Mutual Influences Among the Electricity Market, Carbon Emission Market, and Renewable Energy Certificate Market
Abstract
1. Introduction
2. Theoretical Analysis
3. Materials and Methods
Model Specification
4. Results
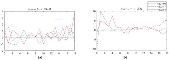
4.1. Impulse Response Analysis
4.2. Impulse Response of the RECM Shock
4.3. Impulse Response of the EM Shock
5. Discussion
Author Contributions
Funding
Data Availability Statement
Acknowledgments
Conflicts of Interest
Abbreviations
| EM | electricity market |
| CEM | carbon emission market |
| REC | renewable energy certificate |
| RECM | renewable energy certificate market |
| RPS | renewable portfolio standard |
| VAR | vector autoregression |
| TVP-SV-VAR | time-varying stochastic volatility vector autoregression |
| NE | new energy |
| MCMC | Markov Chain Monte Carlo |
| ICE | Intercontinental Exchange |
| EU | European Union |
| EEX | European Energy Exchange |
| GO | Guarantees of Origin |
| ADF | augmented Dickey-Fuller |
| Inef | Inefficiency factors |
References
- Wang, H.; Su, B.; Mu, H.; Li, N.; Gui, S.; Duan, Y.; Jiang, B.; Kong, X. Optimal way to achieve renewable portfolio standard policy goals from the electricity generation, transmission, and trading perspectives in southern China. Energy Policy 2020, 139, 111319. [Google Scholar] [CrossRef]
- Helgesen, P.I.; Tomasgard, A. An equilibrium market power model for power markets and tradable green certificates, including Kirchhoff’s Laws and Nash-Cournot competition. Energy Econ. 2018, 70, 270–288. [Google Scholar] [CrossRef]
- Wang, G.; Zhang, Q.; Li, Y.; Mclellan, B.C. Efficient and equitable allocation of renewable portfolio standards targets among China’s provinces. Energy Policy 2019, 125, 170–180. [Google Scholar] [CrossRef]
- Zhang, J.; Wang, Z.; Tang, L.; Yu, L. The Simulation of Carbon Emission Trading System in Beijing-Tianjin-Hebei Region: An Analysis Based on System Dynamics. Chin. J. Manag. Sci. 2016, 3, 1–8. [Google Scholar]
- Zhang, W.; Li, J.; Li, G.; Guo, S. Emission reduction effect and carbon market efficiency of carbon emissions trading policy in China. Energy 2020, 196, 117117. [Google Scholar] [CrossRef]
- Lin, B.; Jia, Z. What will China’s carbon emission trading market affect with only electricity sector involvement? A CGE based study. Energy Econ. 2019, 78, 301–311. [Google Scholar] [CrossRef]
- Xuan, X.W.; Zhang, H. International Experiences and Lessons of Carbon Emission Permit Allocation Method. China Popul. Resour. Environ. 2013, 12, 10–15. [Google Scholar] [CrossRef]
- Xu, Y.G.; Guo, Y.; Wu, Z.X. Carbon rights allocation: Global carbon emission rights trading and participation incentives. X. J. Quant. Technol. Econ. 1999, 13, 72–77. [Google Scholar]
- Cui, L.B.; Fan, Y.; Zhu, L.; Bi, Q.H.; Zhang, Y. The Cost Saving Effect of Carbon Markets in China for Achieving the Reduction Targets in the 12th five-year Plan. Chin. J. Manag. Sci. 2013, 21, 37–46. [Google Scholar] [CrossRef]
- Schusser, S.; Jaraitė, J. Explaining the interplay of three markets: Green certificates, carbon emissions and electricity. Energy Econ. 2018, 71, 1–13. [Google Scholar] [CrossRef]
- Suo, C.; Li, Y.P.; Jin, S.W.; Li, J.; Li, Y.F.; Feng, R.F. Identifying optimal clean-production pattern for energy systems under uncertainty through introducing carbon emission trading and green certificate schemes. J. Clean. Prod. 2017, 161, 299–316. [Google Scholar] [CrossRef]
- Ju, L.; Tan, Q.; Lu, Y.; Tan, Z.; Zhang, Y.; Tan, Q. A CVaR-robust-based multi-objective optimization model and three-stage solution algorithm for a virtual power plant considering uncertainties and carbon emission allowances. Int. J. Electr. Power Energy Syst. 2019, 107, 628–643. [Google Scholar] [CrossRef]
- Shahnazari, M.; McHugh, A.; Maybee, B.; Whale, J. Overlapping carbon pricing and renewable support schemes under political uncertainty: Global lessons from an Australian case study. Appl. Energy 2017, 200, 237–248. [Google Scholar] [CrossRef]
- Qiao, S.; Guo, Z.; Tao, Z.; Ren, Z. Analyzing the network structure of risk transmission among renewable, non-renewable energy and carbon markets. Renew. Energy 2023, 209, 206–217. [Google Scholar] [CrossRef]
- Yang, L. Idiosyncratic information spillover and connectedness network between the electricity and carbon markets in Europe. J. Commod. Mark. 2022, 25, 100185. [Google Scholar] [CrossRef]
- Nakajima, J.; Kasuya, M.; Watanabe, T. Bayesian analysis of time-varying parameter vector autoregressive model for the Japanese economy and monetary policy. J. Jpn. Int. Econ. 2011, 25, 225–245. [Google Scholar] [CrossRef]
- Wang, J.Q.; Lu, J.J. The Impact of Exchange Rate on China’s Carbon Price: From the Perspective of Regional Differences. Philos. Soc. Sci. Wuhan. Univ. J. 2018, 71, 157–165. [Google Scholar] [CrossRef]
- Gai, J.J. Monetary policy shock, exchange rate fluctuation and domestic macroeconomy: An analysis based on TVP-SV-VAR model. Financ. Theor. Pract. 2017, 7, 6–12. [Google Scholar]
- Del Negro, M.; Primiceri, G.E. Time varying structural vector autoregressions and monetary policy: A corrigendum. Rev. Econ. Stud. 2015, 82, 1342–1345. [Google Scholar] [CrossRef]
- Geweke, J. Measurement of Linear Dependence and Feedback between Multiple Time Series. J. Am. Stat. Assoc. 1982, 77, 304–313. [Google Scholar] [CrossRef]
- France Baseload Power Price 1 Year Forward. Available online: https://sc.macromicro.me/series/24101/france-baseload-power-price-1-year-forward (accessed on 23 July 2024).
- Ice Eua Futures. Available online: https://sc.macromicro.me/series/17456/ice-eua-futures (accessed on 23 July 2024).
- French Auctions for Power Guarantees of Origin. Available online: https://www.eex.com/en/services/registry-services/french-auctions-for-power-guarantees-of-origin (accessed on 24 July 2024).
- Gu, J.W.; Lu, Y.Y. Status Analysis on Chinese Tradable Green Certificate Market and the Optimization of Trading Mechanism. Electr. Power Constr. 2019, 40, 45–55. [Google Scholar]
- Liu, D.; Niu, D.X.; Yang, G. Influential Factors Analysis on Electricity Price in the Power Market. Shanxi Electr. Power 2009, 37, 9–12. [Google Scholar]
- Yang, S. Research on the Influencing Factors of the EU Carbon Trading Market. Jiangsu Commer. Forum 2024, 7, 40–43. [Google Scholar]
- He, J.H.; Ma, C.S.; Wu, Z.H. Pricing Decision with Green Technology Input under Cap-and-trade Policy. Chin. J. Manag. Sci. 2016, 24, 74–84. [Google Scholar] [CrossRef]








| Difference Order | t | p | Critical Value | ||
|---|---|---|---|---|---|
| 1% | 5% | 10% | |||
| 0 | −1.231 | 0.660 | −3.548 | −2.913 | −2.594 |
| 1 | −8.399 | 0.000 | −3.551 | −2.914 | −2.595 |
| Difference Order | t | p | Critical Value | ||
|---|---|---|---|---|---|
| 1% | 5% | 10% | |||
| 0 | −1.386 | 0.589 | −3.553 | −2.915 | −2.595 |
| 1 | −4.505 | 0.000 | −3.553 | −2.915 | −2.595 |
| Difference Order | t | p | Critical Value | ||
|---|---|---|---|---|---|
| 1% | 5% | 10% | |||
| 0 | −1.850 | 0.356 | −3.551 | −2.914 | −2.595 |
| 1 | −5.434 | 0.000 | −3.551 | −2.914 | −2.595 |
| Parameter | Mean | Stdev | 95% U | 95% L | Geweke | Inef |
|---|---|---|---|---|---|---|
| 6.3695 | 2.8102 | 2.4439 | 12.9304 | 0.060 | 79.08 | |
| 4.4914 | 2.0367 | 1.8063 | 9.2614 | 0.067 | 85.89 | |
| 0.0057 | 0.0022 | 0.0034 | 0.0105 | 0.196 | 13.00 | |
| 0.0059 | 0.0032 | 0.0034 | 0.0109 | 0.915 | 25.95 | |
| 0.0055 | 0.0016 | 0.0034 | 0.0096 | 0.076 | 26.74 | |
| 0.0054 | 0.0016 | 0.0033 | 0.0093 | 0.488 | 15.77 |
Disclaimer/Publisher’s Note: The statements, opinions and data contained in all publications are solely those of the individual author(s) and contributor(s) and not of MDPI and/or the editor(s). MDPI and/or the editor(s) disclaim responsibility for any injury to people or property resulting from any ideas, methods, instructions or products referred to in the content. |
© 2024 by the authors. Licensee MDPI, Basel, Switzerland. This article is an open access article distributed under the terms and conditions of the Creative Commons Attribution (CC BY) license (https://creativecommons.org/licenses/by/4.0/).
Share and Cite
Zou, H.; Luo, Y.; Wen, F.; Chen, J.; Yang, J.; Yang, C. Mutual Influences Among the Electricity Market, Carbon Emission Market, and Renewable Energy Certificate Market. Energies 2024, 17, 6139. https://doi.org/10.3390/en17236139
Zou H, Luo Y, Wen F, Chen J, Yang J, Yang C. Mutual Influences Among the Electricity Market, Carbon Emission Market, and Renewable Energy Certificate Market. Energies. 2024; 17(23):6139. https://doi.org/10.3390/en17236139
Chicago/Turabian StyleZou, Hongbo, Yuhong Luo, Fushuan Wen, Jiehao Chen, Jinlong Yang, and Changhua Yang. 2024. "Mutual Influences Among the Electricity Market, Carbon Emission Market, and Renewable Energy Certificate Market" Energies 17, no. 23: 6139. https://doi.org/10.3390/en17236139
APA StyleZou, H., Luo, Y., Wen, F., Chen, J., Yang, J., & Yang, C. (2024). Mutual Influences Among the Electricity Market, Carbon Emission Market, and Renewable Energy Certificate Market. Energies, 17(23), 6139. https://doi.org/10.3390/en17236139

