Short-Term Power Load Forecasting Method Based on Improved Sparrow Search Algorithm, Variational Mode Decomposition, and Bidirectional Long Short-Term Memory Neural Network
Abstract
1. Introduction
1.1. Load Forecasting
1.1.1. Time-Series Decomposition Technology
1.1.2. Load Forecasting Method
1.2. Contribution
- (1)
- SSA was optimized by using tent chaotic mapping, reverse learning strategy, and dynamic step adjustment strategy to improve algorithm convergence speed and optimization accuracy. In terms of optimization speed, after 28 iterations, the maximum value of PSO was −0.005. ISSA can effectively find the global maximum of 0 after 58 iterations;
- (2)
- ISSA was used to optimize the parameters of VMD and the BiLSTM algorithm to solve the problems of VMD mode mixing and over-decomposition;
- (3)
- A multi-feature load forecasting model was established on the basis of ISSA-VMD-WD-BiLSTM, which effectively improves the power load forecasting accuracy influenced by multiple factors.
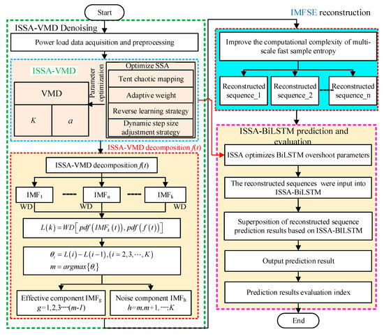
2. ISSA-VMD-IMFSE-BiLSTM Short-Term Power Load Forecasting Model Framework
3. Sparrow Search Algorithm and Its Improvement
3.1. Improved Hybrid ISSA
- (1)
- Tent chaotic mapping
- (2)
- Adaptive weights
- (3)
- Mixed reverse learning strategy
- (4)
- Dynamic step size adjustment strategy
3.2. ISSA Performance Tests
4. ISSA-VMD-WD Denoising Optimization
4.1. ISSA-VMD Parameter Optimization
4.2. ISSA-VMD-WD Denoising
4.3. ISSA-VMD-WD Denoising Test
4.3.1. ISSA-VMD Parameter Optimization Test
4.3.2. WD Denoising Test
5. IMFSE Algorithm
5.1. IMFSE Algorithm Model
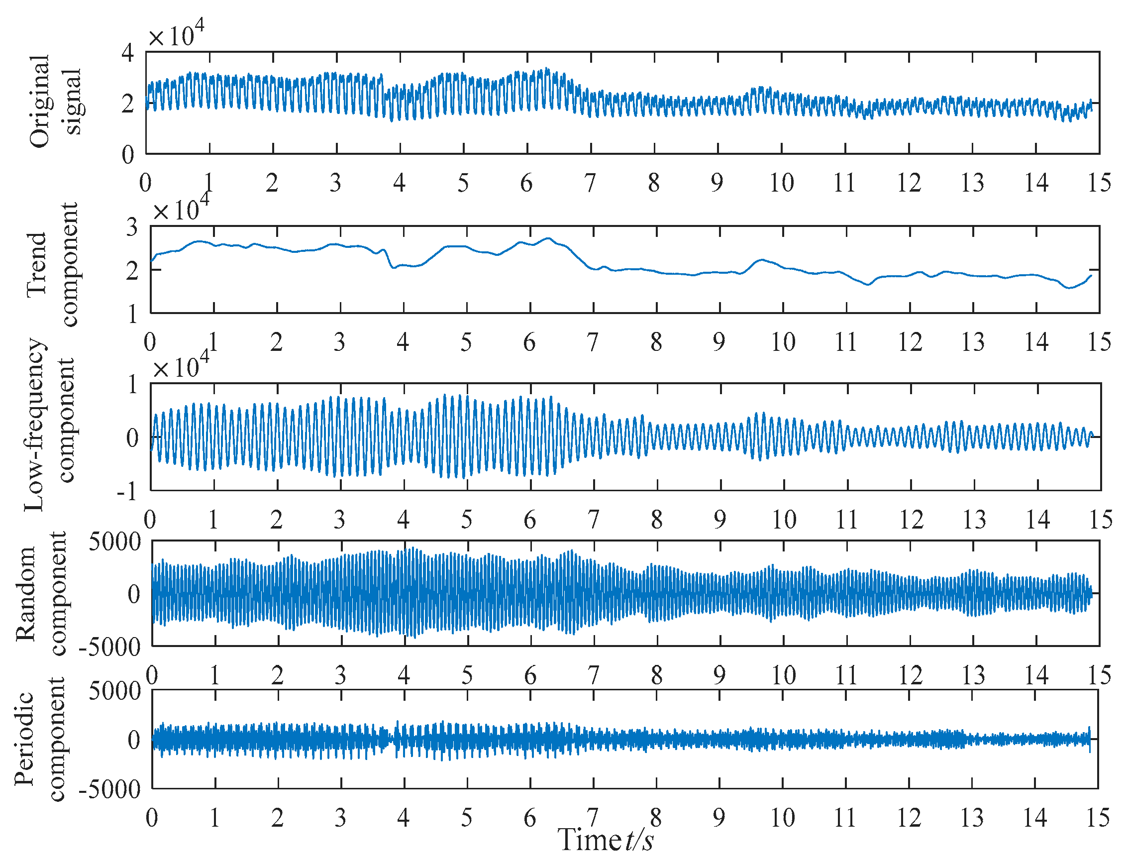
5.2. ISSA-VMD-WD-IMFSE Signal Reconstruction Test
6. ISSA-BILSTM Prediction Model
6.1. ISSA-BILSTM Parameter Optimization
6.2. Prediction Effect Analysis
7. Conclusions
- (1)
- By introducing tent chaos mapping, adaptive weight, reverse learning strategy, and dynamic step adjustment strategy, the three key steps of the sparrow population initialization process, discoverer position update, and population optimal solution were optimized to improve the local optimization and global search ability of the sparrow population;
- (2)
- ISSA optimization was used to determine the hyperparameters of VMD and BiLSTM neural network models, so that the overall performance of ISSA-VMD and ISSA-BILSTM could be optimized;
- (3)
- The ISSA-VMD-WD decomposition method was used to decompose the complex nonlinear initial load sequence into several modal components. Compared with VMD, it has better robustness in sampling and noise and effectively avoids the phenomenon of mode mixing, which makes the error after modal reconstruction smaller and lays a good foundation for the later stage. The complexity of modal components was evaluated by IMFSE. A new sequence group was obtained after approximate superposition, the number of modes was reduced, and the prediction time was shortened.
Author Contributions
Funding
Data Availability Statement
Conflicts of Interest
References
- Ahmad, N.; Ghadi, Y.; Adnan, M.; Ali, M. Load Forecasting Techniques for Power System: Research Challenges and Survey. IEEE Access 2022, 10, 71054–71090. [Google Scholar] [CrossRef]
- Shahidehpour, M.; Yamin, H.; Li, Z. Market Operations in Electric Power Systems: Forecasting, Scheduling, and Risk Management; John Wiley & Sons: New York, NY, USA, 2003; p. 552. Available online: https://ieeexplore.ieee.org/book/5201691 (accessed on 16 October 2024).
- Mocanu, E.; Nguye, P.H.; Gibescu, M.; Kling, W.L. Deep learning for estimating building energy consumption. Sustain. Energy Grids Netw. 2016, 6, 91–99. [Google Scholar] [CrossRef]
- Sioshansi, R.; Denholm, P.; Arteaga, J.; Awara, S.; Bhattacharjee, S.; Botterud, A.; Cole, W.; Cortes, A.; De Queiroz, A.; DeCarolis, J.; et al. Energy-storage modeling: State-of-the-art and future research directions. IEEE Trans. Power Syst. 2021, 37, 860–875. [Google Scholar] [CrossRef]
- Niu, D.; Wei, Y. Short-term power load combinatorial forecast adaptively weighted by FHNN similar-day clustering. Autom. Electr. Power Syst. 2013, 37, 54–57. [Google Scholar] [CrossRef]
- Morais, L.B.S.; Aquila, G.; de Faria, V.A.D.; Lima, L.M.M.; Lima, J.W.M.; de Queiroz, A.R. Short-term load forecasting using neural networks and global climate models: An application to a large-scale electrical power system. Appl. Energy 2023, 348, 121439. [Google Scholar] [CrossRef]
- Zhang, T.; Zhang, X.; Chau, T.K.; Chow, Y.; Fernando, T.; Iu, H.H.C. Highly accurate peak and valley prediction short-term net load forecasting approach based on decomposition for power systems with high PV penetration. Appl. Energy 2023, 333, 120641. [Google Scholar] [CrossRef]
- Tan, M.; Liao, C.; Chen, J.; Cao, Y.; Wang, R.; Su, Y. A multi-task learning method for multi-energy load forecasting based on synthesis correlation analysis and load participation factor. Appl. Energy 2023, 343, 121177. [Google Scholar] [CrossRef]
- Chen, C.; Li, S.; Wen, M.; Yu, Z. Ultra-short term wind power prediction based on quadratic variational mode decomposition and multi-model fusion of deep learning. Comput. Electr. Eng. 2024, 116, 109157. [Google Scholar] [CrossRef]
- Parchami, M.; Zhu, W.-P.; Champagne, B.; Plourde, E. Recent Developments in Speech Enhancement in the Short-Time Fourier Transform Domain. IEEE Circuits Syst. Mag. 2016, 16, 45–77. [Google Scholar] [CrossRef]
- Behera, R.; Meignen, S.; Oberlin, T. Theoretical analysis of the second-order synchrosqueezing transform. Appl. Comput. Harmon. Anal. 2018, 45, 379–404. [Google Scholar] [CrossRef]
- Hu, J.; Chen, H.; Heidari, A.A.; Wang, M.; Zhang, X.; Chen, Y.; Pan, Z. Orthogonal learning covariance matrix for defects of grey wolf optimizer: Insights, balance, diversity, and feature selection. Knowl. Based Syst. 2021, 213, 106684. [Google Scholar] [CrossRef]
- He, Z.; Shao, H.; Zhang, X.; Cheng, J.; Yang, Y. Improved deep transfer auto-encoder for fault diagnosis of gearbox under variable working conditions with small training samples. IEEE Access 2019, 7, 115368–115377. [Google Scholar] [CrossRef]
- Ma, T.; Zhang, X.; Jiang, H.; Wang, K.; Xia, L.; Guan, X. Early fault diagnosis of shaft crack based on double optimization maximum correlated kurtosis deconvolution and variational mode decomposition. IEEE Access 2021, 9, 14971–14982. [Google Scholar] [CrossRef]
- Huang, N.E.; Shen, Z.; Long, S.R.; Wu, M.C.; Shih, H.H.; Zheng, Q.; Yen, N.C.; Tung, C.C.; Liu, H.H. The empirical mode decomposition and the Hilbert spectrum for nonlinear and non-stationary time series analysis. Proc. R. Soc. Math. Phys. Eng. Sci. 1998, 454, 903–995. [Google Scholar] [CrossRef]
- Gilles, J. Empirical Wavelet Transform. IEEE Trans. Signal Process 2013, 61, 3999–4010. [Google Scholar] [CrossRef]
- Colominas, M.A.; Schlotthauer, G.; Torres, M.E. Improved complete ensemble EMD: A suitable tool for biomedical signal processing. Biomed. Signal Process. Control 2014, 14, 19–29. [Google Scholar] [CrossRef]
- Torres, M.E.; Colominas, M.A.; Schlotthauer, G.; Flandrin, P. A complete ensemble empirical mode decomposition with adaptive noise. In Proceedings of the International Conference on acoustics, speech, and signal processing, Prague, Czech Republic, 22–27 May 2011; IEEE: New York, NY, USA, 2011; pp. 4117–4144. [Google Scholar] [CrossRef]
- Wu, Z.; Huang, N.E. Ensemble empirical mode decomposition: A noise-assisted data analysis method. Adv. Adapt. Data Anal. 2009, 1, 1–41. [Google Scholar] [CrossRef]
- Yeh, J.-R.; Shieh, J.-S.; Huang, N.E. Complementary Ensemble Empirical Mode Decomposition: A Novel Noise Enhanced Data Analysis Method. Adv. Adapt. Data Anal. 2010, 2, 135–156. [Google Scholar] [CrossRef]
- Huang, N.E.; Shen, Z.; Long, S.R. A new view of nonlinear water waves:the Hilbert spectrum. Annu. Rev. Fluid Mech. 1999, 31, 417–457. [Google Scholar] [CrossRef]
- Deng, W.; Xu, J.; Gao, X.Z.; Zhao, H. An enhanced MSIQDE algorithm with novel multiple strategies for global optimization problems. IEEE Trans. Syst. Man Cybern. Syst. 2020, 52, 1578–1587. [Google Scholar] [CrossRef]
- Zhao, X.; Zhang, X.; Cai, Z.; Tian, X.; Wang, X.; Huang, Y.; Chen, H.; Hu, L. Chaos enhanced grey wolf optimization wrapped ELM for diagnosis of paraquat-poisoned patients. Comput. Biol. Chem. 2019, 78, 481–490. [Google Scholar] [CrossRef]
- Wang, Z.; He, G.; Du, W.; Zhou, J.; Han, X.; Wang, J.; He, H.; Guo, X.; Wang, J.; Kou, Y. Application of parameter optimized variational mode decomposition method in fault diagnosis of gearbox. IEEE Access 2019, 7, 44871–44882. [Google Scholar] [CrossRef]
- Cai, X.; Zhao, H.; Shang, S.; Zhou, Y.; Deng, W.; Chen, H.; Deng, W. An improved quantum-inspired cooperative co-evolution algorithm with muli-strategy and its application. Expert Syst. Appl. 2021, 171, 114629. [Google Scholar] [CrossRef]
- Dragomiretskiy, K.; Zosso, D. Variational Mode Decomposition. IEEE Trans. Signal Process 2014, 62, 531–544. [Google Scholar] [CrossRef]
- Erseghe, T.; Zennaro, D.; Dall’Anese, E.; Vangelista, L. Fast Consensus by the Alternating Direction Multipliers Method. IEEE Trans. Signal Process 2011, 59, 5523–5537. [Google Scholar] [CrossRef]
- Cui, H.; Guan, Y.; Chen, H. Rolling Element Fault Diagnosis Based on VMD and Sensitivity MCKD. IEEE Access 2021, 9, 120297–120308. [Google Scholar] [CrossRef]
- Zhou, B.; Meng, Y.; Huang, W.; Wang, H.; Deng, L.; Huang, S.; Wei, J. Multi-energy net load forecasting for integrated local energy systems with heterogeneous prosumers. Int. J. Electr. Power Energy Syst. 2021, 126, 106542. [Google Scholar] [CrossRef]
- Ran, L.; Fan, S.; Xing, D. Ultra short-term load forecasting method for user-level integrated energy system considering spatio-temporal coupling of multi-energy. Power Syst. Technol. 2020, 44, 4121–4134. [Google Scholar]
- Zheng, J.; Zhang, L.; Chen, J.; Wu, G.; Ni, S.; Hu, Z.; Weng, C.; Chen, Z. Multiple-load forecasting for integrated energy system based on Copula-DBiLSTM. Energies 2021, 14, 2188. [Google Scholar] [CrossRef]
- Caruana, R. Multitask learning. Mach. Learn 1997, 28, 41–75. [Google Scholar] [CrossRef]
- CHI, D.W. Research on electricity consumption forecasting model based on wavelet transform and multi-layer LSTM model. Energy Rep. 2022, 8, 220–228. [Google Scholar] [CrossRef]
- Bianchi, F.M.; Maiorino, E.; Kampffmeyer, M.C.; Rizzi, A.; Jenssen, R. An overview and comparative analysis of recurrent neural networks for short term load forecasting. arXiv 2017, arXiv:1705.04378. Available online: https://arxiv.org/pdf/1705.04378.pdf (accessed on 16 October 2024).
- Chen, C.; Yang, X.; Dai, X.; Chen, L. Short-term load forecasting based on different characteristics of sub-sequences and multi-model fusion. Comput. Electr. Eng. 2024, 120, 109675. [Google Scholar] [CrossRef]















| Model | Decomposition Parameter | Decomposition Loss (MW) | |
|---|---|---|---|
| K | a | ||
| VMD | 8 | 1000 | 24.09 |
| PSO-VMD | 15 | 11,520 | 7.11 |
| SSA-VMD | 12 | 2000 | 2.72 |
| ISSA-VMD | 6 | 100 | 1.89 |
| IMF | IMFSE |
|---|---|
| IMF1 | 0.27 |
| IMF2 | 0.43 |
| IMF3 | 0.58 |
| IMF4 | 0.58 |
| IMF5 | 0.66 |
| IMF6 | 0.67 |
| Prediction Model | RMSE/MW | MAPE(%) | R2 |
|---|---|---|---|
| VMD-BiLSTM | 1650.25 | 6.67 | 0.84 |
| ISSA-VMD-BiLSTM | 850.11 | 4.04 | 0.92 |
| ISSA-VMD-IMFSE-BiLSTM | 478.41 | 3.05 | 0.95 |
Disclaimer/Publisher’s Note: The statements, opinions and data contained in all publications are solely those of the individual author(s) and contributor(s) and not of MDPI and/or the editor(s). MDPI and/or the editor(s) disclaim responsibility for any injury to people or property resulting from any ideas, methods, instructions or products referred to in the content. |
© 2024 by the authors. Licensee MDPI, Basel, Switzerland. This article is an open access article distributed under the terms and conditions of the Creative Commons Attribution (CC BY) license (https://creativecommons.org/licenses/by/4.0/).
Share and Cite
Wen, M.; Liu, B.; Zhong, H.; Yu, Z.; Chen, C.; Yang, X.; Dai, X.; Chen, L. Short-Term Power Load Forecasting Method Based on Improved Sparrow Search Algorithm, Variational Mode Decomposition, and Bidirectional Long Short-Term Memory Neural Network. Energies 2024, 17, 5280. https://doi.org/10.3390/en17215280
Wen M, Liu B, Zhong H, Yu Z, Chen C, Yang X, Dai X, Chen L. Short-Term Power Load Forecasting Method Based on Improved Sparrow Search Algorithm, Variational Mode Decomposition, and Bidirectional Long Short-Term Memory Neural Network. Energies. 2024; 17(21):5280. https://doi.org/10.3390/en17215280
Chicago/Turabian StyleWen, Ming, Bo Liu, Hao Zhong, Zongchao Yu, Changqing Chen, Xian Yang, Xueying Dai, and Lisi Chen. 2024. "Short-Term Power Load Forecasting Method Based on Improved Sparrow Search Algorithm, Variational Mode Decomposition, and Bidirectional Long Short-Term Memory Neural Network" Energies 17, no. 21: 5280. https://doi.org/10.3390/en17215280
APA StyleWen, M., Liu, B., Zhong, H., Yu, Z., Chen, C., Yang, X., Dai, X., & Chen, L. (2024). Short-Term Power Load Forecasting Method Based on Improved Sparrow Search Algorithm, Variational Mode Decomposition, and Bidirectional Long Short-Term Memory Neural Network. Energies, 17(21), 5280. https://doi.org/10.3390/en17215280
