Abstract
Sustainable biomasses are vital to ensure preservation of the Amazon biome within the Mato Grosso State whilst enabling energy generation for the region and its population. Here, the potential of the elephant grass cultivar BRS Capiaçu as an alternative to replace native forest wood as biomass for energy generation is investigated, considering the whole process from plant cultivation to biomass characterisation in terms of productivity of green and dry mass per hectare; density, moisture, ash, volatile and fixed carbon content, as well as higher heating value (HHV). MANOVA indicates that the effects of plant parts and age on density and proximate analysis parameters are influenced by the plant parts and age interaction, whereas HHV can be considered similar between them. The cultivar BRS Capiaçu showed suitable energetic values (17,922 < HHV < 18,918 kJ.kg−1) compared to that of native Amazon wood. Energetic results combined with cultivation outputs of high productivity (dry mass production of 44.1 tonnes.ha−1 at 180 days) with a short cutting interval (3 months), adaptation to the region’s climate and soil, and the possibility of cultivation in areas currently consolidated for agriculture demonstrate the potential of BRS Capiaçu as biomass to reduce native wood usage and deforestation rates.
1. Introduction
Embedded in the Brazilian Amazon biome, the State of Mato Grosso has been facing an increasing demand for biomasses able to generate energy for its population and industrial complex [1]. This demand has intensified in the last years with the expansion of corn ethanol plants [2,3], which can be associated with the high corn productivity of the region of ca. 312.5 million tons as of 2022/2023 [4]. In this regard, the use of biomass for energy generation for corn ethanol industries has numerous advantages when compared to fossil fuels, such as its renewable cycle and its high capacity to capture CO2 during its development [5].
Currently, however, forest (wood) biomass, both from reforestation and the legal suppression of native areas, is the main source of biomass for energy generation, with a small portion being supplied by agro-industrial waste [6]. Secondly, wood biomass from reforestation cannot keep up the growing demand for biomass. This scenario poses great pressure and risk to the Amazon biome in terms of sustainability, as native wood is not able to supply with the increasing need for biomass, which directly affects the biodiversity of the exploited regions.
Given the already established agricultural activity of the State of Mato Grosso [7,8], which would require no further deforestation, crop biomass from agricultural sources emerges as a renewable alternative for the use of biomass from native wood [9,10]. The term agricultural biomass refers to a subset of biomass generated solely through agricultural activities, e.g., the production of cereal grains, sugar crops, oilseeds, other arable crops, and crop by-products like straw and vegetative grasses, as well as farm forestry and livestock by-products, such as manure and animal fats [11].
For this reason, it is necessary to identify agricultural biomasses that (i) are adapted to the region (State of Mato Grosso) in terms of soil and climate; (ii) are easy to implement; (iii) can be grown in already consolidated agricultural areas, so that no new deforestation would be necessary; (iv) have a high yield; and (v) are economically viable. However, despite the existence of biomasses from sugarcane bagasse, soybean hull, cassava, acai palm, buriti palm, and others [12], there is no established renewable crop source of biomass matching the established criteria.
In this regard, elephant grass (Cenchrus purpureus, Synonym: Pennisetum purpureum) is a plant that originated in Africa and has good adaptability to the tropical region in which the Amazon is located, especially Brazil. This is due to the long process of genetic improvement stimulated by the plant’s use in animal feed [13]. Among the varieties developed in Amazonian countries, one that stands out is the BRS Capiaçu cultivar. It can produce more than 50 tonnes of dry matter per hectare per year, with a high potential for energy production due to its high fibre content, especially lignin [14]. Its low ash content, high carbon/nitrogen ratio in the stalk and high carbon and hydrogen content make it a potential biomass for energy use [15]. However, there is no viability study of the BRS Capiaçu for the State of Mato Grosso.
The available studies focus either on the agricultural aspect of elephant grass (cultivation and productivity) [14,16] or its energetic aspects as a biomass (heating value, ash content and volatiles) [17,18,19]. Moreover, regional, physiological, and botanical parameters can greatly influence the usage of elephant grass as a fuel for generating thermal energy through combustion [20].
In this scenario, the current study aims to investigate the potential of the BRS Capiaçu cultivar of elephant grass as a sustainable biomass source to replace native forest biomass in the Amazon biome of the State of Mato Grosso by taking into account the whole process from plant cultivation to biomass characterisation. The effects of (i) using specific parts of the plant (whole plant, stem, or leaf) and (ii) plant maturity (90, 120, 150, and 180 days) on the characteristics of the biomass as a fuel are also taken into consideration. For this investigation, the biomass is characterised in terms of productivity of green and dry mass per hectare; density, moisture, ash, volatile and fixed carbon content; elemental analysis, as well as higher heating value, considering combustion as the driver for energy generation by the biomass so as to replicate the conditions of industries from the region.
2. Materials and Methods
2.1. Biomass Cultivation
Elephant grass (Cenchrus purpureus, cultivar BRS Capiaçu) was grown in a one-hectare area (10,000 m2, 100 × 100 m) located in the Amazon biome at the rural area of the Municipality of Tapurah, Mato Grosso, Brazil (latitude: 12°19′ S; longitude 56°26′ W, altitude: 356 m). The soil presented sandy characteristics. According to the Köppen climate classification, the experimental field was placed in a region with a tropical savannah climate (Aw). This climate possesses two distinct seasons: a rainy season and a dry season. The crop was planted on the 2nd of July, during the region’s dry season. Temperature and precipitation data from the nearest weather station, located at the coordinates of 13°27′ S and 56°40′ W, are given in Table 1.
Table 1.
Temperature and precipitation data of the region at the time of cultivation and harvesting|Source: National Institute of Meteorology [21].
The selected cultivar of elephant grass was the BRS Capiaçu. This cultivar is characterised by late flowering, tall stature (plant height ≈ 4.2 m), erect clumps, leaves with wide (width ≈ 5.2), long (length ≈ 106 cm) and green blades, a yellowish-green leaf sheath, and a stem with a thick diameter (diameter ≈ 1.6 mm) and yellowish internodes (length ≈ 16 cm) [14].
The soil was prepared using a plough harrow to a depth of 30 cm. Subsequently, a proportion of four tonnes per hectare of limestone was applied to correct the pH of the soil. After application, the limestone was incorporated using the plough harrow and then levelled with a levelling harrow. Sowing was carried out using a disc furrower with a spacing of one metre between rows. 150 kg.ha−1 of Monoammonium Phosphate was distributed according to the recommendations for the crop and soil analysis [16]. The stems were placed at the bottom of the groove and then covered with soil [22].
The crop was kept under drip irrigation with a water depth of 6.5 mm.ha−1.day−1 to compensate for the low rainfall characteristic of the dry season of the region at the time of sowing, ensuring full plant development. Thirty days after germination, top dressing was applied with 50 kg.ha−1 of NPK 20-00-20. During cultivation, weed infestation was controlled in three ways: manually (using a hoe), mechanically (using a mower attached to the tractor), and chemically (using selective herbicides) [16].
2.2. Biomass Harvesting
After preparation and sowing, the area was divided into 16 quadrants measuring 25 × 25 m each (Figure 1). Each quadrant was labelled by its harvest age and randomly assigned a position by drawing lots, with four repetitions per age. Elephant grass was harvested at different times (90, 120, 150, and 180 days after sowing), i.e., 30 September, 30 October, 29 November, and 29 December, in order to assess the influence of maturity on productivity, physical, chemical, and energy characteristics of the biomass.
Figure 1.
Elephant grass: division of 16 areas for the harvesting.
The biomass was harvested manually with the aid of a machete, starting with a minimum of six hours of sunlight, preventing humidity outside the plant from interfering with the yield and humidity results since the mass of water condensed on the plant in the form of dew can influence these parameters. For each planting hole, two stems of elephant grass were planted. Mowing was carried out 2 cm above the ground, ensuring that the crop would regrow.
In the centre of each quadrant, a 22 m line was selected (dotted line in Figure 1), avoiding the border lines, to circumvent interferences such as light, sunshine, and other climatic factors. Once a line had been selected, it was cut in its entirety. For each plant age, there were four quadrants. From each quadrant, 5 kg of each part of the grass was obtained (whole plant, stem, and leaf), totalling 20 kg of each part.
After harvesting, each group was subjected to uniform granulometry in a Forage Crusher (Supplier: Trapp, Model: TRF 400 Super, Location: Jaraguá do Sul, Brazil) without a sieve. These homogenates were sent to the laboratory and subjected to different analyses, some of which were carried out on fresh material (at the harvesting moisture) and others on dried material.
2.3. Biomass Characterisation
A schematic representation of the characterisation of the biomass for the present study is given in Figure 2.
Figure 2.
Schematisation of the elephant grass biomass characterisation: each process is marked in green, and each property of the biomass is marked in orange.
The green matter yield (or productivity) of the elephant grass in tonnes.ha−1 was calculated for each age by dividing the mass produced by the area harvested in the quadrant at the harvesting moisture.
The material and containers were weighed on a scale accurate to 0.0001 g (Supplier: Weblabor, Model: M254Ai, Location: Monza, Italy). The density was measured considering a fixed volume of 1.9 cm3. The water content was determined using 7 g samples in quintuplicate. The samples were weighed into ceramic containers of known mass. After the initial weighing, the material was taken to a forced circulation oven (Supplier: Solab, Model: SL-102, Location: Piracicaba, Brazil) at 105 °C for 24 h to remove all the water contained in the samples. The water content was calculated according to the following:
where corresponds to the initial mass of the sample before the drying, and corresponds to the final mass of the sample after complete drying. The water content is expressed as a percentage on a wet basis (% w.b.).
Dry matter productivity () was calculated from the green matter yield (), both expressed in tonnes.ha−1 and the water content of the material, according to the following:
The volatile content, fixed carbon content, and ash content were determined in accordance with the ASTM D1762-84 [23], considering the sample without water content. For the volatile content , the samples were heated in a muffle oven at 950 °C:
where corresponds to the initial mass of the sample before the muffle heating, and corresponds to the final mass of the sample after heating. For the determination of the ash content , the samples were heated in a muffle oven at 750 °C for six hours:
where corresponds to the initial mass of the sample without water and volatiles, and corresponds to the final mass of the sample after heating. Finally, the fixed carbon content was obtained from the following:
For the elemental analysis, the determination of nitrogen (N) content was carried out using sulfuric digestion, whereas the method of nitric-perchloric digestion was employed for the measurement of phosphorus (P), potassium (K), calcium (Ca), magnesium (Mg), and sulphur (S).
The higher heating value (HHV) of the completely dry sample was determined in accordance with the NBR 8633 [24]. For this purpose, a calorimeter operating in isoperibolic mode was used (Supplier: IKA, Model: C-200, Location: Staufen, Germany). The calorimeter was calibrated with benzoic acid tablets (Supplier: IKA, Type: C 723, Location: Staufen, Germany) with a heating value of 26,460 kJ.kg−1.
3. Results and Discussion
3.1. Productivity Analysis
As shown in Figure 3, the total green matter productivity (whole plant) of elephant grass, determined from the sum of the results of the stem and leaf yields, was 155.99, 156.00, 132.18, and 135.80 tonnes.ha−1 for the 90-, 120-, 150-, and 180-day periods evaluated, respectively. Dry matter productivity went from 29.88 tonnes.ha−1 at 90 days to 35.71 tonnes.ha−1 at 120 days and 39.87 tonnes.ha−1 at 150 days, culminating in 44.10 tonnes.ha−1 at 180 days. For the whole plant and the leaf, the highest yields were seen at the youngest ages. With regard to dry matter yield, this parameter grew with increasing age in the whole plant and stem categories. The leaf showed the highest dry matter yield (13.46 tonnes.ha−1) at 90 days. When comparing leaf and stem yields at all ages studied, the highest yields were observed for the stem.
Figure 3.
Green and dry matter yields (productivity) of the elephant grass cultivar BRS Capiaçu in each category at 90, 120, 150, and 180 days of age.
Although the green mass yield decreased slightly after 120 days, the dry mass yield increased steadily as the days after planting increased (plant maturity). The same trend of increasing dry yield with increasing age was observed for other elephant grass genotypes [25,26]. This may be associated with the decrease in water content, which went from 81.9% at 90 days to 67.7% after 180 days. One reason for this behaviour can be related to the physiology of elephant grass. In its youngest stages (90 days), the stem and leaves are very similar, with a high degree of humidity [27]. The reduction in green mass yield for the whole plant and for the leaf with increasing age may be associated with the decrease in water content associated with the ripening process [28].
The difference in green and dry mass yields observed between plant parts and grouped according to age is related to the plant’s physiological processes, in which there is a greater concentration of biomass in the stem compared to the leaves, both for green and dry mass, a behaviour that becomes more pronounced with increasing age. This increase can be associated with the process of fibre deposition that takes place in the stem of elephant grass plants [28].
As the plant matures, in its final stages, the stem becomes more fibrous (with less moisture), and thus, the dry mass of the plant increases. In energy terms, a greater amount of dry mass is more desirable. However, the balance between biomass availability (waiting time for the plant to mature) and higher dry mass productivity with greater maturity still needs further study.
In addition, the yield of 44.1 tonnes.ha−1 after 180 days in this study is similar to the figure of 49.75 tonnes ha−1 obtained in another study published by Pereira et al. [14] for the BRS Capiaçu. At the same time, the current productivity is greater than the one obtained by Vidal et al. [25] for four elephant grass genotypes (not including BRS Capiaçu), which ranged between 19.11 and 27.58 tonnes.ha−1. These results support the understanding of good cultivation and harvest quality.
3.2. Proximate Analysis
The multivariate analysis of variance (MANOVA) in a 3 × 4 factorial arrangement to explain the effect of age, plant part, and the interaction between age and plant part on the density, as well as water, volatile, ash, and fixed carbon contents is shown in Table 2 for two tests:
Table 2.
MANOVA results for the statistical assessment of the effect of age, plant part, and interaction age/plant part on the density, water, volatile, ash, and fixed carbon contents.
- Wilks’ lambda (test values from 0 to 1): proportion of variance on the dependent variable that is unaccounted by the independent variables; lower values indicate a stronger effect of independent variables on the variance of dependent variables.
- Pillai’s trace (test values from 0 to 1): effect of independent variable on dependent results; values close to 1 suggest a strong effect of independent variables on dependent variables.
The MANOVA suggests a significant impact of age, plant part, as well as their interaction (age and plant part) on the results of density and proximate analysis (water, volatile, fixed carbon, and ash contents). The plant part exhibits higher F-values, which might indicate that its effect is stronger than the age and the interaction. Based on these findings through MANOVA, the parameters previously investigated in a 3 × 4 factorial arrangement were considered individually, giving a total of 12 different treatments and no longer three plant parts at each of the four ages assessed. For each of the parameters of the density and proximate analysis (water, volatile, fixed carbon, and ash contents), the average and standard error values from the measurement of five repetitions were calculated. The water, volatile, and fixed carbon contents are expressed in a dry basis, i.e., considering the sample without water.
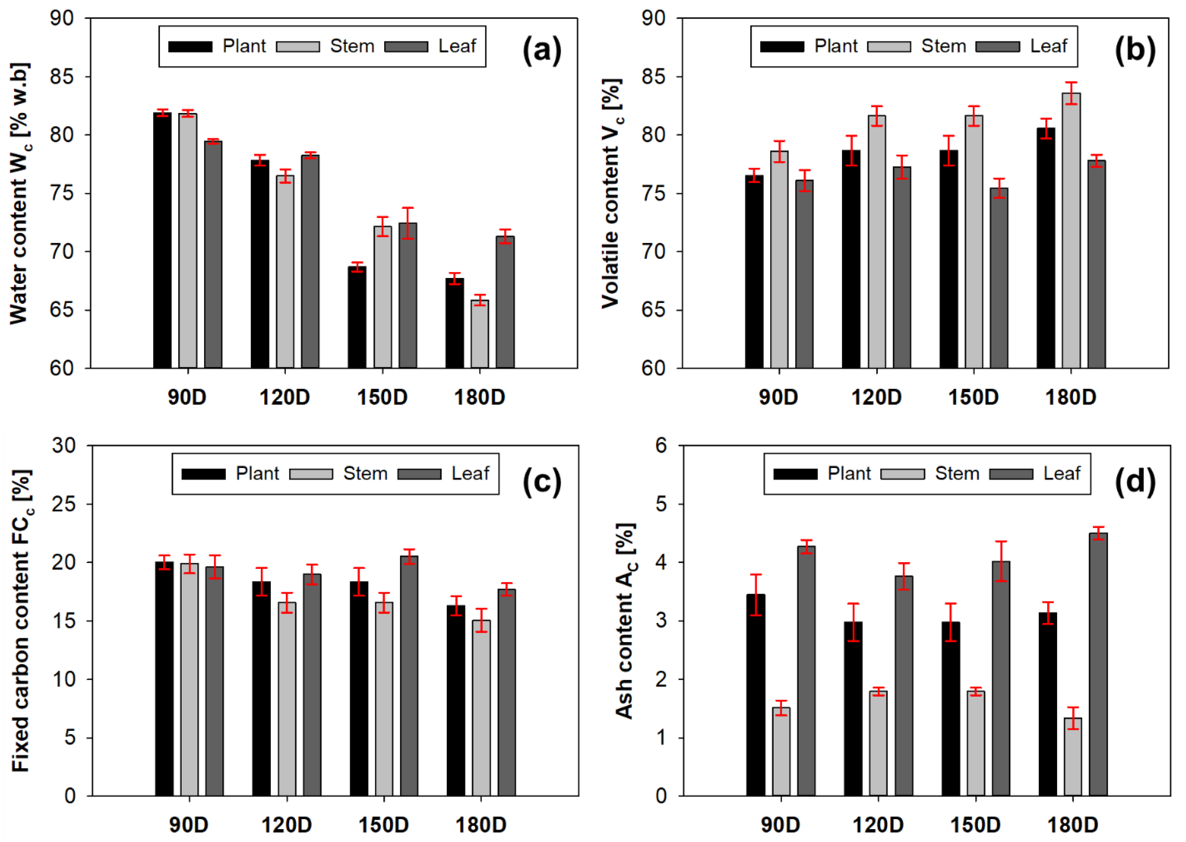
In terms of water content (Figure 4a), it was found that the 90-day whole plant and 90-day stem had the highest moisture content at harvest (81.91 ± 0.29 and 81.85 ± 0.30% w.b.), followed by the group with the 90-day leaf (79.45 ± 0.20% w.b.), 120-day leaf (78.26 ± 0.27% w.b.), and 120-day whole plant (77.84 ± 0.47% w.b.). The average water content value for the 120-day stem (76.49 ± 0.57% w.b.) differed from all the other treatments. The values found for the water content of the leaf at 150 days (72.42 ± 1.33% w.b.) were similar to the stem at the same age (72.14 ± 0.83% w.b.) and the leaf at 180 days (71.31 ± 0.57% w.b.). The water content of the whole plant at 150 days did not differ from the whole plant at 180 days (68.70 ± 0.39 and 67.70 ± 0.48% w.b.). The stem harvested at 180 days had the lowest average value for water content, 65.84 ± 0.46% w.b. In the current study, the water content in the whole plant ranged between 67.7% (180 days) and 81.9 (90 days). The values at an earlier age are close to that of Vidal et al. [25] but lie outside the range for the latter age. The authors have investigated eight genotypes (not including BRS Capiaçu) of the whole plant of elephant grass, obtaining a water content range of 40.8–76.7% for an age of 84 days and of 60.1–65.3% for an age of 168 days.
Figure 4.
Results of water content (a), volatile content (b), fixed carbon content (c), and ash content (d) for each category (whole plant, stem, and leaf) at 90, 120, 150, and 180 days of age.
The water content in all parts of the plants studied showed a reduction with increasing age. This fact can be attributed to the physiology of elephant grass, which accumulates dry matter to the detriment of water during the ripening process [28]. For use as fuel, the presence of water in biomass is undesirable since part of its energy is used in the evaporation of water, making this portion of energy unavailable for the desired thermal processes [29].
Based on the review of Johannes et al. [20], a benchmark of reference parameters containing fixed carbon content, volatile content, ash content, and higher heating value for elephant grass is given in Table 3.
Table 3.
Benchmark data of biomass parameters from elephant grass—adapted and extended from Johannes et al. [20].
For the current study, the highest volatile content (Figure 4b) was obtained for the 180-day stem (83.60 ± 0.47%), followed by the 150-day stem (81.64 ± 0.41%). The whole plant at 150 days (79.86 ± 0.52%) and 180 days (80.56 ± 0.42%) showed similar results. The whole plant at 120 days had a volatile content of 78.68 ± 0.63%, a similar result to the stem at 90 days (78.60 ± 0.46%), the stem at 120 days (78.67 ± 0.63%), and the leaf at 180 days (77.26 ± 0.50%). Those with the lowest values were the leaves at the ages of 90 (76.11 ± 0.46%), 120 (77.26 ± 0.50%), 150 (75.46 ± 0.41%), and the whole plant at 90 days (76.54 ± 0.29%). For the whole plant, the range between 76.54% (90 days) and 80.56 (180 days) lies within the benchmark data from Table 3, whose volatile contents varied between 67.3 and 82.4%
For biomasses, the presence of volatile materials is directly related to the ease of the combustion reaction. This is because volatile materials confer high reactivity, influencing ignition characteristics. High levels of volatile materials indicate easier ignition and a consequent higher release of energy [38]. The fixed carbon expresses the fraction of solid carbon in the biomass under the characteristic conditions of combustion that remain after devolatilisation [39]. By knowing these two parameters, it is possible to design or even adjust the operating conditions of the equipment intended for the combustion reaction of the biomass in question [40].
For the fixed carbon content (Figure 4c), the whole plant at 90 days had an average value of 20.01 ± 0.30%, similar to the leaf (19.62 ± 0.49%), the stem at the same age (19.89 ± 0.40%), and the leaf at 150 days (20.52 ± 0.31%). Slightly lower results were observed for the leaf (18.98 ± 0.42%), stem (18.39 ± 0.41%), and whole plant (18.34 ± 0.59%) harvested at 120 days. The whole plant at 150 days (17.43 ± 0.48%) and the leaf at 180 days (17.70 ± 0.26%) produced similar results. The stem at 150 days (16.56 ± 0.43%) and the whole plant at 180 days (16.30 ± 0.41%) were grouped by their average values. The lowest value for fixed carbon content was observed for stem harvested at 180 days, whose average value was 15.06 ± 0.49%. Considering the whole plant, the fixed carbon content ranged between 16.3% (180 days) and 20.0% (90 days). These values lie closer to the upper bound or even outside the benchmark data from Table 3, whose values varied between 7.7 and 18.8%.
The differences observed in the volatile material and fixed carbon content between the evaluated plant parts and ages can be explained by the plant’s physiology. During the plant’s phenological stages, the vegetative growth phase is characterised by intense synthesis of compounds, many of which are soluble, while others are fixed in the form of fibrous carbohydrates [41]. Elephant grass has a perennial vegetative cycle, so at all stages the plant is in the process of synthesising new compounds [14]. With increasing age, the cultivar BRS Capiaçu concentrates the fatty acid content, which may justify the higher content of volatile materials in the stem at 180 days when compared to other ages [42]. As the fixed carbon content is determined by the difference between the total mass and the sum of the mass of volatiles and ash, the behaviour observed was also influenced by the physiological process of the plant synthesising compounds.
For the ash content (Figure 4d), it was found that the leaves with the highest and lowest ages, 180 (4.50 ± 0.06%) and 90 days (4.27 ± 0.06%), showed the highest amounts of ash, followed by leaves with 120 (3.76 ± 0.11%) and 150 (4.02 ± 0.17%) days. The 90-day whole plant (3.45 ± 0.17%) was similar to the 180-day whole plant (3.13 ± 0.09%). The averages for the 120-day whole plant (2.97 ± 0.16%), the stem at the same age (2.93 ± 0.30%), and the 150-day whole plant (2.71 ± 0.05%) were then grouped together. The lowest ash contents were observed for the stems at 90 (1.51 ± 0.06%), 150 (1.79 ± 0.03%), and 180 days (1.34 ± 0.09%). Considering the whole plant, the ash content varied between 2.71 (150 days) and 3.45% (90 days), making the current results close to the lower bound compared to the benchmark data from Table 3, whose ash contents varied between 3.0 and 13.0%.
The ash content represents the mineral content of the biomass [29]. The movement of minerals in the plant results in their greater deposition in the leaves, which leads to higher ash content at the leaves compared to the stem [41,43]. The ash-forming elements (e.g., P, K, Ca, Mg, and S) contained in the biomass have a crucial role in the combustion in terms of whether slagging, corrosion, and particle emissions could be induced [44]. Moreover, authors have proposed a negative correlation between the ash content and the energetic potential (HVV) of biomasses [20,40,45].
These considerations can be corroborated by the elemental analysis of N, P, K, Ca, Mg, and S for the elephant grass, which is shown in Table 4. Here, it is possible to observe that the elemental contents are always larger for the leaf, followed by the whole plant and then the stem, regardless of the type of element and plant age. These findings are shown graphically in Figure 5. The highest content is found for nitrogen, followed by potassium, whereas calcium, magnesium, and sulphur are available in lesser content.
Table 4.
Element analysis of the elephant grass.
Figure 5.
Correlation of the sum of ash-forming elements from elemental analysis with the ash content of elephant grass for different plant parts and plant ages.
By taking the sum of ash-forming elements (P, K, Ca, Mg, and S) [44] from Table 4 and correlating them with the ash content found in Figure 4, one can obtain a linear relationship with a coefficient of determination R2 of 0.72, as seen in Figure 5.
The density measurements (Table 5) revealed an increase in this property occurring from the leaf to the whole plant and then to the stem at all ages, with the 120-day stem having the highest value. Density is a property that measures the ratio of total mass to occupied volume. In this regard, both dry matter and water mass influenced this result. The stem is the part of the plant that concentrates most of the dry matter, which generated the highest density values. This can be explained by the physiological process of fibrous carbohydrate deposition in this part of the plant, which increases with age [28,46].
Table 5.
Density of Cenchrus purpureus cultivar BRS Capiaçu as a function of plant parts and ages.
3.3. Energetic Analysis
The results from the higher heating value (HHV) from the elephant grass cultivar BRS Capiaçu for different plant parts and ages are given in Table 6. There was no effect of plant part (F = 0.03; p = 0.95), age (F = 0.55; p = 0.62), or the interaction plant part * age (F = 0.16; p = 0.94) on the HHV.
Table 6.
Higher heating values of the elephant grass cultivar BRS Capiaçu as a function of plant parts and ages in descending order.
The low variation of the HHV independent of plant part or age can be quantified by dividing the lowest value of HHV (17,922 kJ.kg−1, leaf, 180 days) by the highest HHV value 18,918 kJ.kg−1, whole plant, 90 days), which leads to a value of 94.7%, i.e., a variation of less than 5%. This suggests that BRS Capiaçu can deliver a relatively high energy output from an early growth stage, enabling efficient energy production early in its biomass cycle and maximising energy output and economic viability while reducing the time and resources required for cultivation and harvesting.
In comparison, Rocha et al. [40] obtained HVVs of 18,110 kJ.kg−1 and 18,160 kJ.kg−1 for the genotypes Napier and Cameroon, respectively. Taking into account the benchmark values in Table 3, which varied between 14,700 and 18,550 kJ.kg−1, the HVVs obtained in the current study are located in the upper bound.
4. Comparative Evaluation of Elephant Grass Cultivar BRS Capiaçu as an Alternative Biomass
Green mass productivity expresses the crop’s agronomic potential, while dry mass productivity is linked to the biomass’s energy potential [47]. When considering BRS Capiaçu as a possible alternative for native forest biomass, the results obtained in this work indicate that considering a dry matter yield of 44.1 tonnes.ha−1 and two harvests per year (180-day cycle), BRS Capiaçu can reach a dry matter productivity of 88.20 tonnes.ha−1.year−1. This value can be higher than the estimated production of native forest biomass in the Amazon region, which varies according to the vegetation type, ranging from 20.1 tonnes.ha−1 (woodland savanna) to 254.8 tonnes.ha−1 (old-growth terra firme forest) [48] with the advantage of generating no extra deforestation. Eucalyptus, which is widely established as a reforestation tree in the Mato Grosso State, was selected as a second benchmark for comparison. The productivity of eucalyptus was reported as 20.7 [49] and 60.0 tonnes.ha−1.year−1 [50].
In addition to the annual productivity, BRS Capiaçu has another advantage, namely its periodicity. While the elephant grass allows a cutting cycle of up to 180 days, the mature forest has periods of more than 3 decades [46,49]. In the same sense, the waiting period for the first cut of eucalyptus ranges between 7–8 years [49]. This is due to the fact that elephant grass has high rates of conversion of atmospheric carbon into biomass, higher than most crops, including forest biomass [51].
In terms of production, BRS Capiaçu also has the advantage of being a perennial cultivar that does not require annual sowing. In this sense, the environmental impact of introducing the cultivation of this elephant grass cultivar is reduced, as it can be implemented in consolidated agricultural regions without deforestation of native forests.
The results obtained in this work for proximate analysis (water, volatile, fixed carbon, and ash content) of the cultivar BRS Capiaçu revealed that it has characteristics similar to forest biomass typical of the Amazon region, with emphasis on stem harvested at 180 days. These results demonstrated the similarity of this cultivar to high-density timber species with good energy characteristics [52,53,54,55,56].
The relatively lower density values found for the cultivar BRS Capiaçu are not comparable to the densities of eucalyptus and wood from Amazonian forest regions [57]. This point highlights the ability of timber plant species to concentrate energy through the densification of carbon in their structures, a process that takes years to materialise. Grass, on the other hand, concentrates large amounts of carbon but without densifying it, which generates large volumes. Artificial densification, such as the production of briquettes or pellets, could be a strategy to make the use of this material even more viable in logistical terms [58] since the transport of low-density materials substantially increases the cost of operations [59].
The energy concentrated in elephant grass, measured by the material’s higher heating value, demonstrates its potential for energy use. The range of higher heating value between 17,922 and 18,600 kJ.kg−1 obtained is similar to that of eucalyptus (e.g., 18,500–19,222 [60]. From an energy point of view, the BRS Capiaçu is competitive with native wood from the Amazon. These energetic values can be lower than those typical for species native to the Amazon region, which are generally higher than 19,000 kJ.kg−1 [52,53,54], but they come from the BRS Capiaçu cultivar that at the same time does not lead to deforestation and is renewable.
From an economic perspective, studies revealed that elephant grass ash can be used for other applications capable of generating added value [61,62]. In addition, elephant grass can also be used for animal feeding, whereas native Amazon wood does not allow this possibility. Finally, due to its low complexity in terms of machinery (allowing sowing and harvesting by hand) and faster return on investment (from 3 months after planting), elephant grass might present economic advantages over native wood.
It is important to highlight that the current findings are limited to the Amazon biome within the State of Mato Grosso, thus confined to the tropical savanna climate. Moreover, the productivity was not optimised to the best sowing period and can vary according to the rain in a given year.
5. Conclusions
In the current study, the potential of the elephant grass Cenchrus purpureus cultivar BRS Capiaçu as a sustainable alternative biomass source for energy generation to replace native forest wood within the Amazon biome of the Mato Grosso State was investigated. The biomass was characterised in terms of the productivity of green and dry mass per hectare; density, moisture, ash, volatile and fixed carbon content, as well as higher heating value. The effects of plant age (90, 120, 150, and 180 days) as well as plant part (leaf, stem, or whole plant) were taken into consideration.
The cultivar BRS Capiaçu has shown great adaptability to the region’s soil and climate conditions. Its physical, chemical, and energy parameters have demonstrated qualitative attributes to be strategically considered as a feedstock for use in biomass combustion heat generation systems. In addition, the cultivar BRS Capiaçu is a perennial plant (not requiring annual replanting) and can be grown in areas that are currently consolidated for agriculture, which reduces the pressure to deforest new agricultural regions. MANOVA has revealed that in terms of effect, plant age, plant part, and their interaction impacted the density, as well as water, volatile, ash, and fixed carbon contents.
From an energetic perspective, the cultivar BRS Capiaçu showed suitable energetic values (17,515 < HHV < 18,918 kJ.kg−1) compared to that of native Amazon wood. High productivity (dry mass yield of 44.0 tonnes.ha−1) and the possibility of a short cutting interval (3 months) can be added to this energetic factor. All these factors combined suggest the high suitability of cultivar BRS Capiaçu as a biomass alternative within the Amazon biome in the Mato Grosso State. The environmental benefits of replacing native forest biomass with the cultivar BRS Capiaçu can be significant, especially when taking into consideration its potential for reducing deforestation rates in the Amazon and carbon cycling parameters.
Author Contributions
R.C.B.: Conceptualisation (lead); writing—original draft (lead); methodology (equal); investigation (lead); visualisation (lead); formal analysis (lead). C.d.S.T.: investigation (support); formal analysis (support). V.C.B.: writing—original draft (support); visualisation (support); formal analysis (support). R.M.N.: supervision (support); writing—original draft (support); methodology (equal); formal analysis (support). E.M.P.: supervision (lead); writing—original draft (support); methodology (equal); formal analysis (support). All authors have read and agreed to the published version of the manuscript.
Funding
V.C. Beber acknowledges the funding from CAPES (Coordenação de Aperfeiçoamento de Pessoal de Nível Superior) through the Science without Borders program under the grant BEX13458/13-8.
Data Availability Statement
Data available on request from the authors.
Conflicts of Interest
The authors declare no conflicts of interest.
References
- Garrett, R.D.; Cammelli, F.; Ferreira, J.; Levy, S.A.; Valentim, J.; Vieira, I. Forests and Sustainable Development in the Brazilian Amazon: History, Trends, and Future Prospects. Annu. Rev. Environ. Resour. 2021, 46, 625–652. [Google Scholar] [CrossRef]
- Silva, A.L.d.; Castañeda-Ayarza, J.A. Macro-environment analysis of the corn ethanol fuel development in Brazil. Renew. Sustain. Energy Rev. 2021, 135, 110387. [Google Scholar] [CrossRef]
- Alonso Pippo, W.; Alves, A. Corn Ethanol in Brazil: Analyzing the Prospect of Becoming a Widespread Practice in South America. Sugar Tech 2022, 24, 857–869. [Google Scholar] [CrossRef]
- CONAB Brazil’s National Supply Company: Safra Brasileira de Grãos. Available online: https://www.conab.gov.br/info-agro/safras/graos (accessed on 5 July 2024).
- Lewandrowski, J.; Rosenfeld, J.; Pape, D.; Hendrickson, T.; Jaglo, K.; Moffroid, K. The greenhouse gas benefits of corn ethanol—Assessing recent evidence. Biofuels 2020, 11, 361–375. [Google Scholar] [CrossRef]
- Santos Júnior, E.P.; Silva, E.G.M.; de Sousa, M.H.; Dutra, E.D.; da Silva, A.S.A.; Sales, A.T.; de Sa Barretto Sampaio, E.V.; Coelho Junior, L.M.; Menezes, R.S.C. Potentialities and Impacts of Biomass Energy in the Brazilian Northeast Region. Energies 2023, 16, 3903. [Google Scholar] [CrossRef]
- VanWey, L.K.; Spera, S.; de Sa, R.; Mahr, D.; Mustard, J.F. Socioeconomic development and agricultural intensification in Mato Grosso. Philos. Trans. R. Soc. Lond. B Biol. Sci. 2013, 368, 20120168. [Google Scholar] [CrossRef]
- Yoshikawa, S. Agro-Pastoral Expansion and Land Use/Land Cover Change Dynamics in Mato Grosso, Brazil. Earth 2023, 4, 823–844. [Google Scholar] [CrossRef]
- Ramli, A.N.; Jamek, S.; Azelee, N.I.; Manas, N.H.; Munir, N.; Patil, R. Agriculture Biomass Characterization and Exploitation. In Reference Module in Earth Systems and Environmental Sciences; Elsevier: Amsterdam, The Netherlands, 2023; ISBN 9780124095489. [Google Scholar]
- Mitchell, R.B.; Schmer, M.R.; Anderson, W.F.; Jin, V.; Balkcom, K.S.; Kiniry, J.; Coffin, A.; White, P. Dedicated Energy Crops and Crop Residues for Bioenergy Feedstocks in the Central and Eastern USA. Bioenergy Res. 2016, 9, 384–398. [Google Scholar] [CrossRef]
- Janiszewska, D.; Ossowska, L. The Role of Agricultural Biomass as a Renewable Energy Source in European Union Countries. Energies 2022, 15, 6756. [Google Scholar] [CrossRef]
- Alarcon, R.T.; Lamb, K.J.; Bannach, G.; North, M. Opportunities for the Use of Brazilian Biomass to Produce Renewable Chemicals and Materials. ChemSusChem 2021, 14, 169–188. [Google Scholar] [CrossRef]
- Sánchez-Guerra, N.A.; Gonzalez-Ronquillo, M.; Anderson, R.C.; Hume, M.E.; Ruiz-Albarrán, M.; Bautista-Martínez, Y.; Zúñiga-Serrano, A.; Nájera-Pedraza, O.G.; Salinas-Chavira, J. Improvements in fermentation and nutritive quality of elephant grass Cenchrus purpureus (Schumach.) Morrone silages: A review. Trop. Anim. Health Prod. 2024, 56, 171. [Google Scholar] [CrossRef] [PubMed]
- Pereira, A.V.; Lédo, F.J.d.S.; Machado, J.C. BRS Kurumi and BRS Capiaçu—New elephant grass cultivars for grazing and cut-and-carry system. Crop Breed. Appl. Biotechnol. 2017, 17, 59–62. [Google Scholar] [CrossRef]
- Paterlini, E.M.; Arantes, M.D.C.; Goncalves, F.G.; Vidaurre, G.B.; Bauer, M.d.O.; Moulin, J.C. Evaluation of elephant grass for energy use. J. Biotechnol. Biodivers. 2013, 4, 119–125. [Google Scholar]
- Retore, M.; Alves, J.; Orrico Júnior, M.; Mendes, S. Qualidade da Silagem do Capim-Elefante BRS Capiaçu; EMPRABA: Dourados, Brazil, 2020. [Google Scholar]
- Alves, F.G.D.S.; Silva, S.F.; Santos, F.N.D.S.; Carneiro, M.S.D.S. Elephant grass: A bioenergetic resource. Nucl. Anim. 2018, 10, 117–130. [Google Scholar] [CrossRef]
- Fontoura, C.F.; Brandão, L.E.; Gomes, L.L. Elephant grass biorefineries: Towards a cleaner Brazilian energy matrix? J. Clean. Prod. 2015, 96, 85–93. [Google Scholar] [CrossRef]
- da Silva, H.J.T.; Santos, P.F.A.; Nogueira Junior, E.C.; Vian, C.E.D.F. Aspectos técnicos e econômicos da produção de etanol de milho no Brasil. Rev. Polícola 2020, 29, 142. [Google Scholar]
- Johannes, L.P.; Minh, T.T.N.; Xuan, T.D. Elephant Grass (Pennisetum purpureum): A Bioenergy Resource Overview. Biomass 2024, 4, 625–646. [Google Scholar] [CrossRef]
- National Institute of Metereology. Metereological Historical Data for 2022—City: Sao José do Rio Claro, State of Mato Grosso. Available online: https://portal.inmet.gov.br/dadoshistoricos (accessed on 12 August 2024).
- Fernandes, D.M.M.; Karnopp, E. A Agricultura familiar e a cadeia produtiva de alimentos orgânicos: Conquistas. RDE 2018, 1, 130. [Google Scholar] [CrossRef]
- ASTM D1762-84; Standard Test Method for Chemical Analysis of Wood Charcoal. ASTM: West Conshohocken, PA, USA, 2021.
- NBR 8633; Carvão Vegetal—Determinação do Poder Calorífico (Charcoal—Determination of Calorific Value). ABNT: Rio de Janeiro, Brazil, 1983.
- Ana, K.F.V.; Da Tatiane, C.B.; Rogerio, F.D.; Janeo, E.A.F.; Roberta, S.N.d.L.; Rafael, S.F.; Drieli, A.R.; Da Erik, S.O.; Da Bruna, R.S.M.; Geovana, C.E.; et al. Production potential and chemical composition of elephant grass (Pennisetum purpureum Schum.) at different ages for energy purposes. Afr. J. Biotechnol. 2017, 16, 1428–1433. [Google Scholar] [CrossRef]
- Freitas, R.S.; Da Barbé, T.C.; Daher, R.F.; Vidal, A.K.F.; Stida, W.F.; Da Silva, V.B.; Da Menezes, B.R.S.; Pereira, A.V. Chemical Composition and Energy Yield of Elephant-Grass Biomass as Function of Five Different Production Ages. J. Agric. Sci. 2017, 10, 343. [Google Scholar] [CrossRef]
- Rodrigues, J.D.; Jadoski, C.J.; Fagan, E.B.; Ono, E.O.; Soares, L.H.; Neto, D.D. Fisiologia da Produção de Cana-de-Açúcar; Andrei Editora: São Paulo, Brazil, 2018. [Google Scholar]
- Ferreira, E.A.; de Abreu, J.G.; Martinez, J.C.; Braz, T.G.d.S.; Ferreira, D.P. Cutting ages of elephant grass for chopped hay production. Pesqui. Agropecu. Trop. 2018, 48, 245–253. [Google Scholar] [CrossRef]
- de Favare, H.G.; de Abreu, J.G.; de Barros, L.V.; Da Silva, F.G.; Ferreira, L.M.M.; Barelli, M.A.A.; Da Neto, I.M.S.; Cabral, C.E.A.; Peixoto, W.M.; Da Campos, F.I.S.; et al. Bromatological Composition of Elephant Grass Genotypes for Bioenergy Production. J. Exp. Agric. Int. 2019, 38, 1–12. [Google Scholar] [CrossRef]
- Strezov, V.; Evans, T.J.; Hayman, C. Thermal conversion of elephant grass (Pennisetum purpureum Schum) to bio-gas, bio-oil and charcoal. Bioresour. Technol. 2008, 99, 8394–8399. [Google Scholar] [CrossRef] [PubMed]
- Ferreira, S.D.; Manera, C.; Silvestre, W.P.; Pauletti, G.F.; Altafini, C.R.; Godinho, M. Use of Biochar Produced from Elephant Grass by Pyrolysis in a Screw Reactor as a Soil Amendment. Waste Biomass Valor. 2019, 10, 3089–3100. [Google Scholar] [CrossRef]
- Collazzo, G.C.; Broetto, C.C.; Perondi, D.; Junges, J.; Dettmer, A.; Dornelles Filho, A.A.; Foletto, E.L.; Godinho, M. A detailed non-isothermal kinetic study of elephant grass pyrolysis from different models. Appl. Therm. Eng. 2017, 110, 1200–1211. [Google Scholar] [CrossRef]
- de Conto, D.; Silvestre, W.P.; Baldasso, C.; Godinho, M. Performance of rotary kiln reactor for the elephant grass pyrolysis. Bioresour. Technol. 2016, 218, 153–160. [Google Scholar] [CrossRef]
- Mesa-Pérez, J.M.; Cortez, L.A.; Marín-Mesa, H.R.; Rocha, J.D.; Peláez-Samaniego, M.R.; Cascarosa, E. A statistical analysis of the auto thermal fast pyrolysis of elephant grass in fluidized bed reactor based on produced charcoal. Appl. Therm. Eng. 2014, 65, 322–329. [Google Scholar] [CrossRef]
- García, J.C.; Alfaro, A.; Loaiza, J.M.; Lozano-Calvo, S.; López, F. Cold alkaline extraction of Elephant grass for optimal subsequent extraction of hemicelluloses and energy production. Biomass Conv. Bioref. 2024, 14, 8307–8320. [Google Scholar] [CrossRef]
- Efetobor, U.J.; Ikpeseni, S.C.; Sada, S.O. Determination of proximate, ultimate and structural properties of elephant grass as biomass material for bio-oil production. J. Appl. Sci. Environ. Manag. 2022, 26, 1903–1907. [Google Scholar] [CrossRef]
- Reza, M.S.; Islam, S.N.; Afroze, S.; Abu Bakar, M.S.; Sukri, R.S.; Rahman, S.; Azad, A.K. Evaluation of the bioenergy potential of invasive Pennisetum purpureum through pyrolysis and thermogravimetric analysis. Energy Ecol. Environ. 2020, 5, 118–133. [Google Scholar] [CrossRef]
- Sha, D.; Li, Y.; Zhou, X.; Zhang, J.; Zhang, H.; Yu, J. Influence of Volatile Content on the Explosion Characteristics of Coal Dust. ACS Omega 2021, 6, 27150–27157. [Google Scholar] [CrossRef] [PubMed]
- Jia, Y.; Li, Z.; Wang, Y.; Wang, X.; Lou, C.; Xiao, B.; Lim, M. Visualization of Combustion Phases of Biomass Particles: Effects of Fuel Properties. ACS Omega 2021, 6, 27702–27710. [Google Scholar] [CrossRef] [PubMed]
- Rocha, J.R.d.A.S.d.C.; Machado, J.C.; Carneiro, P.C.S.; Da Carneiro, J.C.; Resende, M.D.V.; Pereira, A.V.; Carneiro, J.E.d.S. Elephant grass ecotypes for bioenergy production via direct combustion of biomass. Ind. Crop. Prod. 2017, 95, 27–32. [Google Scholar] [CrossRef]
- Kochhar, S.L.; Gujral, S.K. Plant Physiology: Theory and Applications, 2nd ed.; Cambridge University Press: New York, NY, USA, 2020; ISBN 9781108486392. [Google Scholar]
- Monção, F.P.; Costa, M.A.M.S.; Sampaio, J.P.; Gomes, M.; Leal, D.B.; Maranhão, C.M.A.; Albuquerque, C.J.B.; Chamone, J.M.A. Yield and Nutritional Value of BRS Capiaçu Grass at Different Regrowth Ages Produtividade e Valor Nutricional do Capim-Elefante cv. BRS Capiaçu em Diferentes Idades de Rebrota. Semin. Ciências Agrárias Londrina 2019, 40, 2045–2056. [Google Scholar] [CrossRef]
- Monti, A.; Di Virgilio, N.; Venturi, G. Mineral composition and ash content of six major energy crops. Biomass Bioenergy 2008, 32, 216–223. [Google Scholar] [CrossRef]
- Vassilev, S.V.; Vassileva, C.G.; Song, Y.-C.; Li, W.-Y.; Feng, J. Ash contents and ash-forming elements of biomass and their significance for solid biofuel combustion. Fuel 2017, 208, 377–409. [Google Scholar] [CrossRef]
- Ardila, Y.C.; Figueroa, J.E.J.; Maciel, M.R.W. Mathematical models for predicting the higher heating value and ultimate analysis of biomass. Ind. Crop. Prod. 2024, 208, 117777. [Google Scholar] [CrossRef]
- Tubeileh, A.; Rennie, T.J.; Goss, M.J. A review on biomass production from C4 grasses: Yield and quality for end-use. Curr. Opin. Plant Biol. 2016, 31, 172–180. [Google Scholar] [CrossRef]
- Rodrigues Castro, F.M.; Bruzi, A.T.; Rodrigues Nunes, J.A.; Costa Parrella, R.A.; Romeiro Lombardi, G.M.; Brant Albuquerque, C.J.; Lopes, M. Agronomic and Energetic Potential of Biomass Sorghum Genotypes. Am. J. Plant Sci. 2015, 6, 1862–1873. [Google Scholar] [CrossRef]
- Saatchi, S.S.; Houghton, R.A.; Dos Santos Alvalá, R.C.; Soares, J.V.; YU, Y. Distribution of aboveground live biomass in the Amazon basin. Glob. Chang. Biol. 2007, 13, 816–837. [Google Scholar] [CrossRef]
- Silva, E.D.; Rocha, C.R. Eucalipto e capim elefante: Características e potencial produtivo de biomassa. Rev. Agrogeoambiental 2010, 2, 143–152. [Google Scholar] [CrossRef][Green Version]
- Quéno, L.M.R.; de Souza, Á.N.; Ângelo, H.; Vale, A.T.D.; Martins, I.S. Custo de produção das biomassas de eucalipto e capim-elefante para energia. Cerne 2011, 17, 417–426. [Google Scholar] [CrossRef]
- Flores, R.A.; Urquiaga, S.; Alves, B.J.R.; Collier, L.S.; Zanetti, J.B.; Prado, R.d.M. Nitrogênio e idade de corte na qualidade da biomassa de capimelefante para fins agroenergéticos cultivado em Latossolo. Semin. Agrar. 2013, 34, 127–136. [Google Scholar] [CrossRef][Green Version]
- Araujo, R.O.; Ribeiro, F.C.P.; Santos, V.O.; Lima, V.M.R.; Santos, J.L.; Vilaça, J.E.S.; Chaar, J.S.; Falcão, N.P.S.; Pohlit, A.M.; de Souza, L.K.C. Renewable Energy from Biomass: An Overview of the Amazon Region. Bioenergy Res. 2022, 15, 834–849. [Google Scholar] [CrossRef]
- Morais, W.W.C.; Brito, J.O.; Lana, A.Q.; Dias Júnior, A.F.; Morais, J.B.F. Investigating waste generated from logging in the Amazon for energy use. Sci. For. 2021, 49, e3712. [Google Scholar] [CrossRef]
- Moreira, J.; Carneiro, A.; Oliveira, D.; Santos, F.; Guerra, D.; Nogueira, M.; Rocha, H.; Charvet, F.; Tarelho, L. Thermochemical Properties for Valorization of Amazonian Biomass as Fuel. Energies 2022, 15, 7343. [Google Scholar] [CrossRef]
- Douglas Roque Lima, M.; Poliana Santos Patrício, E.; de Oliveira Barros Junior, U.; Reis de Assis, M.; Nogueira Xavier, C.; Bufalino, L.; Fernando Trugilho, P.; Ricardo Gherardi Hein, P.; de Paula Protásio, T. Logging wastes from sustainable forest management as alternative fuels for thermochemical conversion systems in Brazilian Amazon. Biomass Bioenergy 2020, 140, 105660. [Google Scholar] [CrossRef]
- Santana, M.A.E.; Okino, E.Y.A. Chemical composition of 36 Brazilian Amazon forest wood species. Holzforschung 2007, 61, 469–477. [Google Scholar] [CrossRef]
- Silveira, L.H.C.; Rezende, A.V.; Vale, A.T.d. Teor de umidade e densidade básica da madeira de nove espécies comerciais amazônicas. Acta Amaz. 2013, 43, 179–184. [Google Scholar] [CrossRef]
- Dinesha, P.; Kumar, S.; Rosen, M.A. Biomass Briquettes as an Alternative Fuel: A Comprehensive Review. Energy Technol. 2019, 7, 1801011. [Google Scholar] [CrossRef]
- Ibitoye, S.E.; Jen, T.-C.; Mahamood, R.M.; Akinlabi, E.T. Densification of agro-residues for sustainable energy generation: An overview. Bioresour. Bioprocess. 2021, 8, 75. [Google Scholar] [CrossRef] [PubMed]
- Magalhães, M.A.D.; Carneiro, A.D.C.O.; Vital, B.R.; Silva, C.M.S.D.; Souza, M.M.D.; Fialho, L.D.F. Estimates of mass and energy of different genetic material eucalyptus. Rev. Árvore 2017, 41, e410302. [Google Scholar] [CrossRef]
- Nakanishi, E.Y.; Frías, M.; Martínez-Ramírez, S.; Santos, S.F.; Rodrigues, M.S.; Rodríguez, O.; Savastano, H. Characterization and properties of elephant grass ashes as supplementary cementing material in pozzolan/Ca(OH)2 pastes. Constr. Build. Mater. 2014, 73, 391–398. [Google Scholar] [CrossRef]
- Nakanishi, E.Y.; Frías, M.; Santos, S.F.; Rodrigues, M.S.; La Vigil de Villa, R.; Rodriguez, O.; Junior, H.S. Investigating the possible usage of elephant grass ash to manufacture the eco-friendly binary cements. J. Clean. Prod. 2016, 116, 236–243. [Google Scholar] [CrossRef]
Disclaimer/Publisher’s Note: The statements, opinions and data contained in all publications are solely those of the individual author(s) and contributor(s) and not of MDPI and/or the editor(s). MDPI and/or the editor(s) disclaim responsibility for any injury to people or property resulting from any ideas, methods, instructions or products referred to in the content. |
© 2024 by the authors. Licensee MDPI, Basel, Switzerland. This article is an open access article distributed under the terms and conditions of the Creative Commons Attribution (CC BY) license (https://creativecommons.org/licenses/by/4.0/).




