Impact of Penalty Structures on Virtual Power Plants in a Day-Ahead Electricity Market
Abstract
1. Introduction
1.1. Renewable Energy Sources and Virtual Power Plants
1.2. Bidding in the Electricity Market
1.3. Research Review and Contribution
- Framework for Deviation Penalty Structure: We propose deviation penalty structures specifically designed for VPPs in day-ahead electricity markets. This framework categorizes penalties into three dimensions: the penalty scope, penalty rate, and penalty coefficient. This classification serves as a foundational basis for distribution system operators (DSOs) to design penalty structures that enhance strategic planning and operational efficiency.
- Analysis of the Impact of Penalty Structures on the VPP’s Revenue: This study examines the effects of various penalty structures on the revenue of the VPP. It includes a comprehensive analysis of how tolerance band settings affect revenue outcomes, thereby allowing the VPP to optimize its operational strategies under different market conditions.
- Relationship between Penalty Structures and Power Generation of RERs: We investigate how various penalty structures affect the curtailment of RERs and the deviation from the scheduled power output. This analysis establishes a direct connection between penalty structures and operational decision-making.
- Recommendations for Design of Effective Penalty Structures: In light of our findings, we propose strategic recommendations for DSOs to design an appropriate penalty structure. These recommendations aim to align with the market demand for operational flexibility while fostering more efficient and sustainable interactions within the market.
2. Electricity Market Frameworks
2.1. Existing Electricity Market with Deviation Penalties
2.2. Deviation Penalty in VPP’s Revenue
3. Penalty Structures in Optimization Problem
3.1. Structure of Deviation Penalties
3.1.1. Classification Based on Penalty Scope
- Over-Generation Penalty Structure (OPS): Penalties are applied only when the actual generation exceeds the bid quantity, which is referred to as surplus generation. This structure, as shown in Equation (3), is designed to prevent power generation beyond the forecasted amount.
- Under-Generation Penalty Structure (UPS): This structure imposes penalties when the actual generation falls short of the bid quantity, leading to a deficit in supply. As outlined in Equation (4), its aim is to mitigate the risk of an insufficient power supply that may fail to meet the market demand.
- Dual-Sided Penalty Structure (DPS): Penalties under this structure are imposed for deviations in both directions, whether there is a surplus or deficit in generation, as given in Equation (5). In other words, this approach ensures that penalties are applied regardless of overproduction or underproduction compared to the bid.
3.1.2. Classification Based on Penalty Rate
3.1.3. Classification Based on Penalty Coefficient
- Linear Penalty Coefficient Structure (LPCS): The penalty coefficient increases linearly with the deviation at a rate determined by the slope . As the deviation grows, the penalty coefficient rises, leading to higher penalty costs. This linear relationship is represented in Equation (12).
- Fixed Penalty Coefficient Structure (FPCS): In this structure, the penalty coefficient remains constant at , regardless of the deviation, as shown in Equation (13).
3.1.4. Case Analysis Based on Penalty Structures
3.2. Problem Formulation Integrating the Penalty Structure
3.2.1. Objective Function
3.2.2. Constraints
3.3. Optimization Algorithm
4. Simulation Environment & Results
4.1. Simulation Environment
4.2. Simulation Results
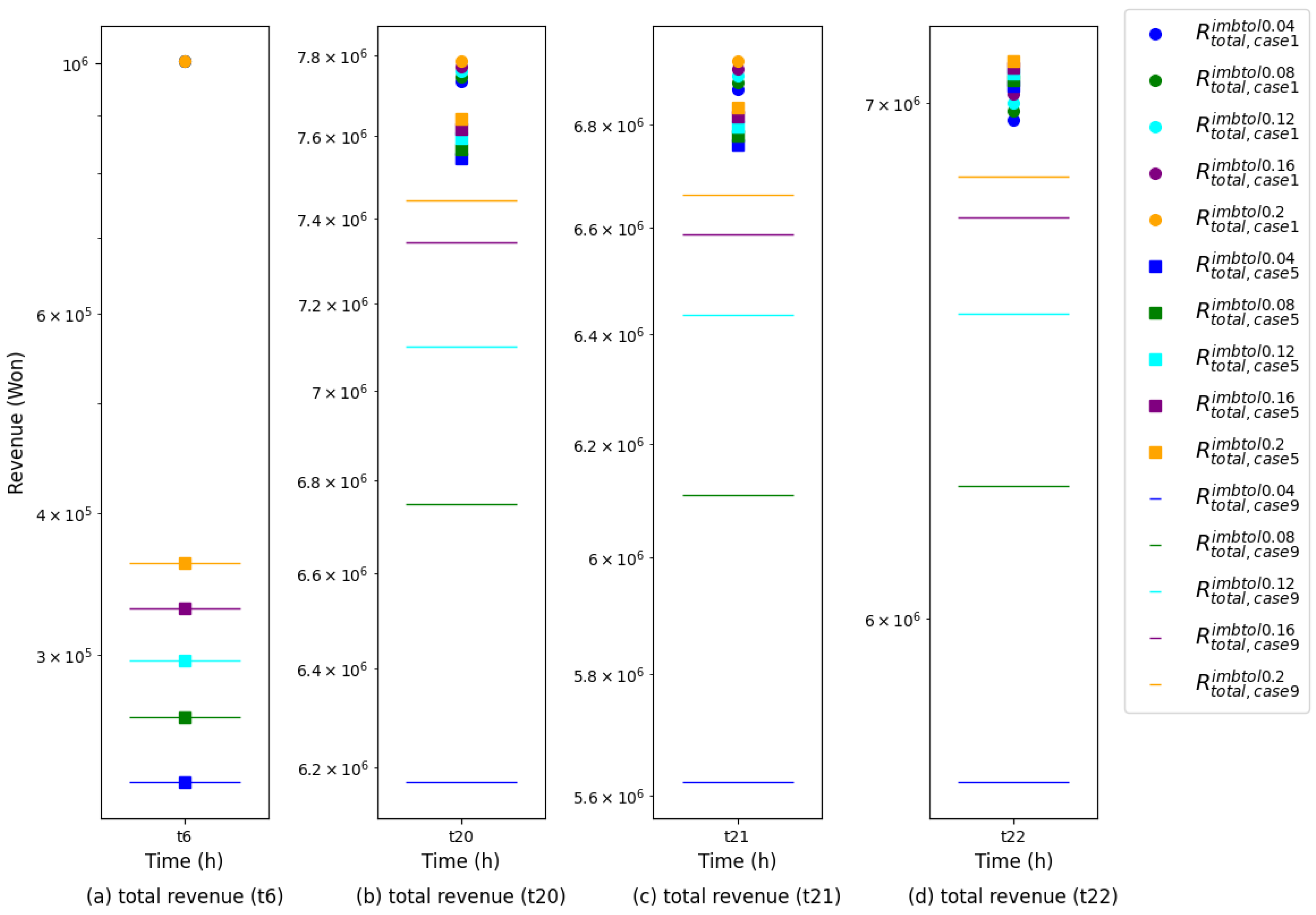
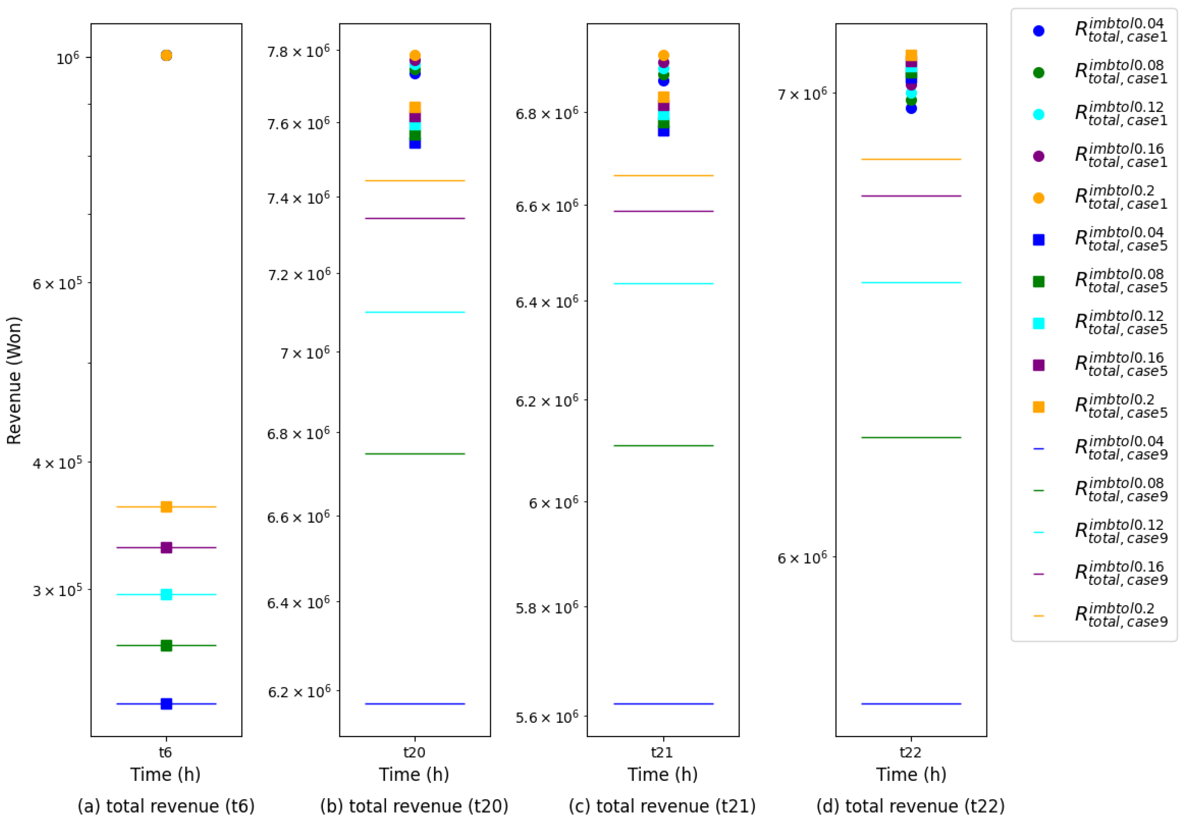
4.2.1. VPP’s Revenue and Deviation Quantity
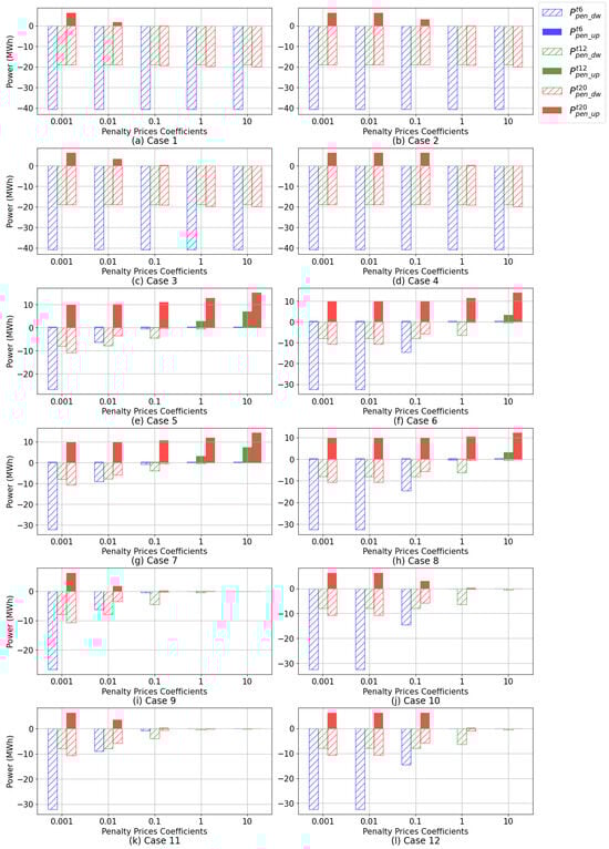
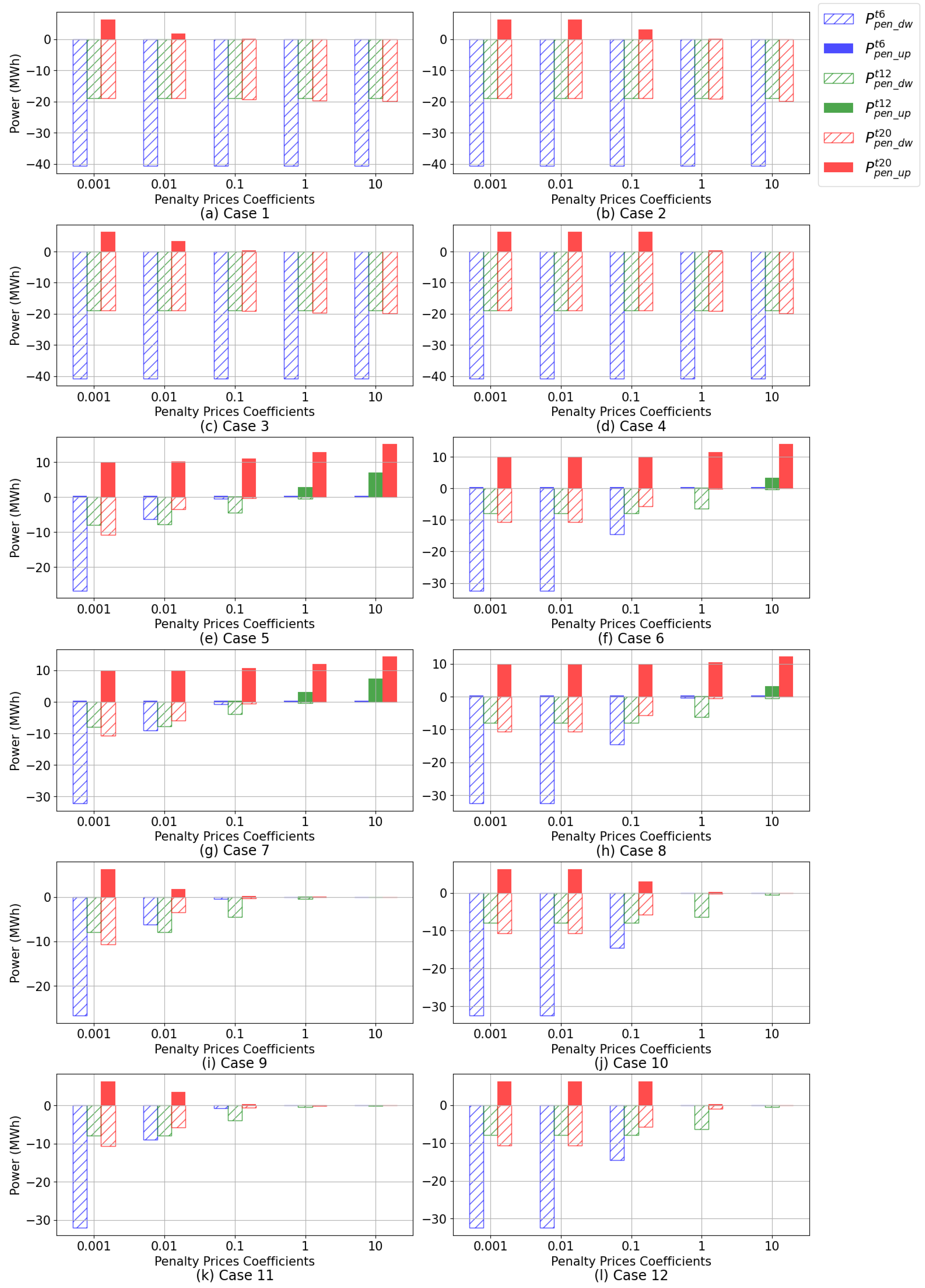
4.2.2. Curtailed Generation and Tolerance Band
5. Discussion
6. Conclusions
Author Contributions
Funding
Data Availability Statement
Conflicts of Interest
References
- International Energy Agency (IEA). Electricity 2024: Analysis and Forecast to 2026; IEA: Paris, France, 2024; Available online: https://www.iea.org (accessed on 5 October 2024).
- Yoro, K.O.; Daramola, M.O. effect. In Advances in Carbon Capture; Woodhead Publishing: Cambridge, UK, 2020; pp. 3–28. [Google Scholar] [CrossRef]
- The Climate Group. RE100 Annual Disclosure Report 2023; The Climate Group: London, UK, 2023; Available online: https://www.there100.org/our-work/publications/re100-2023-annual-disclosure-report (accessed on 5 October 2024).
- Rahman, A.; Farrok, O.; Haque, M.M. Environmental impact of renewable energy source-based electrical power plants: Solar, wind, hydroelectric, biomass, geothermal, tidal, ocean, and osmotic. Renew. Sustain. Energy Rev. 2022, 161, 112279. [Google Scholar] [CrossRef]
- Kalakotla, S.; Korra, C. Emerging Power Quality Challenges due to Integration of Renewable Energy Sources in AC/DC Microgrids. In Proceedings of the International Conference on Intelligent Manufacturing and Energy Sustainability; Springer Nature: Singapore, 2023; pp. 293–304. [Google Scholar] [CrossRef]
- Awerbuch, S.; Preston, A. The Virtual Utility: Accounting, Technology and Competitive Aspects of the Emerging Industry; Kluwer Academic Publishers: Dordrecht, The Netherlands, 1997; Volume 26, pp. 1–234. [Google Scholar] [CrossRef]
- Wang, X.; Liu, Z.; Zhang, H.; Zhao, Y.; Shi, J.; Ding, H. A review on virtual power plant concept, application and challenges. In Proceedings of the IEEE Innovative Smart Grid Technologies-Asia (ISGT Asia), Chengdu, China, 21–24 May 2019; pp. 4328–4333. [Google Scholar] [CrossRef]
- Rouzbahani, H.M.; Karimipour, H.; Lei, L. A review on virtual power plant for energy management. Sustain. Energy Technol. Assess. 2021, 47, 101370. [Google Scholar] [CrossRef]
- Tang, Q.; Guo, H.; Zheng, K.; Chen, Q. Forecasting individual bids in real electricity markets through machine learning framework. Appl. Energy 2024, 363, 123053. [Google Scholar] [CrossRef]
- Jia, D.; Li, X.; Gong, X.; Lv, X.; Shen, Z. Bi-level strategic bidding model of novel virtual power plant aggregating waste gasification in integrated electricity and hydrogen markets. Appl. Energy 2024, 357, 122468. [Google Scholar] [CrossRef]
- Yu, S.; Zhang, J.; Cheng, C.; Shen, J. Bidding optimization for cascade hydropower plants in multi-regional electricity markets. J. Clean. Prod. 2024, 435, 140477. [Google Scholar] [CrossRef]
- Chen, Y.; Niu, Y.; Qu, C.; Du, M.; Liu, P. A pricing strategy based on bi-level stochastic optimization for virtual power plant trading in multi-market: Energy, ancillary services and carbon trading market. Electr. Power Syst. Res. 2024, 231, 110371. [Google Scholar] [CrossRef]
- Zhang, Y.; Zhao, H.; Li, B. Distributionally robust comprehensive declaration strategy of virtual power plant participating in the power market considering flexible ramping product and uncertainties. Appl. Energy 2023, 343, 121133. [Google Scholar] [CrossRef]
- Prabavathi, M.; Gnanadass, R. Energy bidding strategies for restructured electricity market. Int. J. Electr. Power Energy Syst. 2015, 64, 956–966. [Google Scholar] [CrossRef]
- Wang, L.; Yu, C.W.; Wen, F.S. The impacts of different bidding segment numbers on bidding strategies of generation companies. Electr. Power Syst. Res. 2008, 78, 458–463. [Google Scholar] [CrossRef]
- Guo, H.; Chen, Q.; Gu, Y.; Shahidehpour, M.; Xia, Q.; Kang, C. A data-driven pattern extraction method for analyzing bidding behaviors in power markets. IEEE Trans. Smart Grid 2019, 11, 3509–3521. [Google Scholar] [CrossRef]
- Yang, J.; Dong, Z.Y.; Wen, F.; Chen, Q.; Luo, F.; Liu, W.; Zhan, J. A penalty scheme for mitigating uninstructed deviation of generation outputs from variable renewables in a distribution market. IEEE Trans. Smart Grid 2020, 11, 4056–4069. [Google Scholar] [CrossRef]
- Zhang, T.; Qiu, W.; Zhang, Z.; Lin, Z.; Ding, Y.; Wang, Y.; Yang, L. Optimal bidding strategy and profit allocation method for shared energy storage-assisted VPP in joint energy and regulation markets. Appl. Energy 2023, 329, 120158. [Google Scholar] [CrossRef]
- Jeong, J.; Kim, S.W.; Kim, H. Deep reinforcement learning based real-time renewable energy bidding with battery control. IEEE Trans. Energy Mark. Policy Regul. 2023, 1, 85–96. [Google Scholar] [CrossRef]
- Ma, Y.; Hu, Z.; Song, Y. Hour-ahead optimization strategy for shared energy storage of renewable energy power stations to provide frequency regulation service. IEEE Trans. Sustain. Energy 2022, 13, 2331–2342. [Google Scholar] [CrossRef]
- Özcan, M.; Keysan, O.; Satır, B. Optimum bidding strategy for wind and solar power plants in day-ahead electricity market. Energy Syst. 2021, 12, 955–987. [Google Scholar] [CrossRef]
- Peng, F.; Tao, J.; Zhang, H. Modeling for wind-thermal combined bidding considering bilateral tail information. Energy Rep. 2023, 9, 260–268. [Google Scholar] [CrossRef]
- Song, C.; Jing, X. Bidding strategy for virtual power plants with the day-ahead and balancing markets using distributionally robust optimization approach. Energy Rep. 2023, 9, 637–644. [Google Scholar] [CrossRef]
- Wang, Y.; Wu, X.; Liu, M.; Zhang, C.; Wang, H.; Yue, Y.; Luo, X. Bidding strategy of the virtual power plant considering green certificates and carbon trading. Energy Rep. 2023, 9, 73–84. [Google Scholar] [CrossRef]
- PJM Interconnection. Markets Database Dictionary. Available online: https://pjm.com (accessed on 5 October 2024).
- California Independent System Operator. Business Practice Manual for Market Instruments (Version 81); CAISO: Folsom, CA, USA, 2023; Available online: https://bpmcm.caiso.com/Pages/default.aspx (accessed on 5 October 2024).
- New York Independent System Operator. Manual 11: Day-Ahead Scheduling Manual; NYISO: Rensselaer, NY, USA, August 2024; Available online: https://www.nyiso.com (accessed on 5 October 2024).
- Midcontinent Independent System Operator. Business Practices Manuals; MISO: Carmel, IN, USA, June 2024; Available online: https://www.misoenergy.org (accessed on 5 October 2024).
- Korea Power Exchange. Electricity Market Operation Rules; KPX: Naju, Republic of Korea, March 2024; Available online: https://kpx.or.kr (accessed on 5 October 2024).
- Nguyen, H.T.; Le, L.B.; Wang, Z. A bidding strategy for virtual power plants with the intraday demand response exchange market using the stochastic programming. IEEE Trans. Ind. Appl. 2018, 54, 3044–3055. [Google Scholar] [CrossRef]
- Shinde, P.; Kouveliotis-Lysikatos, I.; Amelin, M. Multistage stochastic programming for VPP trading in continuous intraday electricity markets. IEEE Trans. Sustain. Energy 2022, 13, 1037–1048. [Google Scholar] [CrossRef]
- Jafari, M.; Foroud, A.A. A medium/long-term auction-based coalition-forming model for a virtual power plant based on stochastic programming. Int. J. Electr. Power Energy Syst. 2020, 118, 105784. [Google Scholar] [CrossRef]
- Fusco, A.; Gioffrè, D.; Castelli, A.F.; Bovo, C.; Martelli, E. A multi-stage stochastic programming model for the unit commitment of conventional and virtual power plants bidding in the day-ahead and ancillary services markets. Appl. Energy 2023, 336, 120739. [Google Scholar] [CrossRef]
- Mitsos, A.; Chachuat, B.; Barton, P.I. McCormick-based relaxations of algorithms. SIAM J. Optim. 2009, 20, 573–601. [Google Scholar] [CrossRef]












| ISO | DA/RT | Number of Segments | Price Cap | Price Floor |
|---|---|---|---|---|
| PJM [25] | O/O | 10 | USD 1000/MWh | Not Implemented |
| CAISO [26] | O/O | 10 | Soft Cap—USD 1000/MWh | Not Implemented |
| Hard Cap—USD 2000/MWh | ||||
| NYISO [27] | O/O | 12 | Minimum of Generation Cost | |
| MISO [28] | O/O | 9 | USD 1000/MWh | Minimum of Generation Cost |
| KPX [29] | O/O | 10 | KRW 0/kWh | − (REC Price) |
| Penalty Rate Structure | Penalty Rate | Penalty Cost |
|---|---|---|
| SPRS | SMP-Based | |
| RPRS | REC-Based |
| Case | Penalty Scope | Penalty Rate | Penalty Coefficient |
|---|---|---|---|
| 1 | OPS | SPRS | LPCS |
| 2 | FPCS | ||
| 3 | RPRS | LPCS | |
| 4 | FPCS | ||
| 5 | UPS | SPRS | LPCS |
| 6 | FPCS | ||
| 7 | RPRS | LPCS | |
| 8 | FPCS | ||
| 9 | DPS | SPRS | LPCS |
| 10 | FPCS | ||
| 11 | RPRS | LPCS | |
| 12 | FPCS |
| Parameter | Value | Parameter | Value |
|---|---|---|---|
| 0.2 [MWh] | 1 [1/MW] | ||
| 10 | 1 | ||
| (−2) [KRW/MWh] | 60 [MW] | ||
| 76 [KRW/MWh] | 0 [MWh] | ||
| [−3, −2, −1, 0, 1, 2, 3] | 0.5 |
| Objective | Penalty Rate Structure | Penalty Rate | Penalty Cost |
|---|---|---|---|
| Maximizing VPP Profit | - OPS > UPS > DPS - UPS > OPS > DPS (Depends on SMP) | SPRS > RPRS | LPCS > FPCS |
| Enhancing Market Stability | - DPS > OPS > UPS - DPS > UPS > OPS (Depends on System) | SPRS > RPRS | LPCS > FPCS |
| Improving Energy Efficiency | UPS > OPS > DPS | (Depends on SMP) | FPCS > LPCS |
| Ensuring Operational Flexibility | DPS > UPS > OPS | SPRS > RPRS | LPCS > FPCS |
Disclaimer/Publisher’s Note: The statements, opinions and data contained in all publications are solely those of the individual author(s) and contributor(s) and not of MDPI and/or the editor(s). MDPI and/or the editor(s) disclaim responsibility for any injury to people or property resulting from any ideas, methods, instructions or products referred to in the content. |
© 2024 by the authors. Licensee MDPI, Basel, Switzerland. This article is an open access article distributed under the terms and conditions of the Creative Commons Attribution (CC BY) license (https://creativecommons.org/licenses/by/4.0/).
Share and Cite
Song, Y.; Chae, M.; Chu, Y.; Yoon, Y.; Jin, Y. Impact of Penalty Structures on Virtual Power Plants in a Day-Ahead Electricity Market. Energies 2024, 17, 6042. https://doi.org/10.3390/en17236042
Song Y, Chae M, Chu Y, Yoon Y, Jin Y. Impact of Penalty Structures on Virtual Power Plants in a Day-Ahead Electricity Market. Energies. 2024; 17(23):6042. https://doi.org/10.3390/en17236042
Chicago/Turabian StyleSong, Youngkook, Myeongju Chae, Yeonouk Chu, Yongtae Yoon, and Younggyu Jin. 2024. "Impact of Penalty Structures on Virtual Power Plants in a Day-Ahead Electricity Market" Energies 17, no. 23: 6042. https://doi.org/10.3390/en17236042
APA StyleSong, Y., Chae, M., Chu, Y., Yoon, Y., & Jin, Y. (2024). Impact of Penalty Structures on Virtual Power Plants in a Day-Ahead Electricity Market. Energies, 17(23), 6042. https://doi.org/10.3390/en17236042

