Study of Cooling Characteristics of Axisymmetric Tail Nozzle
Abstract
1. Introduction
2. Physical Model and Calculation Methods
2.1. Physical Models
2.2. Calculation Method and Validation
2.3. Boundary Condition Setting
3. Calculation Results and Analysis
3.1. Flow Field Calculation Results
3.1.1. Influence of Different Inlet Air Flow Rates on the Cooling Characteristics of Tail Nozzles
3.1.2. Influence of Different Liquid Nitrogen Injection Flow Rates on the Cooling Characteristics of Tail Nozzles
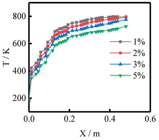
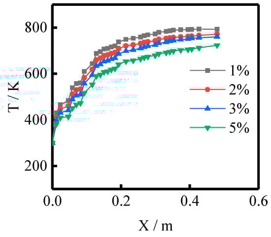
3.1.3. Influence of Different Injections of Dry Ice Flow Rate on the Cooling Characteristics of Tail Nozzles
3.2. Infrared Detection Calculations
3.2.1. Influence of Different Inlet Air Flow Rates on the Infrared Radiation Characteristics of Tail Nozzles
3.2.2. Influence of Different Liquid Nitrogen Injection Flow Rates on the Infrared Radiation Characteristics of Tail Nozzles
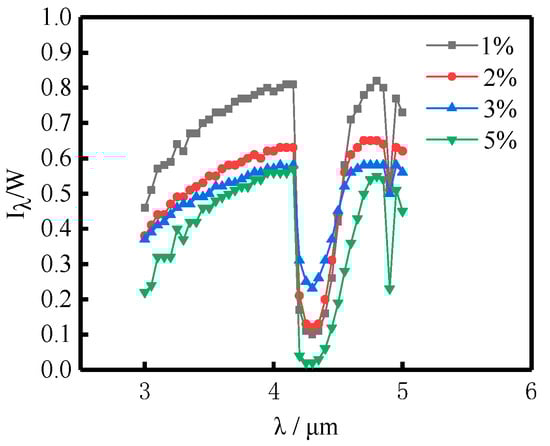
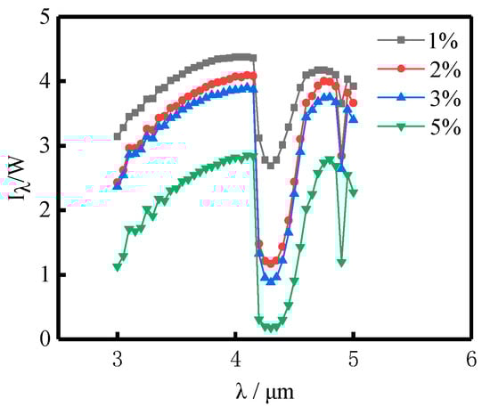
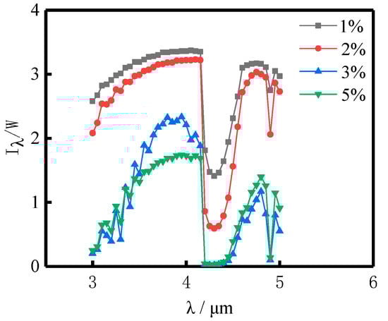
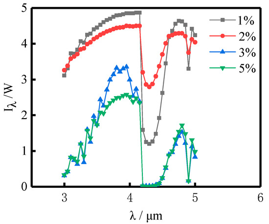
3.2.3. Influence of Different Injections of Dry Ice Flow Rate on the Infrared Radiation Characteristics of Tail Nozzles
- (1)
- The temperature decrease of the wall surface of the tail nozzle is similar to the spatial distribution trend of the infrared radiation intensity of the tail nozzle. When the dry ice flow rate increased by 1%, 2%, and 4%, the nozzle infrared radiation intensity decreased by 7.5%, 65.0%, and 66.2%, respectively. As the detection azimuth angle increases, the projected area of the nozzle decreases, and the suppression effect of the temperature drop of the nozzle wall on the infrared radiation of the whole nozzle decreases.
- (2)
- The maximum values of the integral radiation intensity are not in the forward–backward direction but at a small angle (about 10° to 20°) away from the forward–backward direction in different cold flow cases, with the maximum values of the integral radiation intensity in the nozzle wake direction occurring in the 70° probe direction.
- (3)
- In the range from α = 0 to 70°, the integrated radiation intensity increases rapidly with increasing α and decreases by 2.8% relative to the maximum radiation intensity in the α = 80° direction. In the range from α = 0 to 20°, the trend of the integral radiation intensity is relatively flat as α increases. In the range from α = 70 to 90°, the integrated radiation intensity again shows a decreasing trend with the increase in α.
4. Conclusions
- (1)
- As a coolant, the increase in the flow rate of different cold streams can significantly reduce the wall temperature of the tail nozzle. The mainstream gas has a high temperature. After the throat, the cold flow and mainstream mixing leads to the mainstream temperature also gradually reducing. When the cooling air flow rate is increased by 1 kg/s, the maximum temperature of the wall of the expansion section decreases by about 28 K. When the liquid nitrogen flow rate is increased by 1 kg/s, the maximum temperature of the wall of the expansion section decreases by about 31 K. When the dry ice flow rate is increased by 1 kg/s, the maximum temperature of the wall of the expansion section decreases by about 40 K. The temperature of the wall of the expansion section decreases by about 1 kg/s.
- (2)
- When the cold flow rate share of this supersonic tail nozzle is 3% and 5%, respectively, the high cold flow rate share leads to high cooling efficiency, and the increase in the secondary flow rate in the region near the exit of the holes leads to an increase in the cooling efficiency. However, the increase in the secondary flow pressure in most of the region between the two orifices leads to a decrease in cooling efficiency.
- (3)
- Compared with a cold stream injected as air, liquid nitrogen and dry ice have IR suppression in the measurement range from 0° to 90°, and the IR radiation intensity is reduced by 20.8% and 26.3%, respectively, for a cold stream flow of 5% in the 0° detection direction. The numerical results show that liquid nitrogen and dry ice are effective in suppressing infrared radiation at the aero-engine tail nozzle components, and when the nozzle needs to reduce the infrared radiation of the detected target in the future, people can try to use a certain proportion of liquid nitrogen or dry ice to assist in cooling.
- (4)
- The IR suppression effect of the tail nozzle is obvious in the range from α = 0 to 50°. When the flow rate of the injected cold stream was increased by 1%, the IR radiation intensity of the nozzle was reduced by 19.9%, 37.0%, and 7.5% for the injected air, liquid nitrogen, and dry ice cold streams, respectively. When the flow rate of the injected cold stream was increased by 4%, the intensity of the infrared radiation from the nozzle was reduced by 52.6%, 55.8%, and 66.2% for the injected air, liquid nitrogen, and dry ice cold streams, respectively.
Author Contributions
Funding
Data Availability Statement
Conflicts of Interest
References
- Zhao, Y.; Zheng, S. Nozzle dimension design for aircraft engine infrared signature and thrust active control using MOEA/D. Proc. Inst. Mech. Eng. Part G J. Aerosp. Eng. 2020, 234, 095441002093280. [Google Scholar] [CrossRef]
- Kim, S.J.; Kim, Y.R.; Kim, Y.; Kim, M.H.; Lee, M. 2D Exhaust Nozzle with Multiple Composite Layers for IR Signature Suppression. Results Phys. 2020, 19, 103395. [Google Scholar] [CrossRef]
- Mohamed, H.; Mohammed, H.; Lee, C. Computational study of serpentine nozzle performance with annular mixer. In Proceedings of the Spring Meeting of the Korean Society of Mechanical Engineers, Jeju, Republic of Korea, 3–7 November 2020. [Google Scholar]
- Wang, H.; Ji, H.; Lu, H. The influence of nozzle deflection on fluid dynamic and infrared characteristics of a two-dimensional convergent–divergent vectoring exhaust system. Proc. Inst. Mech. Eng. Part G J. Aerosp. Eng. 2019, 233, 4646–4662. [Google Scholar] [CrossRef]
- Zhang, J.; Zhang, S.; Chunhua WA, N.G.; Xiaoming, T.A. Recent advances in film cooling enhancement: A review. Chin. J. Aeronaut. 2020, 33, 1119–1136. [Google Scholar] [CrossRef]
- Keller, M.A.; Kloker, M.J.; Olivier, H. Influence of Cooling-Gas Properties on Film-Cooling Effectiveness in Supersonic Flow. J. Spacecr. Rocket. 2015, 52, 1443–1455. [Google Scholar] [CrossRef]
- Juhany, A.K.; Hunt, L.M.; Sivo, M.J. Influence of injectant Mach number and temperature on supersonic film cooling. J. Thermophys. Heat Transf. 2012, 8, 59–67. [Google Scholar] [CrossRef]
- Ma, Z.; Zhang, B.; Bai, Y. Investigation on the Influence of Film Cooling Structure on the Flow and Heat Transfer Characteristics of Axisymmetric Plug Nozzle. Symmetry 2024, 16, 689. [Google Scholar] [CrossRef]
- Ji, H.; Liu, J. Experimental Investigation on Infrared Signatures of Axisymmetric Vectoring Exhaust Nozzle With Film Cooling and Low-Emissivity Coating. J. Eng. Gas Turbines Power 2017, 140, 091203. [Google Scholar]
- Choudhury, S.P.; Suryan, A.; Pisharady, J.C.; Jayashree, A.; Rashid, K. Parametric study of supersonic film cooling in dual bell nozzle for an experimental air–kerosene engine. Aerosp. Sci. Technol. 2018, 78, 364–376. [Google Scholar] [CrossRef]
- Baranwal, N.; Mahulikar, P.S. IR signature study of aircraft engine for variation in nozzle exit area. Infrared Phys. Technol. 2016, 74, 21–27. [Google Scholar] [CrossRef]
- Jo, H.; Kim, J.; Jin, J. Test System Design for Turbofan Engine Exhaust Infrared Signature Reduction Study. J. Aerosp. Syst. Eng. 2020, 14, 85–90. [Google Scholar]
- Chae, J.H.; Lee, J.H.; Lee, J.W. Computational Analysis of Effects of Thermal Flow Field and Chemical Components on the Ir Signature in The Exhaust Plume of A Micro Jet Engine. J. Comput. Fluids Eng. 2019, 24, 101–111. [Google Scholar] [CrossRef]
- Chen, H.; Zhang, H.; Xi, Z.; Zheng, Q. Modeling of the turbofan with an ejector nozzle based on infrared prediction. Appl. Therm. Eng. 2019, 159, 113910. [Google Scholar] [CrossRef]
- Gu, B.; Baek, S.W.; Jegal, H.; Choi, S.M.; Kim, W.C. Infrared signature characteristic of a microturbine engine exhaust plume. Infrared Phys. Technol. 2017, 86, 11–22. [Google Scholar] [CrossRef]
- Feng, Y.; Jin, W. Numerical calculation on infrared characteristics of the exhaust plume outside axial-symmetrical nozzle. In Proceedings of the International Symposium on Optoelectronic Technology and Application 2016, Beijing, China, 9–11 May 2016; Volume 10157, p. 101571G. [Google Scholar]
- Tan, X.M.; Shan, Y.; Zhang, J.Z.; Wang, H.L. Numerical Investigation of the Aerodynamic and Infrared Radiation Characteristics of Spherical Convergent Flap Nozzles. J. Aerosp. Eng. 2016, 29, 04016031. [Google Scholar] [CrossRef]
- Xiaoying, Z.; Rui, L. Coupled Analysis of the Film-Cooling and Infrared Characteristics of an Axisymmetric Vectored Nozzle. J. Appl. Math. 2015, 2015 Pt 2, 352529. [Google Scholar]
- Gao, X.; Yang, Q.Z.; Zhou, H.; He, J.N. Numerical Simulation on the Infrared Radiation Characteristics of S-Shaped Nozzles. Appl. Mech. Mater. 2013, 482, 282–286. [Google Scholar] [CrossRef]
- Feng, Y.; Lu, Y.; Qiao, Y. Influence of ejector technique on infrared radiation of the exhaust plume outside rectangular nozzle. In Proceedings of the ISPDI 2013—Fifth International Symposium on Photoelectronic Detection and Imaging, Beijing, China, 25–27 June 2013; Volume 8907, p. 89072O. [Google Scholar]
- Hai, L.C.; Zhen, Q.Y.; Hui, J.C. Numerical Simulation on the Infrared Radiation Characteristics of Ejector Nozzle Based on RMCM. Appl. Mech. Mater. 2011, 138–139, 879–885. [Google Scholar]
- Chen, H.; Wang, Y.; Chen, S.; Cai, C.; Zhang, H. Performance analysis of the adaptive cycle engine with cooling air: From propulsion performance, thermodynamic efficiency, exergy and infrared characteristics. Energy 2024, 310, 133215. [Google Scholar] [CrossRef]
- Hou, S.; Wang, Q.; Hu, H.; Liu, S.; Niu, J. Numerical study on infrared radiation intensity and suppression methods of nozzle considering multi-component effects. Appl. Therm. Eng. 2025, 258, 124647. [Google Scholar] [CrossRef]
- Chen, H.; Cai, C.; Luo, J.; Zhang, H. Quasi One-Dimensional characteristic analysis of ejector nozzle for turbofan propulsion system. Appl. Therm. Eng. 2024, 239, 122112. [Google Scholar] [CrossRef]
- Yuan, Y.; Zeng, H.; Li, Y.; He, L.; Chen, L. Numerical Study on Infrared Radiation Characteristics of Stealth Coating for Turbofan Engine Tail Nozzle. Energies 2022, 15, 7486. [Google Scholar] [CrossRef]
- Zhang, B.; Lin, Z.; Zhang, J.; Yang, S.; Ji, H. Numerical Investigation of the Flow and Infrared Radiation Characteristics of Nozzles with Transverse Jets of Different Shapes. Processes 2022, 10, 763. [Google Scholar] [CrossRef]
- Goldstein, R.J.; Eckert ER, G.; Tsou, F.K.; Haji-Sheikh, A. Film Cooling with Air and Helium Injection through a Rearward-facing Slot into a Supersonic air flow. AIAA J. 1966, 4, 981–985. [Google Scholar] [CrossRef]
- Le Brocq, P.V.; Launder, B.E.; Priddin, C.H. Discrete Hole Injection as a Means of Transpiration Cooling-An Experimental Study. Proc. Inst. Mech. Eng. 1973, 187, 149–157. [Google Scholar] [CrossRef]













































| Temperature/K | Pressure/Pa | |
|---|---|---|
| Mainstream imports | 1260 | 229,650 |
| Cold flow inlet | 460 | 232,650 |
Disclaimer/Publisher’s Note: The statements, opinions and data contained in all publications are solely those of the individual author(s) and contributor(s) and not of MDPI and/or the editor(s). MDPI and/or the editor(s) disclaim responsibility for any injury to people or property resulting from any ideas, methods, instructions or products referred to in the content. |
© 2024 by the authors. Licensee MDPI, Basel, Switzerland. This article is an open access article distributed under the terms and conditions of the Creative Commons Attribution (CC BY) license (https://creativecommons.org/licenses/by/4.0/).
Share and Cite
Zeng, H.; Xi, R.; Li, Y.; Hou, X.; Fu, C. Study of Cooling Characteristics of Axisymmetric Tail Nozzle. Energies 2024, 17, 6064. https://doi.org/10.3390/en17236064
Zeng H, Xi R, Li Y, Hou X, Fu C. Study of Cooling Characteristics of Axisymmetric Tail Nozzle. Energies. 2024; 17(23):6064. https://doi.org/10.3390/en17236064
Chicago/Turabian StyleZeng, Hao, Rui Xi, Yiwen Li, Xingyao Hou, and Changqin Fu. 2024. "Study of Cooling Characteristics of Axisymmetric Tail Nozzle" Energies 17, no. 23: 6064. https://doi.org/10.3390/en17236064
APA StyleZeng, H., Xi, R., Li, Y., Hou, X., & Fu, C. (2024). Study of Cooling Characteristics of Axisymmetric Tail Nozzle. Energies, 17(23), 6064. https://doi.org/10.3390/en17236064

