An iPWR MELCOR 2.2 Study on the Impact of the Modeling Parameters on Code Performance and Accident Progression
Abstract
1. Introduction
2. SASPAM-SA Project
3. Generic iPWR Model
3.1. Detailed Description of the Generic iPWR Studied
3.2. MELCOR Input Deck
4. Parametric Sensitivity Study
4.1. Studied Accident Sequence and Assumptions
4.2. Studied Parameters and Calculated Cases
4.3. Additional Cases
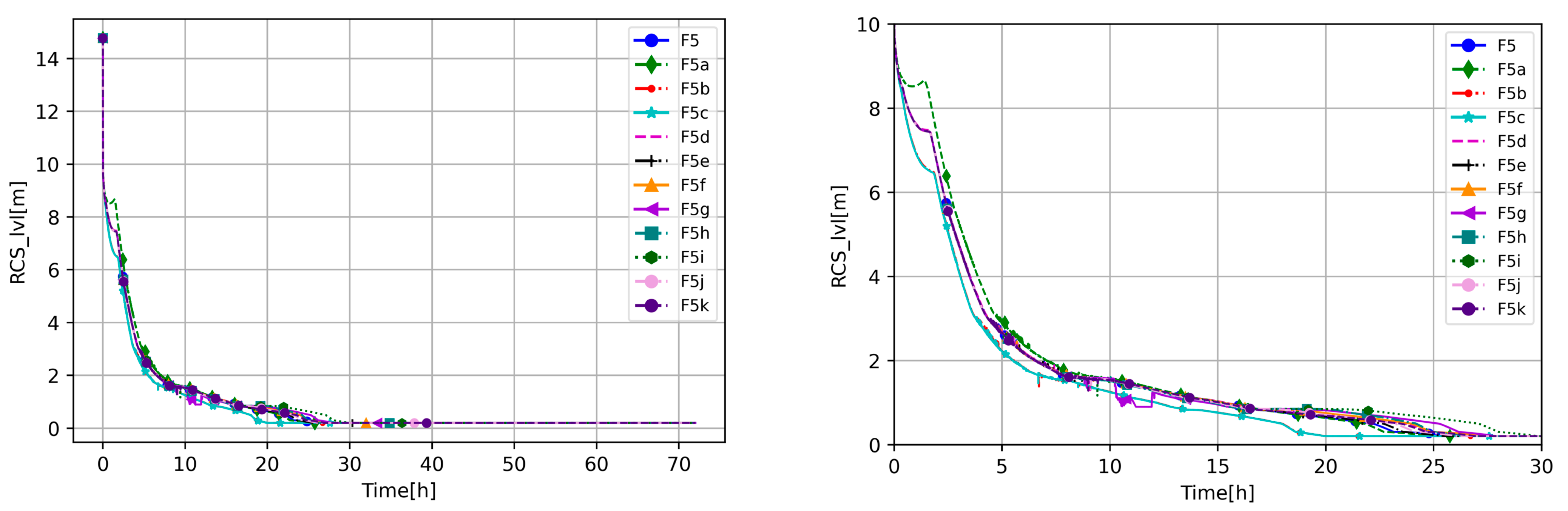
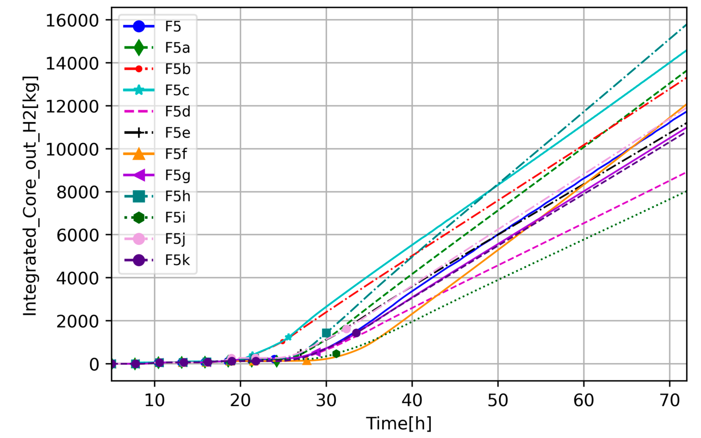
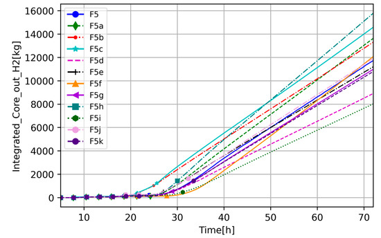
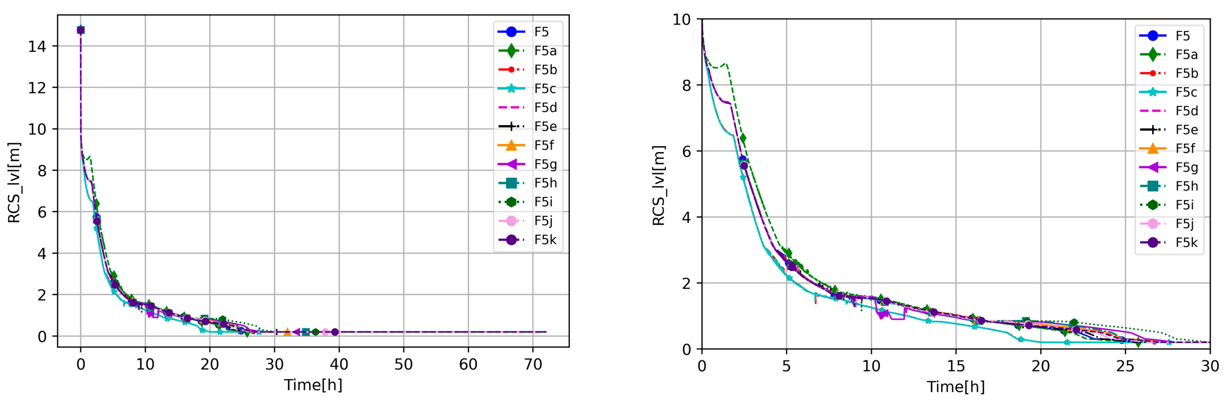
5. Results and Discussion
5.1. Sensitivity Cases
5.2. Multiple Parameter Cases
6. Conclusions
Author Contributions
Funding
This work has received funding from the Swiss State Secretariat for Education, Research, and Innovation (SERI). The grant number 22.00079.
The activities of the second author, Piotr Darnowski, and his scientific visit to PSI were financed by the Mobility PW II program at Warsaw University of Technology, agreement number 1820/128/Z09/2022. Mobility PW was financed by the Republic of Poland state budget as part of the “Excellence Initiative—Research University” (IDUB) program at the Warsaw University of Technology.
Data Availability Statement
Conflicts of Interest
References
- IAEA. Advances in Small Modular Reactor Technology Developments—A Supplement to: IAEA Advanced Reactors Information System (ARIS); International Atomic Energy Agency: Vienna, Austria, 2022. [Google Scholar]
- IAEA. SMR Regulators’ Forum Pilot Project Report: Considering the Application of a Graded Approach, Defence-in-Depth and Emergency Planning Zone Size for Small Modular Reactors; International Atomic Energy Agency: Vienna, Austria, 2018. [Google Scholar]
- European SMR Pre-Partnership Report, Workstream 5—Research, Development, and Innovation Roadmap. 2023. Available online: https://snetp.eu/wp-content/uploads/2023/07/European-SMR-pre-Partnership-WS5-report-and-roadmap-30-June-2023.pdf (accessed on 15 March 2024).
- Mascari, F.; Woods, B.G.; Welter, K.; D’Auria, F.; Bersano, A.; Maccari, P. Small modular reactors and insights on passive mitigation strategy modeling. Nucl. Eng. Des. 2023, 401, 112088. [Google Scholar] [CrossRef]
- Di Giuli, M.; Malicki, M.; Dejardin, P.; Corda, V.; Swaidan, A.M. MELCOR 2.2-ASTEC V2.2 crosswalk study reproducing SBLOCA and CSBO scenarios in a PWR1000-like reactor part I: Analysis of RCS thermal-hydraulics and in-vessel phenomena. Nucl. Eng. Des. 2022, 387, 111248. [Google Scholar] [CrossRef]
- Brumm, S.; Gabrielli, F.; Sanchez-Espinoza, V.; Stakhanova, A.; Nudi, M.; Groudev, P.; Ou, P.; Herranz, L.E. Uncertainty quantification for severe-accident reactor modelling: Set-up and first results of the Horizon-2020 project MUSA. Ann. Nucl. Energy 2023, 191, 109919. [Google Scholar] [CrossRef]
- Li, L.; Kim, T.W.; Zhang, Y.; Revankar, S.T.; Tian, W.; Su, G.H.; Qiu, S. MELCOR severe accident analysis for a natural circulation small modular reactor. Prog. Nucl. Energy 2017, 100, 197–208. [Google Scholar] [CrossRef]
- European Commission. Safety Analysis of SMR with PAssive Mitigation Strategies—Severe Accident—SASPAM-SA Project. 2023. Available online: https://cordis.europa.eu/project/id/101059853/de (accessed on 15 March 2024).
- Nuclear Regulatory Commission. MELCOR Best Practices as Applied in the State-of-the-Art Reactor Consequence Analyses (SOARCA) Project. NUREG/CR-7008; Nuclear Regulatory Commission: Washington, DC, USA, 2014. [Google Scholar]
- Humphries, L.L.; Beeny, B.A.; Gelbard, F.; Louie, D.L.; Phillips, J. MELCOR Computer—Code Manuals, Vol 1: User Manual; Version 2.2.14959; Sandia National Laboratories: Albuquerque, NM, USA, 2019. [Google Scholar]
- Xiang, Q.; Deng, J.; Du, J.; Bi, J.; Chen, B.; Li, W. Research on debris in-vessel cooling and retention behavior for the small modular reactor ACP100. Prog. Nucl. Energy 2021, 134, 103641. [Google Scholar] [CrossRef]
- Jiang, N.; Peng, M.; Cong, T. Flow instability analysis of natural circulation under ERVC condition for SMR. Prog. Nucl. Energy 2019, 117, 103063. [Google Scholar] [CrossRef]
- Maccari, P.; Mascari, F.; Ederli, S.; Meloni, P.; Manservisi, S. ASTEC code DBA analysis of a passive mitigation strategy on a generic IRIS SMR. Ann. Nucl. Energy 2021, 156, 108194. [Google Scholar] [CrossRef]
- IAEA. “Natural Circulation in Water Cooled Nuclear Power Plants”, Phenomena Models and Methodology for System Reliability Assessments; IAEA-TECDOC-1474; International Atomic Energy Agency: Vienna, Austria, 2005. [Google Scholar]
- IAEA. Assessment of Defence in Depth for Nuclear Power Plants; Safety Reports Series No. 46; International Atomic Energy Agency: Vienna, Austria, 2005. [Google Scholar]
- SASPAM-SA. Milestone 2.1: Generic Data on Design 1 and Design 2. 2023. Available online: https://www.saspam-sa.eu/ (accessed on 15 March 2024).
- Mascari, F. Safety Analysis of SMR with Passive Mitigation Strategies—Severe Accident (SASPAM-SA) Horizon Euratom Project. Etson News. September 2022. Available online: https://www.etson.eu/node/290 (accessed on 15 March 2024).
- Modro, S.M.; Fisher, J.E.; Weaver, K.D.; Reyes, J.N., Jr.; Groome, J.T.; Babka, P.; Carlson, T.M. Multi-Application Small Light Water Reactor Final Report; INEEL/EXT-04-01626; Idaho National Engineering and Environmental Laboratory Bechtel BWXT Idaho, LLC: Fremont, ID, USA, 2003. [Google Scholar]
- Mascari, F.; Vella, G.; Woods, B.G.; D’Auria, F. Analyses of the OSU-MASLWR Experimental Test Facility. Sci. Technol. Nucl. Install. 2012, 2012, 528241. [Google Scholar] [CrossRef]
- Humphries, L. MELCOR Code Development Status—EMUG 2017; Sandia National Laboratories: Madrid, Spain, 2017. [Google Scholar]
- Humphries, L. MELCOR Code Development Status—EMUG 2018; Sandia National Laboratories: Zagreb, Croatia, 2018. [Google Scholar]
- Humphries, L.L.; Beeny, B.A.; Gelbard, F.; Louie, D.L.; Phillips, J. MELCOR Computer—Code Manuals, Vol 2: Reference Manual; Version 2.2.14959; Sandia National Laboratories: Albuquerque, NM, USA, 2019. [Google Scholar]
- Lebel, L.; Morreale, A.; Batten, K.; Clouthier, T. Aerosol retention within submerged Containment-Type iPWRs: Experiments and modeling. Nucl. Eng. Des. 2022, 398, 111994. [Google Scholar] [CrossRef]
- Wagner, K.C.; Beeny, B.A.; Luxat, D.L.; Gelbard, F.; Louie, D.L.; Albright, L.I.; Humphries, L.L. MELCOR integrated severe accident code application to safety assessment of high-temperature gas-cooled reactors. Nucl. Eng. Des. 2023, 402, 112083. [Google Scholar] [CrossRef]
- Malicki, M.; Darnowski, P.; Lind, T. The iPWR MELCOR 2.2 Parametric Sensitivity Analysis. In Proceedings of the 20th International Topical Meeting on Nuclear Reactor Thermal Hydraulics (NURETH-20), Washington, DC, USA, 20–25 August 2023. [Google Scholar]
- Darnowski, P.; Mazgaj, P.; Włostowski, M. Uncertainty and Sensitivity Analysis of the In-Vessel Hydrogen Generation for Gen-III PWR and Phebus FPT-1 with MELCOR 2.2. Energies 2021, 14, 4884. [Google Scholar] [CrossRef]
- Albright, L.I.; Andrews, N.; Humphries, L.L.; Luxat, D.L.; Jevremovic, T. Material Interactions in Severe Accidents—Benchmarking the MELCOR V2.2 Eutectics Model for a BWR-3 Mark-I Station Blackout: Part II—Uncertainty Analysis. Nucl. Eng. Des. 2021, 383, 111398. [Google Scholar] [CrossRef]
- Darnowski, P.; Włostowski, M.; Stępień, M.; Niewiński, G. Study of the material release during PHÉBUS FPT-1 bundle phase with MELCOR 2.2. Ann. Nucl. Energy 2020, 148, 107700. [Google Scholar] [CrossRef]
- Gharari, R.; Kazeminejad, H.; Mataji Kojouri, N.; Hedayat, A.; Hassan Vand, M. Application of a Severe Accident Code to the Sensitivity and Uncertainty Analysis of Hydrogen Production in the WWER1000/V446. Ann. Nucl. Energy 2021, 152, 108018. [Google Scholar] [CrossRef]
- Galushin, S.; Kudinov, P. Analysis of the effect of MELCOR modelling parameters on in-vessel accident progression in Nordic BWR. Nucl. Eng. Des. 2019, 350, 243–258. [Google Scholar] [CrossRef]





















| Case | Comment | MELCOR Parameters Modifications/Field |
|---|---|---|
| F5 | Base Case—Reference case | - |
| F5a | Reduced Thermal Conductivity (THC) of core barrel HS materials, RPV, and containment wall materials. Same as default stainless steel but changed table with THC | Introduced new material with properties like SS but with THC table |
| F5b | Decay heat increased to 120%, including steady state and transient | DCH_INPUT change in power |
| F5c | Decay heat increased to 120% from the beginning of the transient | DCH_INPUT with TF_INPUT table for decay heat |
| F5d | Heat transfer directly from the COR CVHs to downcomer CVH in contrary to the base case where heat is transferred from COR to bypass and then to downcomer | HS_RB, HS_RBR—Right Boundary Surface Data HS_LB, HS_LBR—Left Boundary Surface Data |
| F5e | Modification of the HSs responsible for heat transfer from the external core to the bypass CVH | Atmosphere heat transfer scaling factor ‘xhtfcr’ for external (core to bypass) side from 1.0 to 1.5 atmosphere heat transfer scaling factor ‘xhtfcl’ and ‘xhtfclr’ for internal (bypass to core) side from 1.0 to 1.5 radiative heat transfer scaling factor ‘xhtfclr’ for internal (bypass to core) side from 1.0 to 1.5 |
| F5f | Modification of the HSs responsible for heat transfer from external core to the bypass CVH | Atmosphere heat transfer scaling factor ‘xhtfcr’ for external (core to bypass) side from 1.0 to 0.7 Atmosphere heat transfer scaling factor ‘xhtfcl’ and ‘xhtfclr’ for internal (bypass to core) side from 1.0 to 0.7 Radiative heat transfer scaling factor ‘xhtfclr’ for internal (bypas to core) side form 1.0 to 0.7 |
| F5g | Debris porosity (PORDP) reduced | PORDP from 0.4 to 0.3 |
| F5h | Debris porosity increased | PORDP from 0.4 to 0.5 |
| F5i | Core Melt Breakthrough Candling Parameters (SC1141(2)) | SC1141(2) from 1.0 to 2.0 |
| F5j | Molten Material Holdup Parameters Maximum ZrO2 temperature permitted to hold up molten materials in CLading (CL) (SC1131(2)) | SC1131(2) from 2400.0 to 2550.0 |
| F5k | Molten Material Holdup Parameters Maximum ZrO2 temperature permitted to hold up molten materials in CL | SC1131(2) from 2400.0 to 2100.0 |
| Case | Molten Material Holdup Parameter (SC-1131-2) | Decay Heat | Debris Porosity (PORDP) |
|---|---|---|---|
| WCS1 | 2100 | 120% | 0.3 |
| WCS2 | 2100 | 100% | 0.3 |
| WCS3 | 2550 | 100% | 0.3 |
| WCS4 | 2550 | 100% | 0.5 |
Disclaimer/Publisher’s Note: The statements, opinions and data contained in all publications are solely those of the individual author(s) and contributor(s) and not of MDPI and/or the editor(s). MDPI and/or the editor(s) disclaim responsibility for any injury to people or property resulting from any ideas, methods, instructions or products referred to in the content. |
© 2024 by the authors. Licensee MDPI, Basel, Switzerland. This article is an open access article distributed under the terms and conditions of the Creative Commons Attribution (CC BY) license (https://creativecommons.org/licenses/by/4.0/).
Share and Cite
Malicki, M.; Darnowski, P.; Lind, T. An iPWR MELCOR 2.2 Study on the Impact of the Modeling Parameters on Code Performance and Accident Progression. Energies 2024, 17, 3279. https://doi.org/10.3390/en17133279
Malicki M, Darnowski P, Lind T. An iPWR MELCOR 2.2 Study on the Impact of the Modeling Parameters on Code Performance and Accident Progression. Energies. 2024; 17(13):3279. https://doi.org/10.3390/en17133279
Chicago/Turabian StyleMalicki, Mateusz, Piotr Darnowski, and Terttaliisa Lind. 2024. "An iPWR MELCOR 2.2 Study on the Impact of the Modeling Parameters on Code Performance and Accident Progression" Energies 17, no. 13: 3279. https://doi.org/10.3390/en17133279
APA StyleMalicki, M., Darnowski, P., & Lind, T. (2024). An iPWR MELCOR 2.2 Study on the Impact of the Modeling Parameters on Code Performance and Accident Progression. Energies, 17(13), 3279. https://doi.org/10.3390/en17133279

