Abstract
In recent years, fracturing-flooding technology has achieved a series of successful practices in the development of low-permeability oil reservoirs. However, research on the dynamic behavior of fracturing-flooding remains limited. In this paper, a dual medium model considering anisotropic characteristics is established for the target blocks. Multiple sets of conventional water injection transitions and multi-cycle fracturing-flooding operations are designed for simulation to explore the subsequent optimal operational schemes. Simulations are conducted on the optimal transitions between conventional water injection and multi-cycle fracturing-flooding schemes for different reservoir models with varying physical properties to study the dynamic behavior of fracturing-flooding in oil reservoirs with different properties. The results indicate that, for conventional water injection schemes, the optimal transition time for both the target well group and other reservoirs with different properties corresponds to a formation pressure coefficient between 1.2 and 1.3, with the optimal injection–production ratio being 1:1. From the perspective of water cut, the accumulated oil production of multi-cycle fracturing-flooding is higher than that of conventional water injection. The optimal multi-cycle fracturing-flooding schemes for both the target well group and other reservoirs with different properties are to start fracturing-flooding when the formation pressure coefficient is around 0.8 and to begin production when it reaches 1.4.
1. Introduction
Low-permeability reservoirs refer to oil reservoirs with relatively low permeability, usually below 50 mD [1,2]. These low-permeability reservoirs are one of the most important types of oil reservoirs, with significant development potential. Taking the Shengli Oilfield as an example, more than 20% of the proven geological oil reserves are low-permeability reservoirs. However, such reservoirs are characterized by deep burial, low abundance, poor physical properties, and strong heterogeneity. Artificial fracturing further exacerbates reservoir heterogeneity, leading to challenges such as “injection difficulties and production inefficiencies” and severe water channeling. Fracturing-flooding technology employs hydraulic fracturing equipment to inject large amounts of water into the reservoir at high pressure and speed over a short time period, thereby rapidly replenishing reservoir energy. The wells are then shut in for a period to allow the pressure to sufficiently diffuse [3,4]. In recent years, the application of fracturing-flooding technology in fields, such as China’s Shengli Oilfield [5], Changqing Oilfield [6], and Daqing Oilfield [7], has significantly improved the development outcomes of low-permeability reservoirs.
Although it is now clear that fracturing-flooding significantly improves the petrophysical properties of low-permeability reservoirs, research on the dynamic behavior of this method remains limited. Determining the development approach that can maximize the effectiveness of fracturing-flooding, and subsequently adopting development strategies that yield optimal outcomes are pressing issues that need to be addressed. Li developed a conceptual model using numerical simulation based on the actual parameters of low-permeability beach-bar sandstone reservoirs. This model equivalently simulates the threshold pressure gradient and stress-sensitivity effect, and results indicate that accounting for these factors aligns more closely with real conditions [8]. Wang used theoretical charts and empirical formulas to analyze the main controlling factors of the water injection development effect. By combining reservoir engineering methods and numerical simulation techniques, they determined various water injection and production parameters, thereby establishing reasonable dynamic behavior for the development of thin and poor reservoirs [9]. Liu and others analyzed the rationality of well spacing from both technical and economic limit perspectives in ultra-low permeability oil field blocks. They optimized the timing of pre-water injection using numerical simulation methods, obtaining pressure change patterns for different timings. Based on the material balance equation, they established the relationship between the injection–production ratio and reservoir pressure, deriving a reasonable injection–production ratio under specific pressure drops [10]. Cui utilized reservoir engineering methods and numerical simulation techniques to study the development dynamic for complex fault-block reservoirs, single-layer development dynamics, well pattern spacing dynamics, and complex structure well dynamics. They produced dynamic charts of economic limit initial oil production, accumulated oil production, and economic limit water cut for vertical, slanted, and horizontal (branch) wells under different oil prices [11]. Based on a thorough investigation of the timing of water injection in onshore abnormally high-pressure low-permeability oil fields, Ling and colleagues proposed that the optimal water injection timing for the second member of the BZ oilfield in Bohai Bay is when the pressure coefficient decreases to 1.0, taking into account the stress sensitivity of low-permeability reservoirs, injection–production pressure difference, and numerical simulation results [12]. Xu and others validated the reasonable timing for water injection and determined the rational reservoir pressure, finding the optimal timing for water injection. They used numerical simulation methods to validate the timing of water injection development in low-permeability reservoirs and selected the best timing for water injection. Ge and team addressed the challenge of determining the timing for transitioning from depletion development to water injection in fluvial heavy oil reservoirs through physical simulation, using reservoir parameters from the Qinhuangdao 32-6 oilfield in the Bohai Sea to identify the optimal water injection timing [13]. Yuan and colleagues analyzed the connectivity of the reservoir in the high volatility oil AKPO field and the water cut rise pattern after the water breakthrough, establishing a new water cut rise model and proposing water injection timing and strategy. The results indicated that composite channel reservoirs and lobate reservoirs could use water injection strategies primarily aimed at improving vertical sweep efficiency and areal sweep efficiency, respectively [14]. Song and others studied several carbonate reservoirs already developed in the Middle East, determining the basic characteristics of different types of carbonate reservoirs. Given the features of very low shale content, fast pressure transmission, and long pressure reach in Middle Eastern carbonate reservoirs, they suggested using a large well-spacing drive oil model, formulating moderate water injection, and maintaining reasonable production pressure drop and voidage replacement ratio as rational development strategies [15]. Wang et al. constructed a dual-objective function to assess reasonable reservoir pressure, based on the two-phase fractional flow equations in low-permeability porous media considering the flow characteristics in reservoirs with a threshold pressure gradient and the influence of formation pressure on oil viscosity. The results indicated that during the pressure drawdown process, maintaining a reservoir formation pressure maintenance degree of 0.88 can ensure relatively high future accumulated oil production [16]. Cai and colleagues addressed the impact of overburden formation pressure on permeability, oil–water relative permeability curves, and oil displacement efficiency. Based on experimental results and oil–water flow theory, they established oil recovery equations and mathematical models of oil displacement efficiency that consider stress sensitivity. They also plotted curves showing the variation in productivity with pressure decline under different permeabilities. Experimental and theoretical studies indicated that permeability continually decreases with the increase in effective overburden formation pressure, and in low-permeability reservoirs, an increase in effective overburden formation pressure results in decreased permeability. When reservoir pressure is restored through water injection, the permeability loss is irreversible [17]. Li addressed the common issues in the peripheral oil fields of Daqing Oilfield, such as high injection–production ratios and low levels of reservoir pressure maintenance. By setting maximum oil production as the objective function and using injection pressure and flow pressure as constraints, Li established an optimal mathematical model. Based on the material balance equation considering overflow water, formulas were derived for changes in reservoir pressure over time and the variation in other parameters like the injection–production ratio [18]. Zhang and colleagues developed a multi-factor linear regression model of the injection–production ratio based on actual production data from high water cut oilfields and their influencing factors. They combined this model with the “A” type water drive curve to predict a reasonable injection–production ratio, finding results similar to those from reservoir numerical simulations [19].
From the above research, it can be summarized that the main methods for studying dynamic behavior include numerical simulation methods, physical simulation methods, and mathematical modeling methods. Among them, using numerical simulation methods to study dynamic behavior is the most common approach. Given the long water injection period, wide area coverage, and anisotropic characteristics of low-permeability reservoirs in fracturing-flooding (pressurized displacement) processes, using physical simulation methods to study dynamic behavior will consume a lot of time and finds it difficult to account for water drive differences within large block areas. Meanwhile, mathematical modeling methods find it challenging to describe the dynamic changes in reservoir properties during the fracturing-flooding process and to account for the complex coupling mechanisms between fracture propagation and reservoir seepage. Therefore, this study comprehensively considers the impact of factors, such as heterogeneity, anisotropy, and imbibition in low-permeability reservoirs. A dual-medium model considering the anisotropic rock stress sensitivity characteristics was established for the target well group. Different timing of transitioning to conventional water injection and various injection–production ratios after fracturing-flooding are designed to simulate and analyze their development effects. The simulation of multi-cycle fracturing-flooding work policies is introduced, comparing the development effects of switching the target well group from multi-cycle fracturing-flooding to conventional water injection, and simulating the optimal policy for multi-cycle fracturing-flooding in the target well group. By setting reservoir models with different effective oil layer thicknesses and permeabilities, the study explores the optimal timing for transitioning to conventional water injection, the best injection–production ratio, and the optimal working policies for multi-cycle fracturing-flooding, thereby evaluating the applicable conditions for fracturing-flooding in reservoirs with different physical properties. The innovations of this paper are as follows: (1) A dual-porous and dual-permeable media model was used to study the dynamic behavior of fracturing-flooding for the target well group, providing a reference for future reasonable fracturing-flooding working policies for the target well group. (2) By simulating different fracturing-flooding working policies for reservoirs with varying physical properties, the study explores the applicable conditions of fracturing-flooding in reservoirs with different physical properties.
The mechanism of enhanced recovery and efficiency through fracturing-flooding processes mainly includes three aspects [20]: enhancing water injection capability, establishing a displacement mechanism, and expanding the swept area. Enhancing water injection capability involves creating a high-pressure zone near the injection well, which activates existing closed fractures within the reservoir or generates micro-fractures [21]. This fracture extension quickly supplements the reservoir’s energy and increases reservoir pressure, significantly improving water injection capability, and increasing both the production pressure differential and the fluid and oil output of oil wells. Maintaining low permeability reservoirs at relatively high pressure levels can reduce permeability loss caused by pressure sensitivity. By optimizing the timing and cycles of fracturing-flooding, reservoir pressure can be restored earlier, allowing high permeability to be sustained for longer periods, which in turn establishes stable and effective displacement. Current numerical simulations of fracturing-flooding indicate that by implementing fracturing-flooding, the rate of pressure drop in fractured zones is significantly slowed, the pressure front advances, and the pressure gradient in the reservoir matrix is greatly increased. This markedly improves oil displacement efficiency, significantly enhances water phase flow capability after overcoming the low-velocity non-Darcy effect, and substantially boosts oil well productivity, thereby increasing recovery rates. As shown in Figure 1, micro-fracture zones are generated in the central zone by fracturing-flooding, thereby advancing the fracturing-flooding front and establishing more displacement channels between wells.
Figure 1.
Mechanism of fracturing-flooding.
Enhancing water injection capability, establishing a displacement mechanism, and expanding the swept area significantly improve the recovery rate of oil fields. The practical measures targeting these mechanisms, particularly the creation of high-pressure zones to activate or generate fractures and maintaining reservoir operation at high pressure levels, not only enhance water injection efficiency but also effectively establish a stable displacement environment. This substantially increases oil displacement efficiency and oil well productivity [22]. Therefore, following the initial fracturing-flooding, there are two operational strategies to choose from: transitioning to conventional water injection development or transitioning to multi-cycle fracturing-flooding.
Currently, there is a lack of specific understanding regarding the time and dynamic behavior of the fracturing-flooding phase. For the transition to conventional water injection, the timing of water injection and water injection–production ratios are critical technical policies that need to be addressed. The timing for transitioning to conventional water injection refers to the appropriate moment to transition from fracturing-flooding methods to conventional water injection. This decision hinges on the current pressure state of the reservoir and the activity level of fractures. A timely transition can maximize the use of the established high-pressure zone, optimize energy supplementation and pressure maintenance, and further improve reservoir extraction efficiency [23]. Field practices indicate that injecting water too early, before sufficient pressure diffusion within the reservoir and displacement of the remaining oil in low permeability zones, can result in a high water cut in the produced fluids. Too late a transition can miss the optimal development window, leading to energy loss in the reservoir and reduced accumulated oil production. The injection–production ratio is a critical indicator that reflects the status of water injection development and characterizes the dynamic condition of reservoir water injection development. A reasonable injection–production ratio can ensure stable reservoir pressure, optimize fluid flow, reduce permeability loss due to pressure sensitivity, and maintain high permeability and an effective displacement mechanism. The reservoir pressure and oil–water distribution after fracturing-flooding significantly differ from pre-pressure injection conditions. Exploring the appropriate injection–production ratio is crucial for the development effectiveness of fracturing-flooding. For a strategy involving multi-cycle fracturing-flooding, it is necessary to study the timing for initiating the second and subsequent rounds and the timing of transitioning to production after each fracturing-flooding stops. Initiating the next round of fracturing-flooding too early, for example, during the production ramp-up or stable production period, can affect production efficiency. Conversely, a delay in starting the next round can lead to inadequate reservoir energy supplementation, failing to maintain fluid production. Similarly, stopping a fracturing-flooding too late can result in excessive water injection, leading to water flooding or channeling. At the same time, fluid flow in the reservoir is not uniform, especially in reservoirs with well-developed fractures or distinct bedding planes, where the directional differences in fluid flow are significant. Fractures generally have much higher permeability compared to matrix rock, which has lower permeability. Therefore, if anisotropy is not considered, traditional homogeneous models may fail to accurately predict the flow paths and distribution of oil and gas, leading to significant deviations in the fluid flow and recovery rate predictions during development. By incorporating anisotropic characteristics, it is possible to more accurately simulate fluid flow in different directions, providing a more reliable development plan.
This paper is divided into five sections. In Section 2, a dual media model is established for the target well group, taking into account the anisotropic stress sensitivity characteristics of the rock. In Section 3, the dynamic behavior of the target well group is simulated and analyzed. In Section 4, dynamic behavior with different physical properties is simulated and analyzed. Finally, in Section 5, we draw some conclusions.
2. Model Building
In the study of fracturing-flooding simulation, it is assumed that in the initial state of the reservoir, there are no active fractures, treating it as a single-medium region. When sufficient pressure is applied to the formation via injection wells, fractures are activated, creating a dual-porous and dual-permeable media region, while the surrounding area remains a single matrix region. This dynamic transition from a single-medium to a dual-medium is challenging to achieve. Therefore, an equivalent method is employed in this study: assuming the entire reservoir is a dual-medium region initially, where the fracture and matrix zones have identical physical properties and are treated as a matrix zone. Models that do not consider stress sensitivity have obvious drawbacks. In actual reservoirs, the physical properties of rocks change with variations in pressure, especially the pore pressure, which affects the permeability and elasticity of the rocks, leading to the deformation of the pore space. If a model neglects stress sensitivity, it cannot accurately simulate the changes in rock properties caused by pressure variations during production, which results in inaccurate predictions of flow characteristics. Models that do not account for stress sensitivity are typically unable to capture the nonlinear response of rocks during the fracturing-flooding process, potentially overestimating or underestimating changes in permeability, thus affecting the accurate prediction of oil and gas production. Introducing rock stress sensitivity not only helps improve the accuracy of the model but also allows for a more realistic reflection of the actual dynamic behavior of the reservoir during production. At the onset of fracturing-flooding, different rock stress sensitivity parameters are assigned to the fracture and matrix zones, allowing dynamic simulation of changes in the dual-medium region [24]. Detailed information is introduced in Appendix A.
The stress sensitivity of the reservoir reflects the disruption and re-establishment of solid particle force equilibrium caused by changes in pore pressure during hydrocarbon extraction, which is the coupled result of rock deformation and fluid flow. Under stress sensitivity effects, the reservoir’s pore space deforms, altering the seepage characteristics [25]. Macroscopically, this results in either an increase or decrease in permeability, subsequently affecting oil and gas production. During fracturing-flooding, the relationship between changes in rock properties and pressure can be described by a rock stress sensitivity curve. Incorporating this relationship into a dual-medium model allows a detailed depiction of changes in rock characteristics with increasing reservoir pressure, establishing a fracturing-flooding simulation method based on rock stress sensitivity to describe the initialization and dynamic expansion of fractures.
To explore the dynamic behavior of fracturing-flooding under different reservoir physical property conditions, numerical simulation is used to calculate production under various model property parameter settings and development schemes. The target block injection–production well pattern employs the nine-point method. The middle W1 is an injection well, and the surrounding O1 to O8 are 8 production wells. The average distance between the injection well and the production well is 360 m, with an initial permeability of 6 mD, porosity of 0.16, formation depth of 2800 m, and original formation pressure of 33.6 MPa. As shown in Figure 2a, based on the conditions of the target well group, a reservoir simulator is used to establish a six-layer dual-porous and dual-permeable media model with grid dimensions of 136 × 106 × 12 and individual grid size of 10 m × 10 m × 2 m. All grid sizes in the same model are consistent, with zones 1–6 in the Z-direction as the matrix zone, and zones 7–12 as the fracture zone. The maximum rock stress sensitivity direction is the X-direction. The definition rules of the oil–water relative permeability curve are shown in Figure 2b. The water viscosity is 0.7 cP, the oil viscosity under the original formation pressure is 2.86 cP, and the oil–water densities are 863 kg/m3 and 1020.2 kg/m3, respectively.

Figure 2.
Presets of numerical simulation model: (a) 3D Reservoir model, (b) Relative permeability curve.
The fracturing-flooding development plan for this well group is divided into three stages:
(1) Water injection stage: High-pressure water injection equipment is connected to the injection well, injecting 1071.5 standard cubic meters of water into the reservoir daily. This stage lasts for 88 days, and after the completion of water injection, the measured bottom hole pressure at the injection well is 69.75 MPa, with a fracture size of 100 m × 60 m;
(2) Soaking stage: The production and injection wells are closed, with no injection or production occurring. This stage lasts for 30 days, and after the soaking stage, the measured average bottom hole pressure at the production well is 48 MPa;
(3) Production stage: Each production well currently produces 15 standard cubic meters of fluid per day. A total of 150 days of production has been carried out so far, without any water injection. As a result, the average reservoir pressure has declined. During this stage, the measured average bottom-hole pressure of the production well is 30 MPa.
In this study, an oil formation volume factor table and a rock stress sensitivity parameter table are used to approximately characterize the oil formation compression curve and the rock stress sensitivity curve. Each table sets five characteristic pressure points, along with the physical parameters corresponding to these characteristic pressure points. The oil formation volume factor table includes the oil formation volume factors at these characteristic pressure points, while the rock stress sensitivity parameter table includes the pore volume multiplier and XY directional transmissibility multiplier for matrix and fracture at these characteristic pressure points. Based on these five characteristic pressure points, the oil formation compression curve and the rock stress sensitivity curve can be matched. The oil formation volume factor table after history matching is shown in Table 1, and the rock stress sensitivity curve table is shown in Table 2. Table 1 contains the oil phase volume coefficients at five characteristic pressure points. As the reservoir pressure changes, the oil in the reservoir will compress or expand accordingly. The oil phase volume coefficient describes the proportional change in the oil volume at the corresponding pressure point. Table 2 includes the porosity volume multipliers and the conductivity multipliers in the XY directions for both the matrix and fracture media at the five characteristic pressure points. These parameters can describe the level of pore contraction and expansion at the corresponding characteristic pressure points, as well as the changes in permeability in the X and Y directions during the pressure-driven process [26].
Table 1.
Oil formation volume factor.
Table 2.
Rock stress sensitivity parameter.
3. Target Well Group
3.1. Water Injection Timing
Research on the optimal timing for transitioning to conventional water injection in the target well group was conducted, setting the entire production cycle to 19.5 years. The oil wells begin production on the 31st day after the completion of fracturing-flooding. Ten production scenarios were simulated by setting the transition to conventional water injection at the end of the shutdown period on days 0, 30, 60, 180, 360, 720, 1080, 1400, 1800, and 2160. The development results are shown in Figure 3.

Figure 3.
Development effects of different transition timings to conventional water injection. (a) Accumulated oil production curve. (b) Daily oil production curve. (c) Pressure curve. (d) Water cut curve.
As shown in Figure 3a,b, the differences in daily oil production rates at different transition timings to conventional water injection mainly occur between the well opening production and the stable decline phase. The earlier the transition to conventional water injection, the faster the rate of decline from the peak daily oil production, causing the entry into the stable decline phase to occur earlier. Conversely, a later transition to conventional water injection can lead to a period of low production or even shutdown after the peak decline. As illustrated in Figure 3c, if the transition timing is too early, the reservoir pressure does not sufficiently diffuse, leading to poor displacement efficiency. If the transition timing is too late, the reservoir pressure cannot be supplemented in a timely manner after peaking, delaying the entry into the stable production phase and significantly impacting production. Figure 3d shows that the water cut trends differ minimally for scenarios transitioning earlier than 720 days, whereas a significant delayed inflection point appears in the water cut rise curve for transition timings later than 720 days, indicating that a late transition can severely affect the development performance.
Table 3 displays the simulated reservoir pressure, reservoir pressure coefficient, and accumulated oil production corresponding to each transition timing to conventional water injection. It can be observed that as the transition timing is delayed, the final accumulated oil production first increases and then decreases. The production scheme with the highest accumulated oil production corresponds to a transition timing on the 180th day. At this point, the reservoir pressure is 34.49 MPa, with a reservoir pressure coefficient of 1.23, indicating that the optimal transition timing to conventional water injection for the target well group occurs when the reservoir pressure coefficient decreases to around 1.2.
Table 3.
Corresponding pressure and production for transition timings to conventional water injection.
In conclusion, the daily oil production of the target well group peaks immediately upon well opening, followed by a rapid decline to a stable production phase. A timely transition to conventional water injection can smoothly connect the initial production peak with the subsequent stable production phase, facilitating optimal development performance. Simulation results indicate that the optimal transition timing for the target well group occurs when the reservoir pressure coefficient decreases to around 1.2.
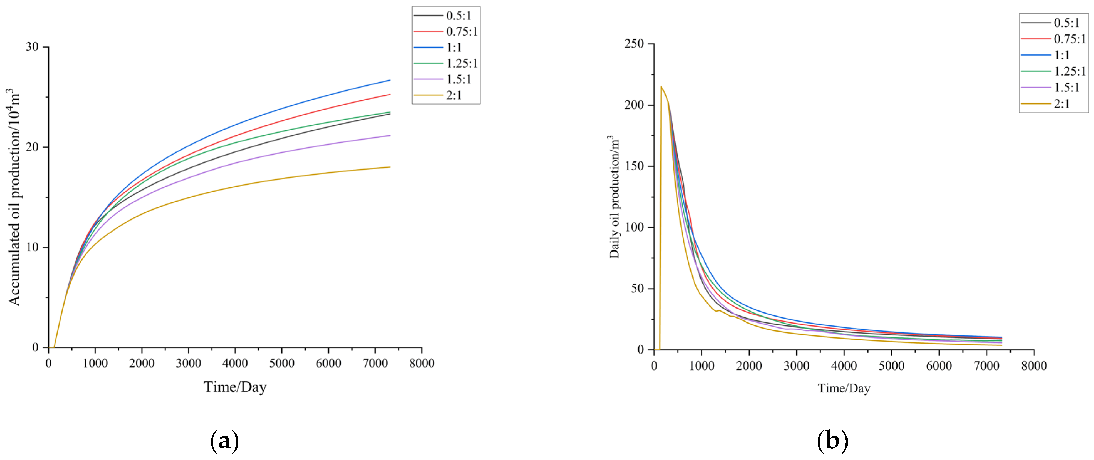
3.2. Injection–Production Ratio
Research was conducted on the optimal timing for transitioning to conventional water injection in the target well group. The total production cycle was set at 19.5 years, with oil production commencing on the 31st day after the completion of fracturing-flooding water injection, and the transition to conventional water injection occurring on the 180th day. The daily oil production rate was 240 standard cubic meters. Different daily water injection rates were set to adjust the injection–production ratio. Six production scenarios were simulated with injection–production ratios of 0.5:1, 0.75:1, 1:1, 1.25:1, 1.5:1, and 2:1. The development outcomes are compared in Figure 4.

Figure 4.
Comparison of development effects with different injection–production ratios. (a) Accumulated oil production curve. (b) Daily oil production curve. (c) Pressure curve. (d) Water cut curve.
As seen in Figure 4a, increasing the injection–production ratio from 0.5:1 to 2:1 resulted in the final accumulated oil production rising from 233,159.6 cubic meters at a 0.5:1 ratio to 266,845.6 cubic meters at a 1:1 ratio, then decreasing to 180,126.8 cubic meters at a 2:1 ratio. This indicates that the optimal injection–production ratio after transitioning to conventional water injection for the target well group is 1:1. From Figure 4b, it can be observed that the production reaches a peak daily oil rate at the start, after which it gradually declines. In the early stages of production, scenarios with lower injection–production ratios achieve higher daily oil rates. However, around 600 days into production, the daily oil rates for the 0.5:1 and 0.75:1 scenarios dropped significantly. By the 800th day, the 1:1 scenario attains the highest daily oil rate and maintains it until the end of production. Figure 4c shows that in the scenarios with injection–production ratios of 1.5:1, 1.25:1, and 2:1, the reservoir pressure initially drops briefly after transitioning to conventional water injection and then continually rises. In contrast, the 0.5:1, 0.75:1, and 1:1 scenarios exhibit a continuous decline in reservoir pressure, eventually stabilizing at a fixed level. Analyzing Figure 4d, due to water injection exceeding liquid production, excessive water injection in the 1.5:1, 1.25:1, and 2:1 scenarios exacerbates water invasion, affecting oil mobility and resulting in excessively high water cuts. This is a key factor contributing to the lower accumulated oil production in these scenarios. Conversely, in the 0.5:1 and 0.75:1 scenarios, inadequate water injection fails to maintain reservoir pressure effectively, thus reducing oil and gas mobility and ultimately decreasing overall recovery.
Based on the comparison results above, it can be concluded that the optimal injection–production ratio for the target well group is 1:1. If the injection–production ratio is too low, the reservoir pressure is difficult to maintain, and the fluid medium is not replenished in a timely manner. Conversely, if the injection–production ratio is too high, it exacerbates water invasion, affecting oil mobility and resulting in excessively high water cuts.
3.3. Comparison of the Effects
To study the development effects of multi-cycle fracturing-flooding, a multi-cycle fracturing-flooding production scheme was established based on the original model. The first cycle of the fracturing-flooding and soaking phase was identical to the target well group. After 180 days of production, the production wells were shut in, and a fracturing-flooding was carried out with a daily water injection volume of 1071.5 standard cubic meters. When the average reservoir pressure exceeded 40.0 MPa, the fracturing-flooding was stopped, and production began at a rate of 15 standard cubic meters of liquid per well per day. When the average reservoir pressure dropped below 28.0 MPa, the production wells were shut in again to continue the next round of fracturing-flooding. This process was repeated until the end of a 7200-day production period. Additionally, a conventional water injection production scheme, with a water injection start time set at 180 days and an injection–production ratio of 1:1, was established for comparison to evaluate the development effects of multi-cycle fracturing-flooding.
Figure 5 compares the development effects of the multi-cycle fracturing-flooding scheme and the conventional water injection scheme. From Figure 5a, it can be seen that the accumulated oil production of multi-cycle fracturing-flooding shows wave-like increases compared to the conventional water injection scheme. Figure 5b reveals that the daily oil production curve of multi-cycle fracturing-flooding is similar to that of conventional water injection, with peak production achieved upon well opening followed by a gradual decline. However, differences exist between cycles. The first cycle of fracturing-flooding ended with an initial daily oil production of 215.14 standard cubic meters, which quickly decreased to 202.41 standard cubic meters at the start of fracturing-flooding. During the second cycle, daily oil production first increased and then decreased, starting lower than the daily oil production under the conventional water injection scheme but equaling it at the peak of the second cycle, after which the rate of decline was slower, maintaining a period of high production. For the third and subsequent cycles, daily oil production initially increased, starting lower than the concurrent conventional water injection scheme but eventually exceeding it until the next fracturing-flooding began. Figure 5c compares the average reservoir pressure change curves between the two schemes. Unlike the monotonous decline of the pressure curve in the conventional water injection scheme, the multi-cycle fracturing-flooding scheme’s pressure curve fluctuated between the set upper limit of 40.0 MPa and the lower limit of 28.0 MPa. Figure 5d compares water cut change curves, showing that the first cycle of multi-cycle fracturing-flooding had a lower water cut with an increasing trend; the second cycle showed a decreasing then increasing water cut, while the third and subsequent cycles demonstrated a decreasing trend in water cut.
Figure 5.
Comparison of the development effects of two work schemes. (a) Accumulated oil production curve. (b) Daily oil production curve. (c) Pressure curve. (d) Water cut curve.
Considering the characteristics of large variations in water injection rate and high total water injected in multi-cycle fracturing-flooding, comparing accumulated oil production from the perspective of water cut can provide a more reasonable assessment of the development effects when transitioning to multi-cycle fracturing-flooding. Figure 6 illustrates the accumulated oil production corresponding to the same water cut for both the multi-cycle fracturing-flooding and conventional water injection schemes. The blue dashed line indicates the trend of accumulated oil production for the multi-cycle fracturing-flooding. Overall, the multi-cycle fracturing-flooding scheme results in greater accumulated oil production at the same water cut, compared to the conventional water injection scheme.
Figure 6.
Comparison of accumulated oil production under corresponding water cut.
3.4. Multi-Cycle Fracturing-Flooding
Research on the timing for transitioning to the next round of fracturing-flooding and the subsequent production phase for the target well group is conducted. Based on the original model, different multi-cycle fracturing-flooding and production regimens are set. The simulation parameters for this section are shown in Table 4.
Table 4.
Simulation parameter setting table.
Figure 7 illustrates the final accumulated oil production corresponding to different multi-cycle fracturing-flooding production regimes with varying timings for the next round of fracturing-flooding and subsequent production phases. The horizontal axis represents the formation pressure coefficient corresponding to the timing for transitioning to the next production phase, i.e., the stopping point of fracturing-flooding. The vertical axis indicates the formation pressure coefficient corresponding to the start of the next round of fracturing-flooding. Each grid represents a production regime, where redder colors indicate higher accumulated production and bluer colors indicate lower accumulated production for that regime. It can be observed that the highest accumulated oil production for the target well group occurs when the next fracturing-flooding timing corresponds to a formation pressure coefficient of 0.9, and the next production phase timing corresponds to a coefficient of 1.4. Conversely, the lowest accumulated oil production occurs when the next fracturing-flooding timing corresponds to a coefficient of 1.2, and the next production phase timing corresponds to a coefficient of 2. Additionally, strategies with an earlier timing for the next production phase tend to perform better than those with later timing, and options with a smaller span between fracturing-flooding start and stop are generally more favorable than those with a larger span.
Figure 7.
Comparison of accumulated oil production.
4. Different Physical Properties
4.1. Water Injection Timing
To investigate the optimal timing for transitioning to conventional water injection under different effective thicknesses of oil reservoirs, various effective thicknesses were set on the basis of the original model, specifically at 8 m, 10 m, 12 m, 14 m, 16 m, and 20 m. Using reservoir numerical simulation software, simulations were conducted to obtain the final accumulated oil production corresponding to different timings for switching to conventional water injection across these thicknesses, as illustrated in Figure 8.
Figure 8.
Accumulated oil production. (a) Thickness = 8 m. (b) Thickness = 10 m. (c) Thickness = 12 m. (d) Thickness = 14 m. (e) Thickness = 16 m. (f) Thickness = 20 m.
Figure 8a shows the final accumulated oil production corresponding to each timing of transitioning to conventional water injection for a model oil layer thickness of 8 m. It reveals that when the timing is delayed from day 0 to day 2160, the accumulated oil production increases from 192,990 tonnes on day 0 to 195,610 tonnes on day 180, and then decreases to 181,670 tonnes by day 2160. Figure 8b illustrates a thickness of 10 m, where the accumulated oil production grows from 231,060 tonnes on day 0 to 232,470 tonnes on day 180, and subsequently declines to 215,180 tonnes by day 2160. Figure 8c relates to a thickness of 12 m, showing an increase from 266,010 tonnes on day 0 to 266,850 tonnes on day 180, then a decrease to 246,500 tonnes by day 2160. Figure 8d presents data for a 14 m thickness, where production rises from 299,300 tonnes on day 0 to 299,670 tonnes on day 180, decreasing thereafter to 276,280 tonnes by day 2160. Figure 8e covers a 16 m thickness, noting production growth from 330,840 tonnes on day 0 to 331,010 tonnes by day 60, followed by a decline to 304,240 tonnes by day 2160. Finally, Figure 8f addresses a 20 m thickness, showing a reduction from 399,680 tonnes on day 0 to 356,180 tonnes by day 2160.
In summary, the optimal timing for injection is on the 180th day for oil layers with thicknesses of 8 m, 10 m, 12 m, and 14 m, advances to the 60th day for a 16 m thickness, and moves forward to day 0 for a 20 m thickness. Across the different effective thicknesses, before reaching the optimal transition timing, the accumulated oil production increases with the delay of the transition. However, as the effective thickness increases, the trend of production growth becomes more gradual until the conventional water injection timing is advanced to day 0.
Models with varying effective thicknesses of oil layers have different volumes, with larger reservoir volumes having higher energy storage levels. The rate of pressure recovery after depletion drive also varies, making it challenging to measure the pressure drop in terms of days. The reservoir pressure coefficient is the ratio of the reservoir pressure to the original formation pressure, accurately reflecting the degree of pressure depletion in the reservoir. The calculation formula is as follows:
where Kt is the reservoir pressure coefficient at time t, is the average reservoir pressure at time t, and is the original average reservoir pressure.
Figure 9 shows the formation pressure coefficients corresponding to the optimal timing for transitioning to conventional water injection under different effective thicknesses. When the effective thickness is 16 m and 20 m, the formation pressure coefficients at the optimal timing are 1.2964 and 1.3011, respectively. For other effective thicknesses, the formation pressure coefficients corresponding to the optimal timing for water injection are between 1.20 and 1.27. As the effective thickness increases, the optimal timing for transitioning generally shows a trend of initially being delayed and then moving forward.
Figure 9.
Optimal transition timing with different thicknesses corresponds to the pressure coefficient.
To study the optimal timing for transitioning to conventional water injection in reservoirs with different effective oil layer thicknesses, different effective thicknesses were set on the basis of the original model, namely 1 mD, 3 mD, 5 mD, 6 mD, 10 mD, 20 mD, and 30 mD. Using reservoir numerical simulation software, the final accumulated oil production corresponding to different conventional water injection timings for each reservoir permeability was obtained, as shown in Figure 10.

Figure 10.
Accumulated oil production. (a) Permeability = 1 mD. (b) Permeability = 3 mD. (c) Permeability = 5 mD. (d) Permeability = 6 mD. (e) Permeability = 10 mD. (f) Permeability = 20 mD. (g) Permeability = 30 mD.
Figure 10a shows the final accumulated oil production for each conventional water injection timing when the model reservoir permeability is set to 1 mD. It can be seen that as the conventional water injection timing was delayed from day 0 to day 2160, accumulated oil production decreased from 239,610 tons on day 0 to 221,240 tons on day 2160. Figure 10b shows that when the reservoir permeability is set to 3 mD, accumulated oil production increases from 259,390 tons on day 0 to 260,010 tons on day 180, and then decreases to 240,110 tons on day 2160. Figure 10c shows that when permeability is set to 5 mD, accumulated oil production increases from 264,580 tons on day 0 to 265,380 tons on day 180, and then decreases to 245,130 tons on day 2160. Figure 10d shows that when permeability is set to 6 mD, accumulated oil production increases from 266,010 tons on day 0 to 266,850 tons on day 180, and then decreases to 246,500 tons on day 2160. Figure 10e shows that for a permeability of 10 mD, accumulated production increases from 269,990 tons on day 0 to 270,340 tons on day 60, then decreases to 249,370 tons on day 2160. Figure 10f shows that for a permeability of 20 mD, accumulated production increases from 273,290 tons on day 0 to 273,730 tons on day 180, then decreases to 252,710 tons on day 2160. Figure 10g shows that for a permeability of 30 mD, accumulated production increases from 274,540 tons on day 0 to 275,050 tons on day 180, then decreases to 254,050 tons on day 2160.
In summary, when the reservoir permeability is 3 mD, 5 mD, 6 mD, 10 mD, 20 mD, and 30 mD, the optimal timing for transitioning to injection is day 180. When the oil layer thickness is 16 m, it is advanced to day 60, and when the thickness is 20 m, it is advanced to day 0. Meanwhile, for simulation results with different effective oil layer thicknesses, accumulated oil production increases with delayed injection timing until the optimal transition timing is reached. However, as the effective thickness increases, the trend of accumulated oil production increases slows down, until the conventional water injection timing is advanced to day 0.
Figure 11 illustrates the formation pressure coefficients corresponding to the optimal timing for transitioning to conventional water injection under different effective thicknesses. When the reservoir permeability is 1 mD, the formation pressure coefficient at the optimal timing is 1.42, while for other permeabilities, the formation pressure coefficients at optimal timings are between 1.18 and 1.23. As the effective thickness increases, the optimal transition timing generally first delays and then advances.
Figure 11.
Optimal transition timing with different permeability corresponds to the pressure coefficient.
In summary, for most low permeability reservoirs with an oil layer thickness between 8 and 20 m and permeability not exceeding 30 mD, the accumulated oil production initially increases and then decreases as the timing for transitioning to conventional water injection is delayed from day 0 to day 2160. The optimal timing appears on the 180th day after the soaking stage ends. When the oil layer thickness is very large or the permeability is very low, the optimal timing for conventional water injection will advance. Overall, the formation pressure coefficients corresponding to the optimal timing are between 1.2 and 1.3.
4.2. Injection–Production Ratio
To study the optimal injection–production ratio after fracturing-flooding reservoirs with different physical properties transition to conventional water injection, the simulation parameter table for this section is shown in Table 5. The timing for transitioning to conventional water injection was optimized for all models, and the injection–production ratio was adjusted by setting different daily water injection rates.
Table 5.
Simulation parameter setting table.
Figure 12 displays the accumulated oil production for different injection–production ratios under various physical property conditions. The simulation results for both sets of models show a similar trend: when the injection–production ratio increases from 0.5:1 to 1:1, the final accumulated oil production significantly improves. However, as the injection–production ratio further increases from 1:1 to 2:1, the accumulated oil production shows a declining trend. The greater the reservoir thickness and the higher the permeability, the more significantly the injection–production ratio affects the outcome.
Figure 12.
Comparison of accumulated oil production. (a) Different thickness. (b) Different permeability.
4.3. Multi-Cycle Fracturing-Flooding
(1) Optimal scheme for multi-cycle fracturing-flooding under different effective oil layer thickness
To study the optimal strategies for multi-cycle fracturing-flooding under different effective oil layer thicknesses, the parameters for simulation in this section are shown in Table 6. The permeability was set to remain constant at 6 mD, and five models were set up with effective oil layer thicknesses of 8 m, 10 m, 14 m, 16 m, and 20 m. For each model, four sets of fracturing-flooding stop timings and five sets of next cycle fracturing-flooding start timings were set, totaling 100 schemes.
Table 6.
Simulation parameter setting table.
Figure 13 compares the final accumulated oil production under different multi-cycle fracturing-flooding strategies for models with varying effective oil layer thickness. Figure 13a shows the final accumulated oil production for different multi-cycle fracturing-flooding strategies when the effective oil layer thickness is 8 m. The highest accumulated oil production occurs when the next round timing corresponds to a formation pressure coefficient of 0.8, and the next production timing corresponds to a formation pressure coefficient of 1.4. The lowest occurs when the fracturing-flooding timing corresponds to a coefficient of 1.2 and the production timing to a coefficient of 2. Figure 13b presents the results for a thickness of 10 m, with the highest production at a fracturing-flooding timing coefficient of 0.8 and a production timing coefficient of 1.4, and the lowest at 1.2 and 2, respectively. Similarly, Figure 13c shows the results for a 14 m thickness, with the highest production at timing coefficients of 0.9 and 1.4, and the lowest at 1.2 and 2. Figure 13d illustrates the case for a 16 m thickness, showing the highest production at timing coefficients of 0.8 and 1.4, and the lowest at 1.2 and 2. Finally, Figure 13e depicts the 20 m thickness scenario, with the highest production at timing coefficients of 0.9 and 1.4, and the lowest at 1.2 and 2.

Figure 13.
Comparison of accumulated oil production. (a) Thickness = 8 m. (b) Thickness = 10 m. (c) Thickness = 14 m. (d) Thickness = 16 m. (e) Thickness = 20 m.
From the above results, it can be summarized that the optimal strategies for multi-cycle fracturing-flooding in reservoirs with different effective oil layer thicknesses are roughly the same. The best development effect is achieved when the timing for the next cycle of fracturing-flooding corresponds to a formation pressure coefficient of around 0.8, and the timing for the next production corresponds to a formation pressure coefficient of 1.4. Overall, the schemes with earlier production timing are better than those with later production timing, and the schemes with smaller spans between the start and stop of the fracturing-flooding are generally better than those with larger spans.
(2) Optimal scheme for multi-cycle fracturing-flooding under different permeability
To study the optimal strategies for multi-cycle fracturing-flooding under different permeabilities, the simulation parameters for this section are shown in Table 7. The effective oil layer thickness was kept constant at 12 m, and six models were set up with permeabilities of 1 mD, 3 mD, 5 mD, 10 mD, 20 mD, and 30 mD. For each model, four sets of fracturing-flooding stop timings and five sets of next cycle fracturing-flooding start timings were set, totaling 120 schemes.
Table 7.
Simulation parameter setting table.
Figure 14 presents a comparison of the final accumulated oil production for different multi-cycle fracturing-flooding regimes set for models with varying permeabilities. Figure 14a shows the final accumulated oil production for different multi-cycle fracturing-flooding regimes when the permeability is 1 mD. The highest accumulated oil production is achieved when the timing for the next round corresponds to a formation pressure coefficient of 1.0, and the timing for the next production corresponds to a formation pressure coefficient of 1.4. The lowest accumulated oil production is observed when the timing for the next round corresponds to a formation pressure coefficient of 0.7, with the next production timing also at 1.4. Figure 14b shows the results for permeability of 3 mD, with the highest accumulated oil production at a fracturing-flooding timing of 0.9 and production timing of 1.4. The lowest production occurs at a fracturing-flooding timing of 1.2 and a production timing of 2. Figure 14c depicts the case for 5 mD permeability, where the highest production is at a fracturing-flooding timing of 0.8 and production timing of 1.4, and the lowest is at a fracturing-flooding timing of 1.2 and production timing of 2. Figure 14d illustrates that for 10 mD permeability, the optimal results are achieved at fracturing-flooding timing of 0.8 and production timing of 1.4, while the least production is at drive timing of 1.2 and production timing of 2. Figure 14e shows the 20 mD permeability scenario, where the optimal production is also at a fracturing-flooding timing of 0.8 and production timing of 1.4, with the lowest being at the timing of 1.2 and 2, respectively. Finally, Figure 14f demonstrates that for permeability of 30 mD, the highest accumulated oil production occurs at a fracturing-flooding timing of 0.8 and production timing of 1.4, while the lowest production corresponds to a fracturing-flooding timing of 1.2 and production timing of 2.

Figure 14.
Comparison of accumulated oil production. (a) Permeability = 1 mD. (b) Permeability = 3 mD. (c) Permeability = 5 mD. (d) Permeability = 10 mD. (e) Permeability = 20 mD. (f) Permeability = 30 mD.
From the above results, it can be summarized that for reservoirs with different permeabilities, the optimal regime for transitioning to multi-cycle fracturing-flooding is approximately the same. The best development effect is generally achieved when the timing for the next round corresponds to a formation pressure coefficient of around 0.9, and the timing for the next production corresponds to a formation pressure coefficient of 1.4. For low-permeability reservoirs with particularly low permeability, the timing for the next round should be slightly advanced. For low-permeability reservoirs with relatively higher permeability, the timing for the next round should be slightly delayed. Similar to the aforementioned model, in general, a scheme with an earlier timing for the next production is better than one with a later timing. Additionally, a scheme with a smaller span between the start and stop of the fracturing-flooding is generally better than one with a larger span.
4.4. Analysis of Influencing Factors
(1) Conventional Water Injection
By establishing a linear regression model, the influence of different working systems and reservoir properties on the effectiveness of conventional water injection development was analyzed. Reservoir permeability (K), oil layer thickness (H), the pressure coefficient corresponding to the timing of conventional water injection (T), and the injection–production ratio (α) were used as input variables, while accumulated oil production (FOPT) was used as the output variable for fitting, R2 = 0.875:
The resulting function is shown in Table 8, which presents the results of the linear regression analysis, including the regression coefficients (Estimate), standard errors (SE), t-statistics (tStat), and p-values. Estimate represents the effect of each input variable on the output variable. For example, the estimate for K is 0.06, which means that when K increases by one unit, FOPT will increase by approximately 0.06 units. SE (Standard Error) indicates the precision of the estimate of the regression coefficient. A smaller standard error means the coefficient estimate is more precise. tStat (t-statistic) is used to test whether the regression coefficient is significantly different from zero. It is the ratio of the regression coefficient to the standard error. The larger the t-value, the more significant the variable’s effect on the output. The p-value tests the significance of the coefficient. A smaller p-value indicates stronger significance. Generally, a p-value less than 0.05 indicates that the variable has a significant effect on the model.
Table 8.
Linear regression analysis.
From the table, we can see the following: The estimate for K is 0.06, tStat is 3.15, and the p-value is 0.0019, indicating that K has a significant impact on FOPT (p-value < 0.05). The estimate for H is 1.79, tStat is 34.81, and the p-value is extremely small, indicating that H has a very significant effect on FOPT. The estimate for T is −0.68, tStat is −1.30, and the p-value is 0.20, indicating that T does not have a significant effect on FOPT (p-value > 0.05). The estimate for α is −5.53, tStat is −11.18, and the p-value is extremely small, indicating that α has a very significant effect on FOPT.
In summary, K, H, and α significantly affect FOPT, while T does not have a significant impact.
(2) Multi-Cycle Fracturing-Flooding
By establishing a linear regression model, the influence of different working systems and reservoir properties on the effectiveness of multi-cycle fracturing-flooding development was analyzed. Reservoir permeability (K), oil layer thickness (H), the pressure coefficient corresponding to the production timing (P1), and the pressure coefficient corresponding to the fracturing-flooding timing (P2) were used as input variables, while accumulated oil production (FOPT) was used as the output variable for fitting, R2 = 0.975.
The resulting function is shown in Table 9. From the table, we can observe the following: The estimate for K is 1.29, tStat is 91.48, and the p-value is extremely small, indicating that K has a significant impact on FOPT. The estimate for H is 0.04, tStat is 7.78, and the p-value is extremely small, indicating that H has a very significant effect on FOPT. The estimate for P1 is −1.69, tStat is −9.05, and the p-value is extremely small, indicating that P1 has a very significant negative effect on FOPT. The estimate for P2 is −2.32, tStat is −9.56, and the p-value is extremely small, indicating that P2 has a very significant negative effect on FOPT. In summary, K, H, P1, and P2 all significantly affect FOPT, with K and H having a positive impact on FOPT, while P1 and P2 have a negative impact on FOPT.
Table 9.
Linear regression analysis.
5. Conclusions
This paper focuses on a target well group, taking into account the physical characteristics of low-permeability reservoirs and the mechanisms of enhanced oil recovery (EOR) through fracturing-flooding. A dual-porous and dual-permeable media model for the target well group, which considers the anisotropic stress sensitivity of the rock, has been established to study the dynamic behavior of fracturing-flooding. Multiple sets of regimes transitioning to conventional water injection and multi-cycle fracturing-flooding were designed for simulation studies, and the development effects of the target well group under these two regimes were compared. Models of reservoirs with different effective oil layer thicknesses and permeabilities were set up to investigate the optimal regimes for transitioning to conventional water injection and multi-cycle fracturing-flooding. The following conclusions were drawn:
(1) For the target well group’s transition to a conventional water injection regime, as the transition timing is delayed, the final accumulated oil production first rises and then falls. The optimal transition timing occurs when the formation pressure coefficient decreases to around 1.2. With an increase in the injection–production ratio, the final accumulated oil production first rises and then falls, with the optimal injection–production ratio being 1:1. For the target well group’s transition to a multi-cycle fracturing-flooding regime, a scheme with an earlier timing for the next production phase is better than one with a later timing. A scheme with a smaller span between the start and stop of the fracturing-flooding is generally better than one with a larger span. The highest accumulated oil production for the target well group is achieved when the timing for the next round corresponds to a formation pressure coefficient of 0.9, and the timing for the next production corresponds to a coefficient of 1.4. From a water cut perspective, the accumulated oil production of a multi-cycle fracturing-flooding scheme is higher than that of conventional water injection. For different reservoir properties under a conventional water injection scheme, the optimal transition timing generally corresponds to a formation pressure coefficient between 1.2 and 1.3, and the best post-transition injection–production ratio is 1:1.; For different reservoir properties under a multi-cycle fracturing-flooding scheme, the best development effect is generally achieved when the timing for the next round corresponds to a formation pressure coefficient of around 0.8, and the timing for the next production corresponds to a coefficient of 1.4;
(2) The conventional water injection regime is suitable for reservoirs with higher formation pressure and better permeability. By optimizing the timing of water injection and the water-oil ratio (optimal at 1:1), it can maximize the delay of water breakthrough and avoid premature water breakthrough into the production wells. The multi-cycle fracturing-flooding regime is more suitable for reservoirs with lower permeability. Compared to conventional water injection, multi-cycle fracturing-flooding can more effectively control pressure variations during fracturing and oil production, reducing the risk of water coming into the production wells;
(3) This study primarily focuses on the single mechanisms of water injection and fracturing-flooding. Future research could explore more complex multiphysics coupling models, considering factors such as capillary forces, initiation pressure gradients, and inter-layer differences, to better understand their impact on fracturing-flooding development and improve the accuracy of development strategies. With the advancement of the Internet of Things (IoT) and artificial intelligence (AI) technologies, real-time monitoring of parameters such as pressure, water cut, and injection–production ratios in fields, combined with data-driven intelligent optimization algorithms for dynamic adjustment of development plans, will become a key direction for future research.
Author Contributions
Methodology, X.W., W.Y., Y.X., Y.H., H.X., X.C. and C.L.; Software, X.W. and W.Y.; Resources, X.W., Y.X., Y.H., H.X., X.C. and C.L.; Writing—original draft, W.Y.; Writing—review & editing, X.W. and W.Y.; Visualization, W.Y.; Supervision, X.W. All authors have read and agreed to the published version of the manuscript.
Funding
This research was funded by National Natural Science Foundation of China (No. 52204027), the Qinglan Project of Jiangsu Province of China (2024) and Postgraduate Research & Practice Innovation Program of Jiangsu (No. SJCX24_3241).
Data Availability Statement
The original contributions presented in this study are included in the article. Further inquiries can be directed to the corresponding author.
Conflicts of Interest
The authors declare no conflict of interest.
Appendix A
The dual-porosity and dual-permeability model was first proposed in 1960 by Russian scientist GI Barenblatt [27]. The purpose of this model was to study fluid flow in fractured heterogeneous porous media. The core idea of the dual-porosity and dual-permeability model is to treat the traditional model as a continuous system composed of two media: the matrix and the fractures, where the matrix and fractures overlap. The permeability of the matrix medium is much smaller than its porosity, and its main role is to store fluid, while the permeability of the fracture medium is much larger than its porosity, and it primarily serves as a flow channel. The fluid flow throughout the system is characterized by the interflow between these two media.
The Darcy flow model with dual-porosity and dual-permeability characteristics used in this study can be represented by the following equation:
Internal boundary conditions:
Outer boundary conditions:
Initial conditions:
where ω is the storage coefficient, λ is the channeling coefficient, and the subscript D is dimensionless.
References
- Li, Q.; Li, Q.; Wang, F.; Wu, J.; Wang, Y.J.P. The carrying behavior of water-based fracturing fluid in shale reservoir fractures and molecular dynamics of sand-carrying mechanism. Processes 2024, 12, 2051. [Google Scholar] [CrossRef]
- Li, Q.; Zhang, C.; Yang, Y.; Ansari, U.; Han, Y.; Li, X.; Cheng, Y. Preliminary experimental investigation on long-term fracture conductivity for evaluating the feasibility and efficiency of fracturing operation in offshore hydrate-bearing sediments. Ocean. Eng. 2023, 281, 114949. [Google Scholar] [CrossRef]
- Wang, X.; Chu, X.; Xie, Y.; He, Y.; Xu, H.; Xu, S. Machine learning framework for evaluating fracturing-flooding effectiveness: From prediction to decision recommendations. Fuel 2025, 381, 133299. [Google Scholar] [CrossRef]
- Li, N.; Zhu, S.; Li, Y.; Zhao, J.; Long, B.; Chen, F.; Wang, E.; Feng, W.; Hu, Y.; Wang, S.; et al. Fracturing-flooding technology for low permeability reservoirs: A review. Petroleum 2024, 10, 202–215. [Google Scholar] [CrossRef]
- Fan, C.; Li, S.; Li, L.; Wang, Y. Research on high-pressure water injection in low-permeability reservoirs. Petrochem. Ind. Appl. 2022, 41, 37–40. [Google Scholar] [CrossRef]
- He, J.; Wang, H. Design and effect of fracture-flooding in class III oil reservoirs. Southwest Pet. Univ. 2018, 40, 95–104. [Google Scholar] [CrossRef]
- Ma, Y. Application of fracturing-flooding EOR technique in Type III oil reservoirs in Daqing Placanticline Oilfield. Pet. Geol. Oilfield Dev. Daqing 2021, 40, 103–109. [Google Scholar] [CrossRef]
- Li, K. The Research on Policy Limits of Waterflood Development in Low Permeability Beach-Bar Sand Reservoirs. Master’s Thesis, China University of Petroleum (East China), Qingdao, China, 2022. [Google Scholar]
- Wang, J. The Research on Development of Technical Policy Limits in Block X of Putaohua Oilfield. Master’s Thesis, Northeast Petroleum University, Daqing, China, 2020. [Google Scholar]
- Liu, S.; He, C.; Li, X. Research on the Policy Boundaries of Ultra-Low Permeability Oilfield Development Technology. Inn. Mong. Petrochem. Ind. 2016, 42, 94–95. [Google Scholar]
- Cui, M. Research on the Policy Boundaries of Three-Dimensional Development Technology for Fault Block Reservoirs. Inn. Mong. Petrochem. Ind. 2013, 39, 84–87. [Google Scholar]
- Ling, H.; Wu, Z.; Sun, Q.; Wang, J.; Zhao, Z. Study and application of water injection timing in the second member of Sha Formation in BZ Oilfield of Bozhong. Complex Hydrocarb. Reserv. 2023, 16, 325–328. [Google Scholar] [CrossRef]
- Xu, C.; Huang, X.; Tang, H.; Liu, J. Research on the Timing of Water Injection Development in Low Permeability Reservoirs. Drill. Prod. Technol. 2011, 34, 53–55+115–116. [Google Scholar]
- Yuan, Z.; Yang, B.; Yang, L.; Gu, W.; Chen, X.; Kang, B.; Li, C.; Zhang, H. Water-cut rising mechanism and optimized water injection technology for deepwater turbidite sandstone oilfield: A case study of AKPO Oilfield in Niger Delta Basin. Pet. Explor. Dev. 2018, 45, 302–311. [Google Scholar] [CrossRef]
- Song, X.; Li, Y. Optimum development options and strategies for water injection development of carbonate reservoirs in the Middle East. Pet. Explor. Dev. 2018, 45, 723–734. [Google Scholar] [CrossRef]
- Wang, Y.; Li, H.; Qiao, L.; Yang, H.; Zhou, W.; Yi, Q. Reasonable Degree of Formation Pressure Maintenance in Low Permeability Reservoirs. Chem. Technol. Fuels Oils 2020, 56, 492–503. [Google Scholar] [CrossRef]
- Cai, H.; Yang, X.; Xie, S.; Zhang, Z.; Wang, L.; Gao, Y. Study on Reasonable Formation Pressure Maintenance Level for Middle-Deep Reservoirs in the Bohai Sea. Geofluids 2022, 2022, 7983330. [Google Scholar] [CrossRef]
- Li, M. A new method for reasonable injection production ratio calculation of considering external flow volume. IOP Conf. Ser. Earth Environ. Sci. 2021, 836, 012030. [Google Scholar] [CrossRef]
- Zhang, Z.; Quan, H.; Xu, Z.; He, X.; Li, J. A New Method base on Water Drive Curve for Determining the Reasonable Injection-Production Ratio for High Water-Cut Oilfield. Acta Geol. Sin. 2015, 89, 346. [Google Scholar] [CrossRef][Green Version]
- Wang, J.; Liu, L.; Wu, Y.; Liu, H.; Jia, Y.; Song, Z.; Tao, S. Progress and direction of water flooding development technologies in Shengli Oilfield. Pet. Geol. Recovery Effic. 2024, 31, 99–112. [Google Scholar] [CrossRef]
- Yang, Y.; Zhang, S.; Cao, X. Practice and understanding of pressure drive development technology for low-permeability reservoirs in Shengli Oilfield. Pet. Geol. Recovery Effic. 2023, 30, 61–71. [Google Scholar] [CrossRef]
- Lu, C.; Ma, L.; Guo, J.; Zhao, L.; Xu, S.; Chen, B.; Zhou, Y.; Yuan, H.; Tang, Z. Fracture Parameters Optimization and Field Application in Low-Permeability Sandstone Reservoirs under Fracturing Flooding Conditions. Processes 2023, 11, 285. [Google Scholar] [CrossRef]
- Zhang, D.; Zhang, L.; Tang, H.; Yuan, S.; Wang, H.; Chen, S.; Zhao, Y. A novel fluid–solid coupling model for the oil–water flow in the natural fractured reservoirs. Phys. Fluids 2021, 33, 036601. [Google Scholar] [CrossRef]
- Li, Y.; Wang, X.; Yu, P.; Zhao, X.; Wang, D.; Du, D. A pore-scale numerical study on the two-phase flow characteristics in fractured porous media. Colloids Surf. A Physicochem. Eng. Asp. 2024, 684, 133257. [Google Scholar] [CrossRef]
- Fan, T.; Song, X.; Wu, S.; Li, Q.; Wang, B.; Li, X.; Li, H.; Liu, H. A mathematical model and numerical simulation of waterflood induced dynamic fractures of low permeability reservoirs. Pet. Explor. Dev. 2015, 42, 541–547. [Google Scholar] [CrossRef]
- Li, Q.; Cheng, Y.; Li, Q.; Ansari, U.; Liu, Y.; Yan, C.; Lei, C. Development and verification of the comprehensive model for physical properties of hydrate sediment. Arab. J. Geosci. 2018, 11, 325. [Google Scholar] [CrossRef]
- Barenblatt, G.I.; Zheltov, I.P.; Kochina, I. Basic concepts in the theory of seepage of homogeneous liquids in fissured rocks [strata]. J. Appl. Math. Mech. 1960, 24, 1286–1303. [Google Scholar] [CrossRef]
Disclaimer/Publisher’s Note: The statements, opinions and data contained in all publications are solely those of the individual author(s) and contributor(s) and not of MDPI and/or the editor(s). MDPI and/or the editor(s) disclaim responsibility for any injury to people or property resulting from any ideas, methods, instructions or products referred to in the content. |
© 2024 by the authors. Licensee MDPI, Basel, Switzerland. This article is an open access article distributed under the terms and conditions of the Creative Commons Attribution (CC BY) license (https://creativecommons.org/licenses/by/4.0/).



















