Abstract
This paper aims to propose inductive wireless power transfer (IWPT) technology for pinpointing fault locations in LV distribution underground cables following the use of other pre-location methods. The proposed device is portable, hence battery-powered, and operates by scanning for faults above ground via inductive coupling with the de-energized cable. This primarily relies on impedance changes in the cable due to permanent faults as the device scans the length of the cable. A detailed frequency domain mathematical model for the system is deduced and circuit design/parameters affecting the inductive coupling are investigated. An optimal design strategy for the portable device is demonstrated to achieve high fault-locating sensitivity with a minimum device VA rating. The device is tested under multiple fault scenarios (including shunt and open-circuit (cable break) faults) using a MATLAB/Simulink circuit model, and the results are validated against the mathematical model. The device’s performance with single-core and multi-core cables is examined. Finally, a critical comparative evaluation of the IWPT method with existing fault pinpointing techniques is conducted that highlights both the advantages and limitations of the proposed technique. The research shows that the proposed technology provides a promising new solution for LV network operators to minimize excavations for underground cable faults by pinpointing locations where a considerable deflection in induced cable current occurs when passing a fault point.
1. Introduction
Underground cables can be either single-core or multi-core and are composed of conductors surrounded by multiple insulation layers for both mechanical and electrical protection. As shown in Figure 1, the central core is typically made from either aluminum or copper, which serves as the primary conductor for carrying electrical current. These cables may feature one or more cores, which are often stranded to minimize skin and proximity effects and enhance flexibility [1]. Each core is surrounded by an insulating layer, with thicknesses designed to meet the voltage requirements, ensuring the cable can handle both line-to-line and line-to-ground voltages while withstanding transients and surges [2]. Surrounding the core insulation is a metallic sheath, usually made of aluminum or lead, which plays two vital roles: it prevents moisture and harmful soil chemicals from reaching and damaging the insulation, and it provides a grounded return path for any leakage currents from the core to the ground, thus safeguarding the outer insulation. A bedding layer, typically made of materials such as jute or hessian tape, serves as a protective filler to shield the metallic sheath from corrosion and physical damage. Finally, an armoring layer, composed of galvanized steel wire, is placed above the bedding to provide robust mechanical protection for the internal cable components [2,3].
Figure 1.
Construction of an underground cable.
Cable failures can arise from a range of factors, with the type of failure being influenced by specific conditions. Manufacturing faults are typically caused by defects introduced during production, such as voids, contaminants, or imperfections like protrusions and eccentricity. Even after passing factory acceptance tests, these issues—especially those related to insulation—can remain undetected. Failures during installation can occur even after successful initial tests, often due to unfavorable conditions that impact the cable, including improper handling, inadequate sealing, or damage to joints, terminations, and conduits during installation [4]. Mechanical failures, on the other hand, result from external forces that compromise the insulation’s integrity, including stresses caused by thermal expansion or contraction, vibrations, and physical damage. Finally, operational failures are often linked to factors such as overheating, corrosion of the neutral, and deterioration of the metallic sheath or shield, all of which can affect the cable’s functionality and safety [5].
Due to the cables’ inaccessibility, fault-finding in underground power cables can be tedious, challenging, and expensive, especially in urban areas where overhead lines cannot be used [6]. Generally, three different types of faults can occur in underground cables which are shunt faults, series faults, and sheath faults. Shunt faults occur when two or more conductors/cores are in contact with each other, or one conductor/core is in contact with the ground or the cable sheath. The insulation materials deteriorate and cause an excessive amount of leakage current. Series faults occur in the case of cable breaks that partially or fully obstruct the current flow [7]. Sheath faults occur when the metallic sheath meets the ground due to over-sheath damage by external mechanical force [8].
Underground cable faults, particularly in low-voltage distribution networks (LVDNs), are significant since they result in customer supply interruptions, which are not only undesirable for customers but also cost the network operators financially. These supply interruptions can be measured by two crucial factors, which are the number of customers whose supplies have been interrupted per 100 customers per year (CI), and customer minutes lost (CML). As indicated in the RIIO-ED1 report in 2020/2021 [9], which is a document that reviews the activities and performance of the electricity distribution network operators (DNOs) in the UK, the CML ranges between 25 and 55 min which is improved by approximately 24% compared to the CML target. Also, CI ranges between 30 and 55 customers, which is also improved compared to the CI target. However, according to the PRA Rulebook [10], in 2020/2021, UK power networks paid a total of GBP 2,650,000 in penalty fees and fines to the regulator Ofgem. Therefore, improving fault-finding techniques will help reduce CML, thus enhancing service availability for end users and reducing the annual penalty fees paid by network operators.
Typically, fault-finding techniques can be classified into pre-location techniques and pinpointing techniques [11]. Regarding pre-location techniques, computational fault-finding techniques can be applied at all voltage levels. These techniques use several measurements and data to automate the fault-locating process [12]. As indicated in [13], they can be divided into five methods: the traveling wave method, the impedance-based method, expert systems-based methods, sparse measurements, and hybrid methods. The traveling wave method measures the arrival time and frequency of the traveling waves at one or both ends of the line, then uses the wave propagation speed and the line length to determine the distance to the fault. This method uses the transient signals produced by a fault in a transmission line to estimate the location and type of the fault. The traveling wave approach is superior to previous approaches in that it has high accuracy and fast response. However, analyzing the voltage and current traveling waves caused by the fault demands a high sample frequency, which increases the cost [14,15,16,17,18]. The impedance-based method uses the voltage and current measurements along with the cable parameters to determine the fault distance from the measuring point [12,13,19]. Expert system-based methods, as the name indicates, depend on expert systems (ESs) such as artificial neural networks, fuzzy logic, and other ESs to estimate the fault location based on large simulated or real data sets [20,21,22,23]. The sparse measurements approach determines the location and type of a fault by taking only a few voltage or current measurements at chosen points in a power system [24,25,26]. Hybrid methods use a combination of any other methods mentioned above. Although computational techniques offer high accuracy, they depend on online measurements and data obtained from monitoring systems such as SCADA [18]. As stated in [27], most LVDNs in the UK (and several locations worldwide) have not yet implemented fault acknowledgment based on smart meters and SCADA systems and instead depend on customer trouble calls. So, until this happens, the computational-based methods are not very practical. Another commonly used fault pre-location method is the time domain reflectometer (TDR). It operates by sending an energy pulse along the faulty cable and measuring the reflections that return from any changes in impedance or breaks in the cable. Then, the fault type and location can be estimated based on the time and profile of these reflections [28,29]. However, all pre-location methods can only provide an estimate of fault location rather than an exact pinpoint.
Fault pinpointing techniques are typically used once the fault is pre-located. There are several pinpointing techniques such as the sniffer method, twist method, voltage gradient method, and cut and test method. A cable sniffer is a device that detects and analyzes the gas emitted due to insulation failure [30]. It is worth noting that the gas may disperse into the air before the issue is identified, making this method susceptible to failure. Additionally, the cable ducts could prevent the gas from rising to the surface, or the cable breakdown may not release enough gas to be detected. The twist method can also be used to find fault locations in multi-cored cables. However, this technique is limited to low-resistance faults only (for fault resistance less than 2 ohms) [5]. The voltage gradient method locates the fault in underground cables by taking advantage of the variation in electric potential along the ground’s surface or the cable sheath. It is suitable for pinpointing faults only when the surrounding soil is in contact with the faulted area, so this method is not suitable in cases with a ducted cable, for example [27,30]. The Tone Tracing technique can be used to pinpoint faults; however, it can only be applied to directly buried cables, and its sensitivity depends on the receiver gain and the fault current source [30,31]. The cut and test method is the last option to pinpoint the fault location when other methods fail to pinpoint the fault. However, it is time-consuming and adds additional costs to the fault repair process [5].
To address the shortcomings of existing fault pinpointing techniques, this paper proposes an inductive wireless power transfer (IWPT) technology [32] to pinpoint permanent fault locations in de-energized cables, minimizing dispatch team excavations and improving CMLs and CIs for network operators and customers. The proposed technique can detect shunt faults and open-circuit faults (high-resistance cable breaks), unlike the twisted pair-based method. It can also identify faults in ducted cables, with no need for the cable to be in direct contact with soil, unlike the voltage gradient method. The device is designed specifically to locate permanent faults in underground cables, so it is explicitly used for post-fault detection, not pre-fault conditions. It functions as an offline pinpointing tool after the cable has been de-energized by the protection schemes and the cable under test is disconnected at both ends. It is intended to be used following fault pre-location using established techniques. Currently, there are very few tools available for locating faults in low-voltage (LV) cables, apart from time-domain reflectometers (TDRs), which only estimate fault locations but do not exactly pinpoint them. This technique, therefore, is proposed as an additional pinpointing tool that can fine-tune fault location for LV cables.
This paper is organized as follows. Section 2 presents the proposed device construction and overall system layout; Section 3 derives a mathematical model for the system; Section 4 demonstrates the fault pinpointing principle of operation; Section 5 studies the effect of the device’s circuit parameters on the fault-locating sensitivity; Section 6 identifies the role of reactive compensation the proposed device and compares between different types; and Section 7 determines the optimal design procedure of the device to achieve high fault-locating sensitivity with minimum device VA rating. Using MATLAB/Simulink (2024a) simulations of single-core cables, Section 8 investigates the device’s ability to locate faults under various circuit configurations and scenarios, while Section 9 demonstrates the system’s performance with multi-core cables. Section 10 provides a critical comparative evaluation of the proposed IWPT method, highlighting its advantages and limitations in comparison to traditional fault pinpointing techniques. Conclusions are provided in Section 11.
2. Proposed Device Construction and Overall System Layout
Figure 2 shows the construction and layout of the proposed IWPT system for fault pinpointing where a battery-powered scanning portable device is used. This portable device consists of a battery whose output voltage () is converted into high-frequency AC voltage via a single-phase voltage source inverter (VSI) powering an electromagnet (). The current flowing through the electromagnet () sets up a magnetic field () which in turn couples with the de-energized cable, inducing a voltage-like transformer effect. Voltage is assumed to be induced in the grounded cable sheath only, as it acts as a metallic shield to the inner conductor core. This outer sheath-induced voltage can generate a current flow in the cable conductor if a closed current path is created, as shown in Figure 2, by connecting the conductor core to the grounded sheath at any end of the faulty cable. This is possible once the faulty cable has been identified by other pre-location methods, and the necessary connection can be made by the dispatch team at any of the cable terminating points. Grounding the conductor core is only necessary on one of the cable ends (grounding pillar 2), as this is not only easier for the dispatch team but, more importantly, creates an essential asymmetry to ensure the equivalent cable impedance is different on both sides of the fault. This step is integral to differentiation in induced currents and thus fault localization based on this difference. Current measurement is therefore needed at this grounding connection point with the conductor core, as shown in Figure 2. Grounding pillar 1 represents the real-world scenario where the cable’s metallic sheath would be grounded at both ends. A virtual resistance () between the two grounding pillars represents soil resistivity, electrode depth, and electrode cross-section area. This virtual resistance is included in Figure 2 to provide a complete representation of the system; however, it will be omitted in subsequent figures for simplicity. The omission is justified as does not significantly influence the analysis due to the negligible current it contributes. The IWPT technique is designed to detect faults based on the sudden changes in the cable impedance at the fault location, which results in abrupt variations in the measured current at the ammeter. This abrupt current change is dominant over the negligible absolute value of current caused by , hence including this virtual resistance in subsequent analysis would unnecessarily complicate the visual and mathematical representation.

Figure 2.
The proposed IWPT-based fault pinpointing device with shunt ground fault. Device in three distinct positions: (a) before fault location, (b) passing over the fault location, and (c) after the fault location.
To achieve effective inductive coupling between the portable device and the cable, necessary to achieve meaningful current measurement for typical burial distances of 0.5–1 m, some considerations were in place. Firstly, a reactive compensation circuit, as shown in Figure 2a, is needed to aid in providing the reactive power needed by the electromagnet to maximize the possible magnetic field generated without significantly oversizing the system battery [33]. Maximizing the magnetic field will in turn amplify the generated cable current.
As the portable device scans the faulty cable, the current measured by the ammeter will be constantly monitored by a member of the dispatch team. The current is expected to vary due to the variation in the equivalent cable impedance seen by the section of the sheath underground, which is directly aligned and coupled with the electromagnet above ground. This equivalent cable impedance changes as the device travels from one side of the cable fault to the other, as shown in Figure 2. This, in turn, is expected to cause a noticeable current measurement variation in the ammeter which can be used to identify the cable fault location in a fairly accurate manner as it travels over the fault point.
3. System Modeling
Consider a shunt fault (short circuit ground or through a resistance representing cable insulation aging degradation/failure) occurring in a single-core cable of length (L), as shown in Figure 3. The fault point is located at a distance from the cable end to which the ammeter is connected, as shown in Figure 3, and the device is located at a distance from the same end. Also, let us assume that () is the device’s range where the magnetic coupling occurs between the device’s electromagnet () and the cable sheath. In this case, the circuit model describing the current measured by the ammeter at any distance () can be expressed as a piecewise model in three operating modes:
Figure 3.
Modeling diagram of the proposed IWPT-based fault pinpointing device.
Mode (1): Device before the fault point
Mode (2): Device passing over the fault point
Mode (3): Device after the fault point
The equivalent circuit models for the three modes will be described in detail in the following sub-sections.
3.1. Mode (1)
This mode describes the system when the portable device is located before the fault point, (i.e., ). In this situation, the system can be described by the equivalent circuit shown in Figure 4a, which consists of 4 cascaded representations of the cable:
where all the parameters are denoted as follows:
- The per-meter core inductance.
- The per-meter sheath inductance.
- The per-meter core resistance.
- The per-meter sheath resistance.
- The per-meter cable core to sheath capacitance.
- M
- The mutual inductance between the electromagnet and the sheath.
- K
- The magnetic coupling factor.
- L
- The cable length.
- The output voltage of the VSI, which is represented by square wave generator.
3.2. Mode (2)
This mode describes the system when the portable device is passing over the fault point (i.e., ). In this situation, the system can be described by the equivalent circuit shown in Figure 4b, where:
3.3. Mode (3)
This mode describes the system when the portable device has moved completely beyond the fault point (i.e., . In this situation, the system can be described by the equivalent circuit shown in Figure 4c, where:
Figure 4.
Equivalent circuit of the proposed fault pinpointing device for shunt ground fault condition: (a) mode (1), (b) mode (2), and (c) mode (3).
4. Fault Pinpointing Principle of Operation
The two most common types of faults that can be located using the device are shunt faults and series faults. The following sub-section describes the principle of operation to locate and distinguish between these types of faults.
4.1. Shunt Faults
Consider a case study where a shunt ground fault (through resistance RF) occurs in the mid-point of a single-core cable whose parameters are summarized in Table 1, while the specifications of the portable device are summarized in Table 2. The reactive compensation circuit depicted in Figure 2, is not applied in this case study, for the sake of simplicity. The magnetic coupling factor (K) is typically in the range 0 ≤ K ≤ 1, with the higher end of the range representing strong magnetic coupling and vice versa. In this case study, a low value of K = 0.1 is assumed to reflect the expected weak magnetic coupling between the device and cable due to the burial distance, soil separation, and non-magnetic nature of the receiver circuit (sheath) in the cable. Ground fault resistance is assumed.
Table 1.
Single-core cable parameters.
Table 2.
Specification of the portable device.
The equivalent circuits in Figure 4 are simulated using MATLAB/Simulink software (2024a) and run using the system parameters in Table 1 and Table 2. Reactive compensation is just added to the equivalent circuits for illustration purposes at this stage. Based on the piecewise model for the system, reflecting the three operating modes described in Section 3, a relation between the rms-induced current measured by the ammeter and the distance/position of the portable device () can be obtained, as shown in Figure 5. As indicated in the figure, the cable with no fault shows a steady decrease in the measured current until the device reaches the other end of the cable (d = 100 m). This is because current flows directly from the sheath to earth, and the linear increase in impedance as the device moves away from the earth point causes a steady decrease in current. In contrast, in the cable with a shunt ground fault at mid-point (d = 50 m), a deflection in the ammeter reading appears when the portable device passes the fault location, allowing the fault location to be identified. A negligible amount of current flows beyond the fault location through the as a return path. Therefore, this current is assumed to be zero for the purpose of analysis. I1 and I2 are the induced currents in the cable before and after the fault point. Moreover, as can be seen from Figure 5, the deflection in the measured current begins at 49 m for a fault located at 50 m, indicating that the device’s fault location accuracy can be within a 1-m range under typical conditions. It is evident that I1 is higher in the faulty case compared to the non-faulty case.
Figure 5.
The rms-induced current I measured by the ammeter vs. the distance/position d of the portable device from the cable end where the ammeter is connected, under shunt ground fault () and healthy cable ().
It is worth noting that, for the sake of modeling in this paper, only the VSI fundamental frequency voltage is considered, which is a reasonable consideration since the harmonic currents resulting from the typical VSI square-wave voltage will be small compared to the fundamental current due to the low-pass filtering action of the electromagnet.
4.2. Series Faults
The other common fault type in underground cables is the series or open-circuit fault (cable breaks). This commonly happens in cable joints, which are weak points prone to bad contact or disconnection if a cable explodes, or due to a high-impedance neutral/conductor. Figure 6 depicts the system layout with a full cable break. Like the system under shunt ground faults described in the previous sub-section, the circuit model describing the operation under open-circuit faults has three modes, each with its equivalent circuit as shown in Figure 7. Like Figure 4, reactive compensation is just added for illustration purposes at this stage. Figure 8 shows the induced current I versus the distance (d) using the same cable parameters in Table 1. As indicated in Figure 8, the measured current profile against the distance differs from the case of the shunt fault, as seen in Figure 5. With open-circuit faults, there is no closed-circuit path through the conductor core even with the physical connection being in place between the core and sheath. The current path is directly from the point of voltage induction in the sheath to the ground. The impedance of this path is purely dependent on the length of the cable section between the point of voltage induction in the cable and the grounding point where the cable terminates. This impedance is minimal when the device is at the cable termination point, resulting in the maximum induced current, and the impedance increases as the device travels away from that point toward the cable break. Once the device crosses the cable break, there is no current measured. This explains why the current decays linearly in Figure 8 until reaching zero current at the fault location. On the other hand, the current profile was more of a step change in the case of shunt faults, as in Figure 5. In this case, the current path is different, as the current passes through the conductor core and fault resistance. Such fault resistance is constant, as is the impedance of the closed current path, and results in the constant measured current profile. This gives rise to an additional interesting feature of this proposed fault pinpointing technology: its ability to detect and differentiate between different types of faults using the measured current profile and not only the fault location.
Figure 6.
The proposed fault pinpointing device with open-circuit fault (cable break). Device is shown in three different positions: (a) before fault location, (b) passing over the fault location, and (c) after the fault location.
Figure 7.
Equivalent circuit of the proposed fault pinpointing device under cable break condition: (a) mode (1), (b) mode (2), and (c) mode (3).
Figure 8.
The rms-induced current I measured by the ammeter vs. the distance/position d of the portable device from the cable end where the ammeter is connected, under series fault (cable break).
In this case, a flat current profile indicates the fault is more likely to be a shunt ground fault, and a linear current profile is most likely to be a cable break.
5. Effect of the Device Circuit Parameters on the Fault Locating Sensitivity
The cable-induced current to be measured should be high enough to ensure the dispatch team can clearly distinguish induced current from measurement noise. The portable scanning device can be designed to ensure the required measured current can be induced. Therefore, this section will focus on the effect of the device’s circuit and control parameters on the measured current, and thus the fault-locating sensitivity. An important factor should be defined first, which is the deflection current. It can be defined as the difference between the current values measured by the ammeter before and after the portable device passes the fault location. Therefore, based on Figure 5, it can be expressed as follows:
It is worth noting that the deflection current is a crucial factor that determines the sensitivity of the device. As the deflection current increases, the device’s sensitivity also increases, i.e., the device’s capability to differentiate between traveling over the fault from one side of the cable to the other.
To illustrate the effect of the parameters on the deflection current, the equivalent circuit of the system can be simplified as shown in Figure 9, where is the equivalent impedance seen by the device representing the mutual coupling between the electromagnet () and the cable sheath section aligned with it. The current is the induced cable current and, according to Figure 4, part of it will flow in the ammeter and part will flow through the core-to-sheath capacitance. The part of that is not flowing through the ammeter can be determined by simple current divider rule from circuit laws applied to Figure 4 and factor can be determined, with respect to total cable impedance , to obtain this portion of . This factor can be defined as follows, by performing frequency domain analysis on the circuits in Figure 4 using generic Laplace s-domain notation:
Figure 9.
Simplified equivalent circuit of the system.
Based on Figure 4, the current measured in the ammeter before and after the device passes the fault location can be expressed as follows:
where subscript represents the circuit status when the device is before and after the fault point (Mode (1) and Mode (3)), respectively. Equation (19) is verified by comparing the values of the calculated currents I1 and I2 with those obtained from the MATLAB/Simulink model based on Figure 4 for the same parameters in Table 1 and Table 2. The comparative results are shown in Figure 10.
Figure 10.
The waveform of the induced current flowing through the ammeter when the portable device is: (a) before the fault point, (b) after the fault point.
The deflection current in Equation (16) can be expressed as follows:
where is the phasor current induced in the cable due to the mutual coupling, and is the phasor fundamental VSI voltage whose rms value can be calculated as follows:
5.1. Effect of the Battery Voltage
The effect of the battery voltage can be examined using Equation (20). Due to the weak magnetic coupling, the term is too small compared to the supply voltage (i.e., >> ); therefore, the deflection current is directly proportional to and hence the battery voltage. This is illustrated in Figure 11, which depicts the deflection current against the battery voltage for the same case study whose parameters are summarized in Table 1 and Table 2.
Figure 11.
Effect of the battery voltage on the deflection current.
5.2. Effect of the Size of the Electromagnet Inductance
Based on Figure 9, the supply current can be expressed as follows:
Since in the usable range of frequencies, <<, therefore, the supply current is inversely proportional to the size of the electromagnet inductance.
Also, based on Equations (20) and (5), the deflection current can be expressed as follows:
Therefore, according to Equation (23), the electromagnet inductance size is inversely proportional to the square of the deflection current. This is clear in Figure 12, which depicts the relation between the deflection current and the electromagnet inductance size for the same previous case study.
Figure 12.
Effect of the electromagnet inductance size on the deflection current.
Therefore, to increase the deflection current and, hence, the sensitivity of the device, the inductor size can be reduced. However, it should be noted that this will increase the supply current, as shown in Equation (22), and therefore the VA rating of the device. This increase is the square of the increase in the deflection current.
5.3. Effect of Fault Resistance
As indicated in Figure 13, the deflection current decreases with the increase in the fault resistance, as expected due to the increase in and which are shown in Equation (20). This confirms the expected result of reduced device sensitivity with high-resistance faults.
Figure 13.
Effect of the fault resistance on the deflection current.
5.4. Effect of the Selected VSI Fundamental Frequency
The effect of the selected VSI fundamental frequency on both the deflection current and the supply current can be illustrated with the help of Equation (20) and Equation (22), respectively. At relatively high frequencies, the effect of the electromagnet inductance parasitic resistance can be neglected compared to its inductance (i.e., ). Therefore, in this situation the supply current is inversely proportional to the frequency. However, the deflection remains constant. This is because the sheath and core inductances are small compared to the fault resistance. This situation will continue until the frequency reaches a certain value such that the sheath and core inductances become dominant and, hence, the deflection current will decrease with the increase in the frequency. It is worth noting that as the fault resistance increases, the range of frequencies at which the deflection current remains constant increases and, hence, the quality factor (which is defined as the ratio between the center frequency of the bandpass over the entire bandpass region from the lower to upper cutoff frequencies) increases. Figure 14 illustrates the relation between the deflection current and the selected fundamental frequency.
Figure 14.
Effect of the selected VSI fundamental frequency on the deflection current.
In conclusion, to increase the deflection current, and hence increase the device’s sensitivity, the following options can be considered:
- The battery voltage can be increased. However, the VA rating of the device will increase since both the fundamental VSI output voltage and current will increase.
- The size of the electromagnet inductance can be decreased. However, the supply current (and hence the device’s VA rating) will increase by an amount which is the square of the increase in the deflection current.
- The selected fundamental frequency can be increased. However, this can be achieved until a certain value, after which any further increase in the frequency will result in a decrease in the deflection current. Also, the VSI switching losses will increase with the increase in frequency.
6. Effect of Reactive Compensation
As indicated in the options in Section 5, the deflection current cannot be increased without increasing the VA rating of the device. Therefore, reactive compensation can be used to increase the deflection current without increasing the supply current and the VA rating of the VSI and battery.
There are three types of reactive compensation circuits that can be applied in this situation: C circuit, LC circuit, and LCC circuit. Each one will be investigated in detail.
6.1. C Compensation Circuit
In this type, a series capacitance is inserted between the VSI output and the electromagnet inductance, as shown in Figure 15. In this situation, for the required values of supply current (), battery voltage , and electromagnet inductor voltage (), the sizes of the inductor and the capacitor can be determined based on Figure 15, as follows:
where is the rms of the fundamental VSI voltage. Notice that in Equation (27), there are two capacitance values that can achieve the same supplied current when the same is applied. However, the selected one should also ensure that the fundamental operating frequency is higher than the resonance frequency. Therefore, the selected value is the one which has the higher size, as indicated in Figure 16. Also, the deflection current can be obtained from Equations (20) and (24) as follows:
Figure 15.
Simplified equivalent circuit for system with C compensating circuit.
Figure 16.
The supply current versus supply frequency for the two capacitor sizes can achieve the same supply current at the fundamental operating frequency. Notice that the larger capacitor is , which ensures that the fundamental operating frequency is higher.
Equation (28) indicates that the deflection current can be increased without increasing the supply current (and hence the VA rating of the system) by increasing the electromagnet inductor voltage (). Inserting a series capacitor, as indicated in Equation (27), allows control of the electromagnet inductor voltage to be higher than the supply voltage to be higher than the supply voltage. Thus, it gives a degree of freedom to increase the deflection current at the cost of increasing the electromagnet inductor voltage. This would be constrained by the maximum electromagnet voltage that can be insulated for a given device size. It is worth noting that the case without a compensating circuit is just a special case of the C series compensation circuit (as Cs → ∞) where the electromagnet inductor voltage VL always equals the supply voltage Vs as from Equation (27).
Figure 17 shows the relation between the deflection current versus the fundamental frequency for different values of the electromagnet inductor voltage (. The same cable parameters in Table 1 are used to obtain the relations but with fault resistance RF = 100 at the mid-point of the cable, a 100 V battery, and supply current set to 3 A.
Figure 17.
Effect of electromagnet inductor voltage on the deflection current when C compensation circuit is used.
6.2. LC Compensation Circuit
In this type, a series inductor is inserted between the VSI and the electromagnet, while a capacitor is connected in parallel as shown in Figure 18. It is worth noting that the series inductor is necessary to handle the high effect resulting from the square-wave VSI operation which cannot be handled by the parallel capacitor alone. In this situation, for the required values of supply current (), electromagnet inductor voltage , battery voltage , and a given value of , the sizes of the electromagnet inductor and series inductor can be determined as follows:
where is the current flowing through the electromagnet inductor . Based on Equation (30) and Equation (32), the series inductor size can be calculated as follows:
Figure 18.
Simplified equivalent circuit for system with LC compensating circuit.
Also, the deflection current can be obtained based on Equations (20) and (29) as follows:
where is a factor defined as follows:
Equation (34) indicates that the deflection current depends on both the electromagnet inductor voltage and for the same system VA rating. However, due to the series inductor (), the electromagnet inductor voltage must be less than or equal to the supply voltage, as indicated in Equation (33). Factor can be controlled by controlling the parallel capacitance . Therefore, by increasing the size of the parallel capacitor, will increase, and so will the deflection current. However, as the parallel capacitance increases, the electromagnet inductance will decrease, as indicated in Equation (30). Hence, the current flowing through it increases for the same inductor voltage. This means that the deflection current, in this case, increases due to the circulating current between the electromagnet inductor and the parallel capacitor. However, due to the reduction in the inductor voltage below the supply voltage, a high circulating current is required for a satisfactory deflection current. Figure 19 shows the relation between the deflection current versus the fundamental frequency for different values of the electromagnet inductor voltage (. The same cable parameters in Table 1 are used to obtain the relations but with fault resistance RF = 100 at the mid-point of the cable, a 100 V battery, and supply current set to 3 A. As can be seen from Figure 19, the deflection current increases with the increase in both the electromagnet inductor voltage and the parallel capacitor size.
Figure 19.
Effect of electromagnet inductor voltage and parallel capacitor on the deflection current when LC compensation circuit is used.
6.3. LCC Compensation Circuit
To avoid the reduction in the electromagnet inductor voltage caused by the series inductor in the LC circuit, a series capacitor is added, as shown in Figure 20, to increase the electromagnet inductor voltage above the supply voltage, i.e., the effects of the previous C and LC compensation circuits would be combined. In this situation, for the required values of supply current (), electromagnet inductor voltage , series inductor voltage , battery voltage , and a given value of , the sizes of the electromagnet inductor, series inductor, and series capacitor can be determined as follows:
Figure 20.
Simplified equivalent circuit for system with LCC compensating circuit.
Also, the deflection current can be obtained based on Equations (20) and (36) as follows:
Equation (39) indicates that the deflection current relation is the same as the LC circuit case. However, in this case, the electromagnet inductor voltage (VL) can also be controlled to be higher than the supply voltage and, hence, a higher deflection current can be obtained with a lower circulating current. It is worth noting that this circuit combines the merits of both the C and LC circuits. However, it increases the passive elements used in the device which can lead to a larger device footprint [34]. Figure 21 shows the relation between the deflection current versus the fundamental frequency for different values of the parallel capacitance () and electromagnet inductor voltage VL. The same cable parameters in Table 1 are used to obtain the relations, with fault resistance RF = 100 at the mid-point of the cable, a 100 V battery, supply current set to 3 A, and series inductor voltage VLS set to . Table 3 summarizes the advantages and disadvantages of each type of reactive compensation circuit.
Figure 21.
Effect of electromagnet inductor voltage and parallel capacitor on the deflection current when LCC compensation circuit is used.
Table 3.
Advantages and disadvantages of reactive compensation circuits.
7. Optimal Circuit Design Procedure for the Portable Device
Assuming the design of a 1 kVA system with a 100 V battery, the device can be designed for a given cable whose parameters are summarized in Table 1 using the following steps:
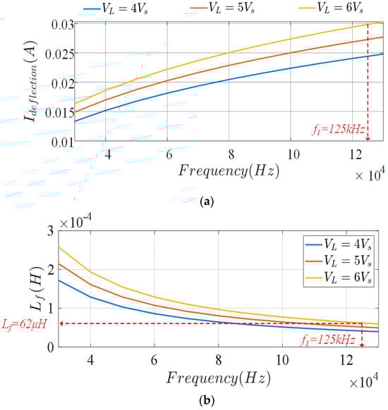
- Using the C compensating scheme, based on Equation (24) to Equation (28), obtain the deflection current and its corresponding electromagnet inductance and series capacitance relations versus the fundamental frequency for different electromagnet inductor voltage values, as shown in Figure 22. The device should be designed to generate the required deflection current at a relatively high fault resistance to ensure good device sensitivity. This is one of the distinctive features of this proposed technique over other fault pinpointing technologies, i.e., in addition to the capability to pinpoint fault locations, it has the capability to detect relatively high-resistance faults by pre-design. The device will be less sensitive to changes in deflection current for any fault resistance above the design value (in this case study fault resistance of is selected), and sensitivity will naturally be better for lower fault resistances.

Figure 22. Selection of C compensating circuit parameters for 1 kVA device fed by 100 V battery with deflection current 30 mA: (a) deflection current versus frequency, (b) electromagnet inductance versus frequency, and (c) series capacitance versus frequency. - A required minimum deflection current is selected for this high fault resistance (should typically be over 20 mA to provide good noise immunity to the signal). In this case, a deflection current of 30 mA is selected. Based on the curves shown in Figure 22, the electromagnet inductance, the series capacitance, the switching frequency, and the voltage across the electromagnet inductor are determined.
- An LCC compensation circuit can be used to further increase the deflection current or reduce the switching frequency or the electromagnet inductor voltage for the same deflection current.
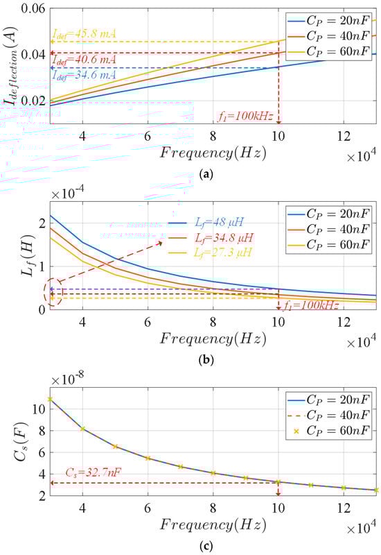
- Using an LCC compensation circuit with a reasonable series inductor voltage (in this case study , based on Equation (36) to Equation (39), we obtain the relations for deflection current and its corresponding electromagnet and series inductances and series capacitance versus the fundamental frequency for different parallel capacitance values. The results are shown in Figure 23.

Figure 23. Selection of LCC compensating circuit parameters for 1 kVA device fed by 100 V battery with electromagnet inductor voltage VL = 6 Vs: (a) deflection current versus frequency, (b) electromagnet inductance versus the frequency, (c) series capacitance versus the frequency, and (d) series inductance versus the frequency. - Based on the curves shown in Figure 23 and the required minimum deflection current, the inductance and the capacitance values of the compensation circuit are selected.
Based on the design procedure and the results obtained for a 1 kVA system with a 100 V battery and maximum fault resistance RF = 100 Ω, the device’s specifications can be selected as shown in Table 4. It is worth noting that the high voltage on the electromagnet inductor is integral to achieving the required deflection current, but in this design case study, it will be limited to six times the supply voltage to minimize insulation requirements and device oversizing.
Table 4.
Design specifications for 1 kVA portable device fed by 100 V battery.
8. System Performance with Single-Core Cables Under Various Test Scenarios
The case studies for shunt and series faults simulated in Section 4 using MATLAB/Simulink are extended to study the system performance under various test scenarios to validate the robustness of the proposed technology. This will include different earthing arrangements, high-resistance series faults (due to a bad or loose joint, corroded conductor, or minor mechanical injury), and the impact of cable joints. The same system and cable parameters outlined in Table 1 and Table 2 are used in the simulations, with the LCC reactive compensation circuit parameters in Table 4.
8.1. Cable Metallic Sheath Earthed at Multiple Points
The metallic sheath of a cable earthed at both ends is a very common arrangement in distribution networks and is located at grounding pillars, as shown in Figure 24. The system performance for this case was demonstrated briefly in Section 4.
Figure 24.
System diagram of the proposed fault pinpointing device when the cable metallic sheath is earthed at both ends only.
Figure 25 shows simulation results for ground faults at various locations from the ammeter end of the cable when the metallic sheath is earthed at both cable ends only.
Figure 25.
The rms-induced current I measured by the ammeter vs. the distance/position d of the portable device from the cable end where the ammeter is connected when the metallic sheath is earthed at both cable ends and ground fault is placed at various locations: (a) at 30 m (b) at 50 m (c) at 70 m.
The observed deflection of current is clearly illustrated in Figure 25a–c for fault locations at 30 m, 50 m, and 70 m, respectively. Prior to the fault location, the current remains almost constant across all scenarios. This constancy is primarily due to the fault resistance, which is invariant with respect to the cable length and typically predominates over the comparatively minor cable impedance. Nevertheless, a slight reduction in the current magnitude is noted as the fault distance from the measuring point increases, i.e., the current measured at 70 m is the least of the pre-fault-point currents. This reduction is attributable to the incremental cable impedance with the fault distance. Post-fault-point currents drop to almost zero in all cases.
Furthermore, it is noteworthy that the pre-fault-point measured current in this study (>40 mA) exceeds the levels reported in Figure 5 (0.8 mA). This increase is due to the implementation of a reactive power compensation technique (LCC), which enhances the deflection current without necessitating an upgrade in the device’s rating. The results, therefore, verify that the inclusion of LCC optimizes current deflection effectively.
Multiple earthing points are also possible due to earth grids and two possible arrangements may exist, as shown in Figure 26.
Figure 26.
System diagram of the proposed fault pinpointing device with the metallic sheath earthed at multiple points: (a) earthing grid connection point between ammeter and fault point, (b) earthing grid connection point between fault point and open conductor end.
Figure 27 illustrates the results of both scenarios at different fault locations, providing insight into the behavior of induced currents under varying conditions. When the earthing grid is situated between the fault point and the grounded conductor end, at d = 21 m, the ammeter reads zero current as the device travels through 0 < d < 21 m. This is because all induced current in the cable sheath is drained through the earth points, preventing any current from being measured by the ammeter.
Figure 27.
The rms-induced current I measured by the ammeter vs. the distance/position d of the portable device from the cable end where the ammeter is connected, when the metallic sheath is earthed at multiple points and ground fault is located at various locations: (a) at 30 m, (b) at 50 m, (c) at 70 m.
As the device passes over the earthing grid connection point, there is a noticeable increase in current, which ramps up as the device moves towards the ground fault point. This increase is due to the current through the fault resistance increasing, as sheath impedance decreases with length. Similarly, the current through the earthing grid decreases because the impedance of the cable increases with length, reducing the current drained through the earth. After the fault location, a clear deflection in the measured current is observed as it drops to zero, indicating the fault location. This result demonstrates the device’s ability to accurately pinpoint the fault location even in the presence of multiple earthing points.
If the earthing grid connection point is located between the fault and the open conductor end, the current profile is identical to that in Figure 25, i.e., the case when only both cable ends are earthed, and the device still possesses the capability of identifying the cable fault location. The detection of a clear current deflection in each of the demonstrated scenarios highlights the reliability of the device in fault detection under various cable configurations.
For practical field applications, the results suggest a methodical approach for locating faults. If no current is measured at the ammeter when scanning the faulty cable, it might be due to an intermediate earth point between the fault and the ammeter. In such cases, if the earth point is known, it is advisable to skip that section of the cable and continue scanning ahead of the earthing point. Alternatively, continue scanning the cable until the induced current is measured, followed by a deflection at the fault location.
8.2. High-Resistance Series Faults
A high-resistance series fault occurs when the fault does not completely inhibit the flow of current. This scenario typically arises due to a bad or loose joint, corroded conductor, or minor mechanical injury. During this, the fault point acts as a high resistance spot, often referred to as a hot spot, due to the losses in the form of heat through the fault resistance.
Figure 28, Figure 29 and Figure 30 show the system diagram, equivalent circuit, and simulation results, respectively, for the device with a high-resistance series fault. When a fault is scanned with the device, the induced current flows directly toward the earth point, as depicted in Figure 28 and Figure 29a. As the device moves away from the ammeter end, the impedance of the current path increases due to the growing distance between the earth point and the device, causing the current to continuously decrease. When the device surpasses the high resistance fault point, the sudden increase in path resistance causes the measured current to drop to almost zero. This abrupt change in the measured current indicates the high resistance fault location, as shown in Figure 30a,b at 50 m and 70 m, respectively. After the fault location, the current finds a low impedance path to the earthing point at grounding pillar 1, as shown in Figure 29b. In this case the measured current remains at zero. Should the high resistance fault be closer to the ammeter end, the current may find a low impedance path back to grounding pillar 2 after the device surpasses the fault point. In this case, some measured current would be expected. This is purely dependent on the fault location and the resistance of the series fault.
Figure 28.
System diagram of the proposed fault pinpointing device with high-resistance series fault.
Figure 29.
Equivalent circuit of the proposed fault pinpointing device under high-resistance series fault condition with position of device: (a) before fault location, and (b) after the fault location.
Figure 30.
The rms-induced current I measured by the ammeter vs. the distance/position d of the portable device from the cable end where the ammeter is connected when there is high-resistance series fault () at (a) d = 50 m (b) d = 70 m.
8.3. Impact of Cable Joints
This case investigates the impact of having splices/joints in the cable during the fault scanning process. According to [17], distinguishing between the fault point and corroded conductor or joints in the cable is crucial as these could impact device performance and hence mislead the fault dispatch team if they are not the cause of the fault. For instance, in time domain reflectometer (TDR), the effective changes in impedance always cause pulse reflection. In joints and splices, the impedance of the cable changes leads to a reflected signal. Therefore, understanding the system behavior related to the joint is essential to avoid confusion between actual faults and other cable characteristics.
The proposed device is simulated to observe the specific current profile related to the joint in the cable that is coupled during scanning. As the device’s operation depends on the variation in the current profile due to changes in cable impedance, understanding the specific impedance properties of joints is critical. Cable impedance changes at joints due to factors such as uneven distance between the metallic sheath and the conductor, application of an extra layer of insulation, and additional turns of the conductor strands. These factors result in the total impedance at the joint being different from the characteristic impedance of the cable. Since the inductance of the joint is different from the rest of the cable, the magnetic coupling of the device with the joint varies compared to the rest of the cable. The scenario is simulated using MATLAB/Simulink to verify the effect, with the joint inductance being higher than the characteristic inductance of the cable. The joint is modeled using the lumped parameter model [35] in Figure 31. The parallel branch resistance represents the losses in the joint, while the inductance and capacitance represent the resonance at a specific frequency which depends on the length and dimension of the joint.
Figure 31.
System diagram of the proposed fault pinpointing device with lumped parameter model for cable joint.
From the results in Figure 32, a sharp surge in current is noticed at the location of the cable joint at d = 50 m. Due to the higher inductance of the joint, the mutual inductance, calculated using Equation (5) is higher, showing stronger coupling with the device. Hence the induced current surges at the joint location indicating the presence of a joint in the cable. This indication assists the operator in considering the possibilities of faults in different branches of the cable.
Figure 32.
The rms-induced current I measured by the ammeter vs. the distance/position d of the portable device from the cable end where the ammeter is connected, in the presence of a cable joint at d = 50 m.
9. System Performance with Multi-Core Cables
Multi-core cables are widely used in distribution networks, similar to single-core cables. The fundamental operation and current characteristics for all described scenarios remain the same for both types of cables. This is because each core in a multi-core cable is seen as a single-core cable by the device. Therefore, during the pre-location stage, the faulty core should be identified and earthed by connecting it to the metallic sheath, as shown in Figure 33.
Figure 33.
System diagram of the proposed fault pinpointing device with multi-core cable (a) with single line-to-ground fault (L-G), (b) with double line-to-ground fault (L-L-G), (c) with symmetrical fault (L-L-L-G).
The measured current, shown in Figure 34, for the different fault types shows notable variations, reflecting the impact of fault type on current magnitude. For a line-to-line-to-line-to-ground (L-L-L-G) symmetrical fault, the current measured before the fault location is the highest, recorded at 53.5 mA. This higher current is attributed to the fact that a symmetrical fault involves earthing all three conductors (see Figure 33c), hence creating a parallel connection of the three conductors with the lowest impedance path.
Figure 34.
The rms-induced current I measured by the ammeter vs. the distance/position d of the portable device from the cable end where the ammeter is connected, with L-G, L-L-G, and L-L-L-G faults in a multi-core cable.
In comparison, the current measured for a double line-to-ground (L-L-G) fault is slightly lower at 50 mA, as this fault type involves paralleling two conductors only (see Figure 33b). The lowest measured current is observed for a single line-to-ground (L-G) fault, recorded at approximately 46 mA, mirroring that of single-core cables in Figure 25b.
10. Discussion
This section presents a comparative analysis of various fault localization techniques against the proposed technique, focusing on their performance in terms of key criteria such as signal type, interaction with the cable, fault detection, accuracy, and deployment simplicity. Additionally, it addresses the potential limitations of the proposed technique. It is important to note that both the Tone Tracing and voltage gradient methods can be categorized under either AC Tracing or DC Tracing depending on the type of signal used. AC Tracing and DC Tracing are high-level categories that include various techniques for fault localization in cables [36]. The evaluation highlights the characteristics of several fault localization methods, including the proposed IWPT technique, and compares their effectiveness, simplicity, and operational requirements.
10.1. Comparative Analysis of Fault Pinpointing Methods
A detailed comparison between traditional methods and the IWPT method is presented in Table 5, which focuses on the limitations of traditional techniques and the improvements offered by the IWPT method.
Table 5.
Comparative analysis of traditional fault pinpointing methods and the proposed IWPT method.
10.2. Limitations of the IWPT Method
Although the IWPT method demonstrates several advantages over traditional fault pinpointing techniques, there are some challenges that may arise in its implementation. These limitations are summarized in Table 6.
Table 6.
Limitations of the proposed IWPT method.
The IWPT method offers significant advantages over traditional fault pinpointing techniques, particularly in its ability to detect high-resistance faults in cables that are not in direct soil contact. Its non-invasive nature and high accuracy (potentially down to 1 m range) reduce costs of excavations to network operators, improve operational efficiency, and provide better supply security to customers with quicker restored power. However, the method’s reliance on metallic sheath cables and precise cable route information, and the challenges in interpreting current profiles, highlight areas for future improvement.
11. Conclusions
This paper proposes a portable inductive wireless power transfer (IWPT) system technology for pinpointing fault location in underground cables of LV distribution networks (LVDNs), once a faulty cable has been identified by other pre-location methods. The construction of this portable device and the effects of the device’s circuit parameters on fault-locating sensitivity have been investigated. With an ammeter measuring the rms-induced current in the cable, it was found out that as the device scans across the length of the cable, a deflection in measured current occurs as the device surpasses the fault point, which can be used as the key indicator for pinpointing the fault location. This deflection current defines the device’s sensitivity, so the higher the deflection current, the better the device’s ability to detect the fault location. It has been demonstrated that improved sensitivity can be achieved by increasing the device’s battery voltage and/or reducing the device’s electromagnet inductance. However, this will increase the VA rating of the device. Therefore, reactive compensation circuits must be used. The comparative study performed between different types of compensation circuits indicates that by using LCC reactive compensation, the deflection current can be increased at the expense of a modest increase in both the circulating current (flowing between the parallel capacitor and the electromagnet) and the voltage across the electromagnet, to be appropriately insulated.
An optimal design procedure for the portable device was presented so that designers can achieve the most appropriate circuit design to their specifications while ensuring high fault-locating sensitivity and appropriate device VA rating to ensure portability. Detailed simulations demonstrated the device’s capability to pinpoint fault locations with shunt ground faults and open-circuit series faults, with the capability of differentiating between the different types based on the different current profile shapes. The device also showed good capability in dealing with different earthing arrangements in the cable metallic sheath, detecting cable joints, and working with multi-core cables.
The paper has demonstrated that a promising new technology can be devised to help minimize excavations upon reporting of faults in underground cables of LVDNs to minimize customer minutes lost. The uniqueness of this proposed technology lies in the following:
- Capability to access any section of the cable by wireless action. It does not rely on sole access from the cable ends, like the impedance-based or time-domain reflectometer methods, which can only be used to pre-locate or estimate fault locations. This can yield potential accuracy in detecting fault location down to the 1 m range, hence reducing excavations significantly.
- Non-reliance on computational methods such as those used in modern digital twins, which rely on the existence of installed measurement devices such as smart meters and/or substation monitoring. Such methods can only produce estimated fault locations.
- Capability to detect high-resistance faults as well as low-resistance faults. The IWPT device can be pre-designed to control the level of electromagnetic field, hence high-resistance faults can be pre-assumed during design, so the device can provide sufficient sensitivity to detect such faults.
- Capability to differentiate between fault types by the shape of the measured current profile.
- Capability to deal with cables in ducts and not necessarily in direct contact with soil, which other methods, such as the voltage gradient, need to operate.
- Voltages/currents not being directly injected into the cables, but indirectly induced through electromagnetic coupling. With typical burial distances of 0.5–1 m, the received power in the cable is attenuated and hence safer for LV loads compared to impulse methods that directly inject high voltage surges.
Author Contributions
Conceptualization, A.A.A.-E., S.K. and A.A.A.; methodology, A.A.A.-E., S.K. and A.A.A.; software, A.A.A.-E. and S.K.; validation, A.A.A.-E. and S.K.; formal analysis, A.A.A.-E. and S.K.; investigation, A.A.A.-E., S.K., A.A.A. and M.E.F.; resources, A.A.A.-E., S.K. and A.A.A.; data curation, A.A.A.-E. and S.K.; writing—original draft preparation, A.A.A.-E.; writing—review and editing, A.A.A.-E. and S.K.; visualization, A.A.A.-E., S.K. and A.A.A.; supervision, A.A.A., M.E.F., M.M.C.M., S.F. and S.A.M.; project administration, A.A.A., M.E.F. and S.A.M.; funding acquisition, A.A.A. and M.E.F. All authors have read and agreed to the published version of the manuscript.
Funding
This research was funded by the Energy Technology Partnership (grant number 168) and Scottish Power Energy Networks.
Data Availability Statement
The data presented in this study are available on request from the corresponding author.
Conflicts of Interest
The authors declare no conflicts of interest.
References
- Xia, F.; Yang, C.; Zhang, Z.; Tian, C.; Zhang, X. Correction of the Calculation Method for Resistance Increment Due to the Proximity Effect of Bundled Conductors. In Proceedings of the 2024 5th International Conference on Artificial Intelligence and Electromechanical Automation (AIEA), Shenzhen, China, 14–16 June 2024; pp. 528–532. [Google Scholar]
- Sathyamoorthy, D.; Reddy, C.C. Experimental Investigations on Breakdown in Cable Insulation. In Proceedings of the 2017 International Symposium on Electrical Insulating Materials (ISEIM), Toyohashi, Japan, 11–15 September 2017; Volume 2, pp. 570–573. [Google Scholar]
- Argaut, P. Underground Cables. In Springer Handbook of Power Systems; Springer: Berlin/Heidelberg, Germany, 2021; pp. 759–866. [Google Scholar]
- Shaalan, E.M.; Ward, S.A.; Youssef, A. Analysis of a Practical Study for Underground Cable Faults Causes. In Proceedings of the 2021 22nd International Middle East Power Systems Conference (MEPCON), Assiut, Egypt, 14–16 December 2021; pp. 208–215. [Google Scholar]
- Bascom, E.C.R.; von Herrmann, M.J.; Zhao, T.T. Power Cable Failure Modes and Fault Location Methods, Practices and Strategies. In Proceedings of the 2014 IEEE PES T&D Conference and Exposition, Chicago, IL, USA, 14–17 April 2014; pp. 1–5. [Google Scholar]
- Ali, K.H.; Bradley, S.; Aboushady, A.A.; Abdel Maksoud, S.A.; Farrag, M.E. Developing a Framework for Underground Cable Fault-Finding in Low Voltage Distribution Networks. In Proceedings of the 2020 9th International Conference on Renewable Energy Research and Applications (ICRERA), Glasgow, UK, 27–30 September 2020; pp. 477–482. [Google Scholar] [CrossRef]
- Li, Y.; Jiang, L.; Xie, M.; Yu, J.; Qian, L.; Xu, K.; Chen, M.; Wang, Y. Advancements and Challenges in Power Cable Laying. Energies 2024, 17, 2905. [Google Scholar] [CrossRef]
- Wan, Q.; Yan, X. Fault Diagnosis of HV Cable Metal Sheath Grounding System Based on LSTM. Appl. Sci. 2023, 13, 2453. [Google Scholar] [CrossRef]
- Ofgem. RIIO-ED1 Network Performance Summary 2021–22. Ofgem Annual Reports 2022, pp. 1–13. Available online: https://www.ofgem.gov.uk/publications/riio-1-electricity-distribution-annual-report-2020-21 (accessed on 27 August 2024).
- Regulatory Authority of England. Regulated Fees and Levies: Rates; Regulatory Authority of England: London, UK, 2021. [Google Scholar]
- Mampaey, B. Maintenance and Remaining Life. In Accessories for HV and EHV Extruded Cables: Land and Submarine AC/DC Applications; Springer International Publishing: Cham, Switzerland, 2023; Volume 2, pp. 573–692. [Google Scholar]
- Sapountzoglou, N.; Lago, J.; Raison, B. Fault diagnosis in low voltage smart distribution grids using gradient boosting trees. Electr. Power Syst. Res. 2020, 182, 106254. [Google Scholar] [CrossRef]
- Sapountzoglou, N.; Raison, B.; Silva, N. Fault detection and localization in LV smart grids. In Proceedings of the 2019 IEEE Milan PowerTech, Milan, Italy, 23–27 June 2019. [Google Scholar] [CrossRef]
- Banerjee, T.; Miao, Z.; Fan, L. Traveling Wave Based Fault Location Methods: Review and Demonstration. In Proceedings of the 2023 North American Power Symposium (NAPS), Asheville, NC, USA, 15–17 October 2023; pp. 1–6. [Google Scholar]
- Gilany, M.; Ibrahim, D.K.; Tag Eldin, E.S. Traveling-wave-based fault-location scheme for multiend-aged underground cable system. IEEE Trans. Power Deliv. 2007, 22, 82–89. [Google Scholar] [CrossRef]
- Estebsari, A.; Pons, E.; Bompard, E.; Bahmanyar, A.; Jamali, S. An improved fault location method for distribution networks exploiting emerging LV smart meters. In Proceedings of the EESMS 2016—2016 IEEE Workshop on Environmental, Energy, and Structural Monitoring Systems, Bari, Italy, 13–14 September 2016. [Google Scholar] [CrossRef]
- Mohani, S.S.U.H.; Ameer, M.S.; Jabbar, A. Design and development of fault detection and location system for electrical distribution networks. In Proceedings of the 2018 3rd International Conference on Emerging Trends in Engineering, Sciences and Technology (ICEEST 2018), Karachi, Pakistan, 18–20 December 2018. [Google Scholar] [CrossRef]
- Muzzammel, R. Traveling waves-based method for fault estimation in HVDC transmission system. Energies 2019, 12, 3614. [Google Scholar] [CrossRef]
- Personal, E.; García, A.; Parejo, A.; Larios, D.F.; Biscarri, F.; León, C. A Comparison of Impedance-Based Fault Location Methods for Power Underground Distribution Systems. Energies 2016, 9, 1022. [Google Scholar] [CrossRef]
- Mishra, S.; Swain, S.C.; Biswal, T.; Routray, A. Tree Based Fault Classification in Underground Cable. Procedia Comput. Sci. 2023, 218, 524–531. [Google Scholar] [CrossRef]
- Jena, S.; Mishra, D.P.; Salkuti, S.R. Fault Detection, Classification, and Location in Underground Cables. In Power Quality in Microgrids: Issues, Challenges and Mitigation Techniques; Springer Nature Singapore: Singapore, 2023; pp. 195–215. [Google Scholar]
- Moldovan, A.M.; Buzdugan, M.I. Prediction of Faults Location and Type in Electrical Cables Using Artificial Neural Network. Sustainability 2023, 15, 6162. [Google Scholar] [CrossRef]
- Palfi, J.; Takacs, M.; Holcsik, P.; Mitrik, Z. Determination of the fault identification accuracy in LV networks using the Fuzzy method. In Proceedings of the 2016 IEEE International Conference on Systems, Man, and Cybernetics (SMC 2016), Budapest, Hungary, 9–12 October 2016; pp. 2756–2761. [Google Scholar] [CrossRef]
- Huang, C.; He, H.; Chen, K.; Chen, Q.; Deng, K. Sparse Measurement-Based Fault Location Methodology for Distribution Systems with DGs. In Proceedings of the 2023 6th Asia Conference on Energy and Electrical Engineering (ACEEE), Chengdu, China, 21–23 July 2023; pp. 340–347. [Google Scholar]
- Jia, K.; Yang, B.; Dong, X.; Feng, T.; Bi, T.; Thomas, D.W.P. Sparse voltage measurement-based fault location using intelligent electronic devices. IEEE Trans. Smart Grid 2020, 11, 48–60. [Google Scholar] [CrossRef]
- Jia, K.; Yang, B.; Bi, T.; Zheng, L. An Improved Sparse-Measurement-Based Fault Location Technology for Distribution Networks. IEEE Trans. Ind. Inform. 2021, 17, 1712–1720. [Google Scholar] [CrossRef]
- Ali, K.H.; Aboushady, A.A.; Bradley, S.; Farrag, M.E.; Abdel Maksoud, S.A. An Industry Practice Guide for Underground Cable Fault-Finding in the Low Voltage Distribution Network. IEEE Access 2022, 10, 69472–69489. [Google Scholar] [CrossRef]
- Navaneethan, S.; Soraghan, J.J.; Siew, W.H.; McPherson, F.; Gale, P.F. Automatic fault location for underground low voltage distribution networks. Proc. IEEE Power Eng. Soc. Transm. Distrib. Conf. 2002, 2, 788. [Google Scholar] [CrossRef]
- Haidi, D.; Yingbin, G.; Bo, S.; Shengzhi, Y.; Kai, J.; Jing, L. A Fault Diagnosis Method Based on Time Domain Reflectometry for Power Cable. In Proceedings of the 2024 14th Asian Control Conference (ASCC), Dalian, China, 5–8 July 2024; pp. 2461–2466. [Google Scholar]
- Megger: Electrical Test Equipment. Fault Finding Solutions. 2003. Available online: https://www.cablejoints.co.uk/upload/Megger_Cable_Fault_Finding_Solutions.pdf (accessed on 30 August 2023).
- Deltenre, R.W.; Schwarz, J.J.; Wagnon, H.J. Underground Cable Fault Location: A Handbook to TD-153; Final Report No. EPRI-EL-363; BDM Corp: El Paso, TX, USA, 1977. [Google Scholar]
- Sagar, A.; Kashyap, A.; Nasab, M.A.; Padmanaban, S.; Bertoluzzo, M.; Kumar, A.; Blaabjerg, F. A Comprehensive Review of the Recent Development of Wireless Power Transfer Technologies for Electric Vehicle Charging Systems. IEEE Access 2023, 11, 83703–83751. [Google Scholar] [CrossRef]
- Amir, M.; Ahmad, I.; Waseem, M.; Tariq, M. A Critical Review of Compensation Converters for Capacitive Power Transfer in Wireless Electric Vehicle Charging Circuit Topologies. Green Energy Intell. Transp. 2024, 100196. [Google Scholar] [CrossRef]
- Liu, X.; Clare, L.; Yuan, X.; Wang, C.; Liu, J. A Design Method for Making an LCC Compensation Two-Coil Wireless Power Transfer System More Energy Efficient than an SS Counterpart. Energies 2017, 10, 1346. [Google Scholar] [CrossRef]
- Li, Y.; Zhang, Z.; Liu, Z.; Wang, H.; Chen, X.; Li, T. Power Cable Joint Model: Based on Lumped Components and Cascaded Transmission Line Approach. Int. J. Electr. Eng. Inform. 2012, 4, 536–552. [Google Scholar] [CrossRef]
- Maloney, C.A. Locating Cable Faults. IEEE Trans. Ind. Appl. 1973, IA-9, 380–394. [Google Scholar] [CrossRef]
Disclaimer/Publisher’s Note: The statements, opinions and data contained in all publications are solely those of the individual author(s) and contributor(s) and not of MDPI and/or the editor(s). MDPI and/or the editor(s) disclaim responsibility for any injury to people or property resulting from any ideas, methods, instructions or products referred to in the content. |
© 2024 by the authors. Licensee MDPI, Basel, Switzerland. This article is an open access article distributed under the terms and conditions of the Creative Commons Attribution (CC BY) license (https://creativecommons.org/licenses/by/4.0/).