Abstract
This study examined the effects of blending decanol, an oxygenated fuel, with diesel on diesel engine performance and emissions. Experiments were conducted on a single-cylinder engine at 1700 rpm and 2700 rpm, using diesel/decanol blends at 10%, 30%, and 50% by volume (D90de10, D70de30, D50de50). Results showed that brake thermal efficiency decreased with higher decanol ratios at low speeds. As a result, brake specific fuel consumption and brake specific energy consumption increased due to decanol’s lower calorific value. Regarding emissions, decanol blending reduced NOx, CO, HC, and smoke. NOx emissions were lowered by the cooling effect resulting from decanol’s higher latent heat of vaporization and lower calorific value, especially at low speeds. CO and HC emissions declined as decanol’s oxygen content promoted oxidation, reducing incomplete combustion. Smoke emissions were minimized in fuel-rich zones by preventing unburned carbon particle formation. This study highlights decanol’s potential as an eco-friendly diesel blending option. Future work should optimize blending ratios and injection settings to enhance diesel engine performance.
1. Introduction
As concerns about fossil fuel depletion and climate change grow, the need for an energy transition has emerged as a global issue. With industrialization and economic growth, greenhouse gas (GHG) emissions have increased, worsening the negative environmental impact, and the need for sustainable energy sources has become more pronounced. In response, many countries are actively participating in international agreements, including the Paris Agreement [], to reduce GHG emissions and address climate change. Such international efforts have promoted the development of new and renewable energy sources and eco-friendly alternatives to traditional fossil fuels.
Diesel engines are essential for transportation, heavy equipment, power generation, and agriculture due to their high thermal efficiency, powerful output, high torque at low speeds, and excellent durability. Additionally, diesel fuel produces lower emissions of carbon monoxide (CO), hydrocarbons (HC), and carbon dioxide (CO₂) than gasoline, providing an advantage in fuel efficiency. However, nitrogen oxides (NOx) and particulate matter (PM) emissions from diesel engines have adverse effects on the environment and public health [], posing a significant limitation in terms of sustainability. To mitigate these issues, advanced fuels such as low-sulfur options have been introduced [], along with exhaust gas after-treatment technologies. For instance, diesel oxidation catalysts (DOCs) convert CO into CO₂ and water, while devices combining DOCs and diesel particulate filters (DPFs) effectively reduce fine and nanoparticle emissions when biodiesel-blended fuel is used. Moreover, selective catalytic reduction (SCR) technology has been introduced to reduce NOx emissions [,].
To meet stringent emission regulations and increase energy sustainability, various alternative fuels have been explored. These alternative fuels include synthetic fuels and biogas. Synthetic fuels derived from renewable energy sources such as CO2 and water can reduce GHG emissions when produced using renewable energy []. They also maintain compatibility with existing fuel infrastructure, enhancing their practicality. However, high production costs and energy intensity are barriers to the widespread adoption of synthetic fuels. Biogas produced through anaerobic digestion of organic wastes offers another sustainable option with the potential to reduce methane emissions from landfills by up to 60–80% compared to fossil fuels [,]. However, challenges such as feedstock variability and purification costs limit its scalability.
In this context, various biofuels, including biodiesel and bioethanol, have been extensively studied as alternatives to reduce pollutant emissions from diesel engines. Among these, alcohol-based biofuels derived from biomass have emerged as promising options due to their compatibility with conventional diesel engines and ability to improve combustion efficiency while reducing harmful emissions. Oxygenated alcohols, in particular, significantly reduce particulate emissions, enhance combustion efficiency, and exhibit diverse physicochemical properties depending on the number of carbon atoms and bonding structures. When blended with diesel or gasoline fuels, these properties influence miscibility, ignition timing, and emission characteristics [,].
In addition, computational and experimental studies have provided valuable insights into the benefits of alcohol-based fuels and advanced modeling techniques for diesel engines. For instance, studies have shown that oxygenated alcohols, such as ethanol and butanol, significantly reduce particulate emissions and enhance combustion efficiency by improving fuel-air mixing and oxidation characteristics under various operating conditions []. Advanced computational approaches, such as large-eddy simulations, have demonstrated the ability to analyze complex in-cylinder processes, including the effects of turbulence and chemical reaction rates on heat release and emissions at various exhaust gas recirculation (EGR) rates, providing a basis for optimizing cleaner combustion strategies []. Additionally, recent numerical studies have highlighted the flexibility of alcohol-diesel blends to significantly reduce particulate matter and NOx emissions under a range of engine operating conditions [].
Among alcohols, lower alcohols such as methanol and ethanol are the most extensively studied fuels. These alcohols effectively improve diesel engine fuel efficiency when blended in small quantities [,], but high-concentration blends encounter limitations due to phase separation []. To address this, surfactants can be added, or dual fuel injection methods may be employed, such as injecting alcohol into the intake port while directly injecting diesel into the combustion chamber [,,,]. Lower alcohols are effective in reducing smoke due to their high oxygen content. Still, their low heating value (LHV) and cetane number (CN) limit their ignition performance in compression ignition engines [].
To overcome the limitations of lower alcohols, higher alcohols such as butanol and octanol have recently gained attention as alternative fuels for diesel engines. Higher alcohols offer higher energy content and CN, which enhance compatibility with diesel engines and improve performance. Their greater molecular weight and low volatility also help resolve phase separation and volatility issues [,,]. Technologies have also been developed to convert syngas from both renewable and conventional sources into higher alcohols through catalytic reactions [,]. Additionally, metabolic engineering enables the direct conversion of cellulose into biofuels and higher alcohols, offering an alternative pathway that eliminates the need for intermediate syngas production []. Synthesizing higher alcohols from CO2 contributes to GHG reduction, presenting them as a promising eco-friendly fuel source for internal combustion engines [].
Butanol, a higher alcohol, can help reduce NOx emissions by lowering the combustion temperature due to its high latent heat of vaporization when blended with diesel []. However, studies have reported that while increasing the butanol ratio raises the maximum cylinder pressure and brake thermal efficiency (BTE), performance declines when the butanol ratio exceeds 50% due to the cooling effect on the combustion chamber []. In contrast, blending octanol with diesel can reduce PM and NOx emissions, though BTE varies with operating conditions [,]. The oxygen content in higher alcohols is crucial for enhancing combustion, reducing smoke and PM emissions, and effortlessly blending with diesel. This compatibility allows for use with minimal modifications to existing infrastructure, offering significant economic advantages [].
Despite extensive research on lower alcohols and other higher alcohols like butanol and octanol, decanol remains relatively unexplored in diesel engine applications. Decanol has unique physicochemical properties, including a high CN and a calorific value similar to diesel, making it particularly compatible with compression ignition engines []. These properties address the typical limitations of lower alcohols, such as low CN, low calorific value, and phase separation issues. In addition, its oxygen content increases combustion efficiency and reduces PM emissions, making it a promising candidate for cleaner fuel mixtures []. However, the high viscosity of decanol can interfere with fuel atomization and air mixing, affecting exhaust characteristics under various operating conditions.
Therefore, this study investigates the effect of decanol addition on engine performance and emissions by preparing binary mixtures of decanol and diesel at different ratios to understand its combustion characteristics. Although the physical properties of the fuel mixture may lead to differences in injection pressure and duration, this study focuses on analyzing the overall effect of decanol addition under realistic operating conditions. The results of this study fill a significant knowledge gap regarding alcohol-based fuels and provide baseline data to evaluate the potential of decanol as an eco-friendly fuel alternative, highlighting its advantages and limitations for sustainable energy applications.
2. Experimental Setup
2.1. Test Engine and Instrumentation
In this research, combustion experiments were performed on an MT502E single-cylinder engine test bench (ESSOM, Bangkok, Thailand) to investigate the changes in engine performance and emissions characteristics when different decanol/diesel blends were used as fuel. The setup for the experiment is depicted in Figure 1.

Figure 1.
Schematic diagram of the experimental apparatus.
The diesel engine employed in the experiment is a naturally aspirated, air-cooled engine with a swept volume of 298.6 cm3. To manage the load, the engine is connected to an air-cooled eddy current dynamometer, and various sensors are linked to an instrumentation panel to monitor exhaust gas temperature, brake torque, and air and fuel flow rates. The throttle valve position and load settings can be adjusted via a computer connected to this panel. Based on the collected data, performance parameters such as brake power, BTE, and brake specific fuel consumption (BSFC) were calculated using the MT502E software. Fuel was injected directly into the combustion chamber using a mechanical injector with a hole-type nozzle, and the engine operates with a compression ratio of 21:1. Detailed specifications of the test engine are provided in Table 1.

Table 1.
Engine specifications.
The QRO-402 gas analyzer (QroTech, Bucheon, Republic of Korea) was employed to measure the major post-combustion emissions. This device utilizes a non-dispersive infrared technique for measuring CO and HC levels, while NOx is detected through an electrochemical cell. The analyzer achieves a resolution of 0.01% for CO and 1 ppm for both HC and NOx, with a sample flow rate consistently maintained between 4 and 6 L/min to ensure accuracy.
Smoke opacity was evaluated using an OPA-102 smoke meter (QroTech, Bucheon, Republic of Korea), which operates on the light extinction principle, providing opacity values as a percentage. The device offers a resolution of 0.1% and a response time of 0.5 s, with a 3 to 6 min warm-up period required before taking measurements. Table 2 presents the emission concentrations’ measurement range, accuracy, and resolution. Additionally, to ensure consistency in the subsequent analysis and discussion, the measurement units were converted to g/kWh based on relevant references [,].

Table 2.
Technical specifications of the gas analyzer and smoke meter.
2.2. Tested Fuels
To evaluate and compare the combustion and emission characteristics of decanol/diesel blends, commercial diesel was mixed with decanol in volume ratios of 10%, 30%, and 50%, labeled as D90de10, D70de30, and D50de50, respectively. Pure diesel was referred to as D100. The decanol used in this study was sourced from Daejung Chemicals & Metals Co., Ltd. (Siheung, Republic of Korea) with a 98–100% purity level. Table 3 outlines the physicochemical properties of the diesel and decanol used in the experiments, highlighting notable differences in oxygen content and kinematic viscosity. In contrast to lower alcohols, decanol and diesel exhibit similar lower heating values and cetane numbers. No phase separation was observed 48 h after the mechanical mixing of the fuel blends. Additionally, fuel mixing was conducted immediately before each experiment to minimize the potential effects of fuel heterogeneity on combustion behavior.

Table 3.
Physicochemical properties of fuel.
2.3. Test Conditions and Procedure
Experiments were conducted at varying engine speeds and loads to examine changes in engine performance and emission characteristics with different fuel blends. The engine speed was set to 1700 rpm and 2700 rpm, with brake torque levels of 6, 8, 10, and 12 Nm applied at each fixed speed. These conditions corresponded to four brake mean effective pressure (BMEP) levels, representing low to high loads typically encountered in small diesel engines. While these conditions provided valuable insights into decanol-diesel blends’ performance and emission characteristics, they did not cover the entire load spectrum.
Before each test, the engine was idled for at least 15 min using D100 to reach its standard operating temperature. Prior to switching fuels, the remaining fuel in the tank was drained and refilled with D100. Then, the engine ran for around 3 min to flush out any residual mixed fuel in the system. Load and speed settings were gradually modified to allow the engine to stabilize under the new conditions, after which data were recorded. For each experimental condition, three replicate measurements were performed to ensure reproducibility. The results present the mean values, with error bars representing the 95% confidence intervals. This statistical measure quantifies observed trends’ reliability and highlights experimental results’ variability.
3. Results and Discussion
3.1. Brake Thermal Efficiency
Figure 2 shows that BTE tends to increase as BMEP increases for all fuels, including pure diesel. At 2700 rpm, BTE was overall higher than at 1700 rpm. This is because the temperature inside the combustion chamber increases, as shown in Table 4, and heat loss through the cylinder wall decreases as the fuel injection amount increases during high-speed operation. In addition, as shown in Table 5, the λ is relatively close to unity, which reduces heat loss to excess air. At 1700 rpm, BTE tends to decrease as the decanol blending ratio increases. Overall, D90de10 showed the highest BTE, and D50d50 showed the lowest BTE. However, D70de30 showed the lowest BTE at 2700 rpm.

Figure 2.
Comparison of brake thermal efficiency with brake mean effective pressure at (a) 1700 rpm and (b) 2700 rpm.

Table 4.
Exhaust gas temperature.

Table 5.
Relative air/fuel ratio, λ.
Since these outcomes arise from various factors, several aspects should be considered to understand the correlation between the decanol blending ratio and BTE. First, decanol is an oxygenated fuel, and because 10.1 wt.% of oxygen is additionally generated during the fuel decomposition process, it reduces local incomplete combustion, increasing combustion efficiency and BTE. However, due to the higher kinematic viscosity of decanol (6.5 mm2/s), it is difficult to atomize the fuel, which hinders the uniform mixing of fuel and air at high speeds and leads to incomplete combustion, which may decrease BTE. Precise control of injection timing or pressure is required to offset these disadvantages of decanol. Unfortunately, the mechanical injection system used in this study lacks the ability to independently adjust these parameters, contributing to the reduction in BTE at higher decanol blending ratios. Moreover, the higher heat of vaporization than diesel can lower the temperature inside the combustion chamber, thereby suppressing the initial combustion reaction upon ignition and slightly reducing BTE. This cooling effect and reduced spray quality may result in delayed combustion, which could further affect BTE under these conditions.
As shown in Table 5, especially at 2700 rpm, the λ of D70de30 is lower than that of D50de50, which relatively increases the oxygen-deficient area and enhances the cooling effect during the fuel evaporation process, tending to decrease combustion efficiency. Previous studies have also reported that oxygenated fuels such as decanol positively affect combustion efficiency, but atomization may become difficult due to increased viscosity []. Based on these results, applying a high-pressure injection technique to enhance fuel atomization and a fuel preheating device to improve viscosity and increase the decanol blending ratio at high speeds seems necessary. Furthermore, optimizing the initial combustion reaction by controlling injection timing could also be effective.
3.2. Brake Specific Fuel Consumption
BSFC is the amount of fuel consumed to produce a unit of power and is an essential indicator for evaluating the fuel economy and its environmental impact. The higher the BSFC, the more fuel is consumed, which increases operating costs and can generate more exhaust gas. The calorific value of the fuel is the dominant factor in BSFC, and since the LHV of decanol (41.9 MJ/kg) is about 2.4% lower than that of diesel, more fuel is needed to generate the same power, which is the main cause of the increase in BSFC.
Figure 3 clearly shows the decreasing trend of BSFC with increasing BMEP for all fuels. This is because the amount of fuel injected increases as the load increases, leading to increased heat release. The resulting increase in combustion chamber temperature and pressure promotes the combustion reaction. In addition, the heat loss due to excess air is reduced because of the lower λ, so the heat released by the combustion reaction can be used more efficiently.

Figure 3.
Comparison of brake specific fuel consumption with brake mean effective pressure at (a) 1700 rpm and (b) 2700 rpm.
At 1700 rpm, BSFC increases as the decanol blending ratio increases; in particular, D90de10 has a lower BSFC than D100. At 2700 rpm, BSFC is relatively lower than at 1700 rpm, which is due to the turbulent flow inside the combustion chamber being strengthened at high speeds, allowing more uniform mixing of fuel and air, more stable combustion, and reduced incomplete combustion. However, D70de30 exhibits the highest BSFC among the blends. It may result from the complex interaction between the physicochemical properties of decanol and the engine operating conditions.
In intermediate mixtures such as D70de30, the reduced air intake leads to a lower λ, negatively affecting combustion efficiency. In addition, the viscosity and latent heat of the vaporization of decanol delay the vaporization and combustion reactions, which worsens incomplete combustion. Conversely, in the case of D50de50, the higher oxygen content alleviates this problem, promoting oxidation and improving combustion efficiency. The higher λ value evidences this compared to D70de30. This trend emphasizes the nonlinear competition between the positive effects of oxygen content and the negative effects of the physical properties of decanol, especially in high-speed engines where the intake conditions are less favorable.
These findings have also been confirmed in previous studies, which have reported that oxygenated fuels with high viscosity and low calorific value can cause a decrease in combustion efficiency and increase BSFC [,].
3.3. Brake Specific Energy Consumption
Brake specific energy consumption (BSEC) measures the energy consumed by fuel to generate a unit of power, serving as an energy efficiency indicator. Unlike BSFC, which focuses on fuel consumption, BSEC offers a different perspective on fuel performance. This is important for an objective comparison of energy efficiency between fuels with different calorific values.
As shown in Figure 4, BSEC at 1700 rpm was higher than that at 2700 rpm due to low temperature inside the combustion chamber during low-speed operation, slowing down the combustion reaction and increasing heat loss due to excessive air intake. At 2700 rpm, the high speed led to more uniform mixing of fuel and air, while the increased temperature and pressure in the combustion chamber promoted a more active combustion reaction, slightly reducing energy consumption.

Figure 4.
Comparison of brake specific energy consumption with brake mean effective pressure at (a) 1700 rpm and (b) 2700 rpm.
When D90de10 and D70de30 were used at 1700 rpm, BSEC was lower than that of D100 overall, but at 2700 rpm, BSEC was lower than that of D100 only for D90de10. This means that decanol blending is relatively effective in low-speed operation. Air and fuel mix less actively at low speeds, increasing the likelihood of incomplete combustion. However, the oxygen content in decanol helps compensate for this, reducing local incomplete combustion and enhancing combustion efficiency. This reduces BSEC and can increase energy consumption efficiency.
Moreover, at low speed, the in-cylinder temperature is lower than at high speed, making the cooling effect more significant. The higher λ and longer residence time increase the contact between fuel and air, allowing the combustion reaction to occur more uniformly. It improves combustion efficiency and helps reduce BSEC. On the other hand, since the engine used in the experiment is air-cooled, it can be understood that the lower calorific value and cooling limitations can have a negative effect on efficiency at high speed, but the thermal management ability has minimal impact on BSEC at low speed.
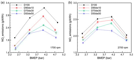
3.4. NOx Emissions
NOx emissions are primarily produced during high-temperature combustion processes through the reaction of nitrogen and oxygen in the air, and their levels tend to increase as engine loads or combustion temperatures rise. Figure 5 illustrates the trends of NOx emissions according to the decanol blending ratio and BMEP at 1700 rpm and 2700 rpm, showing a clear tendency for NOx emissions to decrease with increasing decanol ratios at each speed. For instance, when the BMEP was 4.11 bar at 1700 rpm, NOx emissions from D100 were 3.20 g/kWh, decreasing to 2.30 g/kWh for D50de50. A similar trend is observed at 2700 rpm, where NOx emissions dropped from 2.58 g/kWh with D100 to 2.16 g/kWh with D50de50.

Figure 5.
Comparison of NOx emissions with brake mean effective pressure at (a) 1700 rpm and (b) 2700 rpm.
As BMEP rises, pressure and temperature inside the combustion chamber increase, providing sufficient activation energy and promoting NOx formation. However, under the experimental conditions in this study, the λ is less than unity at the maximum BMEP of 4.9 bar, reducing the oxygen concentration in the combustion chamber and limiting NOx formation. Decanol enhances combustion stability and reduces incomplete combustion due to its oxygen content. The availability of oxygen facilitates oxidation processes, which improve combustion efficiency and reduce harmful emissions. At the same time, the combined effects of decanol’s high latent heat of vaporization and lower calorific value suppress combustion temperature, further limiting NOx formation, which predominantly occurs at high temperatures. These properties are particularly effective in reducing NOx emissions under high-load conditions.
While the in-cylinder temperature directly affects NOx formation and provides critical insights into combustion behavior, the experimental equipment in this study could not measure it directly. Instead, the exhaust gas temperature was measured to indirectly analyze decanol’s combustion behavior and cooling effect. This limitation restricts detailed thermodynamic analysis, which future studies will supplement using advanced diagnostic tools.
During high-speed operation, the in-cylinder temperature is already sufficiently high, so the cooling effect of decanol is relatively less effective, limiting the temperature reduction. Conversely, at low speeds, where the in-cylinder temperature is lower, the latent heat of vaporization has a larger impact, helping to suppress the temperature and contributing to NOx reduction. Additionally, under high-speed conditions, turbulent mixing inside the combustion chamber is enhanced, making the fuel-air mixture more uniform and reducing local hot spots, which helps to lower NOx production.
However, the high viscosity of decanol can affect fuel atomization and lead to locally unstable combustion reactions, which may offset the beneficial cooling effect under certain conditions. This interaction highlights the need for further investigation into how the physicochemical properties of decanol affect NOx formation.
Moreover, the air-cooled engine used in this experiment has limitations in thermal management compared to a water-cooled engine, making it more prone to overheating at high speeds. Accordingly, decanol-blended fuel may be less effective in reducing NOx at higher speeds. Despite these limitations, the observed NOx reduction demonstrates the potential of decanol as an eco-friendly additive. Future research should optimize the decanol/diesel blend ratio and injection strategy to address viscosity-related issues and achieve more efficient NOx reduction.
3.5. CO Emissions
CO is a colorless, odorless, toxic gas mainly produced under rich combustion conditions, with formation more likely when the combustion temperature is low, or the air-fuel mixture is uneven. Figure 6 depicts the CO emission trend according to the decanol blending ratio and BMEP, and it is clearly shown that CO concentration increases as BMEP increases in all fuel mixtures. This occurs because, as BMEP increases, the mixture in the combustion chamber becomes richer, leading to local oxygen-deficient zones that inhibit CO oxidation and increase CO emissions. Additionally, the CO increase with BMEP may be attributed to the limitations of the mechanical injection system, which lacks the ability to adjust injection timing or pressure under varying conditions independently. These limitations, combined with oxygen-depleted regions in richer mixtures, may lead to incomplete combustion and increased CO emissions. Under low-load conditions, the leaner air-fuel mixture, due to a λ greater than unity, provides sufficient oxygen to oxidize CO and reduce emissions entirely.

Figure 6.
Comparison of CO emissions with brake mean effective pressure at (a) 1700 rpm and (b) 2700 rpm.
The decrease in CO emissions with increasing decanol concentration is primarily due to the oxygen content of decanol, which facilitates oxidation in the fuel-rich region. However, the observed trends are also influenced by the in-cylinder temperature, oxidation kinetics, and residence time. At 1700 rpm, lower in-cylinder temperatures slow down CO oxidation kinetics, resulting in higher emissions despite the longer residence time. Conversely, at 2700 rpm, increased turbulence and higher in-cylinder temperatures enhance the oxidation efficiency, significantly reducing CO emissions. Improved combustion dynamics offset the shorter residence time at 2700 rpm due to higher combustion temperatures and better fuel-air mixing. These combined effects highlight the complex interplay between decanol’s oxygen availability, combustion chamber conditions, and chemical reaction rates.
As the decanol blending ratio increased, CO emissions decreased across most conditions. For example, under BMEP 4.9 bar at 1700 rpm, CO emissions for D100, D90de10, D70de30, and D50de50 were 40.6 g/kWh, 32.7 g/kWh, 30.2 g/kWh, and 17.2 g/kWh, respectively, with the highest reduction of approximately 58% observed in D50de50. This reduction is primarily due to the additional oxygen provided by decanol, which promotes CO oxidation and alleviates oxygen depletion in the fuel-rich zone.
However, the high viscosity of decanol may adversely affect fuel atomization and mixing, potentially creating localized fuel-rich regions. Nevertheless, the improved oxygen availability of decanol effectively compensates for this disadvantage, as evidenced by the consistently lower CO emissions with higher blending ratios. These results highlight the interplay between the oxygen content of decanol, its physical properties, and combustion dynamics, which collectively affect CO emissions under different engine conditions.
3.6. HC Emissions
HC emissions are generated when fuel undergoes incomplete combustion and are influenced by uneven fuel spray, delayed evaporation, and other combustion inefficiencies. Figure 7 illustrates the trend in HC emissions, showing that HC emissions tend to increase as the engine load rises. This results from fuel-rich zones formed in the combustion chamber as BMEP increases, which promotes incomplete combustion. For example, in D100, when BMEP increases from 2.47 bar to 4.85 bar at 1700 rpm, HC emissions increase more than tenfold, from 0.006 g/kWh to 0.08 g/kWh. This significant increase demonstrates the difficulty of maintaining complete combustion under high-load conditions, where localized oxygen-depleted areas become more pronounced.

Figure 7.
Comparison of HC emissions with brake mean effective pressure at (a) 1700 rpm and (b) 2700 rpm.
Adding decanol to diesel fuel generally reduces HC emissions, but at 1700 rpm, the HC reduction effect is limited compared to D100. The lower in-cylinder temperatures at low engine speeds amplify the cooling effect of decanol due to its high latent heat of vaporization, which consequently delays fuel vaporization and combustion reactions, increasing the likelihood of incomplete combustion. In addition, the overall effectiveness of decanol’s oxygen content in reducing HC emissions is diminished due to heat loss to the excess air. The longer residence time at low speeds allows the fuel to oxidize. Still, it cannot compensate for the adverse effects of low combustion temperatures and delayed fuel-air mixing.
In contrast, at 2700 rpm, higher in-cylinder temperatures and enhanced turbulence improve fuel vaporization and mixing, reducing incomplete combustion. At high speeds, despite shorter residence times, higher combustion temperatures accelerate chemical reactions, allowing for more efficient oxidation of HC. Under these conditions, the oxygen content of decanol plays a more dominant role in promoting oxidation within fuel-rich zones, resulting in a more pronounced decreasing trend in HC emissions with increasing decanol concentration. This trend highlights the significant influence of engine speed on the balance between decanol’s effects on combustion reactions, with higher-speed conditions enabling complete combustion through improved thermal and kinetic conditions.
The interaction among decanol’s physicochemical properties, engine speed, and load conditions underscores the complexity of HC emission trends. While decanol’s oxygen content enhances oxidation in fuel-rich regions, its high latent heat of vaporization and viscosity can impede combustion under certain conditions, particularly at low speeds and high loads. This study demonstrates that optimizing the decanol blending ratio according to engine operating conditions is crucial for balancing its benefits and drawbacks, ultimately improving combustion efficiency and reducing harmful emissions.
3.7. Smoke Emissions
Smoke is a complex mixture of fine solid particles, liquid droplets, and gases produced during incomplete combustion, primarily due to oxygen deficiency and non-uniform fuel spray in the combustion process. Figure 8 shows that smoke emissions increase with BMEP across all fuel mixtures. Combustion temperature increases with increasing engine load, which improves fuel oxidation efficiency in most cases. However, at high engine loads, uneven air-fuel mixing and limited oxygen availability can lead to localized fuel-rich zones, which may result in incomplete combustion. Conversely, a lean combustion environment is formed at low loads due to a λ greater than unity, rapidly reducing CO and smoke emissions.

Figure 8.
Comparison of smoke emissions with brake mean effective pressure at (a) 1700 rpm and (b) 2700 rpm.
While decanol-blended fuel helped reduce smoke emissions overall, its smoke reduction effect was less pronounced at 1700 rpm than at 2700 rpm. This limitation can be attributed to lower in-cylinder temperatures at low speeds, where delayed vaporization due to the high latent heat of vaporization of decanol could prevent complete combustion, thereby increasing smoke emissions under low-speed, high-load conditions. For example, at a BMEP of 4.85 bar, D50de50 demonstrates a noticeable smoke suppression effect; however, other decanol blends show limited impact on smoke reduction under low-speed, high-load conditions.
In contrast, at 2700 rpm, the smoke reduction effect of decanol blending became significant. Higher in-cylinder temperatures at higher speeds allow for more efficient fuel vaporization and oxidation, which amplifies the role of oxygen content in reducing incomplete combustion and unburned carbon particle formation. For example, under BMEP 4.11 bar, D100’s smoke emission was 4.66 g/kWh, but D50de50 reduced this by about 63% to 1.71 g/kWh. Additionally, turbulent mixing could be enhanced at higher speeds, improving fuel-air mixture uniformity and further suppressing smoke formation.
The observed reduction in smoke emissions with increasing decanol blending ratios is consistent with trends reported in previous studies. Devarajan et al. (2020) demonstrated that decanol blends reduced smoke emissions by increasing oxygen content, which improved combustion efficiency. Similarly, Nanthagopal et al. (2019) reported comparable results for ternary fuel blends containing decanol [,].
In conclusion, decanol-blended fuel effectively suppresses smoke emissions under certain conditions, underscoring its potential as a blending strategy to reduce diesel engine emissions and environmental impact.
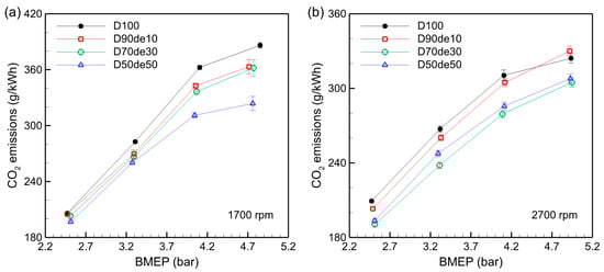
3.8. CO2 Emissions
CO2 emissions directly result from combustion and are closely related to fuel consumption and combustion efficiency. While CO2 emissions are an inevitable by-product of complete combustion, they also indirectly indicate fuel economy, with higher combustion efficiency typically resulting in higher CO2 emissions due to more complete fuel oxidation.
Figure 9 shows CO2 emission trends for various decanol-diesel blends at different BMEP levels and engine speeds. At 1700 rpm and 2700 rpm, CO2 emissions increased with BMEP, reflecting the higher fuel consumption required to meet the increased engine load. However, the effect of decanol blending on CO2 emissions varied with engine speed and blending ratios.

Figure 9.
Comparison of CO2 emissions with brake mean effective pressure at (a) 1700 rpm and (b) 2700 rpm.
At 1700 rpm, CO2 emissions generally decreased with increasing decanol blending ratio. For instance, at BMEP 4.85 bar, CO2 emissions decreased from 386.11 g/kWh for D100 to 323.70 g/kWh for D50de50. This trend is attributed to decanol’s lower carbon content, which reduces the total carbon available for oxidation. The oxygen content of decanol supports more complete combustion, which can also influence CO2 emissions under certain conditions.
At 2700 rpm, the CO2 emission trends are more complex. The D70de30 generally had lower CO2 emissions than the D50de50. For example, at BMEP 4.94 bar, D50de50 emitted 307.83 g/kWh, slightly higher than D70de30, which emitted 304.66 g/kWh. This divergence from the 1700 rpm trend highlights the nonlinear interaction between decanol’s oxygen content and combustion dynamics. Increased turbulence and in-cylinder temperatures at higher speeds enhance fuel-air mixing and combustion efficiency, amplifying the oxygen content’s positive effects. However, as the decanol blending ratio increases, the cooling effects of its high latent heat of vaporization and impact on atomization can counteract these benefits, leading to slightly higher CO2 emissions in specific cases.
The observed trends underscore the complex relationship between decanol’s properties and engine operating conditions. Decanol’s lower carbon intensity and in-cylinder temperature at low speeds contribute to a consistent reduction in CO2 emissions with higher blending ratios. However, at high speeds, the balance between the benefits of decanol’s oxygen content and the challenges posed by its physical properties creates nonlinear trends in CO2 emissions.
3.9. Limitations and Future Perspectives
This study investigated decanol-diesel blends’ combustion and emission characteristics under controlled conditions using a single-cylinder air-cooled engine. Single-cylinder engines are commonly employed in basic research due to their simplicity, cost-effectiveness, and repeatability. However, they do not fully replicate the performance characteristics of multi-cylinder commercial diesel engines. Similarly, air-cooled engines are widely used in small-scale applications but are more susceptible to temperature fluctuations than water-cooled engines, affecting combustion dynamics and emissions. These inherent limitations of the experimental setup must be considered when interpreting the results.
The higher viscosity of decanol than diesel poses problems with fuel atomization and spray uniformity, which are essential for efficient combustion. The mechanical injection system used in this study exacerbates these problems because it does not have independent control over injection timing and pressure. The oxygen content of decanol promotes complete combustion, which offsets some of the disadvantages, but advanced injection technologies such as high-pressure or electronically controlled systems can significantly improve fuel-air mixing and alleviate the adverse effects of high viscosity.
The controlled laboratory environment also ensured consistent ambient conditions such as temperature and humidity. While this approach improves repeatability, it does not account for the variability of real-world scenarios where fluctuating environmental factors can affect fuel-air mixing, combustion stability, and emission characteristics.
Although this study primarily focused on the technical performance of decanol-diesel blends, the economic feasibility of these blends is still an essential aspect of practical applications. Decanol, a higher alcohol, tends to be more expensive than conventional diesel because it is costly to produce, and its supply is limited. However, the potential benefits of reduced emissions, regulatory compliance, and improved efficiency under certain conditions may help offset these costs.
These limitations highlight the need for further studies involving multi-cylinder water-cooled engines with advanced injection systems to evaluate decanol-diesel blends under more realistic operating conditions. Future research should include detailed economic analyses investigating the costs of decanol production, scalability through renewable energy sources, and lifecycle cost-effectiveness compared to other fuels. In addition, field trials in diverse environments with varying ambient temperatures and humidity levels are recommended to assess the robustness of decanol-diesel blends. Long-term durability tests are also necessary to determine the practicality of decanol-diesel blends in various engine types, including transportation and industrial applications.
4. Conclusions
This study evaluated the effects of various decanol blending ratios on diesel engines’ combustion efficiency and emission characteristics by comprehensively analyzing engine performance and exhaust gas characteristics under various engine loads and speeds. This study aimed to provide foundational data for establishing an eco-friendly fuel blending strategy for diesel engines.
The performance parameter BTE showed different trends depending on engine speed and load. At low speed (1700 rpm), BTE tended to decrease slightly as the decanol blending ratio increased, but there was no clear relationship between the blending ratio and BTE at high speed (2700 rpm). BSFC and BSEC both tended to increase with higher decanol ratios, as the calorific value of decanol is lower than that of pure diesel, requiring more fuel for the same power output.
In terms of emissions, increasing the decanol blending ratio effectively reduced NOx, CO, HC, and smoke emissions. NOx emissions were lowered by the cooling effect from decanol’s higher latent heat of vaporization and lower calorific value, especially at low speeds. CO and HC emissions declined in most conditions, as decanol’s oxygen content promoted oxidation in fuel-rich zones, reducing incomplete combustion. CO emissions remained higher at low speeds, likely due to lower combustion temperatures, which limited CO oxidation. Decanol blends were more effective at reducing CO and HC emissions at high speed due to increased combustion temperatures and the oxygen supply effect.
Smoke emissions also decreased as the decanol blending ratio increased, as the oxygen content in decanol promoted fuel oxidation in rich zones, reducing unburned carbon particles. However, under low-speed conditions, the higher viscosity and latent heat of vaporization of decanol delayed combustion, limiting the smoke suppression effect compared to high speed.
The low carbon intensity and oxygen content of decanol influenced the CO₂ emission trend. CO2 emissions decreased continuously at low speeds as the decanol blending ratio increased due to low carbon availability. However, at high speeds, the CO₂ emission trend showed nonlinear behavior because the balance between the oxygen content of decanol and physical properties such as latent heat of vaporization affected the combustion dynamics.
In conclusion, the blended fuel of decanol and diesel can be considered a promising alternative fuel for reducing harmful exhaust gases and improving the combustion efficiency of diesel engines. Further studies are recommended to determine the optimal blending ratio and operating conditions. This study also highlights the importance of understanding CO2 emissions as a critical parameter for fuel evaluation. It suggests the potential for developing a commercial eco-friendly fuel using decanol and emphasizes the need for optimizing injection technology and timing to enhance diesel engine performance.
Author Contributions
Conceptualization, J.K.; methodology, K.J. and J.K.; software, K.J. and B.K.; formal analysis, K.J. and J.K.; investigation, K.J., J.Y. and B.K.; resources, B.K. and J.Y.; data curation, K.J. and J.K.; writing—original draft preparation, K.J. and J.K.; writing—review and editing, J.Y. and J.K.; visualization, K.J.; supervision, J.K. All authors have read and agreed to the published version of the manuscript.
Funding
This research received no external funding.
Data Availability Statement
Data are contained within the article.
Conflicts of Interest
The authors declare no conflicts of interest.
References
- United Nations. Available online: https://unfccc.int/sites/default/files/english_paris_agreement.pdf (accessed on 31 October 2024).
- Silverman, D.T.; Samanic, C.M.; Lubin, J.H.; Blair, A.E.; Stewart, P.A.; Vermeulen, R.; Coble, J.B.; Rothman, N.; Schleiff, P.L.; Travis, W.D.; et al. The diesel exhaust in miners study: A nested case–control study of lung cancer and diesel exhaust. J. Natl. Cancer Inst. 2012, 104, 855–868. [Google Scholar] [CrossRef] [PubMed]
- Shen, F.; Li, X. Effects of fuel types and fuel sulfur content on the characteristics of particulate emissions in marine low-speed diesel engine. Environ. Sci. Pollut. R. 2020, 27, 37229–37236. [Google Scholar] [CrossRef] [PubMed]
- Caliskan, H.; Mori, K. Environmental, enviroeconomic and enhanced thermodynamic analyses of a diesel engine with diesel oxidation catalyst (DOC) and diesel particulate filter (DPF) after treatment systems. Energy 2017, 128, 128–144. [Google Scholar] [CrossRef]
- Baik, J.H.; Yim, S.D.; Nam, I.S.; Mok, Y.S.; Lee, J.H.; Cho, B.K.; Oh, S.H. Control of NOx emissions from diesel engine by selective catalytic reduction (SCR) with urea. Top. Catal. 2004, 30, 37–41. [Google Scholar] [CrossRef]
- Ram, V.; Salkuti, S.R. An overview of major synthetic fuels. Energies 2023, 16, 2834. [Google Scholar] [CrossRef]
- Mishra, A.; Kumar, M.; Bolan, N.S.; Kapley, A.; Kumar, R.; Singh, L. Multidimensional approaches of biogas production and up-gradation: Opportunities and challenges. Bioresour. Technol. 2021, 338, 125514. [Google Scholar] [CrossRef]
- Sahota, S.; Shah, G.; Ghosh, P.; Kapoor, R.; Sengupta, S.; Singh, P.; Vijay, V.; Sahay, A.; Vijay, V.K.; Thakur, I.S. Review of trends in biogas upgradation technologies and future perspectives. Bioresour. Technol. Rep. 2018, 1, 79–88. [Google Scholar] [CrossRef]
- Murayama, T.; Miyamoto, N.; Yamada, T.; Kawashima, J.I.; Itow, K. A Method to Improve the Solubility and Combustion Characteristics of Alcohol—Diesel Fuel Blends; SAE transactions; SAE International: Warrendale, PA, USA, 1982; pp. 3485–3494. [Google Scholar]
- Kwanchareon, P.; Luengnaruemitchai, A.; Jai-In, S. Solubility of a diesel–biodiesel–ethanol blend, its fuel properties, and its emission characteristics from diesel engine. Fuel 2007, 86, 1053–1061. [Google Scholar] [CrossRef]
- Liu, X.; Wang, H.; Yao, M. Experimental and modeling investigations on soot formation of ethanol, n-butanol, 2, 5-dimethylfuran, and biodiesel in diesel engines. Energ. Fuel 2017, 31, 12108–12119. [Google Scholar] [CrossRef]
- Liu, X.; Wang, H.; Yao, M. Investigation of the chemical kinetics process of diesel combustion in a compression ignition engine using the large eddy simulation approach. Fuel 2020, 270, 117544. [Google Scholar] [CrossRef]
- Aljabri, H.; Liu, X.; Al-lehaibi, M.; Cabezas, K.M.; AlRamadan, A.S.; Badra, J.; Im, H.G. Fuel flexibility potential for isobaric combustion in a compression ignition engine: A computational study. Fuel 2022, 316, 123281. [Google Scholar] [CrossRef]
- Bayraktar, H. An experimental study on the performance parameters of an experimental CI engine fueled with diesel–methanol–dodecanol blends. Fuel 2008, 87, 158–164. [Google Scholar] [CrossRef]
- Bilgin, A.; Durgun, O.; Sahin, Z. The effects of diesel-ethanol blends on diesel engine performance. Energy Source 2002, 24, 431–440. [Google Scholar] [CrossRef]
- Huang, J.; Wang, Y.; Li, S.; Roskilly, A.P.; Yu, H.; Li, H. Experimental investigation on the performance and emissions of a diesel engine fuelled with ethanol–diesel blends. Appl. Therm. Eng. 2009, 29, 2484–2490. [Google Scholar] [CrossRef]
- Liu, H.; Hu, B.; Jin, C. Effects of different alcohols additives on solubility of hydrous ethanol/diesel fuel blends. Fuel 2016, 184, 440–448. [Google Scholar] [CrossRef]
- Lei, J.; Shen, L.; Bi, Y.; Chen, H. A novel emulsifier for ethanol–diesel blends and its effect on performance and emissions of diesel engine. Fuel 2012, 93, 305–311. [Google Scholar] [CrossRef]
- Song, R.; Liu, J.; Wang, L.; Liu, S. Performance and emissions of a diesel engine fuelled with methanol. Energy Fuel 2008, 22, 3883–3888. [Google Scholar] [CrossRef]
- Liu, J.; Yao, A.; Yao, C. Effects of diesel injection pressure on the performance and emissions of a HD common-rail diesel engine fueled with diesel/methanol dual fuel. Fuel 2015, 140, 192–200. [Google Scholar] [CrossRef]
- Wei, L.; Yao, C.; Han, G.; Pan, W. Effects of methanol to diesel ratio and diesel injection timing on combustion, performance and emissions of a methanol port premixed diesel engine. Energy 2016, 95, 223–232. [Google Scholar] [CrossRef]
- Yilmaz, N.; Ileri, E.; Atmanli, A. Performance of biodiesel/higher alcohols blends in a diesel engine. Int. J. Energy Res. 2016, 40, 1134–1143. [Google Scholar] [CrossRef]
- Algayyim, S.J.M.; Wandel, A.P.; Yusaf, T.; Hamawand, I. The impact of n-butanol and iso-butanol as components of butanol-acetone (BA) mixture-diesel blend on spray, combustion characteristics, engine performance and emission in direct injection diesel engine. Energy 2017, 140, 1074–1086. [Google Scholar] [CrossRef]
- Heufer, K.A.; Sarathy, S.M.; Curran, H.J.; Davis, A.C.; Westbrook, C.K.; Pitz, W.J. Detailed kinetic modeling study of n-pentanol oxidation. Energy Fuels 2012, 26, 6678–6685. [Google Scholar] [CrossRef]
- Tavasoli, A.; Ozin, G. Green syngas by solar dry reforming. Joule 2018, 2, 571–575. [Google Scholar] [CrossRef]
- Andersson, R.; Boutonnet, M.; Järås, S. Higher alcohols from syngas using a K/Ni/MoS2 catalyst: Trace sulfur in the product and effect of H2S-containing feed. Fuel 2014, 115, 544–550. [Google Scholar] [CrossRef]
- Higashide, W.; Li, Y.; Yang, Y.; Liao, J.C. Metabolic engineering of Clostridium cellulolyticum for production of isobutanol from cellulose. Appl. Environ. Microb. 2011, 77, 2727–2733. [Google Scholar] [CrossRef]
- Li, H.; Opgenorth, P.H.; Wernick, D.G.; Rogers, S.; Wu, T.Y.; Higashide, W.; Malati, P.; Huo, Y.X.; Cho, K.M.; Liao, J.C. Integrated electromicrobial conversion of CO2 to higher alcohols. Science 2012, 335, 1596. [Google Scholar] [CrossRef]
- Şahin, Z.; Aksu, O.N. Experimental investigation of the effects of using low ratio n-butanol/diesel fuel blends on engine performance and exhaust emissions in a turbocharged DI diesel engine. Renew. Energy 2015, 77, 279–290. [Google Scholar] [CrossRef]
- Siva Prasad, K.; Rao, S.S.; Raju, V.R.K. Performance and emission characteristics of a DI-CI engine operated with n-butanol/diesel blends. Energy Sources Part A-Recovery Util. Environ. Eff. 2019, 46, 1419–1430. [Google Scholar] [CrossRef]
- Swaminathan, S.; Subramanian, T.; Martin, L.J.; Beddhannan, N. Emission profiling of CI engine fueled with neem and wintergreen oil blend with hexanol and octanol manifold injection. Environ. Sci. Pollut. R. 2020, 27, 17505–17515. [Google Scholar] [CrossRef]
- Deep, A.; Kumar, N.; Karnwal, A.; Gupta, D.; Vibhanshu, V.; Sharma, A.; Patel, J.S. Assessment of the Performance and Emission Characteristics of 1-Octanol/Diesel Fuel Blends in a Water Cooled Compression Ignition Engine; SAE Technical Paper, No. 2014-01-2830; SAE International: Warrendale, PA, USA, 2014. [Google Scholar]
- Li, L.; Wang, J.; Wang, Z.; Liu, H. Combustion and emissions of compression ignition in a direct injection diesel engine fueled with pentanol. Energy 2015, 80, 575–581. [Google Scholar] [CrossRef]
- Ashok, B.; Nanthagopal, K.; Darla, S.; Chyuan, O.H.; Ramesh, A.; Jacob, A.; Sahil, G.; Thiyagarajan, S.; Geo, V.E. Comparative assessment of hexanol and decanol as oxygenated additives with calophyllum inophyllum biodiesel. Energy 2019, 173, 494–510. [Google Scholar] [CrossRef]
- Virt, M.; Zöldy, M. Enhancing the Viability of a Promising E-Fuel: Oxymethylene Ether–Decanol Mixtures. Energies 2024, 17, 1348. [Google Scholar] [CrossRef]
- Pilusa, T.J.; Mollagee, M.M.; Muzenda, E. Reduction of vehicle exhaust emissions from diesel engines using the whale concept filter. Aerosol Air Qual. Res. 2012, 12, 994–1006. [Google Scholar] [CrossRef]
- Homan, H.S. Conversion Factors Among Smoke Measurements; SAE transactions; SAE International: Warrendale, PA, USA, 1985; pp. 533–547. [Google Scholar]
- Kumar, B.R.; Saravanan, S. Use of higher alcohol biofuels in diesel engines: A review. Renew. Sustain. Energy Rev. 2016, 60, 84–115. [Google Scholar] [CrossRef]
- Devarajan, Y.; Munuswamy, D.B.; Nagappan, B.; Pandian, A.K. Performance, combustion and emission analysis of mustard oil biodiesel and octanol blends in diesel engine. Heat Mass Transf. 2018, 54, 1803–1811. [Google Scholar] [CrossRef]
- Atmanli, A.; Yilmaz, N. A comparative analysis of n-butanol/diesel and 1-pentanol/diesel blends in a compression ignition engine. Fuel 2018, 234, 161–169. [Google Scholar] [CrossRef]
- Kumar, B.R.; Saravanan, S. Effects of iso-butanol/diesel and n-pentanol/diesel blends on performance and emissions of a DI diesel engine under premixed LTC (low temperature combustion) mode. Fuel 2016, 170, 49–59. [Google Scholar] [CrossRef]
- Devarajan, Y.; Munuswamy, D.; Nagappan, B.; Choubey, G. Study on the effect on combining long-chain additive with neat bio-diesel fueled engine to examine its ignition characteristics. Fuel 2020, 279, 118400. [Google Scholar] [CrossRef]
- Nanthagopal, K.; Ashok, B.; Saravanan, B.; Pathy, M.R.; Sahil, G.; Ramesh, A.; Nabi, M.N.; Rasul, M.G. Study on decanol and Calophyllum Inophyllum biodiesel as ternary blends in CI engine. Fuel 2019, 239, 862–873. [Google Scholar] [CrossRef]
Disclaimer/Publisher’s Note: The statements, opinions and data contained in all publications are solely those of the individual author(s) and contributor(s) and not of MDPI and/or the editor(s). MDPI and/or the editor(s) disclaim responsibility for any injury to people or property resulting from any ideas, methods, instructions or products referred to in the content. |
© 2024 by the authors. Licensee MDPI, Basel, Switzerland. This article is an open access article distributed under the terms and conditions of the Creative Commons Attribution (CC BY) license (https://creativecommons.org/licenses/by/4.0/).