Intelligent Digital Twin Modelling for Hybrid PV-SOFC Power Generation System
Abstract
1. Introduction
2. Literature Review
- A hybrid PV-SOFC system as an energy source is proposed to enhance energy utilization efficiency and power generation stability, in which the modelling of PV cells and SOFC is investigated since they are the most critical components in the hybrid system. The utilized ARO based parameter identification strategy can effectively improve both the exploration and exploitation ability, and dynamically adjust the proportion between the exploration and exploitation during iterations, which can effectively improve searching efficiency and avoid being trapped in local optimums;
- For PV battery parameter identification, DDM benchmark PV battery model is used for verification, upon which the effectiveness of ARO for PV model parameter identification is verified. The simulation results indicate that ARO demonstrates higher accuracy and stability compared with other algorithms;
- For the identification of unknown parameters of SOFC, the representative electrochemical model is used to validate the ARO based parameter identification method under different operating conditions and different datasets. The simulation results show that the ARO can obtain the minimum RMSE and the highest stability under various operating conditions.
3. Hybrid PV-SOFC System Modelling
3.1. PV Cell Modelling
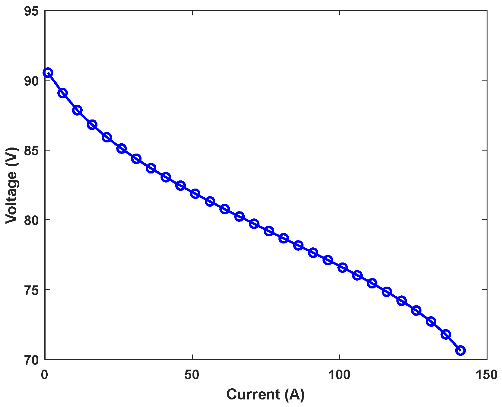
3.2. SOFC Modelling
4. Artificial Rabbits Optimization
4.1. Inspiration
4.2. Modelling of ARO
4.2.1. Detour Food Searching Strategy
4.2.2. Random Hiding Strategy
4.2.3. Energy Shrink Strategy
5. Case Studies
5.1. PV Cell Model Parameter Identification
5.1.1. Design of ARO for PV Cell Parameter Identification
5.1.2. Validation on DDM
5.2. SOFC Model Parameter Identification
5.2.1. Validation of ARO
5.2.2. Verification on a 5 kW Cell Stack
6. Conclusions and Perspectives
- To deal with parameters identification of the PV cell and SOFC models, this paper applied an ARO based intelligent parameter identification strategy to achieve accurate modelling of both models. The aim was to provide a feasible method for building a more accurate and reliable “digital twin” model of this hybrid power generation system, and ultimately to achieve a highly automated, intelligent, and low-carbon system operation and management system;
- The proposed ARO-based parameter identification strategy improves the convergence speed and optimization accuracy by designing a dynamic searching mechanism to regulate the searching behaviour during the iterations, i.e., detour foraging and random hiding, so as to better balance global exploration and local exploitation;
- ARO was applied for parameters estimation for the DDM model of PV cells and the electrochemical model of SOFC, and its effectiveness was fully verified. The simulation results indicated that ARO show higher accuracy and stability in comparison with other algorithms. For instance, for parameter identification of SOFC electrochemical model under the first dataset, the RMSE value achieved by ARO was only 8.67% and 20.23% to that of GWO and PSO. Meanwhile, the convergence curves of the RMSE obtained by different algorithms also proved that ARO acquires a higher quality global optimum and shows a more stable convergence process.
- For PV cells and SOFC parameter identification, more types of cell models can be applied for validation. Meanwhile, the ability to perform parameter identification online and in real time can be further developed;
- Future validation of the SOFC models considering degradation mechanisms can bring higher engineering value in terms of health condition monitoring, and fault detection and diagnosis;
- The research focus of the digital twin includes the creation of digital twin models, physical information fusion, and service applications. This paper focused on the study of building accurate and reliable digital twin models of core components in the hybrid PV-SOFC system. Therefore, further research is required for the digital twin model of the whole system in its entirety and for the application of the methods proposed in this paper in the areas of optimal design, optimal operation, and fault diagnosis.
Author Contributions
Funding
Data Availability Statement
Conflicts of Interest
Nomenclature
| Abbreviation | |
| ABC | artificial bee colony |
| ARO | artificial rabbits optimization |
| DDM | double diode mode |
| FC | fuel cell |
| GWO | grey wolf optimization |
| H2 | hydrogen |
| I-V | current-voltage |
| PSO | particle swarm optimization |
| PV | photovoltaic |
| P-V | power-voltage |
| RMSE | root mean square error |
| WOA | whale optimization algorithm |
| SDM | single diode model |
| SOFC | solid oxide fuel cell |
| Variables | |
| the ideality factors of | |
| the ideality factors of | |
| the electron charge | |
| the number of series connected PV cells in the PV panel | |
| Vt | the junction thermal voltage |
| the slope of Tafel line | |
| the open circuit voltage | |
| the number of series cells | |
| the diode saturation current of | |
| the diode saturation current of | |
| the exchange current density of anode | |
| the exchange current density of cathode | |
| the current flowing through | |
| the current flowing through | |
| the load current density | |
| the limiting current density | |
| the photocurrent | |
| the current passing through the series resistance | |
| the current passing through the shunt resistance | |
| the activation voltage loss | |
| the voltage calculated voltage for the th time | |
| the concentration voltage loss | |
| the voltage measured for the kth time | |
| the ohmic voltage loss | |
References
- Huang, R.; Zhang, S.; Wang, P. Key areas and pathways for carbon emissions reduction in Beijing for the “Dual Carbon” targets. Energy Policy 2022, 164, 112873. [Google Scholar] [CrossRef]
- Zhang, G.; Shi, Y.; Maleki, A.; Rosen, M.A. Optimal location and size of a grid-independent solar/hydrogen system for rural areas using an efficient heuristic approach. Renew. Energy 2020, 156, 1203–1214. [Google Scholar] [CrossRef]
- Verbois, H.; Huva, R.; Rusydi, A.; Walsh, W. Solar irradiance forecasting in the tropics using numerical weather prediction and statistical learning. Sol. Energy 2018, 162, 265–277. [Google Scholar] [CrossRef]
- Awasthi, A.; Shukla, A.K.; SR, M.M.; Dondariya, C.; Shukla, K.N.; Porwal, D.; Richhariya, G. Review on sun tracking technology in solar PV system. Energy Rep. 2020, 6, 392–405. [Google Scholar] [CrossRef]
- Ahmad, M.Z.; Ahmad, S.H.; Chen, R.S.; Ismail, A.F.; Hazan, R.; Baharuddin, N.A. Review on recent advancement in cathode material for lower and intermediate temperature solid oxide fuel cells application. Int. J. Hydrog. Energy 2022, 47, 1103–1120. [Google Scholar] [CrossRef]
- Yang, B.; Wang, J.; Yu, L.; Shu, H.; Yu, T.; Zhang, X.; Sun, L. A critical survey on proton exchange membrane fuel cell parameter estimation using meta-heuristic algorithms. J. Clean. Prod. 2020, 265, 121660. [Google Scholar] [CrossRef]
- Fathy, A.; Yousri, D.; Alanazi, T.; Rezk, H. Minimum hydrogen consumption-based control strategy of fuel cell/PV/battery/supercapacitor hybrid system using recent approach-based parasitism-predation algorithm. Energy 2021, 225, 120316. [Google Scholar] [CrossRef]
- Ghaffari, A.; Askarzadeh, A. Design optimization of a hybrid system subject to reliability level and renewable energy penetration. Energy 2020, 193, 116754. [Google Scholar] [CrossRef]
- Singh, M.; Zappa, D.; Comini, E. Solid oxide fuel cell: Decade of progress, future perspectives and challenges. Int. J. Hydrog. Energy 2021, 46, 27643–27674. [Google Scholar] [CrossRef]
- Melzi, B.; Kefif, N.; El Haj Assad, M. Modelling and optimal design of hybrid power system photovoltaic/solid oxide fuel cell for a mediterranean City. Energy Eng. 2021, 118, 1767–1781. [Google Scholar] [CrossRef]
- Siti Khodijah, A.; Shiba, M.; Obara, S.Y. Design of compensation battery for tidal power-photovoltaics-SOFC microgrids in Ternate and Pulau-Tidore Islands. Int. J. Energy Res. 2021, 45, 2100–2115. [Google Scholar] [CrossRef]
- Wang, J.; Yang, B.; Li, D.; Zeng, C.; Chen, Y.; Guo, Z.; Yu, T. Photovoltaic cell parameter estimation based on improved equilibrium optimizer algorithm. Energy Convers. Manag. 2021, 236, 114051. [Google Scholar] [CrossRef]
- He, X.; Ai, Q.; Qiu, R.C.; Huang, W.; Piao, L.; Liu, H. A big data architecture design for smart grids based on random matrix theory. IEEE Trans. Smart Grid 2015, 8, 674–686. [Google Scholar] [CrossRef]
- Grieves, M. Digital twin: Manufacturing excellence through virtual factory replication. White Pap. 2017. [Google Scholar] [CrossRef]
- Singh, M.; Srivastava, R.; Fuenmayor, E.; Kuts, V.; Qiao, Y.; Murray, N.; Devine, D. Applications of Digital Twin across industries: A review. Appl. Sci. 2022, 12, 5727. [Google Scholar] [CrossRef]
- Yang, B.; Wang, J.; Zhang, X.; Yu, T.; Yao, W.; Shu, H.; Sun, L. Comprehensive overview of meta-heuristic algorithm applications on PV cell parameter identification. Energy Convers. Manag. 2020, 208, 112595. [Google Scholar] [CrossRef]
- Yang, B.; Wang, J.; Zhang, M.; Shu, H.; Yu, T.; Zhang, X.; Sun, L. A state-of-the-art survey of solid oxide fuel cell parameter identification: Modelling, methodology, and perspectives. Energy Convers. Manag. 2020, 213, 112856. [Google Scholar] [CrossRef]
- Abbassi, R.; Abbassi, A.; Jemli, M.; Chebbi, S. Identification of unknown parameters of solar cell models: A comprehensive overview of available approaches. Renew. Sustain. Energy Rev. 2018, 90, 453–474. [Google Scholar] [CrossRef]
- Oliva, D.; Cuevas, E.; Pajares, G. Parameter identification of solar cells using artificial bee colony optimization. Energy 2014, 72, 93–102. [Google Scholar] [CrossRef]
- Xiong, G.; Zhang, J.; Shi, D.; He, Y. Parameter extraction of solar photovoltaic models using an improved whale optimization algorithm. Energy Convers. Manag. 2018, 174, 388–405. [Google Scholar] [CrossRef]
- Nayak, B.; Mohapatra, A.; Mohanty, K.B. Parameter estimation of single diode PV module based on GWO algorithm. Renew. Energy Focus 2019, 30, 1–12. [Google Scholar] [CrossRef]
- Dang, J.; Wang, G.; Xia, C.; Jia, R.; Li, P. Research on the parameter identification of PV module based on fuzzy adaptive differential evolution algorithm. Energy Rep. 2022, 8, 12081–12091. [Google Scholar] [CrossRef]
- Eltamaly, A.M. Musical chairs algorithm for parameters estimation of PV cells. Sol. Energy 2022, 241, 601–620. [Google Scholar] [CrossRef]
- Cao, H.; Deng, Z.; Li, X.; Yang, J.; Qin, Y. Dynamic modeling of electrical characteristics of solid oxide fuel cells using fractional derivatives. Int. J. Hydrog. Energy 2010, 35, 1749–1758. [Google Scholar] [CrossRef]
- Caliandro, P.; Nakajo, A.; Diethelm, S. Model-assisted identification of solid oxide cell elementary processes by electrochemical impedance spectroscopy measurements. J. Power Sources 2019, 436, 226838. [Google Scholar] [CrossRef]
- Jayasankar, B.R.; Huang, B.; Ben-Zvi, A. Receding horizon experiment design with application in sofc parameter estimation. IFAC Proc. Vol. 2010, 43, 541–546. [Google Scholar] [CrossRef]
- Yang, J.; Li, X.; Jiang, J.H.; Jian, L.; Zhao, L.; Jiang, J.G.; Xu, L.H. Parameter optimization for tubular solid oxide fuel cell stack based on the dynamic model and an improved genetic algorithm. Int. J. Hydrog. Energy 2011, 36, 6160–6174. [Google Scholar] [CrossRef]
- Gong, W.; Cai, Z.; Yang, J.; Li, X.; Jian, L. Parameter identification of an SOFC model with an efficient, adaptive differential evolution algorithm. Int. J. Hydrog. Energy 2014, 39, 5083–5096. [Google Scholar] [CrossRef]
- Jiang, B.; Wang, N.; Wang, L. Parameter identification for solid oxide fuel cells using cooperative barebone particle swarm optimization with hybrid learning. Int. J. Hydrog. Energy 2014, 39, 532–542. [Google Scholar] [CrossRef]
- Wei, Y.; Stanford, R.J. Parameter identification of solid oxide fuel cell by Chaotic Binary Shark Smell Optimization method. Energy 2019, 188, 115770. [Google Scholar] [CrossRef]
- Yang, B.; Chen, Y.; Guo, Z.; Wang, J.; Zeng, C.; Li, D.; Zhang, X. Levenberg-Marquardt backpropagation algorithm for parameter identification of solid oxide fuel cells. Int. J. Energy Res. 2021, 45, 17903–17923. [Google Scholar] [CrossRef]
- Yang, B.; Zeng, C.; Wang, L.; Guo, Y.; Chen, G.; Guo, Z.; Zhu, J. Parameter identification of proton exchange membrane fuel cell via Levenberg-Marquardt backpropagation algorithm. Int. J. Hydrog. Energy 2021, 46, 22998–23012. [Google Scholar] [CrossRef]
- Yang, B.; Guo, Z.; Yang, Y.; Chen, Y.; Zhang, R.; Su, K.; Zhang, X. Extreme learning machine based meta-heuristic algorithms for parameter extraction of solid oxide fuel cells. Appl. Energy 2021, 303, 117630. [Google Scholar] [CrossRef]
- Wang, J.; Xu, Y.P.; She, C.; Xu, P.; Bagal, H.A. Optimal parameter identification of SOFC model using modified gray wolf optimization algorithm. Energy 2022, 240, 122800. [Google Scholar] [CrossRef]
- Jordehi, A.R. Parameter estimation of solar photovoltaic (PV) cells: A review. Renew. Sustain. Energy Rev. 2016, 61, 354–371. [Google Scholar] [CrossRef]
- Muangkote, N.; Sunat, K.; Chiewchanwattana, S.; Kaiwinit, S. An advanced onlooker-ranking-based adaptive differential evolution to extract the parameters of solar cell models. Renew. Energy 2019, 134, 1129–1147. [Google Scholar] [CrossRef]
- Wang, L.; Cao, Q.; Zhang, Z.; Mirjalili, S.; Zhao, W. Artificial rabbits optimization: A new bio-inspired meta-heuristic algorithm for solving engineering optimization problems. Eng. Appl. Artif. Intell. 2022, 114, 105082. [Google Scholar] [CrossRef]
- Easwarakhanthan, T.; Bottin, J.; Bouhouch, I.; Boutrit, C. Nonlinear minimization algorithm for determining the solar cell parameters with microcomputers. Int. J. Sol. Energy 1986, 4, 1–12. [Google Scholar] [CrossRef]
- Hagan, M.T.; Demuth, H.B.; Beale, M.H. Neural Network Design; PWS Publishing Co.: Boston, MA, USA, 2002. [Google Scholar]
- Yang, B.; Li, D.Y.; Zeng, C.Y.; Chen, Y.J.; Guo, Z.X.; Wang, J.B.; Shu, H.C.; Yu, T.; Zhu, J.W. Parameter extraction of PEMFC via Bayesian regularization neural network based meta-heuristic algorithms. Energy 2021, 228, 120592. [Google Scholar] [CrossRef]















| I-V Data | 1 | 2 | 3 | 4 | 5 | 6 | 7 | 8 | 9 | 10 | 11 | 12 | 13 |
| VL (V) | −0.2057 | −0.1291 | −0.0588 | 0.0057 | 0.0646 | 0.1185 | 0.1678 | 0.2132 | 0.2545 | 0.2924 | 0.3269 | 0.3585 | 0.3873 |
| IL (A) | 0.7640 | 0.7620 | 0.7605 | 0.7605 | 0.7600 | 0.7590 | 0.7570 | 0.7570 | 0.7555 | 0.7540 | 0.7505 | 0.7465 | 0.7385 |
| I-V Data | 14 | 15 | 16 | 17 | 18 | 19 | 20 | 21 | 22 | 23 | 24 | 25 | 26 |
| VL (V) | 0.4137 | 0.4373 | 0.4590 | 0.4784 | 0.4960 | 0.5119 | 0.5265 | 0.5398 | 0.5521 | 0.5633 | 0.5736 | 0.5833 | 0.5900 |
| IL (A) | 0.7280 | 0.7065 | 0.6755 | 0.6320 | 0.5730 | 0.4990 | 0.4130 | 0.3165 | 0.2120 | 0.1035 | −0.0100 | −0.1230 | −0.2100 |
| Algorithm | Iph(A) | I01(µA) | Rs(Ω) | Rsh(Ω) | a1 | I02(µA) | a2 | RMSE |
|---|---|---|---|---|---|---|---|---|
| ABC | 0.7604 | 0.5450 | 0.0372 | 52.0978 | 1.8104 | 0.1511 | 1.4196 | 1.0037 × 10−3 |
| WOA | 0.7603 | 0.5333 | 0.0358 | 71.7116 | 1.6921 | 0.1502 | 1.4360 | 1.1342 × 10−3 |
| ARO | 0.7608 | 0.2256 | 0.0366 | 54.6219 | 2.0000 | 0.2162 | 1.4516 | 9.8554 × 10−4 |
| Datasets for Validation | Datasets for 5 kW Cell Stack | |||
|---|---|---|---|---|
| Electrochemical model | (1 atm, 1173 K) | (1 atm, 1273 K) | (3 atm, 1173 K) | (3 atm, 1273 K) |
| 34 | 69 | 69 | 65 | 65 |
| Electrochemical Model | |||||||
|---|---|---|---|---|---|---|---|
| Parameters | Eo (V) | A (V) | Rohm (kΩ·cm2) | B (V) | I0,a (mA/cm2) | I0,c (mA/cm2) | IL (mA/cm2) |
| Lower limit | 0 | 0 | 0 | 0 | 0 | 0 | 0 |
| Upper limit | 1.2 | 1 | 1 | 1 | 30 | 30 | 200 |
| Algorithms | Identified Parameters | RMSE | ||||||
|---|---|---|---|---|---|---|---|---|
| E0 | A | R | B | I0,a | I0,c | IL | ||
| Actual value | 1.1500 | 0.0200 | 0.0004 | 0.0300 | 12.0000 | 4.0000 | 152.0000 | 0 |
| GWO | 1.1479 | 0.0298 | 0.0000 | 0.0453 | 20.2558 | 6.2900 | 157.4983 | 4.9882 × 10−4 |
| PSO | 1.1495 | 0.0316 | 0.0000 | 0.0457 | 30 | 5.4398 | 158.0896 | 2.1379 × 10−4 |
| ARO | 1.1498 | 0.0284 | 0.0002 | 0.0338 | 30 | 4.7907 | 153.2175 | 4.3264 × 10−5 |
| Conditions | Algorithm | Identified Parameters | RMSE | ||||||
|---|---|---|---|---|---|---|---|---|---|
| Eo | A | Rohm | B | I0,a | I0,c | IL | |||
| (1 atm, 1173 K) | GWO | 1.0850 | 0.0807 | 0.0007 | 0.1641 | 28.2084 | 13.3625 | 167.6413 | 4.1991 × 10−3 |
| PSO | 1.086896591 | 0.0561 | 0 | 0.3998 | 30 | 6.7940 | 200 | 8.9389 × 10−3 | |
| ARO | 1.0861 | 0.0286 | 0.0030 | 0.0753 | 29.9587 | 4.6816 | 160.1067 | 2.4342 × 10−4 | |
| (1 atm, 1273 K) | GWO | 1.0820 | 0.0571 | 3.73 × 10−8 | 0.2488 | 19.5695 | 8.6351 | 178.3767 | 3.9708 × 10−3 |
| PSO | 1.0821 | 0.0449 | 0 | 0.0366 | 30 | 5.2947 | 200 | 6.247 × 10−3 | |
| ARO | 1.0812 | 0.0283 | 0.0023 | 0.0849 | 29.4272 | 4.21366 | 160.3749 | 2.2096 × 10−4 | |
| (3 atm, 1173 K) | GWO | 1.1149 | 0.0609 | 0 | 0.0351 | 22.1903 | 8.4946 | 193.5037 | 4.5549 × 10−3 |
| PSO | 1.1122 | 0.0547 | 0 | 0.0388 | 12.4485 | 12.4485 | 200 | 4.8315 × 10−3 | |
| ARO | 1.1140 | 0.0295 | 0.0030 | 0.0775 | 29.9881 | 4.8380 | 160.3771 | 3.2846 × 10−4 | |
| (3 atm, 1273 K) | GWO | 1.1032 | 0.1143 | 0 | 0.1332 | 29.5083 | 25.8728 | 163.5788 | 3.3413 × 10−3 |
| PSO | 1.1112 | 0.0362 | 0 | 0.3744 | 8.1947 | 8.1947 | 200 | 5.7429 × 10−3 | |
| ARO | 1.1120 | 0.0288 | 0.0023 | 0.0854 | 29.9999 | 4.1656 | 160.3958 | 2.8078 × 10−4 | |
Disclaimer/Publisher’s Note: The statements, opinions and data contained in all publications are solely those of the individual author(s) and contributor(s) and not of MDPI and/or the editor(s). MDPI and/or the editor(s) disclaim responsibility for any injury to people or property resulting from any ideas, methods, instructions or products referred to in the content. |
© 2023 by the authors. Licensee MDPI, Basel, Switzerland. This article is an open access article distributed under the terms and conditions of the Creative Commons Attribution (CC BY) license (https://creativecommons.org/licenses/by/4.0/).
Share and Cite
Guo, Z.; Ye, Z.; Ni, P.; Cao, C.; Wei, X.; Zhao, J.; He, X. Intelligent Digital Twin Modelling for Hybrid PV-SOFC Power Generation System. Energies 2023, 16, 2806. https://doi.org/10.3390/en16062806
Guo Z, Ye Z, Ni P, Cao C, Wei X, Zhao J, He X. Intelligent Digital Twin Modelling for Hybrid PV-SOFC Power Generation System. Energies. 2023; 16(6):2806. https://doi.org/10.3390/en16062806
Chicago/Turabian StyleGuo, Zhimin, Zhiyuan Ye, Pengcheng Ni, Can Cao, Xiaozhao Wei, Jian Zhao, and Xing He. 2023. "Intelligent Digital Twin Modelling for Hybrid PV-SOFC Power Generation System" Energies 16, no. 6: 2806. https://doi.org/10.3390/en16062806
APA StyleGuo, Z., Ye, Z., Ni, P., Cao, C., Wei, X., Zhao, J., & He, X. (2023). Intelligent Digital Twin Modelling for Hybrid PV-SOFC Power Generation System. Energies, 16(6), 2806. https://doi.org/10.3390/en16062806
