Effect of Accumulated Dust Conductivity on Leakage Current of Photovoltaic Modules
Abstract
1. Introduction
2. Experiments and Methods
2.1. Leakage Current Modeling of Dust Accumulation Modules
2.1.1. Dust Modeling
2.1.2. Leakage Current Modeling of Dust Modules
2.2. Experimental Section
2.2.1. Experimental Equipment
2.2.2. Dust Sources
2.2.3. Experimental Methods
- Leakage Current Test:
- 2.
- Dust conductivity test:
- After each set of leakage current tests, place the dust collection cup beneath the lower edge of the PV module. Utilize a small, clean brush to carefully sweep the dust into the dust collection cup within two to three passes.
- The dust collected is placed in an experimental chamber and dried at 70 °C for one hour to eliminate moisture from the dust.
- Use a high-precision electronic scale to measure the dust in the dust collection cup five times. Next, subtract the weight of the cup (160.2993 g) from each measurement and calculate the average of these five measurements to determine the mass of the dust in the cup.
- Add 300 mL of deionized water solvent to the dried dust, thoroughly mix, and allow it to stand for 2 min.
- Put the dust solution into the test chamber and heat it to a temperature range of 25~45 °C, increasing in increments of 5 °C.
- After the temperature reaches the preset value, use the YMY-H-type intelligent conductivity tester to measure the conductivity of dust at different temperatures. Subtract the reference value of solvent conductivity (2.1 μS/cm). Take three measurements and calculate the average value as the result.
3. Results and Discussion
3.1. Effect of Temperature on Dust Conductivity
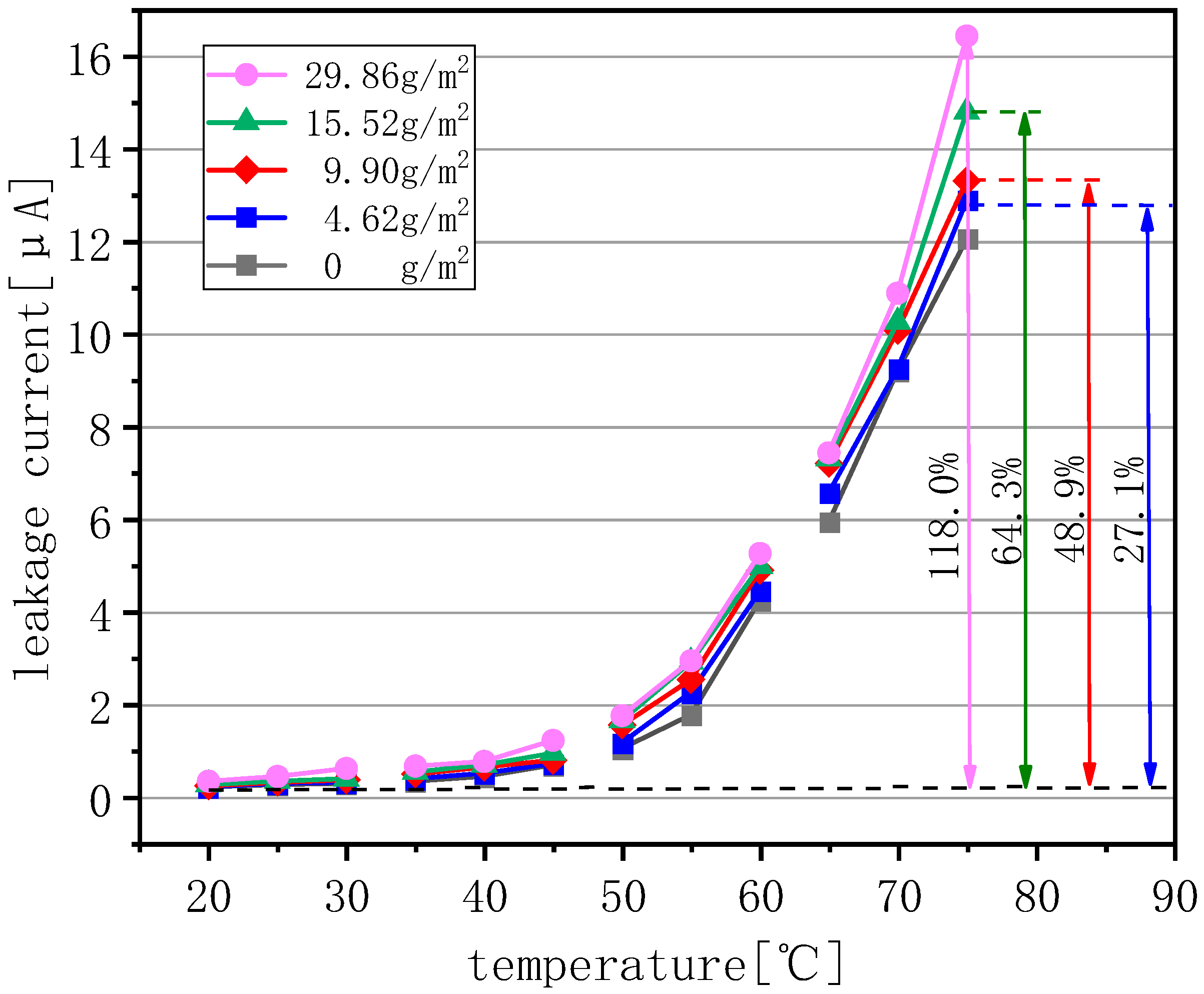
3.2. Effect of Dust Accumulation on Module Leakage Current
3.3. Connection Mode of Dust and Photovoltaic Module
3.4. Effect of Dust on the Activation Energy of the Photovoltaic Module
4. Conclusions
Author Contributions
Funding
Data Availability Statement
Conflicts of Interest
References
- Zong, S.; Weicai, Z.; Zhiyong, C. Modeling analysis of cleaning strategy for photovoltaic power plants in Northwest China based on K-means algorithm and ash accumulation loss coefficient. Sol. Energy 2023, 12, 67–73. [Google Scholar]
- Mingming, Z.; Dan, Z.; Bo, G.; Shuai, W.; Wu, L. Study on the effect of desert environment on photovoltaic modules. J. Sol. Energy 2020, 41, 365–370. [Google Scholar]
- Wenshuai, Z.; Shuai, W.; Kai, W. Impact of ash accumulation on photovoltaic module power generation and planning of ash removal cycle. South Agric. Mach. 2022, 53, 122–126. [Google Scholar] [CrossRef]
- Huifeng, N.; Rongzhan, C.; Weizhi, W. Experimental study on the effect of ash accumulation on photovoltaic power generation and dust removal effect. J. Sol. Energy 2020, 41, 120–125. [Google Scholar]
- Shengjie, W.; Rui, T.; Ling, G. Research on the ash accumulation characteristics of photovoltaic module and its transmission attenuation la. J. Agric. Eng. 2019, 35, 242–250. [Google Scholar] [CrossRef]
- Burton, P.D.; King, B.H. Application and characterization of artificial grime for photovoltaic soiling studies. IEEE J. Photovolt. 2013, 4, 299–303. [Google Scholar] [CrossRef]
- Chanchangi, Y.N.; Ghosh, A.; Sundaram, S.; Mallick, T.K. An analytical indoor experimental study on the effect of soiling on PV, focusing on dust properties and PV surface material. Sol. Energy 2020, 203, 46–68. [Google Scholar] [CrossRef]
- Alnasser, T.M.; Mahdy, A.M.; Abass, K.I.; Chaichan, M.T.; Kazem, H.A. Impact of dust ingredient on photovoltaic performance: An experimental study. Sol. Energy 2020, 195, 651–659. [Google Scholar] [CrossRef]
- Xie, L.; Li, J.; Liu, Y. Review on charging model of sand particles due to collisions. Theor. Appl. Mech. Lett. 2020, 10, 276–285. [Google Scholar] [CrossRef]
- Wang, J. Studies on the Contact Electrification and Electrostatic Force Between Atmospheric Deoosition and Photovoltaic Panels. Master’s Thesis, Ningxia University, Ningxia, China, 2023; p. 0424. [Google Scholar] [CrossRef]
- Yingxing, G.; Tao, Z.; Jun, Z. Numerical simulation of electrical conductivity on the graphite-quartz model and its geophysical application. Geophys. J. 2021, 64, 4031–4042. [Google Scholar] [CrossRef]
- Jing, L. Preliminary Study on Resistivity Characteristics and Influencing Factors of Artificially Contaminated Soil. Master’s Thesis, Inner Mongolia University of Science and Technology, Inner Mongolia, China, 2023. [Google Scholar] [CrossRef]
- Lihua, H.; Songyu, L.; Yanjun, D. Experiment study on the effect of temperature on electrical resistivity of contaminated soils. Geotech. Eng. 2007, 06, 1151–1155. [Google Scholar] [CrossRef]
- Mgaidi, A.; Jendoubi, F.; Oulahna, D.; El Maaoui, M.; Dodds, J.A. Kinetics of the dissolution of sand into alkaline solutions: Application of a modified shrinking core model. Hydrometallurgy 2004, 71, 435–446. [Google Scholar] [CrossRef]
- Badran, G.; Dhimish, M. Field study on the severity of photovoltaic potential induced degradation. Sci. Rep. 2022, 12, 22094. [Google Scholar] [CrossRef] [PubMed]
- Dhimish, M.; Badran, G. Field Study of Photovoltaic Systems with Anti-Potential-Induced-Degradation Mechanism: UVF, EL, and Performance Ratio Investigations. Photonics 2023, 10, 225. [Google Scholar] [CrossRef]
- Voswinckel, S.; Mikolajick, T.; Wesselak, V. Influence of the active leakage current pathway on the potential induced degradation of CIGS thin film solar modules. Sol. Energy 2020, 197, 455–461. [Google Scholar] [CrossRef]
- Hacke, P.; Spataru, S.; Terwilliger, K.; Perrin, G.; Glick, S.; Kurtz, S.; Wohlgemuth, J. Accelerated testing and modeling of potential induced degradation as a function of temperature and relative humidity. In Proceedings of the Photovoltaic Specialist Conference, IEEE, New Orleans, LA, USA, 14–19 June 2015; p. 0601. [Google Scholar] [CrossRef]
- Hacke, P.; Terwilliger, K.; Glick, S.; Tamizhmani, G.; Tatapudi, S.; Stark, C.; Koch, S.; Weber, T.; Berghold, J.; Hoffmann, S.; et al. Interlaboratory study to determine repeatability of the damp-heat test method for potential-induced degradation and polarization in crystalline silicon photovoltaic modules. IEEE J. Photovolt. 2017, 5, 94–101. [Google Scholar] [CrossRef]
- Shiradkar, N.; Schneller, E.; Dhere, N.G. Finite element analysis based model to study the electric field distribution and leakage current in PV modules under high voltage bias. SPIE Sol. Energy Technol. 2013, 8825, 88250G-2. [Google Scholar] [CrossRef]
- Pan, Z.; Ju, X.; Cheng, X.; Chen, C.; Dong, Y. Modeling Recombination in PID-affected N-type Mono-crystalline Silicon Solar Module. In Proceedings of the 2018 IEEE 7th World Conference on Photovoltaic Energy Conversion, Waikoloa, HI, USA, 10–15 June 2018; pp. 0462–0466. [Google Scholar] [CrossRef]
- Oh, W.; Bae, S.; Chan, S.I. Field degradation prediction of potential induced degradation of the crystalline silicon photovoltaic modules based on accelerated test and climatic data. Microelectron. Reliab. 2017, 76, 596–600. [Google Scholar] [CrossRef]
- Bora, B.; Mondal, S.; Prasad, B. Accelerated stress testing of potential induced degradation susceptibility of PV modules under different climatic conditions. Sol. Energy 2021, 223, 158–167. [Google Scholar] [CrossRef]
- Islam, M.A.; Hasanuzzaman, M.; Abd Rahim, N. Effect of different factors on the leakage current behavior of silicon photovoltaic modules at high voltage stress. IEEE J. Photovolt. 2018, 8, 1259–1265. [Google Scholar] [CrossRef]
- Hacke, P.; Burton, P.; Hendrickson, A. Effects of photovoltaic module soiling on glass surface resistance and potential-induced degradation. In Proceedings of the 2015 IEEE 42nd Photovoltaic Specialist Conference (PVSC), New Orleans, LA, USA, 14–19 June 2015; pp. 1–4. [Google Scholar] [CrossRef]
- Yilbas, B.S.; Ali, H.; Khaled, M.M.; Al-Aqeeli, N.; Abu-Dheir, N.; Varanasi, K.K. Influence of dust and mud on the optical, chemical and mechanical properties of a pv protective glass. Sci. Rep. 2015, 5, 15833. [Google Scholar] [CrossRef] [PubMed]
- Suzuki, S.; Nishiyama, N.; Yoshino, S.; Ujiro, T.; Watanabe, S.; Doi, T.; Masuda, A.; Tanahashi, T. Acceleration of potential-induced degradation by salt-mist preconditioning in crystalline silicon photovoltaic modules. Jpn. J. Appl. Phys. 2015, 54.8S1, 08KG08. [Google Scholar] [CrossRef]
- Ebneali, F.; Sai, T.; GovindaSamy, T.M. Potential induced degradation of pre-stressed photovoltaic modules: Influence of polarity, surface conductivity and temperature. In Proceedings of the 2013 IEEE 39th Photovoltaic Specialists Conference (PVSC), Tampa, FL, USA, 16–21 June 2013; pp. 1548–1553. [Google Scholar] [CrossRef]
- Vasista, S.R. Potential Induced Degradation (PID) of Pre-Stressed Photovoltaic Modules: Effect of Glass Surface Conductivity Disruption. Master’s Thesis, Arizona State University, Tempe, AZ, USA, 2012. [Google Scholar] [CrossRef]
- Shahzad, K.; Khalid, M.S.; Amin, A.; Israr, K.; Khan, R.; Oh, J.; Tatapudi, S.; TamizhMani, G. Addressing potential-induced degradation of field-installed PV modules by reducing surface conductivity. New Concepts Sol. Therm. Radiat. Convers. Reliab. 2018, 10759, 30–35. [Google Scholar] [CrossRef]
- Zhang, J.; Cao, D.; Diaham, S. Research on potential induced degradation (PID) of polymeric backsheet in PV modules after salt-mist exposure. Sol. Energy 2019, 188, 475–482. [Google Scholar] [CrossRef]
- Hoffmann, S.; Koehl, M. Effect of humidity and temperature on the potential-induced degradation. Prog. Photovolt. Res. Appl. 2014, 22, 173–179. [Google Scholar] [CrossRef]
- Ping, W.; Wei, D.; Haining, Z.; Chunlai, L. Study on the influence of surface area ash on leakage current and decay life of photovoltaic modules. J. Sol. Energy 2019, 40, 119–125. [Google Scholar]
- Nagel, H.; Glatthaar, M.; Glunz, S.W. Quantitative assessment of the local leakage current in PV modules for degradation prediction. In Proceedings of the 31st European Photovoltaic Solar Energy Conference and Exhibition, Hamburg, Germany, 14–18 September 2015; pp. 1825–1829. [Google Scholar] [CrossRef]
- Ping, W.; Meiya, K.; Wei, D. The effect of pollutants on leakage current and power degradation of photovoltaic modules. Renew. Energy 2020, 146, 2668–2675. [Google Scholar] [CrossRef]
- Hao, Z. Study on Particle Removal Enhancement in the Electrostatic Field by Dust Layer Adjustment. Master’s Thesis, Zhejiang University, Hangzhou, China, 2021. [Google Scholar] [CrossRef]
- Li, B.C.; Sun, S.H. Study on conductivity temperature relationship based on Nernst-Einstein and Arrhenius Equations. J. Inn. Mong. Univ. Technol. 2022, 41, 475–480. [Google Scholar] [CrossRef]
- Leiqiang, Z. Volumetric, viscosity, Study on Volume, Viscosity Properties and Electrical Conductivity of Quaternary Ammonium Electrolyte Solution. Master’s Thesis, Nanchang University, Nanchang, China, 2022. [Google Scholar]
- Anagha, E.R.; Pratti, D.; Kulkarni, S.V. Modeling of Leakage Currents in c-Si PV Modules and Investigation of their Arrhenius Behavior. In Proceedings of the 2020 IEEE 47th Photovoltaic Specialists Conference (PVSC), Calgary, AB, Canada, 15 June–21 August 2020; pp. 1105–1109. [Google Scholar] [CrossRef]
- Bauer, J.; Naumann, V.; Grosser, S. On the mechanism of potential-induced degradation incrystalline silicon solar cells. Phys. Status Solidi-Rapid Res. Lett. 2012, 6, 331–333. [Google Scholar] [CrossRef]
- GB/T 26218.1-2010; Selection and Dimensioning of High-Voltage Insulators Intended for Use in Polluted Conditions–Part 1: Definitions, Information and General Principles. Standardization Administration of China: Beijing, China, 2011.
- Hu, W.W. Research on Surface Thermal Characteristics and Temperature Field of Photovoltaic Modules in Desertified Areas. Master’s Thesis, Ningxia University, Ningxia, China, 2023; p. 1214. [Google Scholar] [CrossRef]
- Guosheng, W.; Qing, H.; Lili, J. Characteristics of summer surface temperature differences in the sandy ridges of the Taklamakan Desert. Desert Oasis Meteorol. 2022, 16, 13–14. [Google Scholar]












| Parameter | Value |
|---|---|
| Maximum working power/W | 20 |
| Maximum working current/A | 1.11 |
| Maximum working voltage/V | 18 |
| Short-circuit current/A | 1.28 |
| Open-circuit voltage/V | 21.61 |
| Dimension (L × W × T)/mm | 420 × 350 × 17 |
| Dust Density (g/m2) | Model | MAPE | MAE | RMSE |
|---|---|---|---|---|
| 4.62 | A | 0.255664 | 0.279962 | 0.328178 |
| B | 0.515372 | 1.718467 | 2.791345 | |
| C | 0.533572 | 0.80608 | 1.047609 | |
| 9.90 | A | 0.224359 | 0.32829 | 0.387076 |
| B | 1.0133125 | 4.014174 | 6.243343 | |
| C | 0.572852 | 1.016038 | 1.29382 | |
| 15.52 | A | 0.178263 | 0.185278 | 0.225931 |
| B | 1.013313 | 4.014174 | 6.243343 | |
| C | 0.475199 | 0.751665 | 0.925778 | |
| 29.86 | A | 0.207873 | 0.188929 | 0.218409 |
| B | 0.303403 | 0.901657 | 1.341737 | |
| C | 0.44248 | 0.644423 | 0.744001 |
Disclaimer/Publisher’s Note: The statements, opinions and data contained in all publications are solely those of the individual author(s) and contributor(s) and not of MDPI and/or the editor(s). MDPI and/or the editor(s) disclaim responsibility for any injury to people or property resulting from any ideas, methods, instructions or products referred to in the content. |
© 2024 by the authors. Licensee MDPI, Basel, Switzerland. This article is an open access article distributed under the terms and conditions of the Creative Commons Attribution (CC BY) license (https://creativecommons.org/licenses/by/4.0/).
Share and Cite
Gao, Y.; Guo, F.; Tian, H.; Xue, M.; Jin, Y.; Wang, B. Effect of Accumulated Dust Conductivity on Leakage Current of Photovoltaic Modules. Energies 2024, 17, 3116. https://doi.org/10.3390/en17133116
Gao Y, Guo F, Tian H, Xue M, Jin Y, Wang B. Effect of Accumulated Dust Conductivity on Leakage Current of Photovoltaic Modules. Energies. 2024; 17(13):3116. https://doi.org/10.3390/en17133116
Chicago/Turabian StyleGao, Yu, Fei Guo, Haibo Tian, Mengyuan Xue, Yaoyang Jin, and Baomiao Wang. 2024. "Effect of Accumulated Dust Conductivity on Leakage Current of Photovoltaic Modules" Energies 17, no. 13: 3116. https://doi.org/10.3390/en17133116
APA StyleGao, Y., Guo, F., Tian, H., Xue, M., Jin, Y., & Wang, B. (2024). Effect of Accumulated Dust Conductivity on Leakage Current of Photovoltaic Modules. Energies, 17(13), 3116. https://doi.org/10.3390/en17133116
