Evaluating the Impacts of Autonomous Electric Vehicles Adoption on Vehicle Miles Traveled and CO2 Emissions
Abstract
1. Introduction
2. Data Description
2.1. 2019 California Vehicle Survey Data
2.1.1. Household Characteristics
2.1.2. Endogenous Variable: Intention to Adopt AVs
2.2. Synthetic Population and Vehicle Data of the San Francisco Bay Area Region
3. Methods
3.1. Ordinal Logistic Model
3.2. Sensitivity Analysis
3.3. Monte Carlo Simulations
4. Results
4.1. Ordinal Model Results
4.2. Sensitivity Analysis Results
4.3. Microsimulation Results
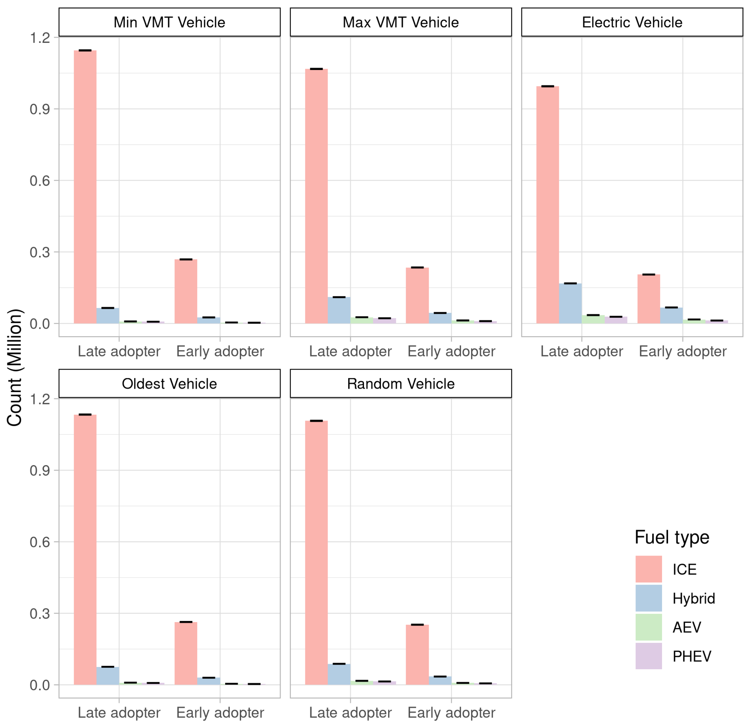
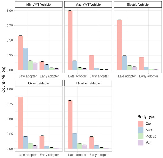
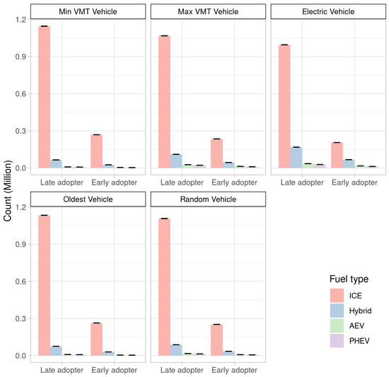
4.3.1. AEV Market Share and Replacement Rate
4.3.2. Replacement Strategy by Vehicle Characteristics
- Replace the vehicle with the highest annual VMT (e.g., to reduce fuel cost and decrease driving fatigue).
- Replace the vehicle with the lowest annual VMT (e.g., to avoid driving in congested urban environments).
- Replace the electric vehicle and, if there is no electric vehicle, a random vehicle is replaced (e.g., purchase the next best technology).
- Replace the oldest vehicle (e.g., to reduce GHG emissions and enhance household fleet reliability).
- Replace a random vehicle from the household fleet.
4.3.3. GHGs Emissions
5. Policy Implications
6. Conclusions
Author Contributions
Funding
Data Availability Statement
Conflicts of Interest
References
- Chen, D.; Ahn, S.; Chitturi, M.; Noyce, D.A. Towards vehicle automation: Roadway capacity formulation for traffic mixed with regular and automated vehicles. Transp. Res. Part Methodol. 2017, 100, 196–221. [Google Scholar] [CrossRef]
- Duarte, F.; Ratti, C. The impact of autonomous vehicles on cities: A review. J. Urban Technol. 2018, 25, 3–18. [Google Scholar] [CrossRef]
- Deb, S.; Strawderman, L.; Carruth, D.W.; Dubien, J.; Smith, B.; Garrison, T.M. Development and validation of a questionnaire to assess pedestrian receptivity toward fully autonomous vehicles. Transp. Res. Part Emerg. Technol. 2017, 84, 178–195. [Google Scholar] [CrossRef]
- Nazari, F.; Noruzoliaee, M.; Mohammadian, A.K. Shared versus private mobility: Modeling public interest in autonomous vehicles accounting for latent attitudes. Transp. Res. Part Emerg. Technol. 2018, 97, 456–477. [Google Scholar] [CrossRef]
- Schoettle, B.; Sivak, M. Motorists’ Preferences for Different Levels of Vehicle Automation; University of Michigan: Ann Arbor, MI, USA, 2015. [Google Scholar]
- Xiao, J.; Goulias, K.G. How public interest and concerns about autonomous vehicles change over time: A study of repeated cross-sectional travel survey data of the Puget Sound Region in the Northwest United States. Transp. Res. Part Emerg. Technol. 2021, 133, 103446. [Google Scholar] [CrossRef]
- Xiao, J.; Su, R.; Mcbride, E.C.; Goulias, K.G. Exploring the correlations between spatiotemporal daily activity-travel patterns and stated interest and perception of risk with self-driving cars. AGILE: Giscience Ser. 2020, 1, 1–15. [Google Scholar] [CrossRef]
- Xiao, J.; Goulias, K.G. Perceived usefulness and intentions to adopt autonomous vehicles. Transp. Res. Part Policy Pract. 2022, 161, 170–185. [Google Scholar] [CrossRef]
- Rahimi, A.; Azimi, G.; Asgari, H.; Jin, X. Adoption and willingness to pay for autonomous vehicles: Attitudes and latent classes. Transp. Res. Part Transp. Environ. 2020, 89, 102611. [Google Scholar] [CrossRef]
- Davis, F.D. Perceived usefulness, perceived ease of use, and user acceptance of information technology. MIS Quart. Manag. Inf. Syst. 1989, 13, 319–339. [Google Scholar] [CrossRef]
- Ajzen, I. The Theory of planned behavior. Organ. Behav. Hum. Decis. Process. 1991, 50, 179–211. [Google Scholar] [CrossRef]
- Gkartzonikas, C.; Gkritza, K. What have we learned? A review of stated preference and choice studies on autonomous vehicles. Transp. Res. Part Emerg. Technol. 2019, 98, 323–337. [Google Scholar] [CrossRef]
- Lavieri, P.S.; Garikapati, V.M.; Bhat, C.R.; Pendyala, R.M.; Astroza, S.; Dias, F.F. Modeling Individual Preferences for Ownership and Sharing of Autonomous Vehicle Technologies. Transp. Res. Rec. J. Transp. Res. Board 2017, 2665, 1–10. [Google Scholar] [CrossRef]
- Martyushev, N.V.; Malozyomov, B.V.; Kukartsev, V.V.; Gozbenko, V.E.; Konyukhov, V.Y.; Mikhalev, A.S.; Kukartsev, V.A.; Tynchenko, Y.A. Determination of the Reliability of Urban Electric Transport Running Autonomously through Diagnostic Parameters. World Electr. Veh. J. 2023, 14, 334. [Google Scholar] [CrossRef]
- Rahman, M.M.; Thill, J.C. Impacts of connected and autonomous vehicles on urban transportation and environment: A comprehensive review. Sustain. Cities Soc. 2023, 96, 104649. [Google Scholar] [CrossRef]
- Narayanan, S.; Chaniotakis, E.; Antoniou, C. Shared autonomous vehicle services: A comprehensive review. Transp. Res. Part Emerg. Technol. 2020, 111, 255–293. [Google Scholar] [CrossRef]
- Zhang, W.; Guhathakurta, S. Parking Spaces in the Age of Shared Autonomous Vehicles: How Much Parking Will We Need and Where? Transp. Res. Rec. J. Transp. Res. Board 2017, 2651, 80–91. [Google Scholar] [CrossRef]
- Fagnant, D.J.; Kockelman, K. Preparing a nation for autonomous vehicles: Opportunities, barriers and policy recommendations. Transp. Res. Part Policy Pract. 2015, 77, 167–181. [Google Scholar] [CrossRef]
- Cyganski, R.; Heinrichs, M.; von Schmidt, A.; Krajzewicz, D. Simulation of automated transport offers for the city of Brunswick. Procedia Comput. Sci. 2018, 130, 872–879. [Google Scholar] [CrossRef]
- Fagnant, D.J.; Kockelman, K.M. The travel and environmental implications of shared autonomous vehicles, using agent-based model scenarios. Transp. Res. Part Emerg. Technol. 2014, 40, 1–13. [Google Scholar] [CrossRef]
- Dannemiller, K.A.; Mondal, A.; Asmussen, K.E.; Bhat, C.R. Investigating autonomous vehicle impacts on individual activity-travel behavior. Transp. Res. Part Policy Pract. 2021, 148, 402–422. [Google Scholar] [CrossRef]
- Maciejewski, M.; Bischoff, J. Congestion effects of autonomous taxi fleets. Transport 2018, 33, 971–980. [Google Scholar] [CrossRef]
- Shladover, S.E.; Su, D.; Lu, X.Y. Impacts of Cooperative Adaptive Cruise Control on Freeway Traffic Flow. Transp. Res. Rec. J. Transp. Res. Board 2012, 2324, 63–70. [Google Scholar] [CrossRef]
- Vahidi, A.; Sciarretta, A. Energy saving potentials of connected and automated vehicles. Transp. Res. Part Emerg. Technol. 2018, 95, 822–843. [Google Scholar] [CrossRef]
- Coulombel, N.; Boutueil, V.; Liu, L.; Viguie, V.; Yin, B. Substantial rebound effects in urban ridesharing: Simulating travel decisions in Paris, France. Transp. Res. Part Transp. Environ. 2019, 71, 110–126. [Google Scholar] [CrossRef]
- Igliński, H.; Babiak, M. Analysis of the Potential of Autonomous Vehicles in Reducing the Emissions of Greenhouse Gases in Road Transport. Procedia Eng. 2017, 192, 353–358. [Google Scholar] [CrossRef]
- Lucas, K. Transport and social exclusion: Where are we now? Transp. Policy 2012, 20, 105–113. [Google Scholar] [CrossRef]
- Beckman, J.D.; Goulias, K.G. Immigration, residential location, car ownership, and commuting behavior: A multivariate latent class analysis from California. Transportation 2008, 35, 655–671. [Google Scholar] [CrossRef]
- Lee, J.H.; Goulias, K.G. A decade of dynamics of residential location, car ownership, activity, travel and land use in the Seattle metropolitan region. Transp. Res. Part Policy Pract. 2018, 114, 272–287. [Google Scholar] [CrossRef]
- Van Wissen, L.; Golob, T.F. A dynamic model of car fuel-type choice and mobility. Transp. Res. Part Methodol. 1992, 26, 77–96. [Google Scholar] [CrossRef]
- Alanazi, F. Electric vehicles: Benefits, challenges, and potential solutions for widespread adaptation. Appl. Sci. 2023, 13, 6016. [Google Scholar] [CrossRef]
- Kagawa, S.; Hubacek, K.; Nansai, K.; Kataoka, M.; Managi, S.; Suh, S.; Kudoh, Y. Better cars or older cars?: Assessing CO2 emission reduction potential of passenger vehicle replacement programs. Glob. Environ. Chang. 2013, 23, 1807–1818. [Google Scholar] [CrossRef]
- Transportation Secure Data Center, 2019 California Vehicle Survey. 2019. Available online: https://www.nrel.gov/transportation/secure-transportation-data/tsdc-2019-california-vehicle-survey.html (accessed on 3 November 2024).
- Waddell, P. UrbanSim: Modeling urban development for land use, transportation, and environmental planning. J. Am. Plan. Assoc. 2002, 68, 297–314. [Google Scholar] [CrossRef]
- Jin, L.; Jackson, C.P.; Wang, Y.; Chen, Q.; Ho, T.; Spurlock, C.A.; Brooker, A.; Holden, J.; Gonder, J.; Bouzaghrane, M.A.; et al. Technology progress and clean vehicle policies on fleet turnover and equity: Insights from household vehicle fleet micro-simulations with ATLAS. Transp. Plan. Technol. 2024, 47, 1399–1422. [Google Scholar] [CrossRef]
- Jin, L.; Lazar, A.; Brown, C.; Sun, B.; Garikapati, V.; Ravulaparthy, S.; Chen, Q.; Sim, A.; Wu, K.; Ho, T.; et al. What makes you hold on to that old car? Joint insights from machine learning and multinomial logit on vehicle-level transaction decisions. Front. Future Transp. 2022, 3, 894654. [Google Scholar] [CrossRef]
- Spurlock, C.A.; Bouzaghrane, M.A.; Brooker, A.; Caicedo, J.; Gonder, J.; Holden, J.; Jeong, K.; Jin, L.; Laarabi, H.; Needell, Z.; et al. Behavior, Energy, Autonomy & Mobility Comprehensive Regional Evaluator: Overview, Calibration and Validation Summary of an Agent-Based Integrated Regional Transportation Modeling Workflow; Technical Report; Lawrence Berkeley National Laboratory: Berkeley, CA, USA, 2024. [Google Scholar]
- U.S. Energy Information Administration. U.S. Households with More Vehicles Travel More but Use Additional Vehicles Less. 2018. Available online: https://www.eia.gov/todayinenergy/detail.php?id=36414# (accessed on 3 November 2024).
- Agresti, A.; Tarantola, C. Simple ways to interpret effects in modeling ordinal categorical data. Stat. Neerl. 2018, 72, 210–223. [Google Scholar] [CrossRef]
- Asmussen, K.E.; Mondal, A.; Bhat, C.R. A socio-technical model of autonomous vehicle adoption using ranked choice stated preference data. Transp. Res. Part Emerg. Technol. 2020, 121, 102835. [Google Scholar] [CrossRef]
- Malokin, A.; Circella, G.; Mokhtarian, P.L. How do activities conducted while commuting influence mode choice? Using revealed preference models to inform public transportation advantage and autonomous vehicle scenarios. Transp. Res. Part Policy Pract. 2019, 124, 82–114. [Google Scholar] [CrossRef]
- Tal, G.; Nicholas, M.A. Studying the PEV market in california: Comparing the PEV, PHEV and hybrid markets. In Proceedings of the 2013 World Electric Vehicle Symposium and Exhibition (EVS27), Barcelona, Spain, 17–20 November 2013; pp. 1–10. [Google Scholar] [CrossRef]
- Rimjha, M.; Hotle, S.; Trani, A.; Hinze, N. Commuter demand estimation and feasibility assessment for Urban Air Mobility in Northern California. Transp. Res. Part Policy Pract. 2021, 148, 506–524. [Google Scholar] [CrossRef]
- Harb, M.; Xiao, Y.; Circella, G.; Mokhtarian, P.L.; Walker, J.L. Projecting travelers into a world of self-driving vehicles: Estimating travel behavior implications via a naturalistic experiment. Transportation 2018, 45, 1671–1685. [Google Scholar] [CrossRef]
- Kim, S.H.; Mokhtarian, P.L.; Circella, G. How, and for whom, will activity patterns be modified by self-driving cars? Expectations from the state of Georgia. Transp. Res. Part Traffic Psychol. Behav. 2020, 70, 68–80. [Google Scholar] [CrossRef]
- Chakraborty, D.; Hardman, S.; Tal, G. Integrating plug-in electric vehicles (PEVs) into household fleets- factors influencing miles traveled by PEV owners in California. Travel Behav. Soc. 2022, 26, 67–83. [Google Scholar] [CrossRef]
- United States Environmental Protection Agency. Light-Duty Automotive Technology, Carbon Dioxide Emissions, and Fuel Economy Trends: 1975 Through 2017—Executive Summary; Technical Report; United States Environmental Protection Agency: Washington, DC, USA, 2018. [Google Scholar]
- Higgins, C.D.; Mohamed, M.; Ferguson, M.R. Size matters: How vehicle body type affects consumer preferences for electric vehicles. Transp. Res. Part Policy Pract. 2017, 100, 182–201. [Google Scholar] [CrossRef]
- Sperling, D. Electric Vehicles: Approaching the Tipping Point; Island Press/Center for Resource Economics: Washington, DC, USA, 2018; pp. 21–54. [Google Scholar] [CrossRef]
- Liu, F.; Zhao, F.; Liu, Z.; Hao, H. Can autonomous vehicle reduce greenhouse gas emissions? A country-level evaluation. Energy Policy 2019, 132, 462–473. [Google Scholar] [CrossRef]
- Greenwald, J.M.; Kornhauser, A. It’s up to us: Policies to improve climate outcomes from automated vehicles. Energy Policy 2019, 127, 445–451. [Google Scholar] [CrossRef]
- Li, Y.; Li, X.; Jenn, A. Evaluating the emission benefits of shared autonomous electric vehicle fleets: A case study in California. Appl. Energy 2022, 323, 119638. [Google Scholar] [CrossRef]
- Zhang, C.; Yang, F.; Ke, X.; Liu, Z.; Yuan, C. Predictive modeling of energy consumption and greenhouse gas emissions from autonomous electric vehicle operations. Appl. Energy 2019, 254, 113597. [Google Scholar] [CrossRef]
- Zhang, W.; Guhathakurta, S.; Khalil, E.B. The impact of private autonomous vehicles on vehicle ownership and unoccupied VMT generation. Transp. Res. Part Emerg. Technol. 2018, 90, 156–165. [Google Scholar] [CrossRef]
- Munkhammar, J.; Widén, J.; Rydén, J. On a probability distribution model combining household power consumption, electric vehicle home-charging and photovoltaic power production. Appl. Energy 2015, 142, 135–143. [Google Scholar] [CrossRef]
- Heymans, C.; Walker, S.B.; Young, S.B.; Fowler, M. Economic analysis of second use electric vehicle batteries for residential energy storage and load-levelling. Energy Policy 2014, 71, 22–30. [Google Scholar] [CrossRef]
- Tucker, N.; Cezar, G.; Alizadeh, M. Real-Time Electric Vehicle Smart Charging at Workplaces: A Real-World Case Study. In Proceedings of the 2022 IEEE Power & Energy Society General Meeting (PESGM), Denver, CO, USA, 17–21 July 2022; pp. 1–5. [Google Scholar] [CrossRef]
- Tucker, N.; Alizadeh, M. An Online Scheduling Algorithm for a Community Energy Storage System. IEEE Trans. Smart Grid 2022, 13, 4651–4664. [Google Scholar] [CrossRef]
- Vijayakumar, V.; Fulton, L.; Shams, M.; Sperling, D. Creating a Global Hydrogen Economy: Review of International Strategies, Targets, and Policies with a Focus on Japan, Germany, South Korea, and California. In UC Davis: Hydrogen Pathways Program; UC Davis: Davis, CA, USA, 2022. [Google Scholar] [CrossRef]









| Variable | Category | Sample | Sample (%) (N = 4248) | Population (%) (N = 13,044,266) |
|---|---|---|---|---|
| Household size | 1 | 1090 | 25.66 | 23.81 |
| 2 | 1867 | 43.95 | 30.42 | |
| 3 | 593 | 13.96 | 16.69 | |
| 4 | 482 | 11.35 | 15.25 | |
| 5 or more | 216 | 5.08 | 13.83 | |
| Number of children ab | 0 | 3453 | 81.28 | 65.63 |
| 1 or more | 795 | 18.72 | 34.37 | |
| Householder age b | 18 to 64 | 2774 | 65.30 | 76.06 |
| 65 and over | 1474 | 34.70 | 23.94 | |
| Household Income | Less than $24,999 | 294 | 6.92 | 16.39 |
| 25,000 to 49,999 | 575 | 13.54 | 17.96 | |
| 50,000 to 99,999 | 1213 | 28.55 | 27.93 | |
| 100,000 to 149,999 | 779 | 18.34 | 16.63 | |
| 150,000 to 199,999 | 430 | 10.12 | 8.93 | |
| $200,000 or more | 582 | 13.70 | 12.16 | |
| Prefer not to answer | 375 | 8.83 | - | |
| Total Housing Units | 1 (detached or attached) | 3191 | 75.12 | 65.34 |
| 2 to 4 | 214 | 5.04 | 7.82 | |
| 5 to 19 | 313 | 7.37 | 11.17 | |
| 20 or more | 397 | 9.34 | 12.13 | |
| Mobile home | 104 | 2.45 | 3.43 | |
| Boat, RV, Van, etc. | 9 | 0.21 | 0.12 | |
| Others | 20 | 0.47 | - | |
| Number of vehicles | 0 | 112 | 2.64 | 7.11 |
| 1 | 1529 | 35.99 | 30.42 | |
| 2 | 1713 | 40.32 | 37.20 | |
| 3 | 607 | 14.29 | 16.20 | |
| 4 or more | 287 | 6.76 | 9.07 | |
| Owns electric vehicle(s) (0/1) | 1174 | 27.64 | - | |
| Has solar panels installed (0/1) | 667 | 15.70 | - | |
| Region | Central Valley | 249 | 5.86 | 9.87 |
| Los Angeles | 1922 | 45.25 | 46.23 | |
| San Diego | 388 | 9.13 | 8.63 | |
| San Francisco | 1005 | 23.66 | 20.94 | |
| Sacramento | 343 | 8.07 | 6.82 | |
| Rest of State | 336 | 7.91 | 7.51 | |
| I don’t know | 5 | 0.12 | - | |
| Endogenous Variable | Response | Sample (%) | ||
| (N = 4248) | ||||
| Non-adopters | We would wait as long as possible and try to avoid ever buying a self-driving vehicle. | 46.07 | ||
| Late adopters | We would eventually buy a self-driving vehicle, but only after they are in common use. | 44.96 | ||
| Early adopters | We would be one of the first to buy a self-driving vehicle (either as a replacement or additional household vehicle). | 8.97 | ||
| Variable | Count / Median | Percent / IQR a |
|---|---|---|
| Number of households | 2,530,071 | - |
| Number of persons (avg./household) | 6,849,690 (2.71) | - |
| Number of vehicles (avg./household) | 5,051,465 (2.00) | - |
| Total mileages for all households | 47,844,975,328 | - |
| Average VMT per household | 18,910.53 | - |
| Average VMT per vehicle | 9471.505 | - |
| Body type | ||
| Car | 3,355,656 | 66.43% |
| SUV | 1,057,989 | 20.94% |
| Pickup | 368,167 | 7.29% |
| Van | 269,653 | 5.34% |
| Vintage | ||
| 0∼5 years | 1,794,177 | 35.52% |
| 6∼11 years | 1,459,110 | 28.88% |
| 12+ years | 1,798,178 | 35.60% |
| Annual mileage | 7230 | (3310, 13,067) |
| Fuel type b | ||
| ICE | 4,595,581 | 90.98% |
| Hybrid | 330,318 | 6.54% |
| AEV | 70,138 | 1.39% |
| PHEV | 55,428 | 1.10% |
| Tenure | ||
| Own | 4,721,254 | 93.46% |
| Lease | 330,211 | 6.54% |
| Variable | Est. | S.E. | t Value | p-Value | |
|---|---|---|---|---|---|
| (Intercept): Non-Adopter—Late Adopter | 0.576 | 0.149 | 3.862 | 0.000 | *** |
| (Intercept): Late Adopter—Early Adopter | 3.460 | 0.16 | 21.56 | 0.000 | *** |
| Male householder (0/1) | 0.389 | 0.064 | 6.038 | 0.000 | *** |
| Householder Age (reference: 65 and above) | |||||
| Householder ages 18–34 | 1.369 | 0.107 | 12.786 | 0.000 | *** |
| Householder ages 35–64 | 0.314 | 0.076 | 4.138 | 0.000 | *** |
| Asian householder (0/1) | 0.155 | 0.089 | 1.752 | 0.080 | * |
| Householder with bachelor’s degree or higher (0/1) | 0.217 | 0.072 | 3.020 | 0.003 | *** |
| Number of people over 15-years-old in the household | −0.129 | 0.049 | −2.605 | 0.009 | *** |
| Number of students in the household | 0.431 | 0.076 | 5.653 | 0.000 | *** |
| Lifecycle: householder ages 35–64 with children (0/1) | 0.484 | 0.097 | 4.987 | 0.000 | *** |
| Household income (reference: below 75 k) | |||||
| Household income between 75 k and 100 k | 0.272 | 0.100 | 2.710 | 0.007 | *** |
| Household income between 100 k and 150 k | 0.543 | 0.096 | 5.665 | 0.000 | *** |
| Household income between 150 k and 200 k | 0.632 | 0.117 | 5.387 | 0.000 | *** |
| Household income between 200 k and 250 k | 0.697 | 0.143 | 4.869 | 0.000 | *** |
| Household income 250k and more | 1.035 | 0.139 | 7.448 | 0.000 | *** |
| Number of vehicles in the household | −0.091 | 0.039 | −2.345 | 0.019 | ** |
| Own electric vehicle(s) (0/1) | 1.039 | 0.076 | 13.685 | 0.000 | *** |
| Telecommuting ratio | 0.332 | 0.128 | 2.598 | 0.009 | *** |
| San Francisco County (0/1) | 0.543 | 0.216 | 2.510 | 0.012 | ** |
| Healthcare and social assistance industry (0/1) | −0.296 | 0.111 | −2.659 | 0.008 | *** |
| Observations | 4248 | ||||
| Likelihood ratio test | # (20) = 835.56, p < 0.001 | ||||
| Concordance index | 0.723 | ||||
| Body Type | 0∼5 Years | 6∼11 Years | 12+ Years |
|---|---|---|---|
| Car | 316.83 | 364.5 | 418.37 |
| Pick up | 496.5 | 542.33 | 543.3 |
| SUV | 393.17 | 455.58 | 558.4 |
| Van | 416.67 | 450.67 | 552.6 |
Disclaimer/Publisher’s Note: The statements, opinions and data contained in all publications are solely those of the individual author(s) and contributor(s) and not of MDPI and/or the editor(s). MDPI and/or the editor(s) disclaim responsibility for any injury to people or property resulting from any ideas, methods, instructions or products referred to in the content. |
© 2024 by the authors. Licensee MDPI, Basel, Switzerland. This article is an open access article distributed under the terms and conditions of the Creative Commons Attribution (CC BY) license (https://creativecommons.org/licenses/by/4.0/).
Share and Cite
Xiao, J.; Goulias, K.G.; Ravulaparthy, S.; Sharda, S.; Jin, L.; Spurlock, C.A. Evaluating the Impacts of Autonomous Electric Vehicles Adoption on Vehicle Miles Traveled and CO2 Emissions. Energies 2024, 17, 6127. https://doi.org/10.3390/en17236127
Xiao J, Goulias KG, Ravulaparthy S, Sharda S, Jin L, Spurlock CA. Evaluating the Impacts of Autonomous Electric Vehicles Adoption on Vehicle Miles Traveled and CO2 Emissions. Energies. 2024; 17(23):6127. https://doi.org/10.3390/en17236127
Chicago/Turabian StyleXiao, Jingyi, Konstadinos G. Goulias, Srinath Ravulaparthy, Shivam Sharda, Ling Jin, and C. Anna Spurlock. 2024. "Evaluating the Impacts of Autonomous Electric Vehicles Adoption on Vehicle Miles Traveled and CO2 Emissions" Energies 17, no. 23: 6127. https://doi.org/10.3390/en17236127
APA StyleXiao, J., Goulias, K. G., Ravulaparthy, S., Sharda, S., Jin, L., & Spurlock, C. A. (2024). Evaluating the Impacts of Autonomous Electric Vehicles Adoption on Vehicle Miles Traveled and CO2 Emissions. Energies, 17(23), 6127. https://doi.org/10.3390/en17236127

