gas, and the viscosity of the gas remains constant under these isothermal circumstances;
- (3)
- The gas flow within the pores of coal adheres to Darcy’s law.
2.1. Deformation Governing Equations
2.2. Governing Equations of Fluid Flow
2.3. Permeability Equation
2.4. Coupling Process
- (1)
- Mechanical deformation of the coal seam
- (2)
- Gas flow and transmission process
- (3)
- Coupling between fractures and the matrix
3. Numerical Modeling
3.1. Geometry
3.2. Boundary Conditions and Parameter Selection
3.3. Model Implementation
3.4. Fracture Opening
3.5. Permeability k/k0
4. Results
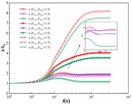
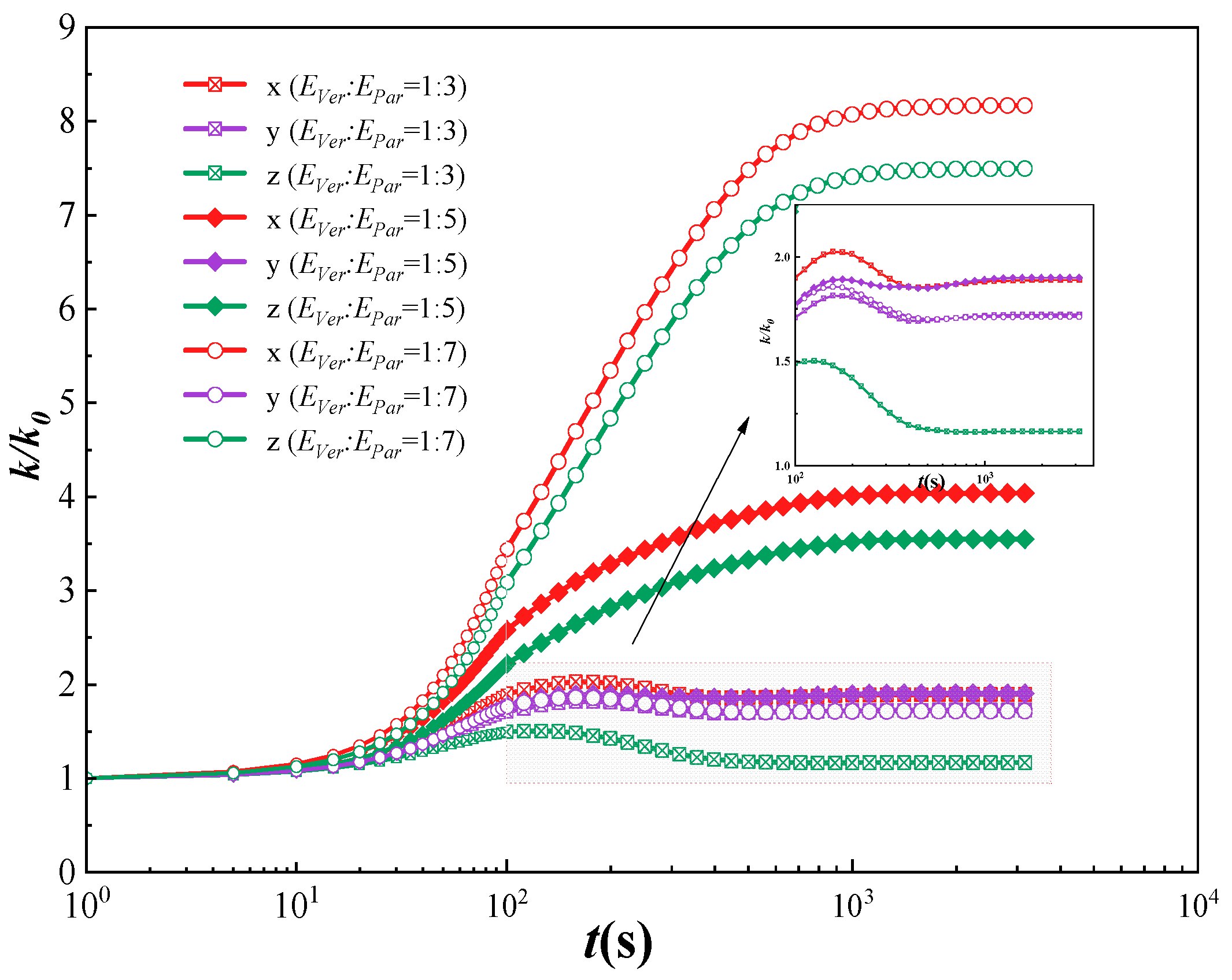
4.1. Effect of Young’s Modulus on Permeability
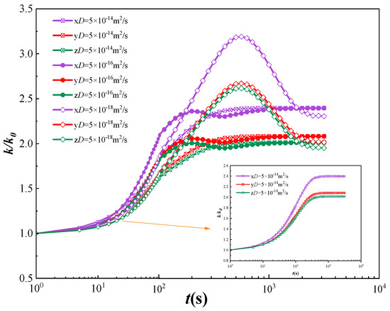
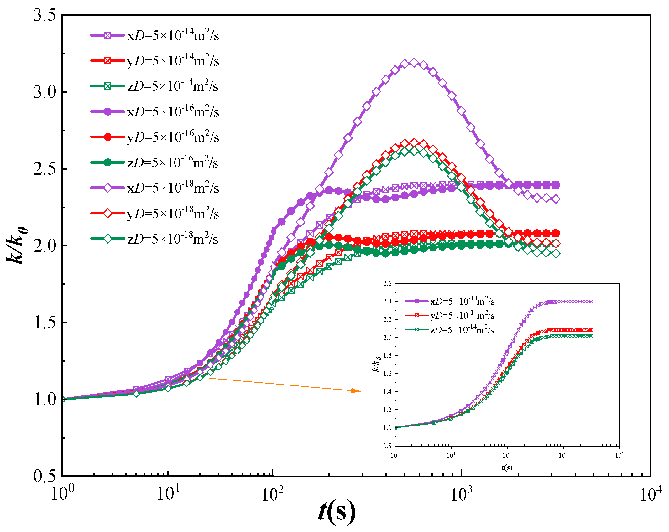
4.2. Effect of the Diffusion Coefficient on the Permeability
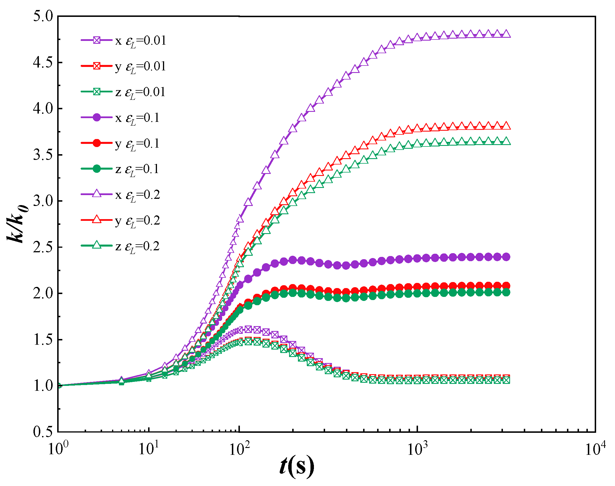
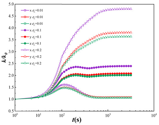
4.3. Effect of the Langmuir Adsorption Constant on the Permeability
4.4. Effect of Fracture Size on Permeability in the Bedding Plane Direction
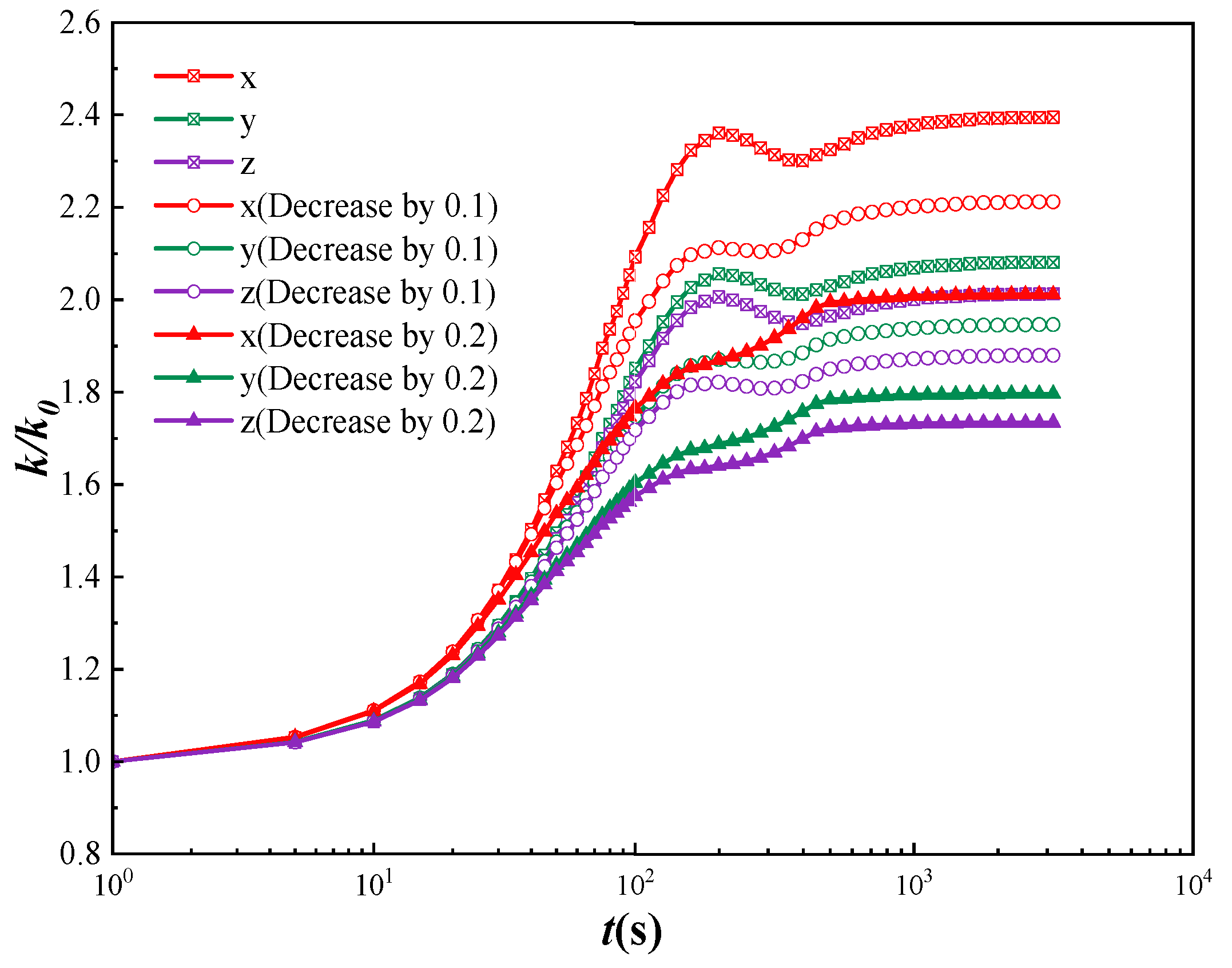
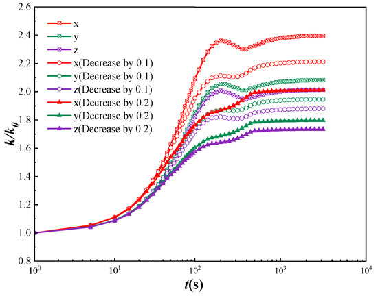
4.5. Effect of the Matrix Block Size on the Permeability
5. Discussion
5.1. Influence of Mechanical Properties
5.2. Influence of Mobility Performance
5.3. Influence of Adsorption Properties
5.4. Influence of Geometric Modeling
5.5. Comparison with Existing Permeability Models
5.6. Limitations and Future Work
- (1)
- This paper emphasizes numerical simulations and theoretical analysis, which could be enhanced by incorporating raw coal tests to further investigate the anisotropy laws and increase confidence in the findings.
- (2)
- The temperature of coal seams at various depths is a variable that affects the diffusion coefficient and Langmuir adsorption constant. Controlling the temperature can optimize the benefits of industrial pumping and sequestration. The impact of temperature has not been incorporated into this model. In theory, an increase in temperature results in a greater velocity of gas molecules and a shorter time to reach equilibrium. To increase the model precision, it would be beneficial to integrate a temperature field into the model, thereby facilitating an investigation into the influence of temperature on the gas seepage process.
- (3)
- The size of the matrix block and fracture, which directly affects the gas flow path and gas storage capacity, is very important in modeling. Fracture size affects permeability, whereas matrix size affects the gas release speed. In this work, one size is selected for modeling because it conforms to the actual permeability theory of coal–rock fracture, which may not be the most consistent with the actual experiment. Therefore, the sizes of the matrix blocks and fractures in the model can be further optimized and explored.
- (4)
- The number of matrix blocks and fractures employed during modeling is relatively limited. However, the number of model matrix blocks and fractures can be increased to achieve a greater degree of fidelity in the simulation results for coal–rock fracture permeability, thereby approximating the actual results more closely.
- (5)
- This model can be verified via laboratory tests. The coal sample to be tested is selected, and the coal sample is preferably square. The permeability was tested via a special 3D-printed rubber sleeve with a triaxial percolation system [53,54]. The strain gauge should be attached to the coal sample above and below, around and before. The coal block is put into the penetration instrument to ensure that both ends of the sample are sealed. Constant air pressure is applied to one end to measure the volume of gas flowing through the coal sample and the passage time. The permeability can be calculated using Darcy’s law or related formulas according to the gas flow and the geometric size of the sample. The model is verified by the strain condition and permeability change in the coal block, and the model is further optimized.
- (6)
- The traditional dual or single porosity model is frequently employed to elucidate the permeability evolution law observed in laboratory settings [23,24,27,36,55,56] and to construct a multitude of permeability anisotropy models [25,29,30,32,33]. Nevertheless, this approach is inadequate for accounting for the impact of fractures and the matrix on the anisotropic evolution of permeability. This paper proposes a micro discrete model that fully considers the influence of structural and mechanical anisotropy on permeability anisotropy. The work in this paper can be a good supplement to the double pore medium model. It can be obtained in the following way: through many experiments or numerical simulations (the method in this paper). The universal law of the influence of the matrix and fracture structure and mechanical anisotropy is obtained. The implicit equation is used to express it, which is integrated into the traditional double-pore medium model.
- (7)
- This paper proposes a micro discrete model that considers the influence of structural and mechanical anisotropy on permeability anisotropy in a comprehensive manner. (i) Nevertheless, for large-scale industrial applications, this work is severely limited by the inability to accurately characterize the microstructure of the matrix and fracture at the field scale [57]. (ii) Even if feasible, it would necessitate the expenditure of a considerable amount of computational and time resources. The objective is to upgrade the rules obtained from the conceptual model to the REV scale, obtain general universal rules, and establish a permeability anisotropy model based on the double-pore medium model. A geometric model is constructed using finite element software, such as COMSOL Multiphysics (5.4a), to represent the heterogeneous fracture–matrix properties (permeability and Young’s modulus) at an industrial scale. The permeability anisotropy model is then applied to the computational node. In this way, the microscopic model presented in this paper is applied to the field.
6. Conclusions
- (1)
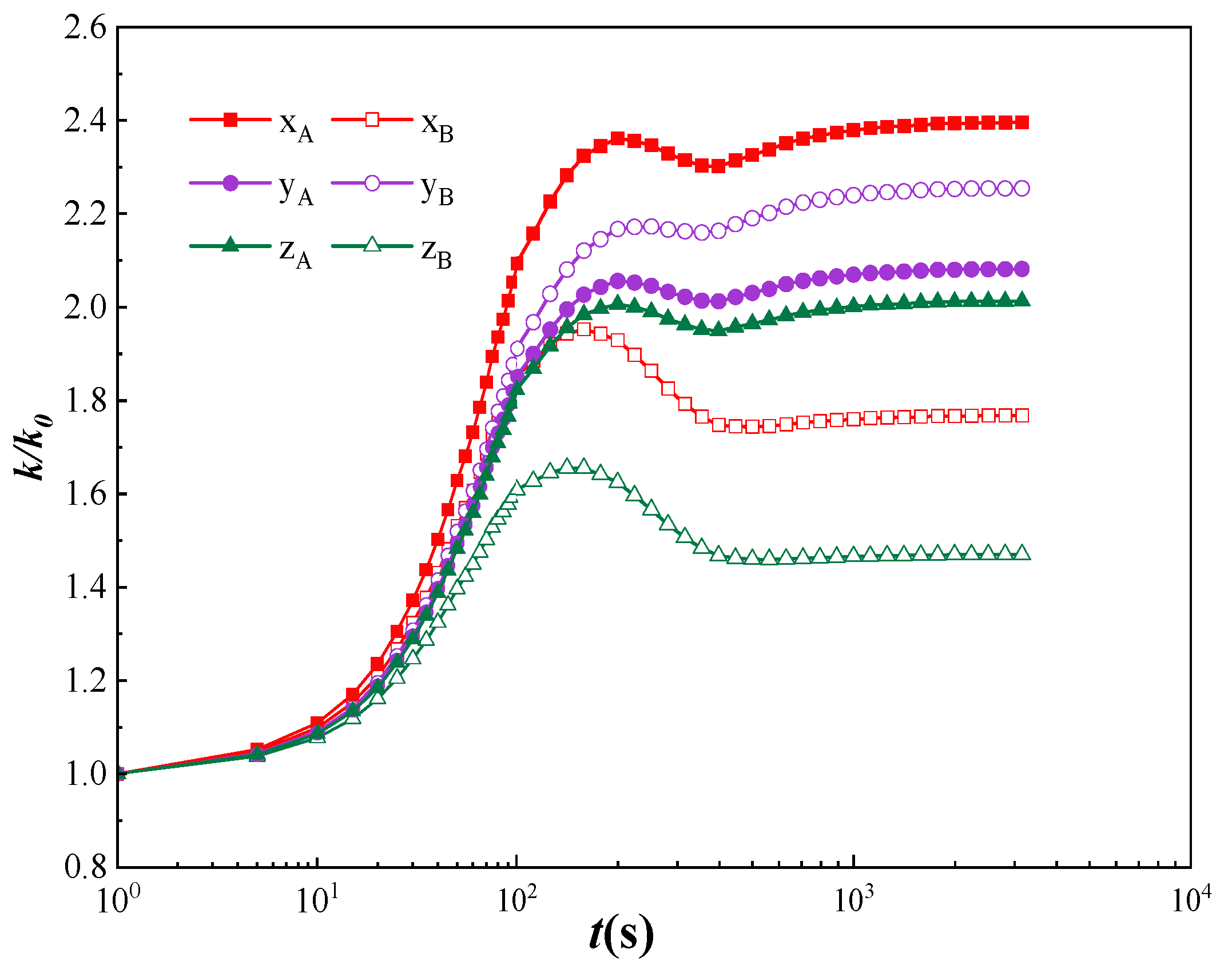
- Throughout the process of gas filling the fracture to achieve a new equilibrium state in the coal, the fracture opening and permeability k/k0 initially increase, followed by a decrease and then another increase. The variation in fracture opening in the bedding ply direction is significantly greater than that in the face cleat direction, exceeding that in the butt cleat direction. Moreover, the permeability k/k0 in the face cleat direction remains considerably greater than that in both the butt cleats and vertical bedding ply directions, consistently exceeding the initial value.
- (2)
- When Young’s modulus is isotropic, the permeability k/k0 is the highest in the butt cleats direction, and when Young’s modulus is anisotropic, the permeability k/k0 is the highest in the face cleats direction. Increases and decreases in Young’s modulus ratio in the vertical and parallel bedding directions significantly affect the permeability.
- (3)
- The gas diffusion behavior and the Langmuir adsorption constant in the matrix do not influence the permeability relationship across the three directions. An increase in the diffusion coefficient results in a reduction in the peak value of permeability k/k0 and a smoother curve. Conversely, a decrease in D significantly impacts permeability. A higher Langmuir adsorption parameter is correlated with a larger peak value of permeability k/k0 and a smoother curve. Both increases and decreases in the Langmuir adsorption constant distinctly affect permeability.
- (4)
- The size of the fracture in the bedding direction and the dimensions of the matrix block influence the permeability relationship across the three directions. An increase in fracture size leads to a decrease in the peak value of permeability k/k0, whereas changes in fracture size do not alter the shape of the permeability k/k0 profile. A reduction in the matrix block size results in a lower permeability k/k0, less pronounced descending stages of the profile, more evident ascending stages in the latter part, a larger peak value, and a smoother profile.
Author Contributions
Funding
Data Availability Statement
Conflicts of Interest
References
- Chen, L. Environmental cost of sustainable development and climate change: Can SAARC shift some liability with renewable energy and efficiency? Environ. Sci. Pollut. Res. 2021, 28, 67137–67149. [Google Scholar] [CrossRef] [PubMed]
- Fragkos, P.; van Soest, H.L.; Schaeffer, R.; Reedman, L.; Köberle, A.C.; Macaluso, N.; Evangelopoulou, S.; De Vita, A.; Sha, F.; Qimin, C. Energy system transitions and low-carbon pathways in Australia, Brazil, Canada, China, EU-28, India, Indonesia, Japan, Republic of Korea, Russia and the United States. Energy 2021, 216, 119385. [Google Scholar] [CrossRef]
- Rogelj, J.; Popp, A.; Calvin, K.V.; Luderer, G.; Emmerling, J.; Gernaat, D.; Fujimori, S.; Strefler, J.; Hasegawa, T.; Marangoni, G. Scenarios towards limiting global mean temperature increase below 1.5 C. Nat. Clim. Change 2018, 8, 325–332. [Google Scholar] [CrossRef]
- Shuxun, S. Research review on technical effectiveness of CO2 geological storage and enhanced coalbed methane recovery. Coal Geol. Explor. 2018, 46, 1–9. [Google Scholar]
- Garnier, C.; Finqueneisel, G.; Zimny, T.; Pokryszka, Z.; Lafortune, S.; Défossez, P.; Gaucher, E.C. Selection of coals of different maturities for CO2 Storage by modelling of CH4 and CO2 adsorption isotherms. Int. J. Coal Geol. 2011, 87, 80–86. [Google Scholar] [CrossRef]
- Liu, S.; Liu, T.; Zheng, S.; Wang, R.; Sang, S. Evaluation of carbon dioxide geological sequestration potential in coal mining area. Int. J. Greenh. Gas Control 2023, 122, 103814. [Google Scholar] [CrossRef]
- White, C.M.; Strazisar, B.R.; Granite, E.J.; Hoffman, J.S.; Pennline, H.W. Separation and capture of CO2 from large stationary sources and sequestration in geological formations—Coalbeds and deep saline aquifers. J. Air Waste Manage. Assoc. 2003, 53, 645–715. [Google Scholar] [CrossRef]
- Chen, D.; Pan, Z.; Liu, J.; Connell, L.D. Characteristic of anisotropic coal permeability and its impact on optimal design of multi-lateral well for coalbed methane production. J. Pet. Sci. Eng 2012, 88, 13–28. [Google Scholar] [CrossRef]
- Pan, Z.; Connell, L.D. Modelling permeability for coal reservoirs: A review of analytical models and testing data. Int. J. Coal Geol. 2012, 92, 1–44. [Google Scholar] [CrossRef]
- Pan, Z.; Ye, J.; Zhou, F.; Tan, Y.; Connell, L.D.; Fan, J. CO2 storage in coal to enhance coalbed methane recovery: A review of field experiments in China. Coal Geol. China 2017, 60, 754–776. [Google Scholar]
- Gu, F.; Chalaturnyk, R. Permeability and porosity models considering anisotropy and discontinuity of coalbeds and application in coupled simulation. J. Pet. Sci. Eng. 2010, 74, 113–131. [Google Scholar] [CrossRef]
- Lu, G.; Wei, C.; Wang, J.; Zhang, J.; Quan, F.; Tamehe, L.S. Variation of surface free energy in the process of methane adsorption in the nanopores of tectonically deformed coals: A case study of middle-rank tectonically deformed coals in the Huaibei Coalfield. Energy Fuels 2019, 33, 7155–7165. [Google Scholar] [CrossRef]
- Lu, J.; Yin, G.; Deng, B.; Zhang, W.; Li, M.; Chai, X.; Liu, C.; Liu, Y. Permeability characteristics of layered composite coal-rock under true triaxial stress conditions. J. Nat. Gas Sci. Eng. 2019, 66, 60–76. [Google Scholar] [CrossRef]
- Barenblatt, G.; Zheltov, Y.P.; Kochina, I. Basic concepts in the theory of seepage of homogeneous liquids in fissured rocks. J. Appl. Math. Mech. 1960, 24, 852–864. [Google Scholar] [CrossRef]
- Xia, K.; Wang, M.; Fu, Y.; Wu, B.; Xu, Y.; Yao, W. Advances in dynamic test of deep rocks considering in-situ mechanical and hydraulic conditions. Deep Resour. Eng. 2024, 1, 100020. [Google Scholar] [CrossRef]
- Okubo, S.; Fukui, K.; Qingxin, Q. Uniaxial compression and tension tests of anthracite and loading rate dependence of peak strength. Int. J. Coal Geol. 2006, 68, 196–204. [Google Scholar] [CrossRef]
- Li, Y.-W.; Zhang, J.; Liu, Y. Effects of loading direction on failure load test results for Brazilian tests on coal rock. Rock Mech. Rock Eng. 2016, 49, 2173–2180. [Google Scholar] [CrossRef]
- Zhao, Y.; Zhao, G.-F.; Jiang, Y.; Elsworth, D.; Huang, Y. Effects of bedding on the dynamic indirect tensile strength of coal: Laboratory experiments and numerical simulation. Int. J. Coal Geol. 2014, 132, 81–93. [Google Scholar] [CrossRef]
- Zhao, Y.; Gong, S.; Zhang, C.; Zhang, Z.; Jiang, Y. Fractal characteristics of crack propagation in coal under impact loading. Fractals 2018, 26, 1840014. [Google Scholar] [CrossRef]
- Pomeroy, C.; Robinson, D.J. The effect of applied stresses on the permeability of a middle rank coal to water. In International Journal of Rock Mechanics and Mining Sciences & Geomechanics Abstracts; Elsevier: Amsterdam, The Netherlands, 1967. [Google Scholar]
- Koenig, R.; Stubbs, P. Interference testing of a coalbed methane reservoir. In Proceedings of the SPE Unconventional Resources Conference/Gas Technology Symposium, Louisville, Kentucky, 18–21 May 1986; SPE: Houston, TX, USA, 1986. [Google Scholar]
- Gash, B.W.; Volz, R.F.; Potter, G.; Corgan, J.M. The effects of cleat orientation and confining pressure on cleat porosity, permeability and relative permeability in coal. In Proceedings of the SPWLA/SCA Symposium, Oklahoma City, OK, USA, 14–17 June 1992. [Google Scholar]
- Liu, Z.; Liu, D.; Cai, Y.; Pan, Z. Experimental study of the effective stress coefficient for coal anisotropic permeability. Energy 2020, 34, 5856–5867. [Google Scholar] [CrossRef]
- Yan, Z.; Wang, K.; Zang, J.; Wang, C.; Liu, A. Anisotropic coal permeability and its stress sensitivity. Int. J. Min. Sci. Technol. 2019, 29, 507–511. [Google Scholar] [CrossRef]
- Zhang, H.; Liu, J.; Elsworth, D. How sorption-induced matrix deformation affects gas flow in coal seams: A new FE model. Int. J. Rock Mech. Min. Sci. 2008, 45, 1226–1236. [Google Scholar] [CrossRef]
- Yang, D.; Qi, X.; Chen, W.; Wang, S.; Dai, F. Numerical investigation on the coupled gas-solid behavior of coal using an improved anisotropic permeability model. J. Nat. Gas Sci. Eng. 2016, 34, 226–235. [Google Scholar] [CrossRef]
- Wang, K.; Zang, J.; Wang, G.; Zhou, A. Anisotropic permeability evolution of coal with effective stress variation and gas sorption: Model development and analysis. Int. J. Coal Geol. 2014, 130, 53–65. [Google Scholar] [CrossRef]
- Wang, H.; Marongiu-Porcu, M. A unified model of matrix permeability in shale gas formations. In Proceedings of the SPE Reservoir Simulation Conference, Houston, TX, USA, 23–25 February 2015; SPE: Houston, TX, USA, 2015. [Google Scholar]
- Wang, G.; Massarotto, P.; Rudolph, V. An improved permeability model of coal for coalbed methane recovery and CO2 geosequestration. Int. J. Coal Geol. 2009, 77, 127–136. [Google Scholar] [CrossRef]
- Peng, Y.; Liu, J.; Wei, M.; Pan, Z.; Connell, L.D. Why coal permeability changes under free swellings: New insights. Int. J. Coal Geol. 2014, 133, 35–46. [Google Scholar] [CrossRef]
- Pan, Z.; Ma, Y.; Danesh, N.N.; Connell, L.D.; Sander, R.; Down, D.I.; Camilleri, M. Measurement of shale anisotropic permeability and its impact on shale gas production. In Proceedings of the SPE Asia Pacific Unconventional Resources Conference and Exhibition, Brisbane, Australia, 9–11 November 2015; SPE: Houston, TX, USA, 2015. [Google Scholar]
- Liu, J.; Chen, Z.; Elsworth, D.; Miao, X.; Mao, X. Evaluation of stress-controlled coal swelling processes. Int. J. Coal Geol. 2010, 83, 446–455. [Google Scholar] [CrossRef]
- Liu, H.-H.; Rutqvist, J. A new coal-permeability model: Internal swelling stress and fracture–matrix interaction. Transp Porous Media 2010, 82, 157–171. [Google Scholar] [CrossRef]
- Zhou, H.; Rong, T.; Wang, L.; Mou, R.; Ren, W. A new anisotropic coal permeability model under the influence of stress, gas sorption and temperature: Development and verification. Int. J. Rock Mech. Min. Sci. 2020, 132, 104407. [Google Scholar] [CrossRef]
- Li, J.; Li, B. Modeling of anisotropic coal permeability under the effects of matrix-fracture interaction. J. Nat. Gas Sci. Eng. 2021, 93, 104022. [Google Scholar] [CrossRef]
- Tan, Y.; Pan, Z.; Liu, J.; Kang, J.; Zhou, F.; Connell, L.D.; Yang, Y. Experimental study of impact of anisotropy and heterogeneity on gas flow in coal. Part I: Diffusion and adsorption. Fuel 2018, 232, 444–453. [Google Scholar] [CrossRef]
- Cui, G.; Liu, J.; Wei, M.; Shi, R.; Elsworth, D. Why shale permeability changes under variable effective stresses: New insights. Fuel 2018, 213, 55–71. [Google Scholar] [CrossRef]
- Karacan, C.Ö. Swelling-induced volumetric strains internal to a stressed coal associated with CO2 sorption. Int. J. Coal Geol. 2007, 72, 209–220. [Google Scholar] [CrossRef]
- Cui, G.; Xia-Ting, F.; Pan, Z.; Chen, T.; Liu, J.; Elsworth, D.; Tan, Y.; Wang, C. Impact of shale matrix mechanical interactions on gas transport during production. J. Pet. Sci. Eng 2019, 184, 106524. [Google Scholar] [CrossRef]
- Biot, M.A. General theory of three-dimensional consolidation. J. Appl. Phys. 1941, 12, 155–164. [Google Scholar] [CrossRef]
- Detournay, E.; Cheng, A.H.-D. Fundamentals of poroelasticity. In Analysis and Design Methods; Elsevier: Amsterdam, The Netherlands, 1993; pp. 113–171. [Google Scholar]
- Cheng, W.; Cui, G.; Tan, Y.; Elsworth, D.; Wang, C.; Yang, C.; Chen, T.; Jiang, C. A multi-layer nanocased model to explain the U-shaped evolution of shale gas permeability at constant confining pressure. Fuel 2024, 359, 130478. [Google Scholar] [CrossRef]
- Shao, J.-F.; Yu, Z.; Liu, Z.; Vu, M.-N.; Armand, G. Numerical analysis of thermo-hydromechanical process related to deep geological radioactive repository. Deep Resour. Eng. 2024, 1, 100001. [Google Scholar] [CrossRef]
- Cui, G.; Liu, J.; Wei, M.; Feng, X.; Elsworth, D. Evolution of permeability during the process of shale gas extraction. J. Nat. Gas Sci. Eng. 2018, 49, 94–109. [Google Scholar] [CrossRef]
- Wu, Y.; Liu, J.; Elsworth, D. Development of permeability anisotropy during coalbed methane production. In Proceedings of the ARMA US Rock Mechanics/Geomechanics Symposium, Salt Lake, UT, USA, 27–30 June 2010; ARMA: Alexandria, UA, USA, 2010. [Google Scholar]
- Cui, X.; Bustin, R.M.J.A.B. Volumetric strain associated with methane desorption and its impact on coalbed gas production from deep coal seams. AAPG Bull. 2005, 89, 1181–1202. [Google Scholar] [CrossRef]
- Liu, J.; Chen, Z.; Elsworth, D.; Qu, H.; Chen, D. Interactions of multiple processes during CBM extraction: A critical review. Int. J. Coal Geol. 2011, 87, 175–189. [Google Scholar] [CrossRef]
- Liu, J.; Elsworth, D.; Brady, B. Linking stress-dependent effective porosity and hydraulic conductivity fields to RMR. Int. J. Rock Mech. Min. Sci. 1999, 36, 581–596. [Google Scholar] [CrossRef]
- Jiang, C.; Zhao, Z.; Zhang, X.; Liu, J.; Elsworth, D.; Cui, G. Controlling effects of differential swelling index on evolution of coal permeability. J. Rock Mech. Geotech. Eng. 2020, 12, 461–472. [Google Scholar] [CrossRef]
- Sun, Z.; Elsworth, D.; Cui, G.; Li, Y.; Zhu, A.; Chen, T. Impacts of rate of change in effective stress and inertial effects on fault slip behavior: New insights into injection-induced earthquakes. J. Geophys. Res. Solid Earth 2024, 129, e2023JB027126. [Google Scholar] [CrossRef]
- Zhu, W.; Liu, L.; Liu, J.; Wei, C.; Peng, Y. Impact of gas adsorption-induced coal damage on the evolution of coal permeability. Int. J. Rock Mech. Min. Sci. 2018, 101, 89–97. [Google Scholar] [CrossRef]
- Guo, H.; Wang, K.; Cheng, Y.; Yuan, L.; Xu, C. Model development and analysis of coal permeability based on the equivalent characteristics of dual-porosity structure. J. Geophys. Eng. 2020, 17, 313–327. [Google Scholar] [CrossRef]
- Tan, Y.; Pan, Z.; Liu, J.; Wu, Y.; Haque, A.; Connell, L.D. Experimental study of permeability and its anisotropy for shale fracture supported with proppant. J. Nat. Gas Sci. Eng. 2017, 44, 250–264. [Google Scholar] [CrossRef]
- Tan, Y.; Pan, Z.; Liu, J.; Feng, X.-T.; Connell, L.D. Laboratory study of proppant on shale fracture permeability and compressibility. Fuel 2018, 222, 83–97. [Google Scholar] [CrossRef]
- Pan, Z.; Connell, L.D. Modelling of anisotropic coal swelling and its impact on permeability behaviour for primary and enhanced coalbed methane recovery. Int. J. Coal Geol. 2011, 85, 257–267. [Google Scholar] [CrossRef]
- Lou, Z.; Wang, K.; Zang, J.; Zhao, W.; Qin, B.; Kan, T. Effects of permeability anisotropy on coal mine methane drainage performance. Eng. Fract. Mech. 2021, 86, 103733. [Google Scholar] [CrossRef]
- Chen, J.; Dai, Z. Metaheuristic algorithms for groundwater model parameter inversion: Advances and prospects. Deep Resour. Eng. 2024, 1, 100009. [Google Scholar] [CrossRef]











| Symbol | Description | Value | Unit |
|---|---|---|---|
| υ | Poisson’s ratio | 0.3 | |
| ρc | The density of coal | 1300 | kg/m3 |
| α | Biot coefficient | 0.67 | |
| ρac | CO2 density under standard conditions | 1.977 | kg/m3 |
| µ | Dynamic viscosity | 1.84 × 10−5 | Pa·s |
| φ0 | Initial porosity | 0.008 | |
| VL | Langmuir volume constant | 0.015 | m3/kg |
| D | Diffusion coefficient | 5 × 10−16 | m2/s |
| Name | Increase | Descend | Rebound | Descend/Increase kmin/kmax | Rebound/Increase kend/kmax | ||||
|---|---|---|---|---|---|---|---|---|---|
| (k/k0)max | Time(s) | (k/k0)min | Time(s) | (k/k0)end | Time(s) | ||||
| Ever:Epar = 1:1 | x | 1.95 | 158 | 1.74 | 398 | 1.76 | 1000 | 0.89 | 0.90 |
| y | 2.17 | 199 | 2.16 | 354 | 2.24 | 1000 | 1.00 | 1.03 | |
| z | 1.67 | 158 | 1.46 | 501 | - | 0.87 | - | ||
| Ever:Epar = 1:3 | x | 2.02 | 158 | 1.85 | 398 | 1.88 | 1000 | 0.92 | 0.93 |
| y | 1.81 | 178 | 1.69 | 398 | 1.71 | 794 | 0.93 | 0.94 | |
| z | 1.50 | 126 | 1.17 | 562 | - | 0.78 | - | ||
| Ever:Epar = 1:5 | x | 3.09 | 158 | - | 4.03 | 1585 | - | 1.30 | |
| y | 1.89 | 178 | 1.58 | 446 | 1.90 | 1412 | 0.84 | 1.01 | |
| z | 2.64 | 158 | - | 3.54 | 1412 | - | 1.34 | ||
| Ever:Epar = 1:7 | x | 4.70 | 158 | - | 8.17 | 1995 | - | 1.74 | |
| y | 1.86 | 158 | 1.70 | 501 | 1.71 | 794 | 0.91 | 0.92 | |
| z | 4.23 | 158 | - | 7.50 | 1995 | - | 1.77 | ||
| Name | Increase | Descend | Rebound | Descend/Increase kmin/kmax | Rebound/Increase kend/kmax | ||||
|---|---|---|---|---|---|---|---|---|---|
| (k/k0)max | Time(s) | (k/k0)min | Time(s) | (k/k0)end | Time(s) | ||||
| D = 5 × 10−14 m2/s | x | 2.14 | 199 | - | 2.40 | 794 | - | 1.12 | |
| y | 1.92 | 199 | - | 2.08 | 794 | - | 1.08 | ||
| z | 1.86 | 199 | - | 2.01 | 794 | - | 1.08 | ||
| D = 5 × 10−16 m2/s | x | 2.36 | 199 | 2.30 | 398 | 2.39 | 1258 | 0.97 | 1.01 |
| y | 2.06 | 199 | 2.01 | 398 | 2.08 | 1258 | 0.98 | 1.01 | |
| z | 2.01 | 199 | 1.95 | 398 | 2.01 | 1258 | 0.97 | 1.00 | |
| D = 5 × 10−18 m2/s | x | 3.19 | 562 | 2.31 | 2511 | - | 0.72 | - | |
| y | 2.67 | 562 | 2.02 | 2511 | - | 0.76 | - | ||
| z | 2.62 | 562 | 1.96 | 2511 | - | 0.75 | - | ||
| Name | Increase | Descend | Rebound | Descend/Increase kmin/kmax | Rebound/Increase kend/kmax | ||||
|---|---|---|---|---|---|---|---|---|---|
| (k/k0)max | Time(s) | (k/k0)min | Time(s) | (k/k0)end | Time(s) | ||||
| εL = 0.01 | x | 1.61 | 112 | 1.07 | 749 | - | 0.66 | - | |
| y | 1.49 | 112 | 1.08 | 891 | - | 0.72 | - | ||
| z | 1.48 | 112 | 1.06 | 707 | - | 0.72 | - | ||
| εL = 0.1 | x | 2.36 | 200 | 2.30 | 398 | 2.39 | 1258 | 0.97 | 1.01 |
| y | 2.06 | 200 | 2.01 | 398 | 2.08 | 1258 | 0.98 | 1.01 | |
| z | 2.01 | 200 | 1.95 | 398 | 2.01 | 1258 | 0.97 | 1.00 | |
| εL = 0.2 | x | 3.78 | 200 | - | 4.80 | 1778 | - | 1.27 | |
| y | 3.08 | 200 | - | 3.80 | 1413 | - | 1.23 | ||
| z | 2.98 | 200 | - | 3.63 | 1413 | - | 1.22 | ||
| Fracture Size in Bedding Direction | Increase | Descend | Rebound | Descend/Increase kmin/kmax | Rebound/Increase kend/kmax | ||||
|---|---|---|---|---|---|---|---|---|---|
| (k/k0)max | Time(s) | (k/k0)min | Time(s) | (k/k0)end | Time(s) | ||||
| 0.2 μm | x | 2.36 | 200 | 2.30 | 398 | 2.39 | 1258 | 0.97 | 1.01 |
| y | 2.06 | 200 | 2.01 | 398 | 2.08 | 1258 | 0.98 | 1.01 | |
| z | 2.01 | 200 | 1.95 | 398 | 2.01 | 1258 | 0.97 | 1.00 | |
| 0.4 μm | x | 2.27 | 200 | 2.18 | 398 | 2.26 | 1778 | 0.96 | 1.00 |
| y | 2.01 | 200 | 1.96 | 355 | 2.02 | 1584 | 0.98 | 1.00 | |
| z | 1.90 | 200 | 1.81 | 398 | 1.86 | 1778 | 0.95 | 0.98 | |
| 0.6 μm | x | 2.20 | 158 | 2.11 | 316 | 2.20 | 1778 | 0.96 | 1.00 |
| y | 1.97 | 178 | 1.92 | 316 | 1.99 | 1584 | 0.97 | 1.01 | |
| z | 1.84 | 158 | 1.73 | 354 | 1.80 | 1584 | 0.94 | 0.98 | |
| Matrix Block Size | Increase | Descend | Rebound | Descend/Increase kmin/kmax | Rebound/Increase kend/kmax | ||||
|---|---|---|---|---|---|---|---|---|---|
| (k/k0)max | Time(s) | (k/k0)min | Time(s) | (k/k0)end | Time(s) | ||||
| Decrease by 0 μm | x | 2.36 | 200 | 2.30 | 398 | 2.39 | 1258 | 0.97 | 1.01 |
| y | 2.06 | 200 | 2.01 | 398 | 2.08 | 1258 | 0.98 | 1.01 | |
| z | 2.01 | 200 | 1.95 | 398 | 2.01 | 1258 | 0.97 | 1.00 | |
| Decrease by 0.1 μm | x | 2.11 | 200 | 2.10 | 281 | 2.21 | 1258 | 1.00 | 1.05 |
| y | 1.87 | 200 | 1.86 | 281 | 1.94 | 1258 | 0.99 | 1.04 | |
| z | 1.82 | 200 | 1.81 | 281 | 1.88 | 1258 | 0.99 | 1.03 | |
| Decrease by 0.2 μm | x | 1.82 | 125 | - | 2.00 | 501 | - | 1.10 | |
| y | 1.65 | 125 | - | 1.99 | 501 | - | 1.21 | ||
| z | 1.61 | 125 | - | 1.72 | 501 | - | 1.07 | ||
Disclaimer/Publisher’s Note: The statements, opinions and data contained in all publications are solely those of the individual author(s) and contributor(s) and not of MDPI and/or the editor(s). MDPI and/or the editor(s) disclaim responsibility for any injury to people or property resulting from any ideas, methods, instructions or products referred to in the content. |
© 2024 by the authors. Licensee MDPI, Basel, Switzerland. This article is an open access article distributed under the terms and conditions of the Creative Commons Attribution (CC BY) license (https://creativecommons.org/licenses/by/4.0/).
Share and Cite
Chen, X.; Cui, G.; Luo, J.; Wang, C.; Zhang, J. Effect of the Heterogeneity of Coal on Its Seepage Anisotropy: A Micro Conceptual Model. Energies 2024, 17, 6484. https://doi.org/10.3390/en17246484
Chen X, Cui G, Luo J, Wang C, Zhang J. Effect of the Heterogeneity of Coal on Its Seepage Anisotropy: A Micro Conceptual Model. Energies. 2024; 17(24):6484. https://doi.org/10.3390/en17246484
Chicago/Turabian StyleChen, Xiuling, Guanglei Cui, Jiaming Luo, Chunguang Wang, and Jian Zhang. 2024. "Effect of the Heterogeneity of Coal on Its Seepage Anisotropy: A Micro Conceptual Model" Energies 17, no. 24: 6484. https://doi.org/10.3390/en17246484
APA StyleChen, X., Cui, G., Luo, J., Wang, C., & Zhang, J. (2024). Effect of the Heterogeneity of Coal on Its Seepage Anisotropy: A Micro Conceptual Model. Energies, 17(24), 6484. https://doi.org/10.3390/en17246484

