Waste-to-Energy Conversion of Rubberwood Residues for Enhanced Biomass Fuels: Process Optimization and Eco-Efficiency Evaluation
Abstract
1. Introduction
2. Materials and Methods
2.1. Sample Preparation
2.2. Torrefaction Process
2.3. Characterization
2.3.1. Proximate Analysis
2.3.2. Higher Heating Value
2.3.3. Analysis of Production Yield and Energy Densification Ratio
2.3.4. Thermogravimetric Analysis (TGA)
2.3.5. Lignocellulose Analysis of Torrefied BW and SD
2.3.6. Fourier Transform Infrared (FTIR) Analysis
2.3.7. Scanning Electron Microscopy (SEM)/EDX
2.4. Eco-Efficiency Analysis
2.5. Design Experimentation
3. Results
3.1. Preparation of Torrefied BW and SD
3.2. Biomass Characterization
3.2.1. Proximate Analysis Results
3.2.2. Higher Heating Value (HHV)
3.2.3. Production Yield Analysis
3.2.4. TGA Results
3.2.5. Lignocellulose Content Analysis
3.2.6. Analysis Using Fourier Transform Infrared Spectroscopy (FTIR)
3.2.7. SEM and EDX Analysis
3.3. Design Expert Program
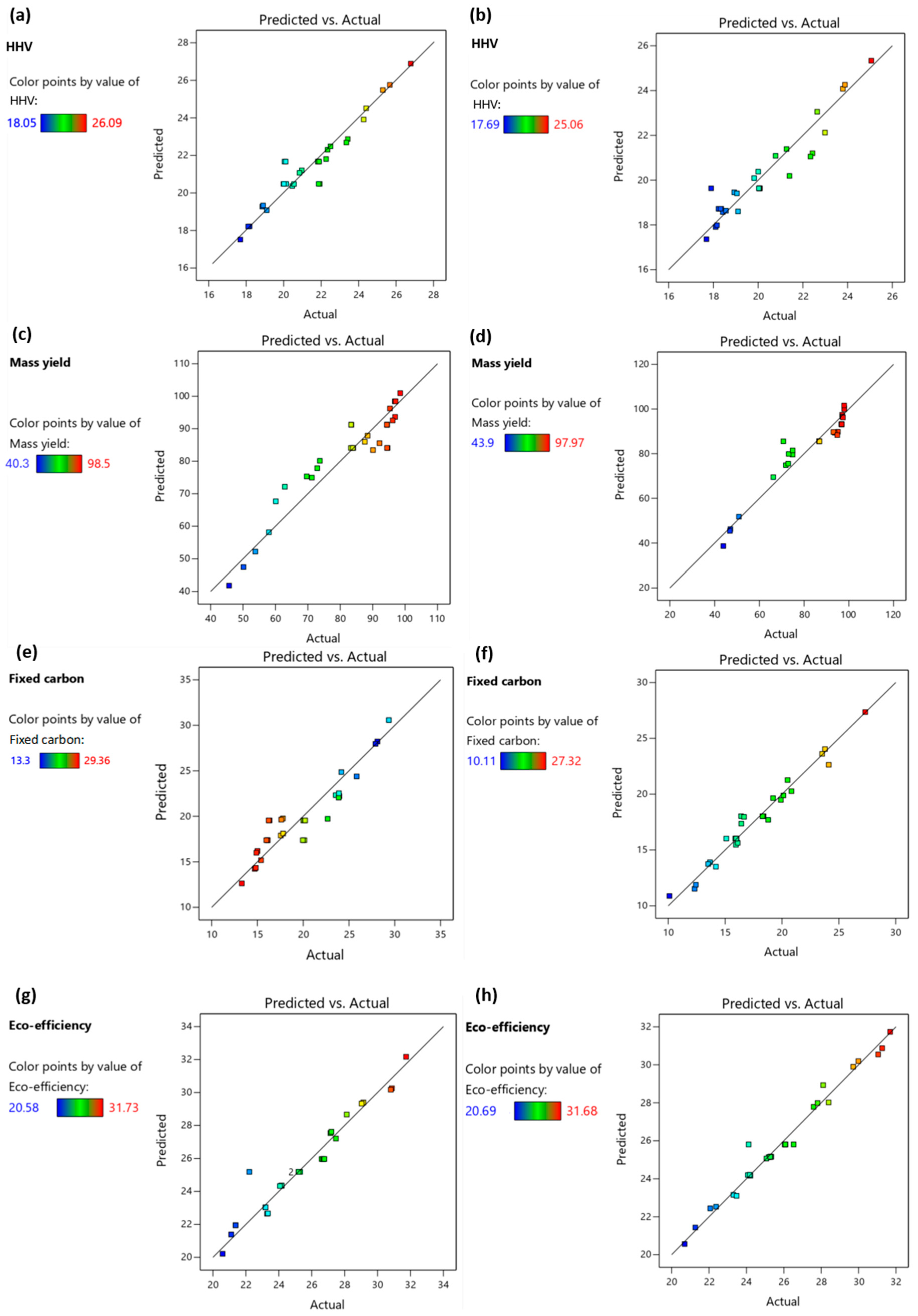
3.3.1. Design of Experiments and Analyzing Statistics
3.3.2. Confirmation of Conditional Optimizations
3.3.3. Optimal Condition and Validation
3.4. CO2 Equivalent Estimation
3.5. Eco-Efficiency
4. Conclusions
Author Contributions
Funding
Data Availability Statement
Acknowledgments
Conflicts of Interest
Nomenclature
| %C | Cellulose content |
| %E | Acetone extractable content |
| %H | Hemicellulose content |
| %L | Lignin content |
| AC | Ash content |
| BW | Bark wood |
| CBB | CO2 of torrefied biomass |
| CC | Carbon content |
| CO2_eq | Total CO2 equivalent |
| CS | Carbon storage |
| DE | Design Expert |
| EDX | Energy-dispersive X-ray spectroscopy |
| EDR | Energy densification ratio |
| EE | Energy efficiency |
| FC | Fixed carbon |
| FTIR | Fourier transform infrared |
| HHV | Higher heating value |
| MC | Moisture content |
| SD | Sawdust |
| SEM | Scanning electron microscopy |
| TGA | Thermogravimetric analysis |
| VM | Volatile matters |
| YM | Mass yield |
References
- Höök, M.; Tang, X. Depletion of fossil fuels and anthropogenic climate change—A review. Energy Policy 2013, 52, 797–809. [Google Scholar] [CrossRef]
- Holechek, J.L.; Geli, H.M.E.; Sawalhah, M.N.; Valdez, R. A Global Assessment: Can Renewable Energy Replace Fossil Fuels by 2050? Sustainability 2022, 14, 4792. [Google Scholar] [CrossRef]
- Chen, W.-H.; Lin, B.-J.; Lin, Y.-Y.; Chu, Y.-S.; Ubando, A.T.; Show, P.L.; Ong, H.C.; Chang, J.-S.; Ho, S.-H.; Culaba, A.B.; et al. Progress in biomass torrefaction: Principles, applications and challenges. Prog. Energy Combust. Sci. 2021, 82, 100887. [Google Scholar] [CrossRef]
- Liang, W.; Jiang, C.; Wang, G.; Ning, X.; Zhang, J.; Guo, X.; Xu, R.; Wang, P.; Ye, L.; Li, J.; et al. Research on the co-combustion characteristics and kinetics of agricultural waste hydrochar and anthracite. Renew. Energy 2022, 194, 1119–1130. [Google Scholar] [CrossRef]
- Mohamad, N.F.; Hidayu, A.R.; Sherif, A.A.; Sharifah, A.S.A.K. Characteristics of bituminous coal, sub-bituminous coal and bottom ash from a coal-fired power plant. In Proceedings of the BEIAC 2013—2013 IEEE Business Engineering and Industrial Applications Colloquium, Langkawi, Malaysia, 7–9 April 2013; pp. 571–573. [Google Scholar]
- Liu, Z.; Quek, A.; Hoekman, S.K.; Srinivasan, M.; Balasubramanian, R. Thermogravimetric investigation of hydrochar-lignite co-combustion. Bioresour. Technol. 2012, 123, 646–652. [Google Scholar] [CrossRef]
- Yoro, K.O.; Daramola, M.O. CO2 emission sources, greenhouse gases, and the global warming effect. In Advances in Carbon Capture; Woodhead Publishing: Sawston, UK, 2020; pp. 3–28. [Google Scholar] [CrossRef]
- Esteves, B.; Sen, U.; Pereira, H. Influence of Chemical Composition on Heating Value of Biomass: A Review and Bibliometric Analysis. Energies 2023, 16, 4226. [Google Scholar] [CrossRef]
- Kota, K.B.; Shenbagaraj, S.; Sharma, P.K.; Sharma, A.K.; Ghodke, P.K.; Chen, W.-H. Biomass torrefaction: An overview of process and technology assessment based on global readiness level. Fuel 2022, 324, 124663. [Google Scholar] [CrossRef]
- Sher, F.; Yaqoob, A.; Saeed, F.; Zhang, S.; Jahan, Z.; Klemeš, J.J. Torrefied biomass fuels as a renewable alternative to coal in co-firing for power generation. Energy 2020, 209, 118444. [Google Scholar] [CrossRef]
- Liu, Y.; Tan, W.; Liang, S.; Bi, X.; Sun, R.; Pan, X. Comparative study on the co-combustion behavior of torrefied biomass blended with different rank coals. Biomass Convers. Biorefinery 2022, 14, 781–793. [Google Scholar] [CrossRef]
- Thanapal, S.S.; Annamalai, K.; Ansley, R.J.; Ranjan, D. Co-firing carbon dioxide-torrefied woody biomass with coal on emission characteristics. Biomass Convers. Biorefinery 2016, 6, 91–104. [Google Scholar] [CrossRef]
- Olugbade, T.O.; Ojo, O.T. Biomass Torrefaction for the Production of High-Grade Solid Biofuels: A Review. BioEnergy Res. 2020, 13, 999–1015. [Google Scholar] [CrossRef]
- Wild, M.; Calderón, C. Torrefied Biomass and Where Is the Sector Currently Standing in Terms of Research, Technology Development, and Implementation. Front. Energy Res. 2021, 9, 678492. [Google Scholar] [CrossRef]
- Proskurina, S.; Heinimö, J.; Schipfer, F.; Vakkilainen, E. Biomass for industrial applications: The role of torrefaction. Renew. Energy 2017, 111, 265–274. [Google Scholar] [CrossRef]
- Nunes, L.; Matias, J.; Catalão, J. A review on torrefied biomass pellets as a sustainable alternative to coal in power generation. Renew. Sustain. Energy Rev. 2014, 40, 153–160. [Google Scholar] [CrossRef]
- Lee, Y.; Yang, W.; Chae, T.; Kang, B.; Park, J.; Ryu, C. Comparative Characterization of a Torrefied Wood Pellet under Steam and Nitrogen Atmospheres. Energy Fuels 2018, 32, 5109–5114. [Google Scholar] [CrossRef]
- Leepromrath, S.; Zhou, J.; Zhou, D. The impacts of crop diversity adoption on Rubber Farmers’ Welfare: Evidence from Thailand. Agrofor. Syst. 2024, 98, 1377–1397. [Google Scholar] [CrossRef]
- Kongto, P.; Palamanit, A.; Chaiprapat, S.; Tippayawong, N.; Khempila, J.; Ruangim, P. Key fuel characteristics and techno-economic aspects of torrefied rubberwood biomass pellets produced by incorporating various cassava-based binders at varied doses. Environ. Sci. Pollut. Res. 2024, 31, 37663–37680. [Google Scholar] [CrossRef]
- Kongto, P.; Palamanit, A.; Chaiprapat, S.; Tippayawong, N. Enhancing the fuel properties of rubberwood biomass by moving bed torrefaction process for further applications. Renew. Energy 2021, 170, 703–713. [Google Scholar] [CrossRef]
- Leepromrath, S.; Zhu, J.; Zhou, J.; Li, T.; Zhou, D. Rubber crop diversity and its influential factors in Thailand. J. Rubber Res. 2021, 24, 461–473. [Google Scholar] [CrossRef]
- Murphy, D.J.; Goggin, K.; Paterson, R.R.M. Oil palm in the 2020s and beyond: Challenges and solutions. CABI Agric. Biosci. 2021, 2, 39. [Google Scholar] [CrossRef]
- Chittella, H.; Yoon, L.W.; Ramarad, S.; Lai, Z.-W. Rubber waste management: A review on methods, mechanism, and prospects. Polym. Degrad. Stab. 2021, 194, 109761. [Google Scholar] [CrossRef]
- Indexmundi, Wood Pulp Monthly Price. 2024. Available online: https://www.indexmundi.com/commodities/?commodity=wood-pulp&months=120¤cy=thb (accessed on 18 September 2024).
- Sarker, T.R.; Nanda, S.; Dalai, A.K.; Meda, V. A Review of Torrefaction Technology for Upgrading Lignocellulosic Biomass to Solid Biofuels. BioEnergy Res. 2021, 14, 645–669. [Google Scholar] [CrossRef]
- Chen, D.; Cen, K.; Zhuang, X.; Gan, Z.; Zhou, J.; Zhang, Y.; Zhang, H. Insight into biomass pyrolysis mechanism based on cellulose, hemicellulose, and lignin: Evolution of volatiles and kinetics, elucidation of reaction pathways, and characterization of gas, biochar and bio-oil. Combust. Flame 2022, 242, 112142. [Google Scholar] [CrossRef]
- Javanmard, A.; Patah, M.F.A.; Zulhelmi, A.; Daud, W.M.A.W. A comprehensive overview of the continuous torrefaction method: Operational characteristics, applications, and challenges. J. Energy Inst. 2023, 108, 101199. [Google Scholar] [CrossRef]
- Chang, S.; Zhao, Z.; Zheng, A.; He, F.; Huang, Z.; Li, H. Characterization of Products from Torrefaction of Sprucewood and Bagasse in an Auger Reactor. Energy Fuels 2012, 26, 7009–7017. [Google Scholar] [CrossRef]
- Mamvura, T.A. Overview of Torrefaction Technologies: A Path Getaway for Waste-to-Energy. In Handbook of Waste Biorefinery; Springer International Publishing: Cham, Switzerland, 2022; pp. 1–25. [Google Scholar] [CrossRef]
- Sarker, T.R.; Azargohar, R.; Dalai, A.K.; Venkatesh, M. Physicochemical and Fuel Characteristics of Torrefied Agricultural Residues for Sustainable Fuel Production. Energy Fuels 2020, 34, 14169–14181. [Google Scholar] [CrossRef]
- Bach, Q.-V.; Skreiberg, O. Upgrading biomass fuels via wet torrefaction: A review and comparison with dry torrefaction. Renew. Sustain. Energy Rev. 2016, 54, 665–677. [Google Scholar] [CrossRef]
- Olumide Olugbade, T. Economics, Sustainability, and Reaction Kinetics of Biomass Torrefaction. In Biotechnological Applications of Biomass; IntechOpen: London, UK, 2021; pp. 1–34. [Google Scholar] [CrossRef]
- Sousa, L.M.; Ogura, A.P.; Anchieta, C.G.; Morin, M.; Canabarro, N.I. Biomass Torrefaction for Renewable Energy: From Physicochemical, Bulk Properties, and Flowability to Future Perspectives and Applications. Energy Fuels 2024, 38, 18367–18385. [Google Scholar] [CrossRef]
- Doddapaneni, T.R.K.C.; Praveenkumar, R.; Tolvanen, H.; Rintala, J.; Konttinen, J. Techno-economic evaluation of integrating torrefaction with anaerobic digestion. Appl. Energy 2018, 213, 272–284. [Google Scholar] [CrossRef]
- Abdulyekeen, K.A.; Umar, A.A.; Patah, M.F.A.; Daud, W.M.A.W. Torrefaction of biomass: Production of enhanced solid biofuel from municipal solid waste and other types of biomass. Renew. Sustain. Energy Rev. 2021, 150, 111436. [Google Scholar] [CrossRef]
- ISO 565:1990; Test Sieves. International Organization for Standardization: Geneva, Switzerland, 1990. Available online: www.iso.org/obp/ui/#iso:std:iso:565:ed-3:v1:en (accessed on 18 September 2024).
- ASTM International, ASTM E11.Standard Specification for Woven Wire Test Sieves. 2020. Available online: https://advantechmfg.com/astm-e11-standards-table-and-calculator/ (accessed on 18 September 2024).
- Aguado, R.; Cuevas, M.; Pérez-Villarejo, L.; Martínez-Cartas, M.L.; Sánchez, S. Upgrading almond-tree pruning as a biofuel via wet torrefaction. Renew. Energy 2019, 145, 2091–2100. [Google Scholar] [CrossRef]
- Sluiter, A.D.; Templeton, D.W. Determination of Structural Carbohydrates and Lignin in Biomass: Laboratory Analytical Procedure (LAP) (Revised July 2011). 2008. Available online: https://www.nrel.gov/docs/gen/fy13/42618.pdf (accessed on 23 October 2024).
- Niu, Y.; Lv, Y.; Lei, Y.; Liu, S.; Liang, Y.; Wang, D.; Hui, S. Biomass torrefaction: Properties, applications, challenges, and economy. Renew. Sustain. Energy Rev. 2019, 115, 109395. [Google Scholar] [CrossRef]
- Changwichan, K.; Silalertruksa, T.; Gheewala, S.H. Eco-Efficiency Assessment of Bioplastics Production Systems and End-of-Life Options. Sustainability 2018, 10, 952. [Google Scholar] [CrossRef]
- Heilala, J.; Ruusu, R.; Montonen, J.; Vatanen, S.; Kavka, C.; Asnicar, F.; Scholze, S.; Armiojo, A.; Insunza, M. Eco-process Engineering System for Collaborative Product Process System Optimisation. In Advances in Production Management Systems: Innovative and Knowledge-Based Production Management in a Global-Local World; Springer: Berlin/Heidelberg, Germany, 2014; pp. 1–12. [Google Scholar] [CrossRef]
- Bergman, R.; Puettmann, M.; Taylor, A.; Skog, K.E. The Carbon Impacts of Wood Products. For. Prod. J. 2014, 64, 220–231. [Google Scholar] [CrossRef]
- Mary, S. Booth, Carbon Emissions from Burning Biomass for Energy. 2011. Available online: https://policycommons.net/artifacts/2246921/carbon-emissions-from-burning-biomass-for-energy/ (accessed on 18 September 2024).
- Maksimuk, Y.; Antonava, Z.; Krouk, V.; Korsakova, A.; Kursevich, V. Prediction of higher heating value (HHV) based on the structural composition for biomass. Fuel 2021, 299, 120860. [Google Scholar] [CrossRef]
- Premchand, P.; Demichelis, F.; Chiaramonti, D.; Bensaid, S.; Fino, D. Study on the effects of carbon dioxide atmosphere on the production of biochar derived from slow pyrolysis of organic agro-urban waste. Waste Manag. 2023, 172, 308–319. [Google Scholar] [CrossRef]
- Chen, D.; Zheng, Z.; Fu, K.; Zeng, Z.; Wang, J.; Lu, M. Torrefaction of biomass stalk and its effect on the yield and quality of pyrolysis products. Fuel 2015, 159, 27–32. [Google Scholar] [CrossRef]
- Ribeiro, J.M.C.; Godina, R.; Matias, J.C.d.O.; Nunes, L.J.R. Future Perspectives of Biomass Torrefaction: Review of the Current State-Of-The-Art and Research Development. Sustainability 2018, 10, 2323. [Google Scholar] [CrossRef]
- Mohammad, I.N.; Ongkudon, C.M.; Misson, M. Physicochemical Properties and Lignin Degradation of Thermal-Pretreated Oil Palm Empty Fruit Bunch. Energies 2020, 13, 5966. [Google Scholar] [CrossRef]
- Senneca, O.; Cerciello, F.; Russo, C.; Wütscher, A.; Muhler, M.; Apicella, B. Thermal treatment of lignin, cellulose and hemicellulose in nitrogen and carbon dioxide. Fuel 2020, 271, 117656. [Google Scholar] [CrossRef]
- Khamwichit, A.; Kasawapat, J.; Seekao, N.; Dechapanya, W. Enhanced Torrefied Oil-Palm Biomass as an Alternative Bio-Circular Solid Fuel: Innovative Modeling of Optimal Conditions and Ecoefficiency Analysis. Energies 2024, 17, 2192. [Google Scholar] [CrossRef]
- Triviño-Pineda, J.-S.; Sanchez-Rodriguez, A.; Peláez, N.P. Biogas production from organic solid waste through anaerobic digestion: A meta-analysis. Case Stud. Chem. Environ. Eng. 2024, 9, 100618. [Google Scholar] [CrossRef]
- Solarte-Toro, J.C.; Chacón-Pérez, Y.; Cardona-Alzate, C.A. Evaluation of biogas and syngas as energy vectors for heat and power generation using lignocellulosic biomass as raw material. Electron. J. Biotechnol. 2018, 33, 52–62. [Google Scholar] [CrossRef]
- de Moraes, J.P.; Poço, J.G.R. Thermodynamical analysis of carbon activity in ethanol steam reforming. Energy Convers. Manag. 2024, 317, 118856. [Google Scholar] [CrossRef]
- Zhong, Y.; Zhang, Y.; Mao, C.; Ukaew, A. Performance, Combustion, and Emission Comparisons of a High-Speed Diesel Engine Fueled with Biodiesel with Different Ethanol Addition Ratios Based on a Combined Kinetic Mechanism. Processes 2022, 10, 1689. [Google Scholar] [CrossRef]
- Paone, E.; Tursi, A. Production of biodiesel from biomass. In Advances in Bioenergy and Microfluidic Applications; Elsevier: Amsterdam, The Netherlands, 2021; pp. 165–192. [Google Scholar] [CrossRef]
- van Gelderen, L.; Alva, U.R.; Mindykowski, P.; Jomaas, G. Thermal Properties and Burning Efficiencies of Crude Oils and Refined Fuel Oil. Int. Oil Spill Conf. Proc. 2017, 2017, 985–1005. [Google Scholar] [CrossRef][Green Version]
- Chowdhury, H.; Chowdhury, T.; Hossain, N.; Chowdhury, P.; Salam, B.; Sait, S.M.; Mahlia, T.M.I. Exergetic sustainability analysis of industrial furnace: A case study. Environ. Sci. Pollut. Res. 2021, 28, 12881–12888. [Google Scholar] [CrossRef]
- Peng, J.H.; Bi, H.T.; Sokhansanj, S.; Lim, J.C. A Study of Particle Size Effect on Biomass Torrefaction and Densification. Energy Fuels 2012, 26, 3826–3839. [Google Scholar] [CrossRef]
- Ivanovski, M.; Goričanec, D.; Urbancl, D. The Evaluation of Torrefaction Efficiency for Lignocellulosic Materials Combined with Mixed Solid Wastes. Energies 2023, 16, 3694. [Google Scholar] [CrossRef]
- Mamvura, T.; Danha, G. Biomass torrefaction as an emerging technology to aid in energy production. Heliyon 2020, 6, e03531. [Google Scholar] [CrossRef]
- Díez, D.; Urueña, A.; Piñero, R.; Barrio, A.; Tamminen, T. Determination of Hemicellulose, Cellulose, and Lignin Content in Different Types of Biomasses by Thermogravimetric Analysis and Pseudocomponent Kinetic Model (TGA-PKM Method). Processes 2020, 8, 1048. [Google Scholar] [CrossRef]
- Chen, W.-H.; Wu, J.-S. An evaluation on rice husks and pulverized coal blends using a drop tube furnace and a thermogravimetric analyzer for application to a blast furnace. Energy 2009, 34, 1458–1466. [Google Scholar] [CrossRef]
- Zhang, S.; Li, R.; Zhang, Y.; Zhao, M. The effect of solvents on the thermal degradation products of two Amadori derivatives. RSC Adv. 2020, 10, 9309–9317. [Google Scholar] [CrossRef] [PubMed]
- Rao, J.; Lv, Z.; Chen, G.; Peng, F. Hemicellulose: Structure, chemical modification, and application. Prog. Polym. Sci. 2023, 140, 101675. [Google Scholar] [CrossRef]
- Gellerstedt, G.; Henriksson, G. Lignins: Major Sources, Structure and Properties. In Monomers, Polymers and Composites from Renewable Resources; Elsevier: Amsterdam, The Netherlands, 2008; pp. 201–224. [Google Scholar] [CrossRef]
- Ong, H.C.; Yu, K.L.; Chen, W.-H.; Pillejera, M.K.; Bi, X.; Tran, K.-Q.; Pétrissans, A.; Pétrissans, M. Variation of lignocellulosic biomass structure from torrefaction: A critical review. Renew. Sustain. Energy Rev. 2021, 152, 111698. [Google Scholar] [CrossRef]
- Houfani, A.A.; Anders, N.; Spiess, A.C.; Baldrian, P.; Benallaoua, S. Insights from enzymatic degradation of cellulose and hemicellulose to fermentable sugars—A review. Biomass-Bioenergy 2020, 134, 105481. [Google Scholar] [CrossRef]
- Ivanovski, M.; Urbancl, D.; Petrovič, A.; Stergar, J.; Goričanec, D.; Simonič, M. Improving Lignocellulosic and Non-Lignocellulosic Biomass Characteristics through Torrefaction Process. Appl. Sci. 2022, 12, 12210. [Google Scholar] [CrossRef]
- Okolie, J.A.; Nanda, S.; Dalai, A.K.; Kozinski, J.A. Chemistry and Specialty Industrial Applications of Lignocellulosic Biomass. Waste Biomass-Valorization 2020, 12, 2145–2169. [Google Scholar] [CrossRef]
- Nam, H.; Capareda, S. Experimental investigation of torrefaction of two agricultural wastes of different composition using RSM (response surface methodology). Energy 2015, 91, 507–516. [Google Scholar] [CrossRef]
- Waheed, A.; Naqvi, S.R.; Ali, I. Co-Torrefaction Progress of Biomass Residue/Waste Obtained for High-Value Bio-Solid Products. Energies 2022, 15, 8297. [Google Scholar] [CrossRef]
- Simonic, M.; Goricanec, D.; Urbancl, D. Impact of torrefaction on biomass properties depending on temperature and operation time. Sci. Total. Environ. 2020, 740, 140086. [Google Scholar] [CrossRef] [PubMed]
- Ahamed, M.; Perera, M.; Matthai, S.; Ranjith, P.; Dong-Yin, L. Coal composition and structural variation with rank and its influence on the coal-moisture interactions under coal seam temperature conditions—A review article. J. Pet. Sci. Eng. 2019, 180, 901–917. [Google Scholar] [CrossRef]
- Skone, T.; Schivley, G.; Jamieson, M.; Marriott, J.; Cooney, G.; Littlefield, J.; Mutchek, M.; Krynock, M.; Shih, C. Life Cycle Analysis: Supercritical Pulverized Coal (SCPC) Power Plants; USDOE Office of Fossil Energy (FE): Albany, OR, USA, 2018. [Google Scholar] [CrossRef]
- Business Insider, Coal-Price; Markets Insider. 2024. Available online: https://markets.businessinsider.com/commodities/coal-price (accessed on 20 September 2024).


















| Fuel Type | HHV (MJ/kg) | Reference |
|---|---|---|
| Bark wood | 17–26 | This study |
| Sawdust | 17–25 | This study |
| Palm oil | 18–26 | [51] |
| Biogas | 20–26 | [52,53] |
| Coal | 25–35 | [3] |
| Ethanol | 29.7 | [54,55] |
| Biodiesel | 37–40 | [56] |
| Crude oil | 38–46 | [57] |
| Natural gas | 37–55 | [58] |
| Run | A: Temp (°C) | B: Time (min) | Bark Wood (BW) | Sawdust (SD) | ||||||||
|---|---|---|---|---|---|---|---|---|---|---|---|---|
| C: Size (mm) | HHV (MJ/kg) | Mass Yield (%) | Fixed Carbon (%) | Eco-Efficiency (kJ/kg CO2_eq*THB) | C: Size (mm) | HHV (MJ/kg) | Mass Yield (%) | Fixed Carbon (%) | Eco-Efficiency (kJ/kg CO2_eq*THB) | |||
| BW1/SD1 | - | - | 5 | 17.03 ± 0.12 | 10.28 ± 0.12 | 0.60 | 16.88 ± 0.17 | 9.96 ± 0.25 | ||||
| BW2/SD2 | - | - | 7.5 | 17.00 ± 0.05 | 10.39 ± 0.09 | 0.85 | 16.82 ± 0.10 | 9.53 ± 0.11 | ||||
| BW3/SD3 | - | - | 10 | 16.91 ± 0.17 | 10.50 ± 0.11 | 1.00 | 16.78 ± 0.23 | 9.47 ± 0.09 | ||||
| 1 | 200 | 30 | 7.5 | 18.05 ± 0.25 | 98.50 ± 1.05 | 13.30 ± 1.22 | 31.73 | 0.85 | 17.69 ± 0.28 | 97.97 ± 0.28 | 10.11 ± 1.01 | 31.68 |
| 2 | 200 | 75 | 5 | 18.58 ± 0.16 | 96.83 ± 0.63 | 14.83 ± 0.21 | 27.08 | 0.60 | 18.15 ± 0.19 | 97.95 ± 0.13 | 12.43 ± 0.19 | 27.80 |
| 3 | 200 | 75 | 10 | 18.42 ± 0.15 | 97.05 ± 0.41 | 14.71 ± 0.19 | 27.25 | 1.00 | 18.09 ± 0.19 | 97.97 ± 0.32 | 12.32 ± 0.13 | 27.59 |
| 4 | 200 | 120 | 7.5 | 19.29 ± 0.30 | 95.33 ± 0.25 | 15.40 ± 0.28 | 24.07 | 0.85 | 19.10 ± 0.25 | 96.99 ± 0.24 | 14.19 ± 0.76 | 24.21 |
| 5 | 250 | 30 | 5 | 19.13 ± 0.42 | 96.17 ± 0.13 | 15.01 ± 0.31 | 30.74 | 0.60 | 18.42 ± 0.38 | 97.10 ± 0.42 | 13.67 ± 0.33 | 31.26 |
| 6 | 250 | 30 | 10 | 19.08 ± 0.18 | 96.91 ± 0.27 | 14.89 ± 0.16 | 30.94 | 1.00 | 18.36 ± 0.23 | 97.37 ± 0.38 | 13.51 ± 0.42 | 31.05 |
| 7 | 250 | 75 | 7.5 | 20.21 ± 0.07 | 94.49 ± 0.03 | 16.13 ± 0.03 | 26.71 | 0.85 | 18.98 ± 0.02 | 96.78 ± 0.42 | 15.93 ± 0.15 | 26.09 |
| 8 | 250 | 75 | 7.5 | 20.10 ± 0.04 | 94.37 ± 0.11 | 15.98 ± 0.18 | 26.77 | 0.85 | 19.03 ± 0.03 | 95.81 ± 0.55 | 15.97 ± 0.19 | 26.08 |
| 9 | 250 | 75 | 7.5 | 20.08 ± 0.06 | 94.41 ± 0.05 | 16.11 ± 0.05 | 26.70 | 0.85 | 19.01 ± 0.01 | 96.70 ± 0.34 | 15.10 ± 0.68 | 26.53 |
| 10 | 250 | 75 | 7.5 | 20.19 ± 0.05 | 94.43 ± 0.03 | 16.23 ± 0.07 | 26.66 | 0.85 | 19.00 ± 0.00 | 95.73 ± 0.63 | 16.01 ± 0.23 | 26.04 |
| 11 | 250 | 75 | 7.5 | 20.13 ± 0.01 | 94.58 ± 0.12 | 16.33 ± 0.17 | 26.61 | 0.85 | 18.98 ± 0.02 | 96.77 ± 0.41 | 15.89 ± 0.11 | 26.12 |
| 12 | 250 | 120 | 5 | 20.95 ± 0.27 | 90.10 ± 0.22 | 17.78 ± 0.11 | 23.24 | 0.60 | 20.29 ± 0.12 | 94.85 ± 0.12 | 16.66 ± 0.22 | 23.47 |
| 13 | 250 | 120 | 10 | 20.84 ± 0.23 | 92.11 ± 0.19 | 17.61 ± 0.24 | 23.38 | 1.00 | 19.81 ± 0.28 | 95.13 ± 0.11 | 16.42 ± 0.17 | 23.30 |
| 14 | 275 | 30 | 5 | 20.58 ± 0.37 | 87.57 ± 1.05 | 17.81 ± 0.19 | 28.98 | 0.60 | 19.89 ± 0.30 | 93.10 ± 0.54 | 16.11 ± 0.34 | 29.99 |
| 15 | 275 | 30 | 10 | 20.50 ± 0.20 | 88.43 ± 0.43 | 17.56 ± 0.22 | 29.19 | 1.00 | 19.86 ± 0.23 | 93.72 ± 0.48 | 15.95 ± 0.46 | 29.71 |
| 16 | 275 | 75 | 7.5 | 21.74 ± 0.01 | 83.34 ± 0.04 | 19.96 ± 0.14 | 25.29 | 0.85 | 19.95 ± 0.09 | 86.68 ± 0.34 | 18.37 ± 0.03 | 25.27 |
| 17 | 275 | 75 | 7.5 | 21.80 ± 0.05 | 83.41 ± 0.03 | 20.13 ± 0.03 | 25.24 | 0.85 | 20.03 ± 0.01 | 86.89 ± 0.55 | 18.28 ± 0.06 | 25.32 |
| 18 | 275 | 75 | 7.5 | 21.77 ± 0.02 | 83.87 ± 0.49 | 20.21 ± 0.11 | 25.20 | 0.85 | 20.08 ± 0.04 | 85.71 ± 0.63 | 18.31 ± 0.03 | 25.32 |
| 19 | 275 | 75 | 7.5 | 21.71 ± 0.04 | 82.99 ± 0.39 | 20.17 ± 0.07 | 25.21 | 0.85 | 20.09 ± 0.05 | 86.73 ± 0.39 | 18.4 ± 0.06 | 25.27 |
| 20 | 275 | 75 | 7.5 | 21.71 ± 0.04 | 83.28 ± 0.10 | 20.01 ± 0.09 | 25.27 | 0.85 | 20.05 ± 0.06 | 85.70 ± 0.64 | 18.36 ± 0.02 | 25.29 |
| 21 | 275 | 120 | 5 | 22.30 ± 0.38 | 71.23 ± 0.27 | 23.95 ± 1.01 | 21.34 | 0.60 | 21.27 ± 0.19 | 73.12 ± 0.59 | 20.83 ± 1.11 | 22.06 |
| 22 | 275 | 120 | 10 | 22.16 ± 0.26 | 72.90 ± 0.11 | 23.88 ± 0.22 | 21.40 | 1.00 | 20.78 ± 0.22 | 74.88 ± 0.28 | 20.21 ± 1.02 | 22.38 |
| 23 | 300 | 30 | 7.5 | 22.09 ± 0.16 | 73.70 ± 0.32 | 22.67 ± 0.16 | 28.13 | 0.85 | 20.29 ± 0.11 | 74.85 ± 0.31 | 19.78 ± 0.10 | 28.10 |
| 24 | 300 | 75 | 5 | 23.12 ± 0.19 | 62.90 ± 1.10 | 23.90 ± 0.23 | 24.13 | 0.60 | 22.43 ± 0.16 | 71.81 ± 0.36 | 21.12 ± 0.24 | 25.18 |
| 25 | 300 | 75 | 10 | 23.05 ± 0.32 | 64.65 ± 0.64 | 23.55 ± 0.10 | 24.31 | 1.00 | 22.34 ± 0.10 | 72.89 ± 0.10 | 20.9 ± 0.11 | 25.07 |
| 26 | 300 | 120 | 7.5 | 23.87 ± 0.40 | 55.11 ± 0.45 | 25.84 ± 0.19 | 21.11 | 0.85 | 23.37 ± 0.24 | 66.22 ± 1.06 | 23.11 ± 0.09 | 21.27 |
| 27 | 350 | 30 | 7.5 | 23.99 ± 0.13 | 57.99 ± 0.29 | 24.17 ± 0.21 | 27.47 | 0.85 | 23.11 ± 0.28 | 50.87 ± 1.23 | 22.49 ± 0.15 | 28.40 |
| 28 | 350 | 75 | 5 | 25.10 ± 0.21 | 49.14 ± 0.24 | 28.11 ± 0.37 | 23.17 | 0.60 | 23.97 ± 0.23 | 46.85 ± 0.49 | 24.78 ± 0.22 | 24.17 |
| 29 | 350 | 75 | 10 | 24.77 ± 0.42 | 50.78 ± 0.57 | 27.90 ± 0.15 | 23.22 | 1.00 | 23.86 ± 0.19 | 47.04 ± 0.90 | 24.53 ± 0.31 | 24.07 |
| 30 | 350 | 120 | 7.5 | 26.09 ± 0.28 | 40.30 ± 0.39 | 29.36 ± 0.17 | 20.58 | 0.85 | 25.06 ± 0.21 | 43.90 ± 0.23 | 27.32 ± 0.29 | 20.69 |
| Responses | Types | Factors | Equations | |||||||||
|---|---|---|---|---|---|---|---|---|---|---|---|---|
| Intercept | A | B | C | AB | AC | BC | A2 | B2 | C2 | |||
| HHV | BW | 12.25 | 4.67 × 10−3 | 0.013 | 0.415 | 5.9 × 10−5 | −3.14 × 10−4 | −1.33 × 10−4 | 6.7 × 10−5 | −5.6 × 10−5 | −0.02 | (14) |
| SD | 28.69 | −0.069 | −0.02 | −12.75 | 7.7 × 10−5 | −0.002 | −0.01 | 2.0 × 10−4 | 1.81 × 10−4 | 8.51 | (15) | |
| Mass yield | BW | 43.78 | 0.53 | 0.19 | 1.67 | −8.60 × 10−4 | 0.006 | 0.002 | –0.002 | −5.6 × 10−4 | −0.21 | (16) |
| SD | 13.79 | 0.92 | 0.08 | −11.89 | −6.64 × 10−4 | 0.007 | 0.05 | −0.002 | −2.7 × 10−4 | 4.62 | (17) | |
| Fixed carbon | BW | 15.85 | −0.041 | −0.025 | −1.07 | 2.35 × 10−4 | −1.97 × 10−4 | 1.44 × 10−4 | 2.12 × 10−4 | 3.5 × 10−5 | 0.072 | (18) |
| SD | −8.12 | 0.05 | −0.020 | 18.60 | 2.57 × 10−4 | −0.001 | −0.012 | 2.1 × 10−5 | 5.2 × 10−5 | 11.48 | (19) | |
| Eco-efficiency | BW | 44.28 | −0.056 | −0.141 | 0.29 | 6.2 × 10−5 | −1.01 × 10−4 | −1.38 × 10−4 | 4.0 × 10−5 | 2.81 × 10−4 | −0.016 | (20) |
| SD | 55.12 | −0.064 | −0.140 | −23.35 | 8.98 × 10−6 | 0.003 | −0.011 | 6.6 × 10−5 | 2.92 × 10−4 | 13.38 | (21) | |
| Bark Wood (BW) | |||||||||||||||
|---|---|---|---|---|---|---|---|---|---|---|---|---|---|---|---|
| Run | Conditions | Predicted | Experiment | Percentage of Error (%E) | |||||||||||
| A: Temp (°C) | B: Time (min) | C: Size (mm) | HHV (MJ/kg) | Mass Yield (%) | Fixed Carbon (%) | Eco-Efficiency (kJ/kg CO2_eq*THB) | HHV (MJ/kg) | Mass Yield (%) | Fixed Carbon (%) | Eco-Efficiency (kJ/kg CO2_eq*THB) | HHV | Mass Yield | Fixed Carbon | Eco-Efficiency | |
| 1 | 350 | 120 | 7.5 | 26.20 | 41.80 | 30.58 | 20.24 | 25.99 ± 0.22 | 43.86 ± 0.23 | 29.38 ± 0.10 | 20.59 | 0.99 | 1.03 | 0.96 | 1.01 |
| 2 | 350 | 75 | 5 | 25.20 | 47.43 | 28.22 | 23.07 | 25.02 ± 0.18 | 48.82 ± 0.10 | 27.54 ± 0.16 | 23.17 | 0.99 | 1.03 | 0.98 | 1.00 |
| 3 | 350 | 75 | 10 | 24.96 | 52.20 | 27.96 | 23.07 | 24.83 ± 0.21 | 49.54 ± 0.16 | 26.32 ± 0.17 | 23.22 | 0.99 | 0.95 | 0.94 | 1.01 |
| 4 | 275 | 120 | 5.0 | 22.29 | 74.92 | 22.21 | 21.95 | 22.25 ± 0.11 | 73.30 ± 0.11 | 22.00 ± 0.28 | 21.34 | 1.00 | 0.98 | 0.99 | 0.97 |
| 5 | 275 | 30 | 5.0 | 20.48 | 85.98 | 18.10 | 29.35 | 20.36 ± 0.29 | 83.11 ± 0.19 | 17.87 ± 0.19 | 28.98 | 0.99 | 0.97 | 0.99 | 0.99 |
| 6 | 200 | 120 | 7.5 | 19.26 | 96.21 | 15.18 | 24.33 | 19.25 ± 0.33 | 95.67 ± 0.21 | 15.13 ± 0.20 | 24.07 | 1.00 | 0.99 | 1.00 | 0.99 |
| Sawdust (SD) | |||||||||||||||
| Run | Conditions | Predicted | Experiment | Percentage of Error (%E) | |||||||||||
| A: Temp (°C) | B: Time (min) | C: Size (mm) | HHV (MJ/kg) | Mass Yield (%) | Fixed Carbon (%) | Eco-Efficiency (kJ/kg CO2_eq*THB) | HHV (MJ/kg) | Mass Yield (%) | Fixed Carbon (%) | Eco-Efficiency (kJ/kg CO2_eq*THB) | HHV | Mass Yield | Fixed Carbon | Eco-Efficiency | |
| 1 | 350 | 120 | 0.85 | 25.32 | 38.68 | 27.32 | 20.56 | 24.95 ± 0.19 | 49.87 ± 0.20 | 26.66 ± 0.11 | 20.07 | 0.99 | 1.29 | 0.98 | 0.98 |
| 2 | 350 | 75 | 0.60 | 24.24 | 45.42 | 24.01 | 24.21 | 23.95 ± 0.25 | 46.15 ± 0.16 | 23.77 ± 0.24 | 24.17 | 0.99 | 1.02 | 0.99 | 1.00 |
| 3 | 350 | 75 | 1.00 | 24.06 | 46.25 | 23.59 | 24.20 | 23.85 ± 0.32 | 39.99 ± 0.31 | 23.10 ± 0.16 | 24.07 | 0.99 | 0.86 | 0.98 | 0.99 |
| 4 | 275 | 120 | 0.60 | 21.39 | 79.89 | 20.25 | 22.44 | 21.21 ± 0.17 | 78.85 ± 0.22 | 18.48 ± 0.26 | 22.26 | 0.99 | 0.99 | 0.91 | 0.99 |
| 5 | 275 | 30 | 0.60 | 19.40 | 89.71 | 15.62 | 30.19 | 19.01 ± 0.22 | 89.93 ± 0.25 | 14.61 ± 0.18 | 29.99 | 0.98 | 1.00 | 0.94 | 0.99 |
| 6 | 200 | 120 | 0.85 | 18.62 | 97.43 | 13.50 | 24.16 | 17.70 ± 0.29 | 97.56 ± 0.63 | 13.38 ± 0.08 | 24.21 | 0.95 | 1.00 | 0.99 | 1.00 |
Disclaimer/Publisher’s Note: The statements, opinions and data contained in all publications are solely those of the individual author(s) and contributor(s) and not of MDPI and/or the editor(s). MDPI and/or the editor(s) disclaim responsibility for any injury to people or property resulting from any ideas, methods, instructions or products referred to in the content. |
© 2024 by the authors. Licensee MDPI, Basel, Switzerland. This article is an open access article distributed under the terms and conditions of the Creative Commons Attribution (CC BY) license (https://creativecommons.org/licenses/by/4.0/).
Share and Cite
Kasawapat, J.; Khamwichit, A.; Dechapanya, W. Waste-to-Energy Conversion of Rubberwood Residues for Enhanced Biomass Fuels: Process Optimization and Eco-Efficiency Evaluation. Energies 2024, 17, 5444. https://doi.org/10.3390/en17215444
Kasawapat J, Khamwichit A, Dechapanya W. Waste-to-Energy Conversion of Rubberwood Residues for Enhanced Biomass Fuels: Process Optimization and Eco-Efficiency Evaluation. Energies. 2024; 17(21):5444. https://doi.org/10.3390/en17215444
Chicago/Turabian StyleKasawapat, Jannisa, Attaso Khamwichit, and Wipawee Dechapanya. 2024. "Waste-to-Energy Conversion of Rubberwood Residues for Enhanced Biomass Fuels: Process Optimization and Eco-Efficiency Evaluation" Energies 17, no. 21: 5444. https://doi.org/10.3390/en17215444
APA StyleKasawapat, J., Khamwichit, A., & Dechapanya, W. (2024). Waste-to-Energy Conversion of Rubberwood Residues for Enhanced Biomass Fuels: Process Optimization and Eco-Efficiency Evaluation. Energies, 17(21), 5444. https://doi.org/10.3390/en17215444

