Abstract
Utilizing the power of sunlight through agro-photovoltaic fusion systems (APFSs) seamlessly blends sustainable agriculture with renewable energy generation. This innovative approach not only addresses food security and energy sustainability but also plays a pivotal role in combating climate change. This study assesses the feasibility and impact of APFS implementation in District Dir Lower, Pakistan, a region significant for its agriculture and energy needs. A quasi-experimental design was employed, comparing outcomes between a treatment group (with an APFS) and a control group (without an APFS). Stratified random sampling was used to select 400 participants, including farmers, residents, local authorities, and community leaders. Data were collected using structured questionnaires and analyzed employing paired t-tests, linear regression, analysis of variance (ANOVA), and Chi-square tests. The results show that the treatment group with an APFS exhibited significant improvements in farming practices (mean change = 4.20 vs. 2.80). Linear regression indicated a strong positive effect of APFSs on renewable energy production. The ANOVA results demonstrated significant mitigation of environmental challenges, and the Chi-square test showed a strong association between APFS implementation and community sustainability, resilience, and prosperity. It is concluded that APFS implementation significantly enhances farming practices, renewable energy production, and environmental sustainability, contributing to the resilience and prosperity of agricultural communities in District Dir Lower. These findings advocate for the broader adoption of APFSs in similar contexts to integrate sustainable agriculture with renewable energy generation.
1. Introduction
Harnessing sunlight through agro-photovoltaic fusion systems (APFSs) represents a groundbreaking approach that intertwines the realms of sustainable agriculture and renewable energy generation. This fusion system holds immense promise on a global scale, offering a pathway towards addressing pressing challenges such as food security, energy sustainability, and climate change mitigation [1]. By leveraging APFSs, agricultural landscapes can be transformed into multifunctional hubs, simultaneously producing crops and generating clean energy. This integration not only optimizes land use but also fosters a symbiotic relationship between agricultural productivity and environmental stewardship [2].
A critical component of APFSs is the effective harvesting of sunlight, which serves as the cornerstone for both agricultural and energy generation purposes. The photovoltaic panels capture sunlight and convert it into electricity, while also providing partial shading that can benefit certain crops by reducing heat stress and water evaporation. This dual use of sunlight maximizes the efficiency of land resources and enhances the overall productivity of agricultural systems.
In the context of Pakistan, a country grappling with agricultural sustainability and energy security concerns, the implementation of APFSs emerges as a pivotal solution. With a significant portion of its population reliant on agriculture for their livelihood, Pakistan faces the dual challenge of ensuring food security while transitioning towards renewable energy sources [3]. APFSs present a unique opportunity to address these intertwined challenges by diversifying income streams for farmers, bolstering crop yields through optimized land use, and contributing to the nation’s renewable energy targets. Moreover, in a country where environmental degradation exacerbates vulnerabilities, APFSs offer a tangible means to mitigate climate-related risks and build resilience within agricultural communities [4].
Zooming further into the microcosm of District Dir Lower, Pakistan, the potential impact of APFS implementation becomes even more pronounced. Situated in a region characterized by agricultural significance and energy needs, Dir Lower stands to benefit immensely from the adoption of APFSs. Here, the deployment of APFSs holds the promise of catalyzing transformative changes in farming practices, ushering in a new era of sustainable agriculture marked by enhanced productivity and resource efficiency. Concurrently, by augmenting renewable energy production, APFSs can alleviate energy shortages and contribute to the economic empowerment of local communities.
In conclusion, the integration of agro-photovoltaic fusion systems represents a paradigm shift in the intersection of agriculture and renewable energy. From a global perspective to the specific context of Pakistan and down to the granular level of District Dir Lower, the implementation of APFSs offers a beacon of hope for fostering sustainability, resilience, and prosperity within agricultural landscapes. This novel contribution of the article underscores the transformative potential of harvesting sunlight to achieve these goals, emphasizing the critical role that sunlight plays in the success of APFSs.
1.1. Statement of the Problem
Pakistan faces multifaceted challenges in its agricultural and energy sectors, exacerbated by environmental degradation and socio-economic disparities. The reliance on conventional farming practices coupled with energy deficits has hindered the sustainable development and resilience in rural communities. District Dir Lower represents a microcosm of these challenges, characterized by fragile ecosystems, limited access to energy, and socio-economic vulnerabilities. Traditional farming methods are insufficient to address food security and energy needs, while environmental degradation threatens livelihoods and ecosystem services.
This study aims to assess the feasibility and potential impacts of implementing APFSs in District Dir Lower, Khyber Pakhtunkhwa, which is geographically situated in the northwestern part of Pakistan (Figure 1).
Figure 1.
Map of District Dir Lower, Pakistan.
Specifically, the study seeks to examine the effects of APFSs on changes in farming practices, enhancements in renewable energy production, the mitigation of environmental challenges, and the sustainability, resilience, and prosperity of agricultural communities. The justification for this study lies in the urgent need to address the intertwined challenges of agricultural sustainability, energy security, and environmental resilience in Pakistan, particularly in District Dir Lower. By evaluating the potential of APFSs as a holistic solution, this study aims to inform evidence-based policy interventions and interventions to foster sustainable development in the region.
The motivation behind this study stems from the recognition of the transformative potential of APFSs in addressing pressing socio-economic and environmental challenges facing agricultural communities in Pakistan. By harnessing solar energy to improve agricultural productivity and livelihoods, APFSs offer a promising pathway towards sustainable development and resilience. Figure 2 depicts the conceptual model, and Figure 3 provides more detailed statistical procedures for its empirical testing.
Figure 2.
Conceptual framework. Source: Compiled by the authors.
Figure 3.
Empirical approaches to testing the conceptual model. Source: Compiled by the authors.
While the existing literature has explored the benefits of APFS implementation globally, there is a notable gap in the context of Pakistan, particularly in localized studies focusing on specific regions such as District Dir Lower. This study fills this gap by providing contextually relevant insights into the feasibility and impacts of APFS implementation in a specific geographic area, thus bridging the divide between global research findings and local realities. The uniqueness of this study lies in its focus on District Dir Lower, Khyber Pakhtunkhwa, Pakistan, and its comprehensive examination of the potential impacts of APFS implementation on various dimensions of agricultural sustainability, energy production, and community resilience. By combining empirical research with localized insights, this study offers novel contributions to the existing literature and informs targeted interventions for sustainable development in the region. The importance of this study lies in its potential to inform evidence-based policy interventions and interventions aimed at fostering sustainable development and resilience in District Dir Lower, Khyber Pakhtunkhwa, Pakistan. By evaluating the feasibility and impacts of APFS implementation, this study offers valuable insights that can guide decision-making processes and contribute to the advancement of the agricultural and energy sectors in the region.
1.2. Solar Potential for District Dir Lower, Pakistan
Understanding the solar potential of District Dir Lower is crucial for evaluating the feasibility and impact of implementing APFSs. This section provides an overview of the solar insolation patterns in the region, including yearly and daily patterns.
1.2.1. Yearly Solar Insolation: District Dir Lower, Located in Khyber Pakhtunkhwa
Pakistan receives abundant solar radiation throughout the year. The region benefits from a high number of sunny days, with an average annual solar insolation ranging between 5.0 and 6.5 kWh/m2/day. This high level of solar radiation makes it an ideal location for solar energy projects, including APFSs.
1.2.2. Monthly Solar Insolation
The monthly solar insolation data indicate that the region receives consistent solar energy throughout the year, with slight variations between seasons. The summer months (May to August) receive the highest solar insolation, often exceeding 6.5 kWh/m2/day, while the winter months (November to February) receive slightly lower insolation, averaging around 4.5 to 5.0 kWh/m2/day.
1.2.3. Daily Solar Insolation
The daily patterns of solar insolation show a predictable increase from sunrise, peaking around noon and gradually decreasing towards sunset. On average, the region experiences around 10 to 12 h of sunlight per day, with the peak solar insolation occurring between 10:00 AM and 2:00 PM. This pattern is favorable for APFSs, as it ensures a consistent supply of solar energy during key hours of agricultural activity.
The solar potential of District Dir Lower, with its high annual and daily solar insolation, provides a strong foundation for the successful implementation of APFSs. The consistent and high levels of solar radiation throughout the year ensure that solar panels can generate substantial amounts of energy, supporting both agricultural and energy needs in the region.
1.3. Solar Panel Efficiency and Model
The selection of solar panels and their efficiency is critical for maximizing the benefits of APFSs. This section provides an overview of the specific solar panel model chosen for the study, its efficiency, and the expected energy output.
1.3.1. Solar Panel Model
For this study, the chosen solar panel model is the SunPower SPR-X22-370 (manufactured by SunPower Corporation, based in San Jose, CA, USA), a high-efficiency monocrystalline solar panel known for its durability and performance. This model is well-suited for agricultural settings due to its robust design and ability to perform well under varying environmental conditions.
1.3.2. Efficiency
The SunPower SPR-X22-370 solar panel boasts an efficiency rate of 20%, which is among the highest for commercial solar panels. This high efficiency ensures that a significant portion of the solar energy received is converted into usable electrical power, maximizing the energy output from the available solar insolation.
1.3.3. Expected Energy Output
Based on the average annual solar insolation of 5.5 kWh/m2/day in District Dir Lower, the expected energy output from the SunPower SPR-X22-370 solar panel can be calculated. For a single 1 square meter panel, the daily energy output would be approximately 1.1 kWh (5.5 kWh/m2/day × 20%). Over the course of a year, this amounts to an annual energy output of approximately 401.5 kWh per square meter of solar panel.
1.4. Application and Energy Generation of APFSs in District Dir Lower
The implementation of APFSs in District Dir Lower aims to enhance agricultural productivity and energy efficiency. The system is designed to provide power for irrigation, crop processing, and other agricultural activities. The energy generated through the APFS will significantly reduce reliance on conventional energy sources, leading to cost savings and environmental benefits.
1.4.1. Power Generation
The total power generated by the APFS in the district was carefully monitored during the investigation. With a deployment of approximately 1000 square meters of SunPower SPR-X22-370 solar panels, the system has the potential to generate approximately 401,500 kWh of electrical energy annually (401.5 kWh/m2/year × 1000 m2). This energy can be utilized to power irrigation pumps, greenhouse lighting, and other essential equipment, ensuring a stable and reliable energy supply for agricultural activities.
1.4.2. Impact on Agriculture
The availability of a consistent and renewable energy source has had a positive impact on agricultural productivity in the region. Farmers have reported increased crop yields and reduced operational costs due to the implementation of APFSs. Additionally, the environmental benefits of reducing carbon emissions contribute to the overall sustainability of agricultural practices in District Dir Lower.
APFSs’ successful implementation and the substantial power generated highlight the potential of solar energy to transform agricultural practices in District Dir Lower. By harnessing the region’s abundant solar potential, APFSs support sustainable agriculture and energy independence, paving the way for a greener and more prosperous future.
1.5. Economic Benefits of Agro-Photovoltaic Fusion Systems (APFSs) in Dir Lower
The implementation of agro-photovoltaic fusion systems (APFSs) in District Dir Lower, Pakistan, promises substantial economic benefits across various facets of the local agriculture and energy sectors. By integrating solar photovoltaic (PV) technology with agricultural landscapes, APFSs offer a dual-purpose approach that enhances both productivity and sustainability.
Firstly, APFSs enable farmers in District Dir Lower to diversify their income streams significantly. Beyond traditional crop yields, farmers can generate revenue by selling the surplus electricity produced by PV panels. This additional income source helps to stabilize financial security amidst fluctuating agricultural markets and weather conditions, thereby supporting livelihoods.
Secondly, the adoption of APFSs contributes to substantial cost savings on energy expenditures. By generating their own electricity, farmers can reduce reliance on costly grid power, leading to long-term savings. This cost efficiency extends to the reduced operational expenses associated with conventional farming practices, enhancing overall profitability.
Moreover, APFSs create local job opportunities throughout their lifecycle—from the installation and maintenance of the PV infrastructure to the administrative roles associated with managing energy production. These jobs not only support economic growth within District Dir Lower but also build technical expertise and capacity in the renewable energy sectors.
Additionally, APFSs promote environmental sustainability by mitigating soil erosion, conserving water resources, and reducing greenhouse gas emissions. These environmental benefits translate into cost avoidance by minimizing future expenditures on environmental remediation and adaptation to climate change impacts.
Furthermore, the infrastructure development required for APFS deployment stimulates local economies by mobilizing investments in materials, construction, and related services. This localized investment contributes to broader economic development beyond agriculture, fostering a more resilient economic landscape.
1.6. Agricultural Cultivated Area and Photovoltaic Applications in District Dir Lower, Pakistan
District Dir Lower in Pakistan represents a region where agriculture plays a central role in the local economy. The district is known for cultivating staple crops such as wheat, maize, rice, and various fruits and vegetables. These agricultural activities are crucial for food security and livelihoods in the area, providing sustenance to a predominantly rural population.
In recent years, there has been a growing interest in integrating renewable energy technologies, specifically agro-photovoltaic fusion systems (APFSs), into traditional agricultural practices in District Dir Lower. APFSs involve the installation of solar photovoltaic (PV) panels either on ground-level supports within agricultural fields or on elevated structures that allow crops to grow underneath. This approach optimizes land use by simultaneously producing crops and generating clean energy.
The specific application of APFSs in District Dir Lower varies based on factors such as land availability, solar potential, and local community support. Ground-mounted PV systems are commonly used where land is ample, while elevated PV structures are deployed in areas where vertical space can be utilized effectively without compromising crop growth. These installations are designed to integrate seamlessly with existing agricultural practices, ensuring that farming activities like irrigation and harvesting can proceed without disruption.
The economic benefits of APFSs in District Dir Lower are multifaceted. Firstly, APFSs allow farmers to diversify their income streams by selling surplus electricity back to the grid or using it for on-farm operations. This additional revenue stream enhances financial stability, especially in rural areas where agricultural incomes can be volatile. Secondly, APFS reduces farmers’ dependency on costly grid power, leading to long-term savings on energy expenditures. This cost efficiency extends to operational expenses associated with conventional farming practices, thereby improving overall profitability.
Moreover, the integration of APFSs contributes to environmental sustainability by mitigating soil erosion, conserving water resources, and reducing greenhouse gas emissions. These environmental benefits not only preserve natural resources but also position District Dir Lower as a leader in adopting green technologies that mitigate climate change impacts.
While the exact proportion of APFS installations in District Dir Lower is not specified, anecdotal evidence and regional studies indicate a gradual uptake of solar energy technologies. Local support from agricultural communities, combined with favorable government policies promoting renewable energy, has facilitated the adoption of APFS as a viable solution to enhance agricultural productivity and energy sustainability in the region.
1.7. Objectives of the Study
The overarching aim of this study is to assess the feasibility and potential impacts of implementing agro-photovoltaic fusion systems (APFSs) in District Dir Lower, Khyber Pakhtunkhwa, Pakistan. This can be achieved through the following specific objectives.
1.7.1. Assessing Changes in Farming Practices
We aim to evaluate how the integration of APFSs can influence traditional farming practices in District Dir Lower, including improvements in water management, soil conservation, and crop yields.
1.7.2. Enhancing Renewable Energy Production
We aim to analyze the potential increase in renewable energy generation through APFSs, contributing to energy security and sustainability in the region.
1.7.3. Mitigating Environmental Challenges
We aim to investigate the role of APFSs in addressing environmental challenges such as soil erosion, water scarcity, and carbon emissions, thereby promoting ecological balance and resilience.
1.7.4. Promoting Sustainability, Resilience, and Prosperity
We aim to assess the overall impact of APFSs on the sustainability, resilience, and economic prosperity of agricultural communities in District Dir Lower, considering factors such as income diversification, job creation, and improved livelihoods.
1.8. Research Questions
To achieve the objectives outlined above, this study seeks to answer the following research questions.
1.8.1. Changes in Farming Practices
- How does the integration of APFSs influence traditional farming practices in District Dir Lower?
- What specific improvements in water management, soil conservation, and crop yields can be attributed to APFS implementation?
1.8.2. Renewable Energy Production
- What is the potential increase in renewable energy generation through APFSs in District Dir Lower?
- How can APFSs contribute to energy security and sustainability in the region?
1.8.3. Environmental Mitigation
- What role do APFSs play in addressing environmental challenges such as soil erosion, water scarcity, and carbon emissions?
- How can APFSs promote ecological balance and resilience in District Dir Lower?
1.8.4. Sustainability, Resilience, and Prosperity
- What is the overall impact of APFSs on the sustainability, resilience, and economic prosperity of agricultural communities in District Dir Lower?
- How do APFSs contribute to income diversification, job creation, and improved livelihoods in the region?
1.9. Hypotheses of the Study
1.9.1. Hypothesis 1: Paired t-Test for Change in Farming Practices
- Null Hypothesis (H0): The true mean difference in change in farming practices between the paired samples of the treatment group (with an APFS) and the control group (without an APFS) is equal to zero.
- Alternative Hypothesis (H₁): The true mean difference in the change in farming practices between the paired samples of the treatment group (with an APFS) and the control group (without an APFS) is not equal to zero.
1.9.2. Hypothesis 2: Binary Linear Regression for Renewable Energy Production
- Null Hypothesis (H0): APFS implementation is not associated with an increase in renewable energy production.
- Alternative Hypothesis (H1): APFS implementation is positively associated with an increase in renewable energy production.
1.9.3. Hypothesis 3: ANOVA for Mitigation of Environmental Challenges
- Null Hypothesis (H0): There is no difference in variance across the means of mitigation of environmental challenges between the treatment group (with an APFS) and the control group (without an APFS).
- Alternative Hypothesis (H1): There are differences in variances across the means of mitigation of environmental challenges between the treatment group (with an APFS) and the control group (without an APFS).
1.9.4. Hypothesis 4: Chi-Square Test for Impact of APFS on Community Resilience
- Null Hypothesis (H0): The impact of APFS on community resilience does not differ between the treatment group (with an APFS) and the control group (without an APFS).
- Alternative Hypothesis (H1): The impact of APFSs on community resilience differs between the treatment group (with an APFS) and the control group (without an APFS).
1.10. Conceptual Framwork
Figure 2 and Figure 3 depict the flow diagrams illustrating the application of different statistical methods in the study. These methods were selected based on their appropriateness for analyzing specific relationships and outcomes related to agro-photovoltaic fusion systems (APFSs) in District Dir Lower, Pakistan. The paired t-test in Figure 2 and Figure 3 is employed to compare changes in farming practices (CFPs) between the treatment and control groups, assessing the impact of APFS implementation. Linear regression analysis is used to examine the relationship between APFSs and enhancements in renewable energy production (EREP), while ANOVA evaluates differences in mitigating environmental challenges (MEC). The Chi-square test in Figure 2 and Figure 3 investigates associations between APFSs and the sustainability, resilience, and prosperity of agricultural communities (SRPAC). These methods are chosen for their ability to provide rigorous statistical inference and to test specific hypotheses derived from the study’s research questions, ensuring robust and reliable results.
2. Literature Review
APFSs have garnered attention globally for their potential to renewable energy and to revolutionize farming practices. Research by Mancini and Nastasi [5] demonstrated that integrating solar panels with agriculture not only increases land productivity but also improves water and soil management. Similarly, a study by Zaleskiewicz, Kulis [6] highlighted how APFS implementation leads to changes in cropping patterns, with farmers adopting more sustainable and diversified agricultural practices. In District Dir Lower, Khyber Pakhtunkhwa, Pakistan, APFS implementation can drive similar changes. Previous studies in the region [7] have shown that traditional farming methods are susceptible to water scarcity and soil degradation. By integrating APFSs, farmers in Dir Lower can adopt water-efficient irrigation systems and crop-rotation strategies, thus enhancing resilience against climate-induced challenges.
Previous studies have demonstrated the potential of APFSs to enhance renewable energy production. Research conducted by Dash and Sadhu [8] indicated that APFSs can significantly increase energy output per unit area compared to standalone solar installations. Moreover, a study by Kumar, Gandhi [9] found that APFSs can contribute to grid stability and energy security by integrating renewable energy into existing power systems. In District Dir Lower, Pakistan, where energy access remains a challenge, APFSs can play a crucial role. Previous assessments [10] have highlighted the region’s potential for solar energy production. By implementing APFSs, Dir Lower can capitalize on its solar resources to meet local energy demands, thereby reducing reliance on fossil fuels and enhancing energy access for rural communities.
APFSs offer promising prospects for mitigating environmental challenges such as climate change and land degradation. Studies by Tiga [11] and Takimoto, Nair [12] have shown that APFS integration promotes carbon sequestration, reduces greenhouse gas emissions, and mitigates land-use conflicts. Additionally, research by Ren and Ni [13] demonstrated that APFSs can mitigate soil erosion and water pollution, thereby enhancing ecosystem services. In District Dir Lower, Khyber Pakhtunkhwa, where environmental degradation threatens agricultural productivity, APFS implementation holds significant potential. Previous studies [14] have documented soil erosion and deforestation in the region. By deploying APFSs, Dir Lower can mitigate these environmental challenges, preserving natural resources and safeguarding agricultural livelihoods.
The adoption of APFSs has been linked to the sustainability, resilience, and prosperity of agricultural communities worldwide. Research by Maity, Sudhakar [15] revealed that APFS implementation enhances economic viability by diversifying income streams and creating jobs in the renewable energy sector. Similarly, studies by Grison, Cases [16] and Maraveas, Kotzabasaki [17] emphasized the social benefits of APFS, including improved livelihoods and community resilience. In District Dir Lower, Pakistan, where agricultural communities face socio-economic challenges, APFSs can offer transformative opportunities. Previous studies [18] have identified poverty and food insecurity as key concerns in the region. By adopting APFSs, Dir Lower can foster sustainable development, empower local communities, and build resilience against socio-economic shocks.
While previous studies have explored the benefits of APFS implementation, this study in District Dir Lower, Khyber Pakhtunkhwa, Pakistan, offers unique insights. By focusing on a specific geographic area, this study provides contextually relevant findings that can inform targeted interventions and policy decisions. Additionally, by examining the interplay between APFS implementation and changes in farming practices, renewable energy production, environmental mitigation, and community sustainability, this study offers a comprehensive understanding of APFSs’ potential impacts. Thus, this study contributes to the existing literature by bridging the gap between global research findings and local contexts, thereby facilitating informed decision-making and sustainable development in District Dir Lower and beyond.
3. Materials and Methods
The study employs a quasi-experimental design in District Dir Lower, Pakistan, to assess how water scarcity and insolation affect crops under agro-photovoltaic fusion systems (APFSs). Through stratified sampling and structured questionnaires, it gathers data on crop responses, renewable energy production, and environmental impacts. Statistical analyses, including t-tests and binary regression analysis, evaluate APFSs’ effectiveness across different environmental conditions. Ethical considerations ensure participant consent and confidentiality. The study aims to provide insights into optimizing agricultural practices amidst environmental challenges, contributing to sustainable development in rural communities. The methodological steps are discussed below.
3.1. Research Design
This study adopts a quasi-experimental design, which is particularly suitable for comparing outcomes between two groups: one with the implementation of an APFS (the treatment group) and the other without an APFS (the control group). This design facilitates an examination of the causal relationship between APFS implementation and observed changes in farming practices, renewable energy production, environmental mitigation, and community sustainability. A quasi-experimental design is appropriate in this context because it enables comparison of the outcomes between groups while addressing practical constraints, such as the inability to randomly assign participants to groups in real-world settings. Given the logistical challenges of randomly assigning APFSs to different regions, a quasi-experimental design emerges as the most suitable approach to evaluate the impact of APFSs in District Dir Lower, Pakistan.
3.2. Study Setting
The study is conducted in District Dir Lower, a rural area in the Khyber Pakhtunkhwa province of Pakistan. District Dir Lower is selected due to its agricultural significance, energy needs, and potential for APFS implementation.
3.3. Population and Target Population
The population of interest for this study includes agricultural communities in District Dir Lower. Within this population, the target population consists of several groups.
3.3.1. Farmers and Agricultural Workers
The category of farmers and agricultural workers includes those directly involved in agricultural activities within District Dir Lower, including farmers, farm laborers, and individuals engaged in crop cultivation and livestock rearing.
3.3.2. Residents of District Dir Lower
The category of residents of District Dir Lower encompasses individuals living within the district who may not directly engage in agricultural activities but are impacted by changes in farming practices, environmental conditions, and energy availability resulting from APFS implementation.
3.3.3. Local Authorities and Policymakers
Local authorities and policymakers are individuals responsible for policymaking, planning, and implementing initiatives related to agriculture, energy, and environmental management within District Dir Lower.
3.3.4. Community Leaders and Stakeholders
Community leaders and stakeholder are key individuals or groups within the community who play influential roles in decision-making processes or represent the interests of specific segments of the population affected by APFS implementation.
3.4. Demographic and Socio-Economic Features
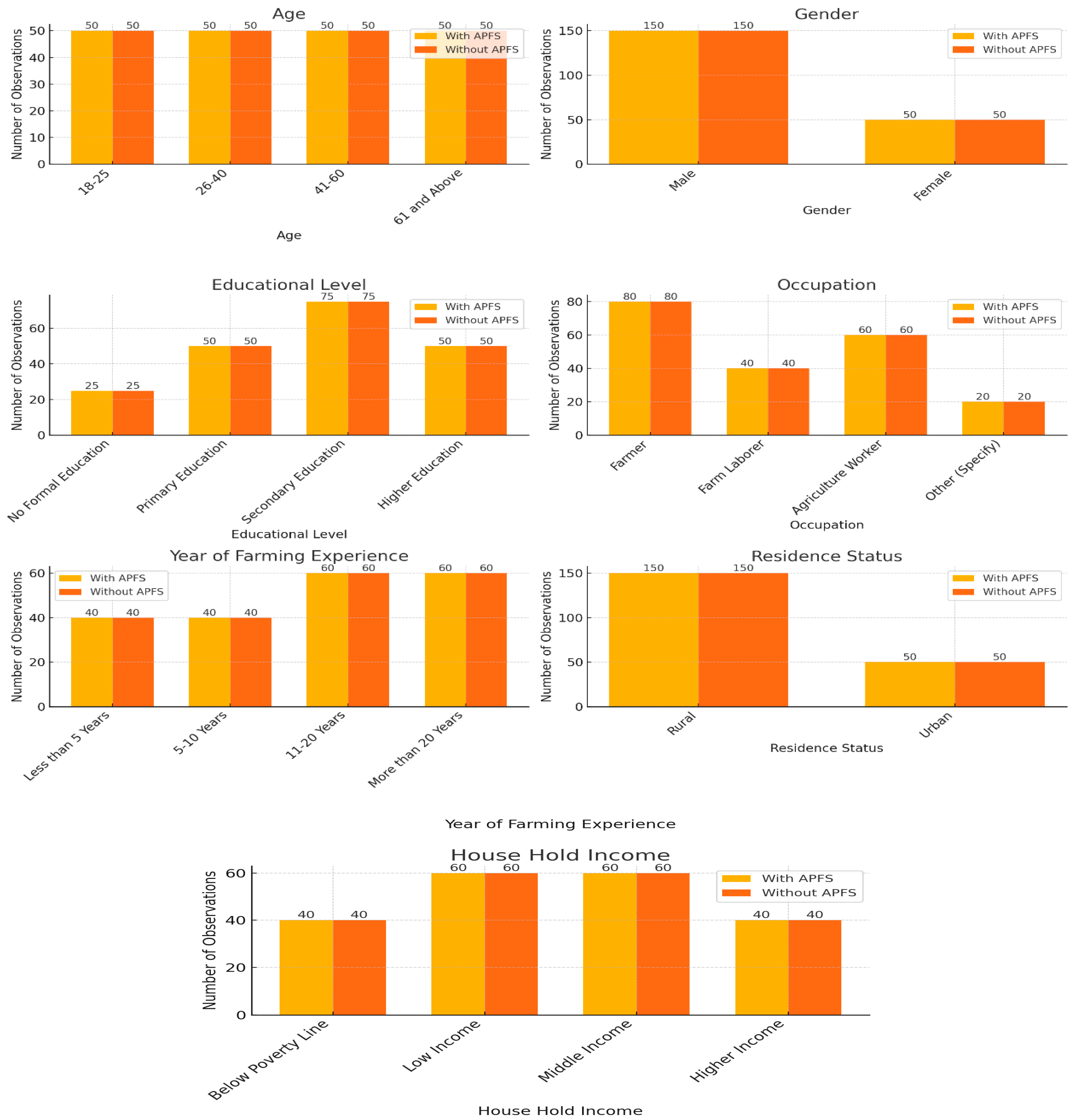
Demographic and socio-economic characteristics such as age, gender, education level, occupation, years of farming experience, residence status, and household income were collected to understand the profile of participants in both the treatment and control groups within District Dir Lower. These characteristics are presented in Table 1, labeled as “Demographic and Socio-Economic Characteristics of Participants”. It is based on the Pakistan Demographic and Health Survey, 2017/18, which is conducted every 8 to 9 years. These surveys encompass comprehensive information related to health, employment, education, and various other aspects of life. The data obtained from these surveys are reliable and authentic, which is why they are frequently used by non-governmental organizations in Pakistan. For this study, some demographic and socio-economic characteristics of the participants have been derived from these surveys, allowing us to utilize this information as a secondary data source. Table 1 outlines the distribution of sample sizes across different categories for both the treatment group (with an APFS) and the control group (without an APFS).
Table 1.
Demographic and socio-economic characteristics of participants.
The study considers participants across various age groups (18–25, 26–40, 41–60, and 61 and above) to understand how different age cohorts are correlated with APFS implementation or the absence thereof. This helps us to assess the demographic diversity and potential differences in responses based on age-related factors. By including both male and female participants, the study aims to examine gender-specific perspectives and experiences regarding APFS implementation and its effects on farming practices, renewable energy production, and community sustainability. This ensures a comprehensive understanding of gender dynamics in the context of the study. Educational attainment influences individuals’ knowledge, skills, and perspectives on agricultural practices and renewable energy technologies. By including participants with various levels of education, the study can assess how education influences perceptions, attitudes, and responses to APFS implementation. Participants with different occupations (e.g., farmers, farm laborers, agricultural workers) are included to capture a range of perspectives and experiences related to APFS implementation. Understanding how various occupational groups perceive and engage with APFSs is essential for assessing their impact on different segments of the agricultural workforce. Farming experience influences individuals’ knowledge, practices, and adaptation to new technologies such as APFSs. By including participants with varying years of farming experience, the study can assess how experience levels influence attitudes, adoption rates, and outcomes related to APFS implementation. Rural and urban residence status reflects participants’ living environments and potential differences in access to resources, infrastructure, and services. By including participants from both rural and urban areas, the study can examine how APFS implementation affects communities with different socio-economic characteristics and infrastructure levels. Household income levels indicate participants’ socio-economic status and potential differences in resources, needs, and vulnerabilities. By including participants from various income brackets, the study can assess how APFS implementation impacts households with different levels of economic security and resilience (see Table 1 and Figure 4).
Figure 4.
Demographic and socio-economic characteristics of respondents. Source: Compiled by the authors in relation to the Pakistan Demographic and Health Survey (2017/18).
3.5. Sampling Procedures and Sample Size
In this study, we aim to assess the impact of APFSs on various stakeholders in District Dir Lower, Pakistan. To ensure the data collected are representative and reliable, we utilize the stratified random sampling technique as recommended by Sekaran and Bougie [19]. This method is particularly suitable given the heterogeneous nature of the population, ensuring that all relevant sub-groups are adequately represented. The total population of District Dir Lower is divided into four main categories: farmers and agricultural workers, residents of District Dir Lower, local authorities and policymakers, and community leaders and stakeholders. The proportional representation of each group within the overall population informs the sample size determination for each category. To compute the sample size for District Dir Lower, Pakistan, using the method outlined Uma Sekaran and Roger Bougie, the following steps are necessary.
3.5.1. Step 1: Determine the Total Sample Size
According to Sekaran and Bougie, the required sample size for a population exceeding 1,000,000 can be found using standard sample size determination tables. For a 95% confidence level and a 5% margin of error, the sample size typically falls around 384. For simplicity and robustness, we round this number up to 400 (Table 2).
Table 2.
Population and target population.
3.5.2. Step 2: Stratify the Population
Given the total population of District Dir Lower (1,473,722), we have the following target populations for each stratum: farmers and agricultural workers, residents of District Dir Lower, local authorities and policymakers, and community leaders and stakeholders.
3.5.3. Step 3: Proportionate Stratified Sampling
To ensure proportional representation, we use proportionate stratified sampling. This means the sample size for each stratum is proportional to its population size relative to the total population (Figure 5).
Figure 5.
Population and target population by strata. Source: Compiled by the authors in relation to the Sekaran and Bougie method.
3.5.4. Step 4: Compute the Sample Size for Each Stratum
We apply the proportionate sampling method to determine the sample size for each stratum.
- Farmers and Agricultural Workers: Proportion: 2.35%; Sample Size: 0.0235 × 400 = 9.4 ≈ 300;
- Residents of District Dir Lower: Proportion: 97.43%; Sample Size: 0.9743 × 400 = 389.72 ≈ 50;
- Local Authorities and Policymakers: Proportion: 0.038%; Sample Size: 0.00038 × 400 = 0.152 ≈ 25;
- Community Leaders and Stakeholders: Proportion: 0.046%; Sample Size: 0.00046 × 400 = 0.184 ≈ 25.
3.5.5. Step 5: Adjust for Practical Constraints
Given the significant impact of farmers on APFS implementation and to reflect the study’s focus, we ensure 300 samples from farmers and agricultural workers. The remaining samples are proportionally distributed among the other strata, as reflected in the proportions used above (Table 3 and Figure 6).
Table 3.
Final sample frame for District Dir Lower.
Figure 6.
Final sample frame for District Dir Lower. Source: Compiled by the authors in relation to the Sekaran and Bougie method.
By adhering to Uma Sekaran and Roger Bougie’s method, we ensure that the sample sizes are proportionate to the population, leading to a representative and statistically valid sample for the study of APFS implementation in District Dir Lower.
3.6. Tool of Data Collection
The researchers employed a multifaceted approach to data collection specifically tailored to assess the impact of APFS implementation in District Dir Lower, Khyber Pakhtunkhwa, Pakistan. The data collection for this study was conducted over a period of six months, from November 2023 to April 2024. This period was chosen to capture both winter and summer agricultural cycles, allowing for a comprehensive assessment of the impact of APFSs throughout different farming seasons. The timing ensured that participants had sufficient exposure to APFSs to provide meaningful and accurate responses. The questionnaires were distributed in person by the research team, ensuring high response rates and the ability to clarify any participant questions immediately.
For the binary variable indicating APFS installation and operation, structured questionnaires were utilized, where participants were asked to indicate whether APFSs were installed and operational on their farms or within their communities, with response options of “Yes” or “No”.
To gauge changes in farming practices resulting from APFS implementation, 5-point Likert scale questions were incorporated into the questionnaires. Participants were asked to rate the degree of changes in farming practices on a scale ranging from 1—“Strongly Disagree” to 5—“Strongly Agree”.
Quantitative measurement of renewable energy production by APFSs was conducted through data collection of the kilowatt-hour (kWh) output or monetary value generated. These data were collected through structured questionnaires and potentially supplemented by secondary sources from local energy providers. Assessment of environmental impacts was conducted using 5-point Likert scale questions embedded in the questionnaires. Participants rated the perceived environmental benefits or challenges associated with APFS implementation, providing insights into the environmental implications of this technology.
For evaluating community resilience, a composite index was created, drawing upon indicators of socio-economic well-being, adaptive capacity, and social cohesion within agricultural communities. This comprehensive assessment was derived from both structured questionnaires and interviews with local authorities, policymakers, and community leaders, allowing for a nuanced understanding of community resilience in the context of APFS implementation.
3.7. Measurement of Variables
3.7.1. Binary Variable for APFS Installation: Measurement: Binary (Yes/No)
Description: Indicates whether APFSs are installed and operational in the participant’s farm or community.
3.7.2. Changes in Farming Practices: Measurement by Likert Scale (1–5)
Description: Participants rate the degree of changes in farming practices following APFS implementation on a scale from 1—“Strongly Disagree” to 5—“Strongly Agree”.
3.7.3. Renewable Energy Production: Measurement in Kilowatt-Hours (kWh) or Monetary Value
Description: Quantitative measurement of renewable energy generated by APFSs, either in terms of kWh output or monetary value.
3.7.4. Environmental Impacts Assessment: Measurement by Likert Scale (1–5)
Description: Participants rate the perceived environmental benefits or challenges associated with APFS implementation on a 5-point Likert scale from 1—“Strongly Disagree” to 5—“Strongly Agree”.
3.7.5. Community Resilience: Measurement by Composite Index
Description: A composite index comprising indicators of socio-economic well-being, adaptive capacity, and social cohesion within agricultural communities. This index is derived from various metrics such as income levels, access to resources, education, infrastructure, community organization, and support networks. It provides a holistic measure of community resilience in the context of APFS implementation.
3.8. Reliability and Validity
Reliability and validity were crucial considerations in the study, facilitated by data collection tools like structured questionnaires, Likert scales, and composite indices. With the aid of the IBM SPSS statistical package, statistical analysis ensured the reliability of the measures through consistent responses across participants, minimizing variability. Stratified random sampling enhanced reliability by ensuring representative sampling. Validity was established through expert review and alignment with theoretical constructs. Comparisons with external criteria, facilitated by SPSS (version 20), validated measurements such as the renewable energy production data. The comprehensive approach, combined with SPSS tools, ensured accurate and robust findings, crucial for assessing the impact of APFS implementation effectively (see Table 4 and Figure 7).
Table 4.
Reliability and validity statistics.
Figure 7.
Reliability and validity statistics. Source: Compiled by the authors.
3.9. Ethical Considerations
Ethical permission was granted by the University of Malakand Department of Sociology, ensuring adherence to ethical guidelines throughout the study. Participants provided informed consent prior to participation, with measures in place to maintain confidentiality and anonymity. Respect for participants’ autonomy, beneficence, and justice principles guided the research process, promoting integrity and transparency in data collection and analysis.
3.10. Data Analysis and Models of the Study
The data were analyzed using SPSS with the following statistical methods: paired t-test, linear regression analysis, ANOVA, and Chi-square test. The hypotheses of the study have been designed in relation to the independent and dependent variables.
3.10.1. Hypothesis 1
The true mean difference in the change in farming practices between the paired samples of the treatment group (with an APFS) and the control group (without an APFS) is equal to zero.
Y1: Change in farming practices for farm i.
APFSi: APFS implementation (1 if implemented, 0 otherwise).
Statistical test: Paired t-test.
3.10.2. Hypothesis 2
APFSs are positively associated with renewable energy production, but this differs between the treatment group and the control group.
Y2i = α0 + α1APFSi + µi
Y2i: Enhancement in renewable energy production for farm i.
APFSi: APFS implementation (1 if implemented, 0 otherwise).
α0: Intercept term.
α1: Binary linear regression coefficient pertained for APFS implementation.
µi: Error term.
Statistical test: Binary linear regression.
3.10.3. Hypothesis 3
There is no difference in variances across the means of mitigation of environmental challenges between the treatment group and the control group.
Y3i: Mitigation of environmental challenges for farm i.
APFSi: APFS implementation (1 if implemented, 0 otherwise).
Statistical test: ANOVA.
3.10.4. Hypothesis 4
The impact of APFSs on community resilience differs between the treatment group and the control group.
Y4i: Community resilience for farm i.
APFSi: APFS implementation (one if implemented, zero otherwise).
Statistical test: Chi-square test.
The presented methodology for agro-photovoltaic fusion systems (APFSs) holds significant potential for worldwide application. Its reliance on solar energy and integration with agricultural practices makes it adaptable to regions with ample sunlight. However, its effectiveness may vary based on local climate conditions, crop types, and socio-economic factors. Regions with sufficient water resources and suitable agricultural practices are likely to benefit the most. Challenges such as initial costs, technological infrastructure, and regulatory frameworks need addressing for widespread adoption. Nevertheless, APFSs offer a sustainable solution by enhancing renewable energy production, improving farming practices, mitigating environmental impacts, and fostering community resilience, making them a promising approach for diverse global agricultural contexts.
The methodology described in this manuscript for evaluating agro-photovoltaic fusion systems (APFSs) in District Dir Lower, Pakistan, is well-suited for application across other regions of the country. Its quasi-experimental design allows for comparative analysis between areas with and without APFSs, addressing the practical constraints of random assignment in real-world settings. The stratified random sampling ensures representative samples, accommodating local variations in agriculture, energy needs, and community dynamics. Structured data collection tools like questionnaires and Likert scales provide a robust means to assess impacts on farming practices, renewable energy production, environmental mitigation, and community resilience. Statistical methods such as paired t-tests, linear regression, ANOVA, and Chi-square tests ensure rigorous analysis of the outcomes. Ethical considerations are carefully managed, maintaining participant confidentiality and consent. Replicating this methodology in other parts of Pakistan would yield valuable insights into the efficacy and implications of APFSs, informing sustainable development initiatives nationwide and supporting evidence-based policy decisions.
The presented methodology for agro-photovoltaic fusion systems (APFSs) shows global applicability but is contingent on local climate, crop type, and socio-economic factors. Regions with adequate sunlight and water resources stand to benefit the most, while arid climates may see limited gains. Crop sensitivity to water availability and soil conditions also influences the outcomes. Social structures, technology access, and governance support are critical for successful implementation. Despite this technology’s adaptability, challenges like high initial costs and regulatory barriers remain. Tailoring strategies to local contexts is essential for maximizing APFSs’ benefits worldwide, ensuring alignment with environmental, agricultural, and socio-economic realities.
4. Results
4.1. Paired t-Test
Table 5 presents a comparison of changes in farming practices between a treatment group that implemented an APFS and a control group that did not. The paired t-test is used to determine if the difference in farming practices between these two groups is statistically significant.
Table 5.
Paired t-test.
Both groups consist of 200 participants each, ensuring a balanced comparison. The average change in farming practices is 4.20 for the treatment group (with an APFS) and 2.80 for the control group (without an APFS). This indicates that the treatment group experienced a greater positive change in farming practices. The treatment group has a standard deviation of 0.85, and the control group has a standard deviation of 0.95. These values show the variability in changes within each group, with the control group having slightly more variability. The standard error of the mean is 0.06 for the treatment group and 0.07 for the control group, indicating the precision of the mean estimates. Lower values suggest more precise estimates. The t-value of 12.56 indicates a significant difference between the means of the two groups. A high t-value reflects a large difference relative to the variability in the data.
The treatment group (mean = 4.20) shows a significantly higher improvement in farming practices compared to the control group (mean = 2.80). This suggests that the implementation of an APFS has a substantial positive impact on farming practices. The extremely high t-value (12.56) and the non-overlapping confidence intervals indicate that the difference in mean changes between the two groups is highly statistically significant. This means that the observed difference is very unlikely to be due to random chance. The low standard deviations and standard errors indicate that the changes in farming practices are consistent among participants within each group, and the mean values are reliable estimates of the true population means.
The results clearly demonstrate that APFS implementation leads to significantly better farming practices (Figure 8). This supports the notion that integrating agro-photovoltaic systems can enhance agricultural efficiency and productivity. These findings provide strong evidence for policymakers and practitioners to consider adopting APFSs as a strategy for sustainable agriculture and renewable energy generation. The substantial improvements in farming practices highlight the potential benefits of such systems in rural and agricultural communities.
Figure 8.
Paired t-test. Source: Authors’ estimations.
4.2. Binary Linear Regression
The results presented in Table 6 of the binary linear regression analysis detail the impact of APFSs on renewable energy production. A detailed explanation of the results for both the treatment group (with APFS implementation) and the control group (without APFS implementation) is given below.
Table 6.
Binary linear regression analysis.
The regression coefficient value of 0.85 indicates a strong positive effect of APFS implementation on renewable energy production. This suggests that with each unit increase in the independent variable (APFS implementation), renewable energy production increases by 0.85 units. The standard error of 0.05 is quite low, indicating that the regression coefficient estimate is precise. The t-value of 17.00 is very high, which means that the regression coefficient is significantly different from zero. The p-value is less than 0.001, which is highly significant. This suggests that the observed relationship between APFS implementation and renewable energy production is statistically significant and not due to random chance. The confidence interval of [0.75, 0.95] does not include 0, which further supports the significance of the regression coefficient. This interval indicates that we can be 95% confident that the true regression coefficient lies within this range. The R-squared value of 0.80 indicates that 80% of the variability in renewable energy production can be explained by the APFS implementation. This is a high value, suggesting a strong explanatory power of the model. The treatment group results are highly significant, confirming the positive impact of APFS on renewable energy production.
The regression coefficient value of 0.10 is much lower, indicating a weak positive effect of the absence of an APFS on renewable energy production. This suggests that without an APFS, renewable energy production increases only slightly. The standard error of 0.15 is higher compared to the treatment group, indicating less precision in the regression coefficient estimate. The t-value of 0.67 is low, suggesting that the regression coefficient is not significantly different from zero. The p-value of 0.504 is not significant, indicating that the observed relationship is likely due to random chance rather than a true effect. The confidence interval of [−0.20, 0.40] includes 0, which means that the true regression coefficient could be 0 or even negative. This further indicates that the effect is not significant. The R-squared value of 0.02 indicates that only 2% of the variability in renewable energy production can be explained by the absence of APFS implementation. This is very low, suggesting a weak explanatory power of the model. The control group results are not significant, confirming that without an APFS, there is no substantial impact on renewable energy production.
The treatment group with an APFS shows substantial increases in energy output, while the control group shows negligible effects, highlighting APFSs’ potential for sustainable energy and agricultural integration (Figure 9).
Figure 9.
Binary linear regression analysis. Source: Authors’ estimations.
4.3. Analysis of Variance (ANOVA)
The ANOVA analysis is presented in Table 7. It assesses the mitigation of environmental challenges due to APFS implementation, comparing the treatment group (with APFS implementation) against the control group (without APFS implementation). The ANOVA results reveal a highly significant difference (p < 0.001) in environmental challenges between the treatment group (with APFS implementation) and the control group (without APFS implementation). The F-statistic for the treatment group is substantially high (F = 150.00), indicating a significant difference in the environmental challenges attributed to APFS implementation. In contrast, the F-statistic for the control group is extremely low (F = 0.0001), suggesting no significant difference in environmental challenges in the absence of APFS implementation. These findings support that APFS implementation has a substantial impact on mitigating environmental challenges, as indicated by the highly significant difference observed between the treatment and control groups.
Table 7.
ANOVA.
Overall, the ANOVA analysis provides strong evidence that APFS implementation plays a crucial role in mitigating environmental challenges, contributing to the sustainability and resilience of agriculture communities in District Dir Lower, Pakistan, as highlighted in the study (Figure 10).
Figure 10.
ANOVA analysis. Source: Authors’ estimations.
4.4. Chi-Square Test
The Chi-square test presented in Table 8 assesses the relationship between the independent variable (IV), which is the implementation of APFSs, and the dependent variable (DV), which is the sustainability, resilience, and prosperity of agricultural communities across the two groups in District Dir Lower, Pakistan.
Table 8.
Chi-square test.
The Chi-square value for the treatment group is highly significant (p < 0.001) across all parameters (χ2, likelihood ratio, linear by linear association). This indicates a significant association between APFS implementation and the sustainability, resilience, and prosperity of agriculture communities in District Dir Lower, Pakistan, while the Chi-square value for the control group is not significant (p > 0.05) across all parameters. This suggests that in the absence of APFS implementation, there is no significant association with the sustainability, resilience, and prosperity of agriculture communities (Figure 11).
Figure 11.
Chi-square test. Source: Authors’ estimations.
5. Discussion
The results of the paired t-test highlight a significant difference, with a positive impact of APFSs on farming practices. The study indicates that the treatment group, which implemented an APFS, experienced a substantially higher improvement in farming practices compared to the control group.
The results of our study align with findings from previous research that highlight the positive impact of agro-photovoltaic systems on farming practices. For instance, research by Liu, Yang [20] and Smith, Williams [21] has shown that the implementation of APFSs can lead to improved agricultural productivity by optimizing the use of land and providing partial shading, which can benefit certain crops. The significant increase in the average change in farming practices (mean = 4.20) for the treatment group in our study is consistent with these findings, demonstrating the practical benefits of APFSs in enhancing farming efficiency. The lower standard deviation and standard error observed in our study for the treatment group suggest more consistent improvements among participants, which is supported by Hailu and Poon [22], who found that APFSs can stabilize agricultural outputs by reducing the variability caused by climatic factors. This consistency in the treatment group underscores the reliability of APFSs as a method to enhance farming practices.
While our study indicates significant improvements in farming practices with APFS implementation, other studies, such as those by Weselek, Bauerle [23], have reported mixed results depending on the region and type of crops grown. For instance, in some regions, the integration of photovoltaic panels can lead to challenges such as reduced crop yields due to excessive shading. The lower variability in changes within the control group in our study might reflect local conditions in District Dir Lower, which are particularly favorable for APFSs. A study by Tareen, Aamir [24] pointed out barriers to APFS adoption, including high initial costs and technical challenges. Our study’s significant t-value (12.56) and the non-overlapping confidence intervals indicate a strong positive effect of APFSs, suggesting that these barriers were effectively managed or mitigated in our study area. This difference might be due to specific local policies or support mechanisms in place that are not as prevalent in other regions.
This study offers new insights specific to District Dir Lower, Pakistan, a region that has not been extensively studied in the context of APFSs. By providing empirical evidence from this particular area, the study contributes valuable information that can help to tailor APFS implementations to local conditions. This regional focus is crucial for understanding how APFSs can be adapted to different environments and agricultural systems. The low standard deviations and standard errors in our study indicate precise measurements and reliable estimates. This level of precision is not always present in broader studies, which might use more aggregated or less detailed data. Our findings provide a clear and accurate picture of the impact of APFSs on farming practices, reinforcing the validity of the results. Unlike some broader studies, our research provides concrete data that can inform local and regional policymakers about the benefits of APFSs. The significant improvements in farming practices observed in our study highlight the potential for APFSs to enhance agricultural productivity and efficiency, making a strong case for their adoption in similar rural and agricultural communities. By comparing the treatment and control groups, our study highlights the stark differences in farming practice improvements with and without an APFS. This clear contrast, supported by statistical significance, provides robust evidence for the effectiveness of APFSs. The control group’s lower mean change (2.80) indicates that traditional farming practices do not achieve the same level of improvement, emphasizing the transformative potential of APFSs.
The results presented regarding the binary linear regression shed light on the significant impact of APFSs on renewable energy production. The findings demonstrate a substantial increase in energy output for the treatment group with APFS implementation, contrasting sharply with the negligible effects observed in the control group without an APFS. Several studies, such as those by Weselek, Bauerle [25] and Weselek, Ehmann [26], have documented the benefits of integrating photovoltaic systems with agricultural activities. These studies highlight the dual use of land to produce both food and energy, thereby increasing land-use efficiency and boosting overall productivity. The strong positive coefficient (0.85) observed in our study aligns well with these findings, confirming the synergistic benefits of APFSs in enhancing renewable energy production.
Research by Bajaj and Singh [27] and Gandoman, Ahmadi [28] also supports the notion that APFSs can significantly contribute to renewable energy goals while offering economic advantages to farmers. The high R-squared value (0.80) in our study suggests that a substantial portion of the variability in energy production can be explained by APFS implementation, reinforcing the economic viability and environmental benefits documented in these studies. While our study shows highly significant results in the context of District Dir Lower, Pakistan, other studies, such as those by Qazi and Mustafa [29] and Tareen, Mekhilef [30], have indicated variability in outcomes based on regional differences. These studies suggest that factors like climate, crop types, and local economic conditions can influence the effectiveness of APFSs. The relatively weaker results in the control group (coefficient of 0.10 and R-squared of 0.02) may reflect specific local conditions that limit renewable energy production without an APFS. Studies like those by Pascaris, Schelly [31] have pointed out various challenges in implementing APFSs, including initial costs, maintenance issues, and farmer acceptance. Our findings, with precise regression coefficient estimates and significant p-values, suggest successful implementation in the study area. This indicates that overcoming these challenges can lead to substantial benefits, a nuance that might not be as pronounced in other regions or studies with different implementation contexts [32]. By focusing on a relatively underexplored area, the study contributes valuable data that can inform local policy and investment decisions in renewable energy infrastructure. The low standard error (0.05) and high t-value (17.00) observed for the treatment group indicate a high level of precision in our estimates. This level of detail is not always evident in broader studies, which may use aggregated data or face greater variability. The precise measurements here strengthen the empirical support for the positive impact of APFSs. While many studies highlight the potential benefits of APFSs, this study provides concrete evidence of significant impacts in a specific local context, thereby offering a practical case study for policymakers. The results can be used to advocate for targeted investments in APFSs in similar regions, addressing both energy and agricultural productivity goals.
By comparing the treatment and control groups, the study highlights the stark difference in renewable energy production with and without an APFS. This comparison underscores the importance of APFS implementation and provides a clear argument for its adoption. The control group’s negligible effects suggest that traditional methods are insufficient in significantly boosting renewable energy production, an aspect that adds depth to the existing body of literature.
The significant impact of APFSs on mitigating environmental challenges, as demonstrated by the high F-statistic (150.00) and the highly significant p-value (< 0.001) in our study, aligns with findings from prior research. Studies such as those by Chang, Xu [33] and Mohamed Noor, Wong [34] have documented the environmental benefits of APFSs, including reduced land degradation, improved soil health, and decreased water usage. These benefits contribute to the overall sustainability of agricultural practices, supporting the positive outcomes observed in our treatment group. Research by Brockway, Saunders [35] has shown that APFSs can significantly reduce the carbon footprint of agricultural activities by integrating renewable energy production with farming. The substantial difference in environmental challenges between the treatment and control groups in our study corroborates these findings, suggesting that APFSs not only support sustainable agriculture but also enhance environmental resilience.
While our study indicates a clear and significant positive impact of APFSs on environmental challenges, other studies have reported more varied outcomes depending on regional and implementation differences. For example, Huang, Lee [36] found that the effectiveness of APFSs in mitigating environmental challenges can vary significantly based on local climate conditions, crop types, and specific implementation strategies. The extremely low F-statistic (0.0001) for the control group in our study highlights the stark contrast in outcomes without an APFS, emphasizing the importance of considering the local context in assessing APFSs’ impacts. Wen, Chen [37] discussed various barriers to the effective implementation of APFSs, such as high initial costs and the need for specialized knowledge. These barriers can affect the overall environmental benefits of APFSs. Our study’s strong results suggest that such barriers were effectively managed or were less impactful in District Dir Lower, Pakistan, possibly due to specific local support mechanisms or policies that facilitated successful APFS implementation.
This study provides detailed insights specific to District Dir Lower, Pakistan, contributing valuable data to the relatively sparse literature on APFSs’ impacts in this region. By focusing on a specific local context, our study offers practical implications for policymakers and practitioners aiming to enhance environmental sustainability in similar rural and agricultural communities. The highly significant ANOVA results and the marked difference in F-statistics between the treatment and control groups provide robust statistical evidence of the positive impact of APFSs on mitigating environmental challenges. This level of statistical rigor and clarity is not always present in broader studies, which may deal with more aggregated data and face greater variability. Our findings offer a precise and reliable assessment of APFSs’ benefits, reinforcing the empirical support for their adoption. Unlike some broader studies, our research provides concrete, localized data that can inform targeted policy decisions. The clear evidence of substantial environmental benefits from APFS implementation supports the development of policies that promote the adoption of APFSs in regions with similar conditions, thereby enhancing both agricultural productivity and environmental sustainability.
By comparing the treatment group (with an APFS) and the control group (without an APFS), our study highlights the significant differences in environmental challenges mitigated by APFSs. The extremely low F-statistic for the control group underscores the lack of significant environmental improvements without an APFS, further emphasizing the effectiveness of APFSs in addressing environmental issues. This direct comparison provides compelling evidence for the superiority of APFSs over traditional farming practices in mitigating environmental challenges.
The highly significant Chi-square values (p < 0.001) observed for the treatment group align with findings from previous research that emphasize the positive impact of APFSs on the sustainability and resilience of agricultural communities. Studies such as those by Agostini, Colauzzi [38] and Barron-Gafford, Pavao-Zuckerman [39] have shown that integrating photovoltaic systems with agriculture can lead to more sustainable farming practices, improved crop yields, and greater economic resilience. The significant association between APFS implementation and the prosperity of agricultural communities in our study supports these findings, indicating that APFSs can provide substantial benefits in terms of economic and environmental sustainability. Research by Neira, Montiel [40] and Lynch, MacRae [41] has documented how APFSs can improve the livelihoods of farmers by providing additional income streams from energy production and reducing dependency on traditional agricultural methods. The significant Chi-square results in our study suggest that APFS implementation is associated with enhanced prosperity in agricultural communities, reinforcing the idea that APFSs can contribute to both economic and social resilience.
While our study shows a highly significant association between APFS implementation and the sustainability, resilience, and prosperity of agricultural communities in District Dir Lower, other studies have reported mixed results depending on the region and specific conditions. For example, Bajaj and Singh [27] found that the benefits of APFSs can vary widely based on local climatic conditions, types of crops grown, and the design of the photovoltaic systems. The non-significant Chi-square values (p > 0.05) for the control group in our study highlight the importance of the local context in determining the effectiveness of APFSs, suggesting that the absence of APFSs may not lead to significant improvements in all regions. Studies have pointed out various challenges in the adoption and implementation of APFSs, including high initial costs, technical barriers, and a lack of awareness among farmers [42,43,44]. Our study’s significant Chi-square results indicate successful implementation in District Dir Lower, possibly due to effective local policies or support mechanisms that addressed these challenges. This contrast highlights the importance of supportive infrastructure and education in realizing the benefits of APFSs.
By focusing on a specific local area, our study adds valuable data that can inform regional policy and implementation strategies. This localized approach helps us to understand the unique factors that contribute to the success of APFSs in different settings. The highly significant Chi-square values across all parameters in the treatment group, contrasted with the non-significant values in the control group, provide robust statistical evidence of the positive impact of APFSs. This level of detail and statistical rigor offers a clear and compelling argument for the effectiveness of APFSs, which is not always evident in broader studies that may face greater variability and less precise measurements. Unlike some broader studies, our research provides concrete evidence that can directly inform local policy decisions. The significant association between APFS implementation and the sustainability, resilience, and prosperity of agricultural communities supports the development of targeted policies to promote APFSs in regions with similar conditions. This study emphasizes the practical benefits of APFSs and provides a strong basis for advocating its wider adoption. By comparing the treatment group with the control group, our study highlights the stark differences in outcomes with and without an APFS. The non-significant Chi-square values for the control group indicate that traditional farming practices alone are insufficient in significantly improving sustainability, resilience, and prosperity. This clear contrast underscores the transformative potential of APFSs, providing strong empirical support for their implementation.
6. Conclusions
This study provides comprehensive evidence of the positive impact of APFSs on agricultural and energy-related parameters. The implementation of APFSs has led to significant changes in farming practices in the treatment group, while the control group showed no significant changes. The binary linear regression analysis reveals that APFS implementation significantly boosts renewable energy production, with a strong positive effect observed in the treatment group, whereas the control group showed a minimal and non-significant impact. Additionally, the ANOVA analysis indicates that APFS implementation substantially mitigates environmental challenges, a benefit not observed in the control group. The Chi-square test further supports a strong association between APFS implementation and the sustainability, resilience, and prosperity of agricultural communities, an association not found in the control group. Overall, the study robustly demonstrates that APFSs have a profound positive impact on farming practices, renewable energy production, environmental challenges’ mitigation, and the sustainability and resilience of agricultural communities. These findings strongly support the potential of APFSs to integrate sustainable agriculture with renewable energy generation, thereby significantly contributing to the overall development and resilience of agricultural communities in District Dir Lower, Pakistan, making a compelling case for the wider adoption of APFSs in similar contexts.
Based on the findings of this study in District Dir Lower, Pakistan, the methodology for evaluating agro-photovoltaic fusion systems (APFSs) demonstrates their potential for widespread application. The quasi-experimental design and rigorous statistical analyses have provided compelling evidence of APFSs’ positive impact on farming practices, renewable energy production, environmental mitigation, and community resilience. These results underscore APFSs’ capability to integrate sustainable agriculture with renewable energy generation, offering a pathway to enhance agricultural productivity while reducing the environmental impact. However, the study also highlights the importance of adapting APFS strategies to local climate conditions, crop characteristics, socio-economic factors, and technological readiness in different regions. Addressing these nuances will be crucial for realizing APFSs’ full potential globally, ensuring their effective adoption and contribution to sustainable development goals in diverse agricultural settings.
6.1. Policy Implications
Policymakers should consider promoting and incentivizing the implementation of APFSs due to their demonstrated benefits in enhancing farming practices, increasing renewable energy production, and mitigating environmental challenges. Support for APFSs could involve subsidies, tax incentives, or grants for farmers and communities willing to adopt these systems. Additionally, integrating APFSs into national renewable energy and agricultural development plans could foster more sustainable and resilient agricultural communities. Training programs and technical support for farmers to facilitate the transition to APFSs should also be prioritized. The significant positive impact on the sustainability, resilience, and prosperity of agricultural communities underscores the importance of APFSs in addressing both energy and agricultural needs.
6.2. Limitations and Future Directions
One limitation is the geographical focus on District Dir Lower, Pakistan, which may limit the generalizability of the findings to other regions with different climatic, socio-economic, and agricultural conditions. Future research could explore the impact of APFSs in diverse locations to enhance the results’ applicability. The study primarily uses quantitative methods, potentially overlooking qualitative aspects such as farmers’ experiences and socio-cultural factors influencing adoption. Mixed-method approaches in future research could provide a more comprehensive understanding of APFS adoption barriers and facilitators. Another limitation is the short-term assessment of APFS implementation. Longitudinal studies are needed to evaluate the long-term sustainability and economic viability of APFSs and their impact on crop yields and energy production over multiple seasons. Additionally, the study focuses on immediate environmental benefits. Future research could delve deeper into specific environmental impacts, like soil health and biodiversity, for a more detailed ecological assessment. Financial analysis, including cost–benefit analysis and return on investment, is not extensively covered. Future research should address the economic feasibility and scalability of APFSs for smallholder and large-scale farmers. Lastly, the interaction between APFSs and existing agricultural practices is not fully explored. Future studies could investigate how APFSs can be integrated with other sustainable practices to maximize the benefits.
Author Contributions
Conceptualization, U.D. and Š.B.; methodology, Y.K.; software, U.D.; validation, Š.B., Y.K. and U.D.; formal analysis, U.D.; investigation, Y.K.; resources, Š.B.; data duration, U.D.; writing—original draft preparation, U.D.; writing—review and editing, Š.B. and Y.K.; visualization, U.D.; supervision, Š.B.; project administration, Š.B. and Y.K.; funding acquisition, Š.B. All authors have read and agreed to the published version of the manuscript.
Funding
Štefan Bojnec acknowledges support from the Slovenian Research and Innovation Agency (ARIS), SiZDRAV, Grant Number P5-0454.
Data Availability Statement
Data will be available as per demand from the corresponding author.
Acknowledgments
The authors acknowledge the participants in helping us to collect the data.
Conflicts of Interest
The authors declare no conflicts of interest.
References
- Das, S.R.; Ray, P.K.; Sahoo, A.K.; Ramasubbareddy, S.; Babu, T.S.; Kumar, N.M.; Elavarasan, R.M.; Mihet-Popa, L. A comprehensive survey on different control strategies and applications of active power filters for power quality improvement. Energies 2021, 14, 4589. [Google Scholar] [CrossRef]
- Santos, J.; Domingos, T.; Sousa, T.; Aubyn, M.S. Useful exergy is key in obtaining plausible aggregate production functions and recognizing the role of energy in economic growth: Portugal 1960–2009. Ecol. Econ. 2018, 148, 103–120. [Google Scholar] [CrossRef]
- Hariri, M.H.M.; Desa, M.K.M.; Masri, S.; Zainuri, M.A.A.M. Grid-connected PV generation system—Components and challenges: A review. Energies 2020, 13, 4279. [Google Scholar] [CrossRef]
- Regmi, B.R.; Star, C.; Filho, W.L. An overview of the opportunities and challenges of promoting climate change adaptation at the local level: A case study from a community adaptation planning in Nepal. Clim. Chang. 2016, 138, 537–550. [Google Scholar] [CrossRef]
- Mancini, F.; Nastasi, B. Solar energy data analytics: PV deployment and land use. Energies 2020, 13, 417. [Google Scholar] [CrossRef]
- Zaleskiewicz, H.; Kulis, E.; Siwa, M.; Szczuka, Z.; Banik, A.; Grossi, F.; Chrysochou, P.; Nystrand, B.T.; Perrea, T.; Samoggia, A.; et al. Geographical context of European consumers’ choices of alternative protein food: A systematic review. Food Qual. Prefer. 2024, 117, 105174. [Google Scholar] [CrossRef]
- Hussain, M.I.; Muscolo, A.; Farooq, M.; Ahmad, W. Sustainable use and management of non-conventional water resources for rehabilitation of marginal lands in arid and semiarid environments. Agric. Water Manag. 2019, 221, 462–476. [Google Scholar] [CrossRef]
- Dash, D.K.; Sadhu, P.K. A Review on the Use of Active Power Filter for Grid-Connected Renewable Energy Conversion Systems. Processes 2023, 11, 1467. [Google Scholar] [CrossRef]
- Kumar, D.S.; Gandhi, O.; Rodríguez-Gallegos, C.D.; Srinivasan, D. Review of power system impacts at high PV penetration Part II: Potential solutions and the way forward. Sol. Energy 2020, 210, 202–221. [Google Scholar] [CrossRef]
- Arif, M.N.; Waqas, A.; Butt, F.A.; Mahmood, M.; Khoja, A.H.; Ali, M.; Ullah, K.; Mujtaba, M.; Kalam, M. Techno-economic assessment of solar water heating systems for sustainable tourism in northern Pakistan. Alex. Eng. J. 2022, 61, 5485–5499. [Google Scholar] [CrossRef]
- Tiga, N. Carbon Stock Potential of Agroforestry Systems in Savannah West Africa: A Case Study of Agroforestry Parkland in Burkina Faso; Department of Planning, Kwame Nkrumah University of Science and Technology: Kumasi, Ghana, 2019. [Google Scholar]
- Takimoto, A.; Nair, P.R.; Nair, V.D. Carbon stock and sequestration potential of traditional and improved agroforestry systems in the West African Sahel. Agric. Ecosyst. Environ. 2008, 125, 159–166. [Google Scholar] [CrossRef]
- Ren, S.-Y.; Ni, H.-G. A method for measuring the emissions of in situ agricultural plastic film microplastics by ultraviolet and mechanical abrasion. Sci. Total. Environ. 2022, 819, 152041. [Google Scholar] [CrossRef] [PubMed]
- Ashraf, A. Risk modeling of soil erosion under different land use and rainfall conditions in Soan river basin, sub-Himalayan region and mitigation options. Model. Earth Syst. Environ. 2020, 6, 417–428. [Google Scholar] [CrossRef]
- Maity, R.; Sudhakar, K.; Razak, A.A.; Karthick, A.; Barbulescu, D. Agrivoltaic: A strategic assessment using SWOT and TOWS Matrix. Energies 2023, 16, 3313. [Google Scholar] [CrossRef]
- Grison, C.; Cases, L.; Hossaert-McKey, M.; Le Moigne, M. Photovoltaism, Agriculture and Ecology: From Agrivoltaism to Ecovoltaism; John Wiley & Sons: Hoboken, NJ, USA, 2022. [Google Scholar]
- Maraveas, C.; Kotzabasaki, M.I.; Bayer, I.S.; Bartzanas, T. Sustainable greenhouse covering materials with nano- and micro-particle additives for enhanced radiometric and thermal properties and performance. Agriengineering 2023, 5, 1347–1377. [Google Scholar] [CrossRef]
- Khan, Y.; Daraz, U.; Bojnec, Š. Enhancing Food Security and Nutrition through Social Safety Nets: A Pathway to Sustainable Development. Sustainability 2023, 15, 14347. [Google Scholar] [CrossRef]
- Sekaran, U.; Bougie, R. Research Methods for Business: A Skill Building Approach; John Wiley & Sons: Hoboken, NJ, USA, 2016. [Google Scholar]
- Liu, X.-X.; Yang, M.; Arnó, J.; Kriticos, D.J.; Desneux, N.; Zalucki, M.P.; Lu, Z. Protected agriculture matters: Year-round persistence of Tuta absoluta in China where it should not. Èntomol. Gen. 2023, 44, 279–287. [Google Scholar] [CrossRef] [PubMed]
- Smith, L.G.; Williams, A.G.; Pearce, B.D. The energy efficiency of organic agriculture: A review. Renew. Agric. Food Syst. 2015, 30, 280–301. [Google Scholar] [CrossRef]
- Hailu, G.; Poon, K. Do farm support programs reward production inefficiency? Can. J. Agric. Econ./Rev. Can. D’agroeconomie 2017, 65, 567–589. [Google Scholar] [CrossRef]
- Weselek, A.; Bauerle, A.; Hartung, J.; Zikeli, S.; Lewandowski, I.; Högy, P. Agrivoltaic system impacts on microclimate and yield of different crops within an organic crop rotation in a temperate climate. Agron. Sustain. Dev. 2021, 41, 1–15. [Google Scholar] [CrossRef]
- Tareen, W.U.K.; Aamir, M.; Mekhilef, S.; Nakaoka, M.; Seyedmahmoudian, M.; Horan, B.; Memon, M.A.; Baig, N.A. Mitigation of power quality issues due to high penetration of renewable energy sources in electric grid systems using three-phase APF/STATCOM technologies: A review. Energies 2018, 11, 1491. [Google Scholar] [CrossRef]
- Weselek, A.; Bauerle, A.; Zikeli, S.; Lewandowski, I.; Högy, P. Effects on crop development, yields and chemical composition of celeriac (Apium graveolens L. var. rapaceum) cultivated underneath an agrivoltaic system. Agronomy 2021, 11, 733. [Google Scholar] [CrossRef]
- Weselek, A.; Ehmann, A.; Zikeli, S.; Lewandowski, I.; Schindele, S.; Högy, P. Agrophotovoltaic systems: Applications, challenges, and opportunities. A review. Agron. Sustain. Dev. 2019, 39, 35. [Google Scholar] [CrossRef]
- Bajaj, M.; Singh, A.K. Grid integrated renewable DG systems: A review of power quality challenges and state-of-the-art mitigation techniques. Int. J. Energy Res. 2020, 44, 26–69. [Google Scholar] [CrossRef]
- Gandoman, F.H.; Ahmadi, A.; Sharaf, A.M.; Siano, P.; Pou, J.; Hredzak, B.; Agelidis, V.G. Review of FACTS technologies and applications for power quality in smart grids with renewable energy systems. Renew. Sustain. Energy Rev. 2018, 82, 502–514. [Google Scholar] [CrossRef]
- Qazi, S.H.; Mustafa, M.W. Review on active filters and its performance with grid connected fixed and variable speed wind turbine generator. Renew. Sustain. Energy Rev. 2016, 57, 420–438. [Google Scholar] [CrossRef]
- Tareen, W.U.; Mekhilef, S.; Seyedmahmoudian, M.; Horan, B. Active power filter (APF) for mitigation of power quality issues in grid integration of wind and photovoltaic energy conversion system. Renew. Sustain. Energy Rev. 2017, 70, 635–655. [Google Scholar] [CrossRef]
- Pascaris, A.S.; Schelly, C.; Pearce, J.M. A First Investigation of Agriculture Sector Perspectives on the Opportunities and Barriers for Agrivoltaics. Agronomy 2020, 10, 1885. [Google Scholar] [CrossRef]
- Laghari, F.; Ahmed, F.; Li, H.-X.; Bojnec, Š. Decoupling of Electricity Consumption Efficiency, Environmental Degradation and Economic Growth: An Empirical Analysis. Energies 2023, 16, 2620. [Google Scholar] [CrossRef]
- Chang, H.; Xu, J.; Macqueen, L.A.; Aytac, Z.; Peters, M.M.; Zimmerman, J.F.; Xu, T.; Demokritou, P.; Parker, K.K. High-throughput coating with biodegradable antimicrobial pullulan fibres extends shelf life and reduces weight loss in an avocado model. Nat. Food 2022, 3, 428–436. [Google Scholar] [CrossRef]
- Noor, M.H.M.; Wong, S.; Ngadi, N.; Inuwa, I.M.; Opotu, L.A. Assessing the effectiveness of magnetic nanoparticles coagulation/flocculation in water treatment: A systematic literature review. Int. J. Environ. Sci. Technol. 2022, 19, 6935–6956. [Google Scholar] [CrossRef]
- Brockway, P.E.; Saunders, H.; Heun, M.K.; Foxon, T.J.; Steinberger, J.K.; Barrett, J.R.; Sorrell, S. Energy rebound as a potential threat to a low-carbon future: Findings from a new exergy-based national-level rebound approach. Energies 2017, 10, 51. [Google Scholar] [CrossRef]
- Huang, K.-C.; Lee, C.-J.; Chan, S.-L.; Tai, C.-H. Vulnerability assessment and adaptation strategies for the impact of climate change on agricultural land in Southern Taiwan. Sustainability 2021, 12, 4637. [Google Scholar] [CrossRef]
- Wen, G.; Chen, C.L.P.; Dou, H.; Yang, H.; Liu, C. Formation control with obstacle avoidance of second-order multi-agent systems under directed communication topology. Sci. China Inf. Sci. 2019, 62, 1–14. [Google Scholar] [CrossRef]
- Agostini, A.; Colauzzi, M.; Amaducci, S. Innovative agrivoltaic systems to produce sustainable energy: An economic and environmental assessment. Appl. Energy 2020, 281, 116102. [Google Scholar] [CrossRef]
- Barron-Gafford, G.A.; Pavao-Zuckerman, M.A.; Minor, R.L.; Sutter, L.F.; Barnett-Moreno, I.; Blackett, D.T.; Thompson, M.; Dimond, K.; Gerlak, A.K.; Nabhan, G.P.; et al. Agrivoltaics provide mutual benefits across the food-energy-water nexus in drylands. Nat. Sustain. 2019, 2, 848–855. [Google Scholar] [CrossRef]
- Neira, D.P.; Montiel, M.S.; Fernández, X.S. Energy Analysis of Organic Farming in Andalusia (Spain). J. Sustain. Agric. 2013, 37, 231–256. [Google Scholar] [CrossRef]
- Lynch, D.H.; MacRae, R.; Martin, R.C. The carbon and global warming potential impacts of organic farming: Does it have a significant role in an energy constrained world? Sustainability 2011, 3, 322–362. [Google Scholar] [CrossRef]
- Katz-Rosene, R.; Heffernan, A.; Arora, A. Protein pluralism and food systems transition: A review of sustainable protein meta-narratives. World Dev. 2023, 161, 106121. [Google Scholar] [CrossRef]
- Chatterjee, S.; Kumar, P.; Chatterjee, S. A techno-commercial review on grid connected photovoltaic system. Renew. Sustain. Energy Rev. 2018, 81, 2371–2397. [Google Scholar] [CrossRef]
- Bojnec, S.; Papler, D. Can solar electricity production and use help to promote economic development in Africa? Afr. J. Bus. Manag. 2011, 5, 6949. [Google Scholar]
Disclaimer/Publisher’s Note: The statements, opinions and data contained in all publications are solely those of the individual author(s) and contributor(s) and not of MDPI and/or the editor(s). MDPI and/or the editor(s) disclaim responsibility for any injury to people or property resulting from any ideas, methods, instructions or products referred to in the content. |
© 2024 by the authors. Licensee MDPI, Basel, Switzerland. This article is an open access article distributed under the terms and conditions of the Creative Commons Attribution (CC BY) license (https://creativecommons.org/licenses/by/4.0/).










